Sign in to use this feature.

Years

Between: -

Subjects

remove_circle_outline
remove_circle_outline
remove_circle_outline
remove_circle_outline
remove_circle_outline
remove_circle_outline
remove_circle_outline
remove_circle_outline
remove_circle_outline

Journals

remove_circle_outline
remove_circle_outline
remove_circle_outline
remove_circle_outline
remove_circle_outline
remove_circle_outline
remove_circle_outline
remove_circle_outline
remove_circle_outline
remove_circle_outline
remove_circle_outline
remove_circle_outline

Article Types

Countries / Regions

remove_circle_outline
remove_circle_outline
remove_circle_outline
remove_circle_outline
remove_circle_outline
remove_circle_outline

Search Results (666)

Search Parameters:
Keywords = contract theory

Order results
Result details
Results per page
Select all
Export citation of selected articles as:
17 pages, 732 KB  
Article
The Role of Technological Innovation and Governance Towards Achieving Food Security Under SDG 2
by Ruiqi Zhang, Wong Sing Yun, Jain Yassin, Shairil Izwan Taasim, Rohaizahtulamni Radzlan and Sawanah Mumin
Sustainability 2026, 18(9), 4264; https://doi.org/10.3390/su18094264 (registering DOI) - 24 Apr 2026
Abstract
This study investigates the dynamic impact of technological innovation and institutional governance on the value-added contribution of Malaysia’s agriculture, forestry, and fishery (AFF) sectors. This research addresses a critical literature gap by integrating Schumpeterian Innovation Theory and Institutional Theory to examine how these [...] Read more.
This study investigates the dynamic impact of technological innovation and institutional governance on the value-added contribution of Malaysia’s agriculture, forestry, and fishery (AFF) sectors. This research addresses a critical literature gap by integrating Schumpeterian Innovation Theory and Institutional Theory to examine how these drivers promote the primary sector by employing the Autoregressive Distributed Lag (ARDL) approach. The empirical results revealed that while technological innovation provides a highly significant boost to sectoral productivity in the short run, its long-run effect is negative. This suggested a structural contraction consistent with Schumpeterian creative destruction notion. Additionally, governance quality exhibited an initial compliance shock before yielding positive results, though it remains prone to long-term institutional traps. These findings contribute a multi-sectoral integrated framework that challenges the traditional siloed approach to AFF research. The study offers vital implications for policymakers, emphasizing the need for adaptive governance and inclusive innovation strategies to ensure that Malaysia’s path toward modernization does not compromise national food sovereignty. Full article
(This article belongs to the Section Sustainable Food)
28 pages, 1664 KB  
Article
Failing to Use the Balance Sheet to Manage Cycle Shocks: Evidence from Nigeria
by Akolisa Ufodike
J. Risk Financial Manag. 2026, 19(4), 298; https://doi.org/10.3390/jrfm19040298 - 20 Apr 2026
Viewed by 326
Abstract
Nigeria entered the 2020 COVID-19-related oil price downturn without the fiscal buffers that numerous resource-rich economies had built over time. Despite heavy dependence on petroleum revenues, the country has made limited use of stabilization tools such as structured hedging programs, sovereign savings mechanisms, [...] Read more.
Nigeria entered the 2020 COVID-19-related oil price downturn without the fiscal buffers that numerous resource-rich economies had built over time. Despite heavy dependence on petroleum revenues, the country has made limited use of stabilization tools such as structured hedging programs, sovereign savings mechanisms, or strategic reserves, leaving public finances exposed to external shocks. Drawing on political choice theory and the resource governance literature, this study examines how institutional conditions shaped crisis management during the 2020 oil price collapse and the COVID-19 pandemic. The study combines qualitative institutional analysis with a stochastic counterfactual simulation. It compares Nigeria’s policy approach with those of oil-producing countries including Mexico, Saudi Arabia, the United Arab Emirates, Angola, and Ghana, using data from the IMF, World Bank, Afreximbank, and peer-reviewed sources. The counterfactual simulation is calibrated to Nigeria’s 2019 federal budget oil benchmark of US $60 per barrel, with the IMF’s 2019 petroleum price assumption used as a robustness check. The model treats hedging as a form of partial fiscal insurance rather than full stabilization. Results suggest that hedging sufficient to offset 10%, 20%, and 30% of the shock would have improved 2020 GDP decline from −1.80% to approximately −1.62%, −1.44%, and −1.26%, respectively. The analysis identifies institutional gaps in Nigeria’s use of hedging, sovereign savings, and reserve infrastructure. The counterfactual results indicate that even modest oil hedging could have meaningfully softened the 2020 downturn, with the 20% scenario reducing GDP contraction by an estimated 0.36 percentage points. These findings suggest that governance constraints contributed materially to fiscal vulnerability. The study proposes a four-pillar framework centered on risk hedging, revenue savings, strategic investment, and institutional reform to strengthen fiscal stability and resilience to external shocks. Full article
(This article belongs to the Special Issue Commodity Price Risk and Corporate Valuation)
Show Figures

Graphical abstract

23 pages, 1216 KB  
Article
Assessment of Distributed PV Hosting Capacity in Distribution Areas Based on Operating Region Analysis
by Xiaofeng Dong, Can Liu, Junting Li, Qiong Zhu, Yuying Wang and Junpeng Zhu
Algorithms 2026, 19(4), 320; https://doi.org/10.3390/a19040320 - 20 Apr 2026
Viewed by 99
Abstract
With the high penetration of distributed photovoltaics (PV) in distribution areas, transformer capacity limits and source–load fluctuations have become key factors constraining PV accommodation. To accurately assess the PV hosting capacity under energy storage regulation, this paper proposes an assessment method based on [...] Read more.
With the high penetration of distributed photovoltaics (PV) in distribution areas, transformer capacity limits and source–load fluctuations have become key factors constraining PV accommodation. To accurately assess the PV hosting capacity under energy storage regulation, this paper proposes an assessment method based on operating region analysis. First, a coordinated operation model for the distribution area is established, incorporating the transformer capacity, energy storage constraints, and power balance. On this basis, the calculation boundaries for the PV hosting capacity are discussed in two scenarios: Model 1 ignores power curve uncertainty, characterizing the geometry of the conventional operating region to find the maximum deterministic hosting capacity (S1) that keeps the region non-empty. Model 2 introduces box-type uncertainty sets for the source and load, proposes the concept of a “Self-Balanced Operating Region”, and constructs a robust feasibility determination model (f3) based on a Min–Max–Min structure. To solve this multi-layer nested non-convex model, an iterative algorithm based on duality theory and Benders decomposition is employed to determine the robust hosting capacity under uncertainty (S2) at the critical point where f3 shifts from zero to non-zero. Case studies show that source–load uncertainty leads to a significant contraction of the operating region, and the robust hosting capacity under uncertainty requirements is strictly less than the deterministic hosting capacity (S1>S2). This method quantifies the reduction effect of uncertainty on the accommodation capability, providing a theoretical basis for planning high-renewable penetration distribution areas and energy storage configuration. Full article
24 pages, 371 KB  
Article
Intersection Graphs of Monoids in a Graphical Homotopy Framework via Path Spaces and Homogeneous Structures: Some Applications to Graphical Comprehensive Monoids
by Maryam F. Alshammari, Altaf Alshuhail and Amin Saif
Mathematics 2026, 14(8), 1345; https://doi.org/10.3390/math14081345 - 16 Apr 2026
Viewed by 174
Abstract
In this work, we construct a homotopy theory for a class of intersection graphs arising from topological monoids. We introduce the M-intersection graph of a τe-monoid, where the vertices correspond to proper τe-submonoids and adjacency is defined by [...] Read more.
In this work, we construct a homotopy theory for a class of intersection graphs arising from topological monoids. We introduce the M-intersection graph of a τe-monoid, where the vertices correspond to proper τe-submonoids and adjacency is defined by trivial intersection. Several structural properties of the graph, including total disconnectedness, bipartiteness and planarity, are investigated and shown to be closely related to the algebraic structure and decomposition of finite τe-monoids. Based on this framework, we develop a graphical homotopy theory by introducing graphical τe-monoids, graphical homomorphisms, and graphical homotopies. We study graphical homotopy equivalence, graphical contractibility, and path monoids, and examine retraction properties through graphical retracts, D-graphical retracts and graphical homotopy extension properties. Furthermore, we present an example of graphical comprehensive monoids and construct a θ-homogeneous topology on the set of graphical path homotopy classes. We show that this topology is compatible with the induced monoid operation, yielding a well-behaved functorial topological monoid structure. Full article
Show Figures

Figure 1

19 pages, 978 KB  
Article
The Question at the Heart of Assessment in Higher Education: Are We Assessing for Competency Acquisition?
by María José Bolarín Martínez, Claudia González López and Abraham Bernárdez-Gómez
Trends High. Educ. 2026, 5(2), 34; https://doi.org/10.3390/higheredu5020034 - 16 Apr 2026
Viewed by 146
Abstract
European universities are increasingly adopting competency-based education to enhance transfer between academic and professional contexts, demanding assessment systems aligned with classroom practices. This study explores what is assessed in three Spanish universities. Spain constitutes a particularly relevant case: its course guides are legally [...] Read more.
European universities are increasingly adopting competency-based education to enhance transfer between academic and professional contexts, demanding assessment systems aligned with classroom practices. This study explores what is assessed in three Spanish universities. Spain constitutes a particularly relevant case: its course guides are legally binding contracts subject to external audit by the National Agency for Quality Assessment and Accreditation (ANECA), ensuring exceptional standardization. A theory-driven documentary analysis examined 7810 teaching guides from all degree programs, with coding supported by ATLAS.ti software applied to these documents, which represent statements of intent by faculty members. The findings reveal notable discrepancies: competencies were rarely the central focus of assessment, and evaluation appeared fragmented, overlooking the integration of knowledge, skills, and attitudes. These gaps raise concerns about the innovative dimension of competency-based models. The study concludes that institutional assessment schemes should promote holistic education, ensuring students develop collaborative and cross-disciplinary capacities essential for professional environments. Full article
Show Figures

Figure 1

31 pages, 455 KB  
Article
Numerical and Stability Analysis of Hilfer-Type Fuzzy Fractional Control Systems with Infinite Delay
by Aeshah Abdullah Muhammad Al-Dosari
Fractal Fract. 2026, 10(4), 262; https://doi.org/10.3390/fractalfract10040262 - 15 Apr 2026
Viewed by 224
Abstract
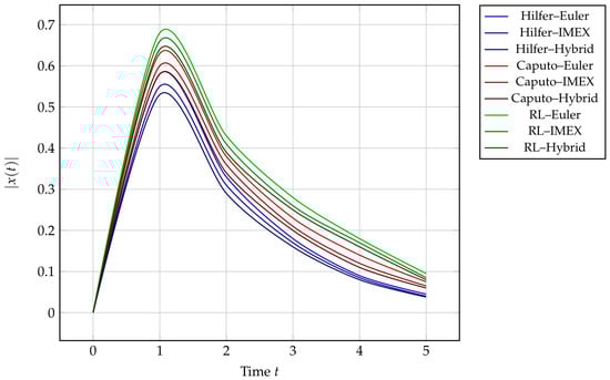
This paper presents a unified theoretical and numerical investigation of Hilfer-type fuzzy fractional control systems with infinite continuous delay. By employing contraction mapping principles and compact semigroup theory, we establish rigorous solvability conditions together with Ulam–Hyers–Rassias stability results expressed in terms of Mittag–Leffler [...] Read more.
This paper presents a unified theoretical and numerical investigation of Hilfer-type fuzzy fractional control systems with infinite continuous delay. By employing contraction mapping principles and compact semigroup theory, we establish rigorous solvability conditions together with Ulam–Hyers–Rassias stability results expressed in terms of Mittag–Leffler functions. To complement the analytical framework, we design and implement numerical schemes based on Euler and IMEX approaches, which confirm the theoretical predictions through simulations. The computational experiments demonstrate the robustness of the proposed framework under delayed feedback and fractional memory effects, highlighting its relevance to practical domains such as biological regulation, porous media transport, and intelligent traffic systems. The contribution of this study lies in the bridge between mathematical rigor and computational implementation, thus advancing the theory of fractional differential inclusions and providing a versatile tool for the stability analysis and control of complex systems with uncertainty and hereditary dynamics. Full article
Show Figures

Figure 1

20 pages, 344 KB  
Article
Canonical Fixed Points of Recursive Preference Functors: A Categorical Approach to Hierarchies of Ambiguity
by Stelios Arvanitis, Pantelis Argyropoulos and Spyros Vassilakis
AppliedMath 2026, 6(4), 61; https://doi.org/10.3390/appliedmath6040061 - 15 Apr 2026
Viewed by 133
Abstract
We develop a categorical framework for modeling recursive uncertainty over preferences in decision theory. Classical models of ambiguity allow for uncertainty over outcomes or beliefs but usually rely on finite or exogenously truncated representations when agents face uncertainty about their own evaluative criteria. [...] Read more.
We develop a categorical framework for modeling recursive uncertainty over preferences in decision theory. Classical models of ambiguity allow for uncertainty over outcomes or beliefs but usually rely on finite or exogenously truncated representations when agents face uncertainty about their own evaluative criteria. Given that such recursive preference formation generates an infinite hierarchy that may not stabilize at any finite level, we introduce a contractive von Neumann–Morgenstern utility functor on a category of compact metric spaces enriched over complete metric spaces, and establish the existence and uniqueness of its canonical fixed point. This fixed point is interpreted as a universal preference space that contains all levels of recursive ambiguity in a consistent and metrically stable form. We further extend the construction to multi-utility representations and discuss its relation to existing models of ambiguity and universal choice spaces. This framework offers a minimal unified representation of recursive preference structures. Full article
10 pages, 241 KB  
Article
Generalized Contractive Mappings and Fixed-Point Theorems in Complete G-Metric Spaces
by Kittisak Saengsura, Naharuethai Phaluek and Sarinyarat Paphadachuethapra
Mathematics 2026, 14(8), 1299; https://doi.org/10.3390/math14081299 - 13 Apr 2026
Viewed by 290
Abstract
This paper establishes existence and uniqueness theorems for fixed points in complete G-metric spaces under new contractive conditions. Our approach utilizes a parameter α[0,2] and a function mapping into a finite subset of [...] Read more.
This paper establishes existence and uniqueness theorems for fixed points in complete G-metric spaces under new contractive conditions. Our approach utilizes a parameter α[0,2] and a function mapping into a finite subset of [0,1/2), incorporating various G-metric distances between points and their images. A primary contribution of this work is the identification and rectification of critical logical flaws and gaps in the proofs presented in previous studies. By providing a more rigorous analytical framework, we re-establish the fixed-point results and extend them to include the iterates of the mapping. These results strengthen the theoretical foundation of fixed-point theory in generalized metric structures. Full article
(This article belongs to the Section C3: Real Analysis)
24 pages, 714 KB  
Review
Infrastructure for Sustainable Protein Innovation: A Global Value Chain Framework for CDMOs in Fermentation-Based Biomanufacturing
by Germano Glufke Reis, Antonella Samoggia and Maria Clara Manzoki
Foods 2026, 15(8), 1341; https://doi.org/10.3390/foods15081341 - 13 Apr 2026
Viewed by 381
Abstract
Achieving more sustainable production in emerging biomanufacturing sectors depends not only on technological innovation but also on how production systems are organized, governed, and scaled. Fermentation-derived proteins produced through biomass and precision fermentation offer promising pathways to reduce the environmental impacts of conventional [...] Read more.
Achieving more sustainable production in emerging biomanufacturing sectors depends not only on technological innovation but also on how production systems are organized, governed, and scaled. Fermentation-derived proteins produced through biomass and precision fermentation offer promising pathways to reduce the environmental impacts of conventional livestock production. However, their sustainability and circularity outcomes depend heavily on access to biomanufacturing infrastructure and coordination along global value chains. Drawing on Global Value Chain (GVC) theory and an integrative review of more than 40 academic and industry sources published between 2017 and 2026, spanning global value chain governance, biomanufacturing scale-up, CDMO functions, and sustainability and bioeconomy transitions, this study develops a conceptual framework that positions Contract Development and Manufacturing Organizations (CDMOs) as key infrastructural intermediaries in fermentation-based protein systems. CDMOs facilitate access to fermentation capacity, technical expertise, and regulatory capabilities, thereby shaping governance arrangements, capability development, and the scaling of innovation. In doing so, they influence how cleaner production principles, such as resource efficiency, circular feedstock integration, and improved environmental performance, are translated into industrial practice. The analysis also highlights risks linked to CDMO-driven scaling, including infrastructure concentration, dependency dynamics, and unequal access across regions. By integrating GVC perspectives with insights from sustainability transitions and the circular bioeconomy, the article advances understanding of how infrastructural intermediaries shape cleaner production outcomes in emerging biomanufacturing value chains. Full article
(This article belongs to the Special Issue Meat and Its Replacers: Green Processing and Quality Innovation)
Show Figures

Figure 1

35 pages, 474 KB  
Review
Developments in Modular Space Fixed Point Theory
by Wojciech M. Kozlowski
Mathematics 2026, 14(7), 1234; https://doi.org/10.3390/math14071234 - 7 Apr 2026
Viewed by 335
Abstract
This survey article offers a snapshot view of the present state of fixed point theory within modular spaces, highlighting fundamental principles and their applications. The discussion primarily revolves around operators and their semigroups that satisfy pointwise asymptotic nonexpansive and contractive conditions in the [...] Read more.
This survey article offers a snapshot view of the present state of fixed point theory within modular spaces, highlighting fundamental principles and their applications. The discussion primarily revolves around operators and their semigroups that satisfy pointwise asymptotic nonexpansive and contractive conditions in the modular sense, and the results can also be applied directly to Banach spaces. Utilizing the framework of regular and super-regular modular spaces, our research generalizes several established results concerning fixed points of nonlinear operators, applicable to both Banach spaces and modular function spaces. The study seeks to identify and discuss current challenges, knowledge gaps, and unresolved questions, providing insights into the potential of future research opportunities. Full article
(This article belongs to the Special Issue Advances in Nonlinear Analysis and Applications)
18 pages, 375 KB  
Article
Frankenstein: Children, Duties, and the (In)Justice of Rights
by Enit Karafili Steiner
Humanities 2026, 15(4), 55; https://doi.org/10.3390/h15040055 - 7 Apr 2026
Viewed by 409
Abstract
This essay explores Mary Shelley’s contribution to the political philosophy of children’s rights and its connection to duties-based justice by establishing a dialogue between Frankenstein and The Rights of Infants (1797). A little-studied treatise by Thomas Spence, Rights of Infants advances a proto-feminist [...] Read more.
This essay explores Mary Shelley’s contribution to the political philosophy of children’s rights and its connection to duties-based justice by establishing a dialogue between Frankenstein and The Rights of Infants (1797). A little-studied treatise by Thomas Spence, Rights of Infants advances a proto-feminist stance that is not unlike Godwin’s and Wollstonecraft’s model in that it foregrounds duties from which rights can be extrapolated. Two points made by Spence inform this reading of Frankenstein. First, Spence’s text spotlights a neglected line of thought during the French Revolution, which, contrary to social contract theory, posits the child as the paradigmatic recipient of justice and familial life as the cornerstone for deliberations on justice. Second, Spence identified acts of conquest camouflaged as a fabled, non-existent consent between people and government by social contract theorists like Hobbes and Locke. Shelley’s novel dramatizes these two points by taking infancy as the ground zero on which to think of justice, and then, incrementally exposing a logic of conquest through the concatenated deaths of William and Justine and the destruction of the inanimate female creature. The essay concludes that the novel stages a far-reaching interrogation of rights-based justice, thus extending a view of justice that has gained prominence in critiques of neoliberalism over the last half-century. Full article
20 pages, 1508 KB  
Systematic Review
Blockchain Technology and Automated Project Governance: A Systematic Review of Governance Mechanisms, Enabling Conditions, and Future Research Directions
by Mohammed Saeed Alotaibi
Sustainability 2026, 18(7), 3589; https://doi.org/10.3390/su18073589 - 6 Apr 2026
Viewed by 401
Abstract
This study synthesizes peer-reviewed literature to examine how blockchain technology supports Automated Project Governance (APG), focusing on the organizational, institutional, and human conditions under which potential governance contribution is realized. A systematic literature review was conducted in accordance with PRISMA 2020 guidelines, yielding [...] Read more.
This study synthesizes peer-reviewed literature to examine how blockchain technology supports Automated Project Governance (APG), focusing on the organizational, institutional, and human conditions under which potential governance contribution is realized. A systematic literature review was conducted in accordance with PRISMA 2020 guidelines, yielding twenty-one empirically and conceptually grounded studies. Screening reliability was strengthened through independent dual screening at the full-text eligibility stage (inter-rater κ = 0.81). Seven blockchain-enabled governance mechanisms are synthesized and comparatively assessed in terms of evidentiary support and research maturity, suggesting that blockchain’s decentralized and immutable architecture may support transparency, accountability, and coordination when embedded within appropriate governance arrangements, but these benefits do not arise automatically from technological adoption. The synthesis further identifies enabling conditions, including stakeholder acceptance, organizational governance readiness, and institutional alignment, and maps explicit research gaps for each mechanism to guide future empirical inquiry. By grounding the synthesis in the Technology Acceptance Model and Institutional Theory, the study provides a literature-derived, socio-technical framework for understanding blockchain adoption in APG and offers governance-oriented insights for organizations and policymakers. Full article
Show Figures

Figure 1

33 pages, 6049 KB  
Article
Blockchain-Based Mixed-Node Auction Mechanism
by Xu Liu and Junwu Zhu
Electronics 2026, 15(7), 1516; https://doi.org/10.3390/electronics15071516 - 4 Apr 2026
Viewed by 316
Abstract
Blockchain-based auctions often utilize smart contracts to automate auction rules, with much research focusing on enhancing privacy and fairness through cryptographic techniques. However, the authenticity of external data input into these systems is frequently overlooked. In particular, rational nodes may manipulate bidding data [...] Read more.
Blockchain-based auctions often utilize smart contracts to automate auction rules, with much research focusing on enhancing privacy and fairness through cryptographic techniques. However, the authenticity of external data input into these systems is frequently overlooked. In particular, rational nodes may manipulate bidding data by submitting false types to maximize their utility, compromising market fairness and the reliability of auction outcomes. The aim of this study is to propose an alternative blockchain-based auction mechanism to incentivize nodes to report types honestly. We propose the Mixed-Node Advertising Auction (MNAA) mechanism for digital advertising auctions on blockchain systems. MNAA integrates quasi-linear and value maximization utility models to design allocation and pricing rules that eliminate nodes’ incentives to misreport their types, ensuring the authenticity of data submitted to the auction. To enhance efficiency, MNAA employs state channel technology and off-chain smart contracts, reducing main chain interactions. Theoretical analysis confirms that MNAA incentivizes truthful behavior and ensures security and correctness. Simulation results show that MNAA outperforms Generalized Second Price (GSP), Mixed Bidders with Private Classes (MPR), and Vickrey–Clarke–Grooves (VCG) auctions in terms of liquid social welfare (LSW), publisher revenue, and allocation efficiency, while also improving the transaction throughput and showing good performance in terms of transaction costs and latency. Full article
(This article belongs to the Special Issue Novel Methods Applied to Security and Privacy Problems, Volume II)
Show Figures

Figure 1

20 pages, 1596 KB  
Article
Modular Suprametric Spaces and Fixed-Point Principles with Applications in Fractional Burn-Healing Dynamics
by Marija Paunović, Abdurrahman Büyükkaya and Mahpeyker Öztürk
Mathematics 2026, 14(7), 1208; https://doi.org/10.3390/math14071208 - 3 Apr 2026
Viewed by 253
Abstract
We introduce a new nonlinear distance structure, a modular suprametric space, that integrates modular metrics with perturbations characteristic of suprametrics. Within this framework, we develop a contraction principle tailored to its nonlinear geometry and demonstrate the existence of fixed points under a generalized [...] Read more.
We introduce a new nonlinear distance structure, a modular suprametric space, that integrates modular metrics with perturbations characteristic of suprametrics. Within this framework, we develop a contraction principle tailored to its nonlinear geometry and demonstrate the existence of fixed points under a generalized iterative control. In order to showcase the practical application of this proposed structure, we analyze a burn-healing model driven by nonlinear recovery dynamics. The derived fixed-point conditions ensure both the existence and stability of the healing equilibrium. Our findings indicate that modular suprametric spaces serve as a versatile analytical tool for dynamical systems whose evolution exhibits nonstandard sensitivity, saturation effects, or exponential response behavior. Full article
Show Figures

Figure 1

33 pages, 442 KB  
Article
Learning-Augmented Quasi-Gradient Operators for Constrained Optimization: A Contraction–Bias–Variance Decomposition
by Gilberto Pérez-Lechuga, Marco Antonio Coronel García and Ana Lidia Martínez Salazar
Mathematics 2026, 14(7), 1202; https://doi.org/10.3390/math14071202 - 3 Apr 2026
Viewed by 435
Abstract
This paper develops a rigorous operator-theoretic framework for learning-augmented quasi-gradient methods in constrained optimization. We consider the minimization of an objective function over a closed convex feasible set, where feasibility is enforced via projection and directional updates may incorporate data-driven corrections. Such settings [...] Read more.
This paper develops a rigorous operator-theoretic framework for learning-augmented quasi-gradient methods in constrained optimization. We consider the minimization of an objective function over a closed convex feasible set, where feasibility is enforced via projection and directional updates may incorporate data-driven corrections. Such settings arise naturally in modern optimization algorithms that integrate artificial intelligence components under structural constraints. The proposed formulation introduces an explicit contraction–bias–variance decomposition of the iterative dynamics. Curvature induces deterministic contraction, alignment distortion—quantified by a geometric parameter—modifies the effective contraction margin, and stochastic learning components inject controlled dispersion. Explicit error recursions yield convergence guarantees under strong convexity, the Polyak–Łojasiewicz condition, and smooth nonconvexity. The analysis establishes that stability regions and first-order complexity bounds are preserved whenever alignment distortion remains below unity and bounded second-moment conditions hold. A fully reproducible computational study provides quantitative validation: the empirically observed steady-state error closely matches the theoretical prediction proportional to σ2/μ(1η). Comparative experiments with gradient, stochastic gradient, and momentum methods confirm that the proposed operator retains classical stability margins and conditioning sensitivity while enabling principled integration of learned directional components. The results provide a transparent mathematical bridge between stochastic approximation theory and contemporary AI-enhanced constrained optimization. Full article
Back to TopTop