Sign in to use this feature.

Years

Between: -

Subjects

remove_circle_outline
remove_circle_outline
remove_circle_outline
remove_circle_outline
remove_circle_outline
remove_circle_outline
remove_circle_outline
remove_circle_outline
remove_circle_outline

Journals

Article Types

Countries / Regions

Search Results (210)

Search Parameters:
Keywords = corn nitrogen content

Order results
Result details
Results per page
Select all
Export citation of selected articles as:
20 pages, 5349 KB  
Article
Regulatory Mechanism of Phosphorus Tailings and Organic Fertilizer Jointly Driving the Succession of Acidic Soil Microbial Functional Groups and Enhancing Corn Yield
by Chuanxiong Geng, Xinling Ma, Xianfeng Hou, Jinghua Yang, Xi Sun, Yi Zheng, Min Zhou, Chuisi Kong and Wei Fan
Agriculture 2025, 15(19), 2011; https://doi.org/10.3390/agriculture15192011 - 26 Sep 2025
Abstract
The continued acidification of red soil reduces phosphorus availability and microbial activity, which restricts corn growth. Phosphorus tailings, a waste product from phosphate mining, can neutralize soil acidity and supply controlled-release phosphorus, but their effects on the red soil-corn system remain unclear. A [...] Read more.
The continued acidification of red soil reduces phosphorus availability and microbial activity, which restricts corn growth. Phosphorus tailings, a waste product from phosphate mining, can neutralize soil acidity and supply controlled-release phosphorus, but their effects on the red soil-corn system remain unclear. A field experiment in Qujing, Yunnan (2023–2024), tested four treatments: CK (standard fertilization), T1 (CK plus phosphorus tailings), T2 (80% of standard fertilizer plus phosphorus tailings), and T3 (80% of standard fertilizer plus phosphorus tailings and organic fertilizer, both applied at 6.0 t·ha−1). Using high-throughput sequencing, redundancy analysis (RDA), and structural equation modeling (SEM), the study evaluated impacts on soil properties, microbial communities, and corn yield and quality. Results showed: (1) Phosphorus tailings reduced soil acidification; T3 raised soil pH in the top 0–10 cm by 0.54–0.9 units compared to CK and increased total, available, and soluble phosphorus in the 0–20 cm layer to 952.82, 28.46, and 2.04 mg/kg, respectively. (2) T3 exhibited the highest microbial diversity (Chao1 and Shannon indices increased by 177.57% and 37.80% versus CK) and a more complex bacterial co-occurrence network (114 edges versus 107 in CK), indicating enhanced breakdown of aromatic compounds. (3) Corn yield under T3 improved by 13.72% over CK, with increases in hundred-grain weight (+6.02%), protein content (+18.04%), and crude fiber (+9.00%). (4) Effective nitrogen, ammonium nitrogen, available phosphorus, and soil conductivity were key factors affecting gcd/phoD phosphorus-reducing bacteria. (5) Phosphorus tailings indirectly increased yield by modifying soil properties and pH, both positively linked to yield, while gcd-carrying bacteria had a modest positive influence. In summary, combining phosphorus tailings with a 20% reduction in chemical fertilizer reduces fertilizer use, recycles mining waste, and boosts corn production in acidic red soil, though further studies are needed to evaluate long-term environmental effects. Full article
(This article belongs to the Section Crop Production)
Show Figures

Figure 1

15 pages, 1047 KB  
Article
Sustainable Soybean Production Using Residual Vermicompost Inputs in Corn-Soybean Rotation
by Ivan Oyege and Maruthi Sridhar Balaji Bhaskar
Environments 2025, 12(9), 333; https://doi.org/10.3390/environments12090333 - 18 Sep 2025
Viewed by 291
Abstract
Soybeans (Glycine max L.), a globally significant crop, play a critical role in economic, nutritional, and ecological systems, particularly in rotational farming due to their nitrogen-fixing capacity. This study investigated the residual effects of vermicompost (VC) and vermicompost tea (VCT) applied during [...] Read more.
Soybeans (Glycine max L.), a globally significant crop, play a critical role in economic, nutritional, and ecological systems, particularly in rotational farming due to their nitrogen-fixing capacity. This study investigated the residual effects of vermicompost (VC) and vermicompost tea (VCT) applied during a preceding corn cycle on subsequent soybean growth and productivity in an organic corn–soybean rotation. Soybeans were grown in raised beds previously treated with different VCT concentrations and combinations of VC+VCT, without additional fertilization during the soybean phase. Physiological traits, including leaf chlorophyll content (SPAD values) and stomatal conductance, were measured alongside biomass, yield, and plant leaves nutrient concentrations. VC+VCT treatments significantly increased biomass and yield, with VC1+VCT20 achieving the highest biomass (3.02 tons/ha) and yield (1.68 tons/ha). Leaf nutrient analysis revealed increased uptake of both macro- and micronutrients in amended treatments, while SPAD and stomatal conductance values remained consistently higher than in the control. Soil analyses confirmed improved nutrient retention and cation exchange capacity in amended plots, demonstrating the legacy benefits of organic inputs. Therefore, residual VCT and VC+VCT applications improved soybean productivity, nutrient acquisition, and physiological performance in rotational systems. By reducing reliance on synthetic fertilizers and enhancing soil fertility, this strategy supports climate-smart agriculture principles and contributes to SDG 2 (Zero Hunger), SDG 12 (Responsible Consumption and Production), and SDG 13 (Climate Action). Full article
Show Figures

Graphical abstract

24 pages, 1755 KB  
Article
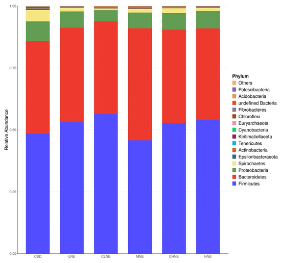
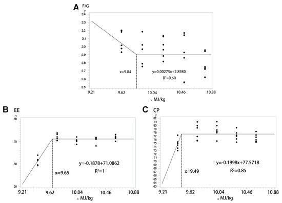
Effects of Different Net Energy Levels in Low-Protein Diversified Diets on Growth Performance, Nutrient Digestibility, Carcass Characteristics, Meat Quality, and Colonic Microbiota in Finishing Pigs
by Xintao Wang, Daiwen Chen, Junning Pu, Gang Tian, Jun He, Ping Zheng, Jie Yu and Bing Yu
Animals 2025, 15(18), 2663; https://doi.org/10.3390/ani15182663 - 11 Sep 2025
Viewed by 355
Abstract
In China, the application of low-protein, low-soybean meal diversified feeding strategies exhibits significant importance for reducing the dependence on soybean meal imports, lowering livestock and poultry feed costs, and decreasing nitrogen emissions from animal husbandry. Dietary protein content reduction modulates energy metabolism, while [...] Read more.
In China, the application of low-protein, low-soybean meal diversified feeding strategies exhibits significant importance for reducing the dependence on soybean meal imports, lowering livestock and poultry feed costs, and decreasing nitrogen emissions from animal husbandry. Dietary protein content reduction modulates energy metabolism, while nonconventional feed ingredients alter energy efficiency. This study aimed to evaluate the effects of varying net energy (NE) levels on growth performance, nutrient digestibility, carcass characteristics, meat quality, and colonic microbiota in finishing pigs fed low-protein diversified diets. A total of 108 Duroc × Landrace × Yorkshire pigs (initial body weight: 79.8 ± 6.5 kg) were randomly assigned to six treatment groups: one control group fed a conventional corn–soybean meal diet with normal crude protein (CP) content and five groups fed low-protein diversified diets with different NE levels. The experiment was conducted over 49 days. During the 80–100 kg phase, pigs receiving the low-protein diversified diet exhibited a 9.12% improvement in feed-to-gain ratio (F/G) compared to the control group (p < 0.05). Additionally, dietary dry matter (DM) and ether extract (EE) digestibility significantly increased (p < 0.05). As NE levels increased under low-protein conditions, F/G decreased linearly (p < 0.05), while DM, gross energy (GE), EE, and CP digestibility showed significant linear and quadratic increase (p < 0.05). In the 100–130 kg phase (22–49 d), pigs in the low-protein diversified diet group demonstrated a 5.10% increase in average daily feed intake (ADFI) and an 8.60% increase in average daily gain (ADG), compared to the control group with normal CP content and the same NE level. Furthermore, dietary GE, EE, and CP digestibility improved significantly (p < 0.05). Under low-protein diversified diet conditions, as NE levels increased, F/G decreased significantly, ADFI decreased, and ADG increased to varying degrees. Similarly, DM, GE, EE, and CP digestibility showed significant increases. Carcass weight tended to increase linearly, while the slaughter rate initially increased before decreasing. Notably, low-protein diversified diets were associated with greater microbial community diversity in colonic digesta. The findings indicated that the optimal dietary NE for a low-protein diversified diet during the 80–100 kg phase was 9.84–10.21 MJ/kg, and 9.49–10.02 MJ/kg during the 100–130 kg phase. These results highlighted the importance of optimizing dietary NE levels in low-protein feeding strategies to enhance growth performance, nutrient utilization, and gut microbiota composition in finishing pigs. Full article
(This article belongs to the Section Pigs)
Show Figures

Figure 1

16 pages, 634 KB  
Article
Effects of Adding Lactobacillus Inoculants on the Nutritional Value of Sesbania cannabina and Whole Corn Mixed Silage
by Tianzhu Yin, Shuai Song, Xianwei Song, Duofeng Pan, Qinghua Zhao, Liwen He, Ding Tang, Yajun Jia, Xiaofeng Cao, Xian Deng and Wei Zhang
Agriculture 2025, 15(18), 1913; https://doi.org/10.3390/agriculture15181913 - 9 Sep 2025
Viewed by 325
Abstract
This study evaluated the potential of utilizing Sesbania cannabina, produced during saline–alkali soil improvement, as a high-quality feed resource for ruminants. Mixed silages were prepared by combining S. cannabina and whole corn at ratios of 1:1 and 1:3, with or without a [...] Read more.
This study evaluated the potential of utilizing Sesbania cannabina, produced during saline–alkali soil improvement, as a high-quality feed resource for ruminants. Mixed silages were prepared by combining S. cannabina and whole corn at ratios of 1:1 and 1:3, with or without a compound Lactobacillus (LAB) inoculant, and were assessed for fermentation quality, nutrient composition, ruminal degradation, intestinal digestibility, and energy value. Results: The addition of Lactobacillus (LAB) inoculants increased lactic acid content, crude protein effective degradability (CPED), gross energy (GE), and dry matter apparent digestibility (DMAD), while decreasing ammonia nitrogen (NH3-N), acetic acid (AA), propionic acid (PA), neutral detergent fiber (NDF), acid detergent fiber (ADF), rumen undegradable protein (RUP), intestinal crude protein degradability (ICPD), and intestinal digestible crude protein (IDCP). Increasing the proportion of whole corn increased dry matter (DM) and gross energy (GE), while reducing crude protein (CP), NDF, ADF, Ash, rumen degradable protein (RDP), RUP, IDCP, and the effective ruminal degradability of NDF (NDFED) and ADF (ADFED). Overall, a 1:1 mixing ratio maximized S. cannabina utilization without compromising feeding value, and LAB inoculation ensured successful ensiling while enhancing nutrient utilization. Full article
(This article belongs to the Section Farm Animal Production)
Show Figures

Figure 1

17 pages, 2985 KB  
Article
Corn Stover Biochar Amendment Enhances Nitrogen and Phosphorus Transformations, Microbial Community Diversity, and Enzyme Activities in Agricultural Soil
by Baihui Li, Jie Zhang, Tingting Chang, Qianqian Wu, Hanyu Zheng and Dong Zhang
Plants 2025, 14(17), 2787; https://doi.org/10.3390/plants14172787 - 5 Sep 2025
Viewed by 405
Abstract
Corn stover biochar amendment significantly influences nitrogen (N) and phosphorus (P) transformations, microbial community composition, and enzyme activities in continuous cropping soils. This study aimed to identify the optimal biochar application rate for enhancing N and P nutrient availability in Solanum lycopersicum L. [...] Read more.
Corn stover biochar amendment significantly influences nitrogen (N) and phosphorus (P) transformations, microbial community composition, and enzyme activities in continuous cropping soils. This study aimed to identify the optimal biochar application rate for enhancing N and P nutrient availability in Solanum lycopersicum L. continuous cropping systems, providing theoretical and technical foundations for mitigating continuous cropping obstacles. A soil experiment under rain-out shelters employed four treatments: 1% biochar (BA1), 3% biochar (BA3), 5% biochar (BA5), and a non-amended control (BA0). The results indicated that biochar amendment significantly elevated available phosphorus content in the soil while effectively suppressing its vertical migration; nitrate N content increased under BA1 treatment but decreased in the BA3 and BA5 groups; and the strength of the inhibition effect of biochar treatment on the vertical migration of nitrate N was BA1 > BA5 > BA0 > BA3. The addition of biochar treatment had no significant effect on the content of ammonium N but could inhibit the vertical migration of ammonium N. The addition of biochar treatment could increase the soil’s ammonium N content. The addition of biochar treatment increased soil catalase and urease and sucrase activities, decreased alkaline phosphatase activity, led to the promotion of nitrate reductase activity at low doses and its inhibition at high doses, and resulted in BA1 treatment having the largest soil enzyme index (SEI), which was the most favorable to increase the overall level of soil enzyme activities. Biochar significantly increased the relative abundance of Patescibacteria and Ciliophora while reducing Gemmatimonadota, Acidobacteriota, Nitrospirota, Ascomycota, and Chlorophyta. Comprehensive evaluation using gray relational analysis (GRA) demonstrated that the addition of 5% biochar resulted in the optimal overall performance, enhancing nitrogen and phosphorus transformation, improving microbial community structure, and harmonizing enzyme activities, thereby exhibiting considerable potential for alleviating the nutrient limitations of nitrogen and phosphorus in continuous cropping soils. Full article
(This article belongs to the Special Issue Advances in Microbial Solutions for Sustainable Agriculture)
Show Figures

Figure 1

16 pages, 2473 KB  
Article
Effects of Lactic Acid Bacteria-Directed Screening on Flavor and Functional Properties of Fermented Corn Protein Hydrolysate
by Shanzi Cong, Meng Sun, Yujia Cao, Hongji Zhao, Jingyi Sun, Guanlong Li, Xiaolan Liu and Nan Hu
Foods 2025, 14(17), 3074; https://doi.org/10.3390/foods14173074 - 31 Aug 2025
Viewed by 612
Abstract
This study aims to screen out high-yield protease lactic acid bacteria (LAB) from cheese and analyze the flavor and functional characteristics of their fermentation of corn protein hydrolysate (CPH). Lacticaseibacillus rhamnosus ZYN-71 and Limosilactobacillus fermentum ZYN-76 were isolated and screened by traditional biological [...] Read more.
This study aims to screen out high-yield protease lactic acid bacteria (LAB) from cheese and analyze the flavor and functional characteristics of their fermentation of corn protein hydrolysate (CPH). Lacticaseibacillus rhamnosus ZYN-71 and Limosilactobacillus fermentum ZYN-76 were isolated and screened by traditional biological methods. Then, the two strains synergistically fermented CPH, and it was found that the scavenging rate of DPPH, ·OH, and O2−· and the chelating ability of Fe2+ of the fermented CPH increased by 22.85%, 3.82%, 63.37%, and 43.27%, respectively. Meanwhile, the solubility, water-holding capacity, oil-holding capacity, foaming property, foam stability, emulsification property, and emulsification stability had also been improved to varying degrees. The aroma of the CPH after fermentation mainly consisted of aldehydes (20.2%) and nitrogen heterocyclic compounds (19.4%), and the content of off-flavor components was reduced. LAB fermentation effectively improves the practical problems existing in the current application of corn proteolytic products. This research can provide a research basis for corn protein-related products. Full article
(This article belongs to the Special Issue Advanced Technology to Improve Plant Protein Functionality)
Show Figures

Figure 1

19 pages, 1290 KB  
Article
Bioconversion of Corn Cob Acid Hydrolysates into Isoamyl Alcohol and Volatile Compounds Using Meyerozyma guilliermondii
by Nora Estela Ponce-Fernández, Leticia Casas-Godoy, Rebeca Astorga-Trejo, Cuauhtémoc Reyes-Moreno and Claudia Castro-Martínez
Biomass 2025, 5(3), 51; https://doi.org/10.3390/biomass5030051 - 28 Aug 2025
Viewed by 442
Abstract
Corn residues are an abundant and low-cost lignocellulosic feedstock that provides a renewable carbon platform for the production of biofuels, bioplastics, and high-value aromatic volatile compounds (AVCs). Isoamyl alcohol, an important AVC, has applications in the food, cosmetics, and biofuel industries. This study [...] Read more.
Corn residues are an abundant and low-cost lignocellulosic feedstock that provides a renewable carbon platform for the production of biofuels, bioplastics, and high-value aromatic volatile compounds (AVCs). Isoamyl alcohol, an important AVC, has applications in the food, cosmetics, and biofuel industries. This study evaluated the bioconversion of corn cob acid hydrolysates by Meyerozyma guilliermondii into isoamyl alcohol and ethanol. Corn cob was selected as feedstock due to its high hemicellulose content. A Box–Behnken (BBD) design was used to optimize phosphoric acid hydrolysis. The optimal treatment (2.49% v/v H3PO4, 130 °C, 120 min, 1 mm particle size) generated 19.79 g L−1 xylose with 2.74 g L−1 acetic acid. Then, agitation speed and nitrogen concentration were optimized via a central composite design (CCD) in synthetic and hydrolysate-based media fermentations. Isoamyl alcohol specific yield after 48 h of fermentation was higher in hydrolysate medium (12.08 ± 0.67 mg·g−1) than in synthetic medium (8.274 ± 0.83 mg·g−1). Free amino nitrogen (FAN) and intracellular protein analyses revealed higher nitrogen consumption in synthetic media fermentation and greater biomass production in acid hydrolysate media. In addition to isoamyl alcohol (33 mg·L−1), and ethanol (10.18 g·L−1), 1-butanol (61.2 mg·L−1), 1-propanol (13.25 mg·L−1), and acetaldehyde (14.88 mg·L−1) were produced. These results demonstrate the potential of M. guilliermondii to convert corn cob into value-added products. Full article
Show Figures

Figure 1

17 pages, 4815 KB  
Article
Response of Soil Organic Carbon Sequestration Rate, Nitrogen Use Efficiency, and Corn Yield to Different Exogenous Carbon Inputs in Rainfed Farmlands of the Ningnan Mountainous Area, Northwest China
by Huanjun Qi, Jinyin Lei, Jinqin He, Jian Wang, Xiaoting Lei, Jianxin Jin and Lina Zhou
Agriculture 2025, 15(17), 1809; https://doi.org/10.3390/agriculture15171809 - 25 Aug 2025
Viewed by 500
Abstract
The mechanisms through which different types of exogenous carbon enhance the soil organic carbon sequestration rate (Cseq), nitrogen use efficiency (NUE), and corn yield (CY) in rainfed farmland on the Loess Plateau remain inadequately elucidated. This study established a four-year fixed-site [...] Read more.
The mechanisms through which different types of exogenous carbon enhance the soil organic carbon sequestration rate (Cseq), nitrogen use efficiency (NUE), and corn yield (CY) in rainfed farmland on the Loess Plateau remain inadequately elucidated. This study established a four-year fixed-site experiment in the context of organic materials to increase soil organic carbon storage and enhance corn yield in the dry-farmed areas of the mountainous southern Ningxia region. The research investigates the effects of adding different types of exogenous carbon materials on Cseq, NUE, and CY. The soil type at the experimental base is loessial soil (Huangmian soil), with a soil pH of 8.28 and a baseline organic carbon content of 8.20 g kg−1. The main crop cultivated in this area is corn. The experimental treatments were as follows: (i) N, no fertilization; (ii) CK, 100% nitrogen, phosphorus, and potassium fertilizers; (iii) C, 50%CK + corn straw (pulverized); (iv) M, 50%CK + fermented cow manure; (v) C/M, 50%CK + fermented cow manure + corn straw (1:1). The results show that compared with the CK treatment, the Cseq of C, M, and C/M treatments increased by 488.89%, 355.56%, and 527.78%, respectively. Compared with the CK treatment, the NUE of C, M, and C/M treatments increased by 15.04%, 7.70%, and 12.20%, respectively. Compared with the CK treatment, the CY under the C, M, and C/M treatments were increased by 7.91%, 19.10%, and 11.59%, respectively. The linear regression results show that the Cseq had a significant positive effect on CY (R2 = 0.37) and NUE, R2 = 0.39) (p < 0.0001). The TOPSIS (technique for order preference by similarity to ideal solution) evaluation results indicate that the C/M treatment was the optimal measure for achieving increased corn yield while enhancing Cseq and NUE. Therefore, incorporating a 1:1 mixture of corn straw and cattle manure in rainfed farmland in the mountainous area of southern Ningxia may be the best strategy to improve Cseq and NUE. Full article
(This article belongs to the Section Crop Production)
Show Figures

Figure 1

14 pages, 1726 KB  
Article
Effects of Lactic Acid Bacteria Inoculants on Fermentation Quality, Bacteria Communities and Antibiotic Resistance Genes in Whole-Crop Corn Silage
by Dandan Chen, Dan Yang, Tianxin Guo and Qing Zhang
Microorganisms 2025, 13(9), 1977; https://doi.org/10.3390/microorganisms13091977 - 25 Aug 2025
Viewed by 622
Abstract
Feed is an important source of antibiotic resistance genes (ARGs) in animals and products, posing significant potential risks to human health and the environment. Ensiling may present a feasible method for reducing ARGs in animal feed. This study involved the addition of four [...] Read more.
Feed is an important source of antibiotic resistance genes (ARGs) in animals and products, posing significant potential risks to human health and the environment. Ensiling may present a feasible method for reducing ARGs in animal feed. This study involved the addition of four types of lactic acid bacteria (LAB) inoculants, Lactiplantibacillus plantarum (LP), Pediococcus acidilactici (P), Enterococcus faecium (E), and Ligilactobacillus salivarius (LS), to whole-crop corn silage to investigate changes in ARGs, mobile genetic elements (MGEs), and their transmission risks during ensiling. The results indicated that the addition of LAB significantly reduced the ammonia nitrogen content and pH value of whole-crop corn silage, inhibited the growth of harmful microorganisms, and increased the lactic acid content (p < 0.05). The improvement effect was particularly pronounced in the P treatment group. Natural fermentation plays a significant role in reducing ARG abundance, and the addition of different types of lactic acid bacteria helps reduce the abundance of both ARGs and MGEs. Specifically, the LS treatment group exhibited a significant decrease in MGE abundance, potentially reducing the horizontal transmission risk of ARGs. Furthermore, variations in ARG abundance within different LAB strains were detected, showing a consistent trend with that in silage. ARGs and MGEs were correlated with the fermentation parameters and microbial communities (p < 0.05). This suggests that adding LAB with low levels of ARGs to silage can effectively reduce ARG contamination. Bacterial community structure, MGEs, and fermentation quality may act as driving forces for the transfer and dissemination of ARGs in the silage ecosystem. Full article
(This article belongs to the Section Food Microbiology)
Show Figures

Figure 1

20 pages, 4695 KB  
Article
Influence of Composite Amendments on the Characteristics of Sandy Soil
by Xinrui Sui, Lingyan Wang, Xinyao Lv, Yanan Liu, Yuqi Zhu, Lingyun Fan and Hanxi Wang
Sustainability 2025, 17(17), 7619; https://doi.org/10.3390/su17177619 - 23 Aug 2025
Viewed by 681
Abstract
Soil desertification control is a global challenge, and the barrenness of sandy soil limits the growth of plants. To enhance the vegetation growth capacity of sandy soils, the preparation of soil amendments and the experiment of improving desertified soil were conducted. The soil [...] Read more.
Soil desertification control is a global challenge, and the barrenness of sandy soil limits the growth of plants. To enhance the vegetation growth capacity of sandy soils, the preparation of soil amendments and the experiment of improving desertified soil were conducted. The soil amendment is prepared by mixing polyacrylamide (2.7%), biochar (16.2%), sodium bentonite (16.2%), straw fibers (5.4%), corn straw (2.7%), sheep manure organic fertilizer (54.1%), and composite microbial agents (2.7%). The laboratory experiment was conducted to investigate the effects of varying rates (0, 1.5%, 3%, 4.5%, 6%) of composite soil amendments on the properties of sandy soil and the Lolium perenne L. with a growth period of 30–60 days. The results indicated that the application of composite amendments at different rates maintained the soil pH between 7.0 and 7.5, increased the electrical conductivity, and significantly improved the soil moisture content, soil organic carbon (SOC), total nitrogen (TN), and total phosphorus contents. Under the condition of 3% amendment, the soil TN content increased from 0.74 to 1.83 g·kg−1. The composite amendments remarkably promoted L. perenne growth, as evidenced by increased plant height, dry weight, and nitrogen and phosphorus nutrient content, while the SOC content increased by 1–4 times. The application of composite amendments, prepared by mixing materials such as biochar, organic fertilizer, crop straw, microbial agents, bentonite, and water-retaining agents, enhanced the physicochemical properties of sandy soil and promoted L. perenne growth, and 3% was the most suitable application rate. These findings are expected to advance desertification-controlling technologies and enhance soil carbon sequestration capacity. Full article
(This article belongs to the Section Soil Conservation and Sustainability)
Show Figures

Figure 1

12 pages, 899 KB  
Communication
Impact of the Physical Modification of Starch (Oxalis tuberosa) in a Low-Fat Snack by Hot Air Frying, a Sustainable Process
by Nayeli Anayansi Loyo-Trujillo, María Remedios Mendoza-López, Rosa Isela Guzmán-Gerónimo, Rosario Galvan-Martínez, Francisco Erik González-Jiménez, Josué Antonio del Ángel-Zumaya, Audry Peredo-Lovillo and Juan Vicente Méndez-Méndez
Foods 2025, 14(16), 2909; https://doi.org/10.3390/foods14162909 - 21 Aug 2025
Viewed by 722
Abstract
Currently, there is an increasing demand for plant-based and low-fat snacks. Non-conventional starch and grains are alternative ingredients. Environmentally friendly processing, such as liquid nitrogen and microwaves, can be used to obtain modified starch, as well as hot air frying to cook snacks. [...] Read more.
Currently, there is an increasing demand for plant-based and low-fat snacks. Non-conventional starch and grains are alternative ingredients. Environmentally friendly processing, such as liquid nitrogen and microwaves, can be used to obtain modified starch, as well as hot air frying to cook snacks. The aim of this work was to evaluate the impact of eco-friendly physical modification of starch from Oxalis tuberosa in a low-fat snack processed by hot air frying. First, native starch (NS) was treated with liquid nitrogen (LNS) and liquid nitrogen/microwaves (LNMS), and the amylose/amylopectin content and functional properties were determined. The snacks were formulated with NS or modified starches, amaranth flour, quinoa flour, corn, onion powder, salt, and water; the ingredients were mixed and placed in an electric pasta maker and cooked by hot air frying. The hardness, hedonic test, colorimetric parameters, acrylamide, proximal composition, and fatty acid profile were analyzed. All starches showed similar values of amylose and amylopectin content. LNMS starch had the lowest water solubility index as compared to NS and LNS. The snacks with the starch modified with liquid nitrogen showed the highest values of hardness as well as the highest score for the texture from a hedonic test. The snacks with modified starches showed a lower browning index than the snack formulated with NS. Acrylamide was not detected in any snacks. The lipid value of the snacks with modified starch was 1.9–2.70 g/100 g of sample, providing ω-9, ω-6, and ω-3 fatty acids. All snacks contained 7.7 g of protein/100 g of sample. These low-fat and plant-based snacks are a healthy option made by environmentally friendly technologies. Full article
Show Figures

Graphical abstract

20 pages, 3422 KB  
Article
Field Spectroscopy for Monitoring Nitrogen Fertilization and Estimating Cornstalk Nitrate Content in Maize
by Jesús Val, Iván González-Pérez, Enoc Sanz-Ablanedo, Ángel Maresma and José Ramón Rodríguez-Pérez
AgriEngineering 2025, 7(8), 264; https://doi.org/10.3390/agriengineering7080264 - 14 Aug 2025
Viewed by 468
Abstract
Evaluating the response of maize crops to different nitrogen fertilization rates is essential to ensure their agronomic, environmental, and economic efficiency. In this study, the spectral information of maize plants subjected to five distinct nitrogen fertilization strategies was analyzed. The fertilization strategies were [...] Read more.
Evaluating the response of maize crops to different nitrogen fertilization rates is essential to ensure their agronomic, environmental, and economic efficiency. In this study, the spectral information of maize plants subjected to five distinct nitrogen fertilization strategies was analyzed. The fertilization strategies were based on the practices commonly used in maize fields in the study area, with the aim of ensuring the research findings’ applicability. The spectral reflectance was measured using a spectroradiometer covering the 350–2500 nm range, and the results enabled the identification of optimal spectral regions for monitoring plants’ nitrogen status, particularly in the visible and infrared ranges. A Principal Component Analysis (PCA) of the reflectance data revealed the key wavelengths most sensitive to the nitrogen availability: 555 nm and 720 nm during the vegetative stage and 680 nm during the reproductive stage. This information will support the development of drone-mounted multispectral sensor systems for large-scale monitoring, as well as the design of low-cost sensors for early nitrogen deficiency detection. Furthermore, the study demonstrated the feasibility of estimating the cornstalk nitrate content based on direct reflectance measurements of maize stems. The prediction model showed satisfactory performance, with a coefficient of determination (R2) of 0.845 and a root mean square error of prediction (RMSECV) of 2035.3 ppm, indicating its strong potential for predicting the NO3-N concentrations in maize stems. Full article
Show Figures

Figure 1

13 pages, 1599 KB  
Article
The Addition of Exogenous Compost Humus Shortens the Composting Cycle of New Corn Stalks, Thereby Promoting Plant Growth
by Yihang Bao, Jianyu Lu, Jinrong Li and Hao Pang
Sustainability 2025, 17(16), 7177; https://doi.org/10.3390/su17167177 - 8 Aug 2025
Cited by 1 | Viewed by 548
Abstract
The treatment of straw biomass has always been a global issue. Although composting processes a large amount of straw biomass as a low-cost technology, its low efficiency has resulted in redundant stores of straw biomass. However, the humus in compost not only has [...] Read more.
The treatment of straw biomass has always been a global issue. Although composting processes a large amount of straw biomass as a low-cost technology, its low efficiency has resulted in redundant stores of straw biomass. However, the humus in compost not only has an impact on soil fertility, but also has important effects on the functioning of microbial ecosystems. Meanwhile, the colloidal properties of humus can enhance the water and fertilizer retention capacity of compost, creating a suitable living environment for microorganisms. This study aimed to address the problems of the long composting periods and low maturity efficiency of corn straw by exploring the regulatory effect of exogenous compost humus on the composting process of corn straw and its promoting effect on plant growth. Composting treatment groups were set up with the addition of exogenous humus to systematically monitor the temperature changes, dynamic formation of humus, and change in microbial community during composting. The effects of compost products on corn growth were also analyzed through pot experiments. The results showed that the intervention of exogenous humus can significantly accelerate the composting process of corn straw, extend the traditional composting heating period by 8 days, and increase the humus content by 27.98 g/kg. It also increased the content of organic functional groups in the humus and significantly promoted the growth of corn, increasing its nitrogen content by 5.11 g/kg and increasing plant height and leaf length by 5 cm. This provides a new technical path for the efficient utilization of composting for corn straw. The treatment of agricultural waste and the production of high-quality organic fertilizers will promote the development of green agriculture. Full article
(This article belongs to the Section Sustainable Agriculture)
Show Figures

Figure 1

16 pages, 1850 KB  
Article
Effect of Biochar-Coated Urea on Soil Nitrogen, Plant Uptake, and Sweet Corn Yield in Sandy Soil
by Sa’adah Shofiati, Gabryna Auliya Nugroho, Zaenal Kusuma and Syahrul Kurniawan
Nitrogen 2025, 6(3), 61; https://doi.org/10.3390/nitrogen6030061 - 28 Jul 2025
Viewed by 828
Abstract
The low nitrogen-use efficiency (NUE) in sandy soils, due to high porosity and poor nutrient retention, necessitates proper management in fertilization. This study aims to evaluate the effect of biochar-coated urea (BCU) with different coating thicknesses and nitrogen doses on soil nitrogen content, [...] Read more.
The low nitrogen-use efficiency (NUE) in sandy soils, due to high porosity and poor nutrient retention, necessitates proper management in fertilization. This study aims to evaluate the effect of biochar-coated urea (BCU) with different coating thicknesses and nitrogen doses on soil nitrogen content, nitrogen uptake, NUE, growth, and yield of sweet corn in sandy soil. The experiment used a factorial randomized block design with two factors, including biochar coating thicknesses (i.e., 14% and 29%) and fertilization doses (i.e., 50%, 100%, 150%, 200%, and 250%). The results showed that the 29% biochar coating thickness led to 9.9–21.3% higher plant height, N uptake, and N-use efficiency, but it led to 22.8% lower yield, as compared to the 14% biochar coating thickness. Additionally, the application of BCU doses of 100% and 150% (~161 and 241.5 kg N/ha) led to 9.2–97.3% higher maize growth, yield, N uptake, and NEU as compared to the other doses (i.e., 50%, 100%, 250%). This study confirmed that the combination of a 29% biochar coating thickness with 150% of the recommended BCU dose (~241.5 kg N/ha) was the best combination, resulting in the highest N uptake, growth, and yield of maize. Full article
Show Figures

Figure 1

13 pages, 2088 KB  
Article
Assessment of Effects of Storage Time on Fermentation Profile, Chemical Composition, Bacterial Community Structure, Co-Occurrence Network, and Pathogenic Risk in Corn Stover Silage
by Zhumei Du, Ying Meng, Yifan Chen, Shaojuan Cui, Siran Wang and Xuebing Yan
Fermentation 2025, 11(8), 425; https://doi.org/10.3390/fermentation11080425 - 23 Jul 2025
Viewed by 634
Abstract
In order to achieve the efficient utilization of agricultural by-products and overcome the bottleneck of animal feed shortages in dry seasons, this study utilized corn stover (CS; Zea mays L.) as a material to systematically investigate the dynamic changes in the fermentation quality, [...] Read more.
In order to achieve the efficient utilization of agricultural by-products and overcome the bottleneck of animal feed shortages in dry seasons, this study utilized corn stover (CS; Zea mays L.) as a material to systematically investigate the dynamic changes in the fermentation quality, bacterial community structure, and pathogenic risk of silage under different fermentation times (0, 3, 7, 15, and 30 days). CS has high nutritive value, including crude protein and sugar, and can serve as a carbon source and a nitrogen source for silage fermentation. After ensiling, CS silage (CSTS) exhibited excellent fermentation quality, characterized by relatively high lactic acid content, low pH, and ammonia nitrogen content within an acceptable range. In addition, neither propionic acid nor butyric acid was detected in any of the silages. CS exhibited high α-diversity, with Serratia marcescens being the dominant bacterial species. After ensiling, the α-diversity significantly (p < 0.05) decreased, and Lactiplantibacillus plantarum was the dominant species during the fermentation process. With the extension of fermentation days, the relative abundance of Lactiplantibacillus plantarum significantly (p < 0.05) increased, reaching a peak and stabilizing between 15 and 30 days. Ultimately, lactic acid bacteria dominated and constructed a microbial symbiotic network system. In the bacterial community of CSTS, the abundance of “potential pathogens” was significantly (p < 0.01) lower than that of CS. These results provide data support for establishing a microbial regulation theory for silage fermentation, thereby improving the basic research system for the biological conversion of agricultural by-products and alleviating feed shortages in dry seasons. Full article
Show Figures

Figure 1

Back to TopTop