Sign in to use this feature.

Years

Between: -

Subjects

remove_circle_outline
remove_circle_outline
remove_circle_outline
remove_circle_outline
remove_circle_outline
remove_circle_outline
remove_circle_outline
remove_circle_outline
remove_circle_outline

Journals

remove_circle_outline
remove_circle_outline
remove_circle_outline
remove_circle_outline
remove_circle_outline
remove_circle_outline
remove_circle_outline

Article Types

Countries / Regions

remove_circle_outline
remove_circle_outline
remove_circle_outline
remove_circle_outline

Search Results (306)

Search Parameters:
Keywords = continuously variable transmission

Order results
Result details
Results per page
Select all
Export citation of selected articles as:
25 pages, 3408 KB  
Article
A Dual-Layer Optimal Operation of Multi-Energy Complementary System Considering the Minimum Inertia Constraint
by Houjian Zhan, Yiming Qin, Xiaoping Xiong, Huanxing Qi, Jiaqiu Hu, Jian Tang and Xiaokun Han
Energies 2025, 18(19), 5202; https://doi.org/10.3390/en18195202 - 30 Sep 2025
Abstract
The large-scale utilization of wind and solar energy is crucial for achieving carbon neutrality targets. However, as extensive wind and solar power generation is integrated via power electronic devices, the inertia level of power systems continues to decline. This leads to a significant [...] Read more.
The large-scale utilization of wind and solar energy is crucial for achieving carbon neutrality targets. However, as extensive wind and solar power generation is integrated via power electronic devices, the inertia level of power systems continues to decline. This leads to a significant reduction in the system’s frequency regulation capability, posing a serious threat to frequency stability. Optimizing the system is an essential measure to ensure its safe and stable operation. Traditional optimization approaches, which separately optimize transmission and distribution systems, may fail to adequately account for the variability and uncertainty of renewable energy sources, as well as the impact of inertia changes on system stability. Therefore, this paper proposes a two-layer optimization method aimed at simultaneously optimizing the operation of transmission and distribution systems while satisfying minimum inertia constraints. The upper-layer model comprehensively optimizes the operational costs of wind, solar, and thermal power systems under the minimum inertia requirement constraint. It considers the operational costs of energy storage, virtual inertia costs, and renewable energy curtailment costs to determine the total thermal power generation, energy storage charge/discharge power, and the proportion of renewable energy grid connection. The lower-layer model optimizes the spatiotemporal distribution of energy storage units within the distribution network, aiming to minimize total network losses and further reduce system operational costs. Through simulation analysis and computational verification using typical daily scenarios, this model enhances the disturbance resilience of the transmission network layer while reducing power losses in the distribution network layer. Building upon this optimization strategy, the model employs multi-scenario stochastic optimization to simulate the variability of wind, solar, and load, addressing uncertainties and correlations within the system. Case studies demonstrate that the proposed model not only effectively increases the integration rate of new energy sources but also enables timely responses to real-time system demands and fluctuations. Full article
Show Figures

Figure 1

12 pages, 1627 KB  
Article
RC-LDPC-Polar Codes for Information Reconciliation in Continuous-Variable Quantum Key Distribution
by Fei Hua, Kun Chen, Wei Deng, Jing Cheng, Banghong Guo and Huanwen Xie
Entropy 2025, 27(10), 1025; https://doi.org/10.3390/e27101025 - 29 Sep 2025
Abstract
Continuous-variable quantum key distribution faces significant challenges, including quantum channel instability, particularly fluctuations in the signal-to-noise ratio (SNR) and extremely low SNR scenarios. Furthermore, non-ideal polar codes, characterized by insufficient polarization in finite-length regimes, can lead to some sub-channels being neither completely noise-free [...] Read more.
Continuous-variable quantum key distribution faces significant challenges, including quantum channel instability, particularly fluctuations in the signal-to-noise ratio (SNR) and extremely low SNR scenarios. Furthermore, non-ideal polar codes, characterized by insufficient polarization in finite-length regimes, can lead to some sub-channels being neither completely noise-free nor fully noise-dominated. This phenomenon limits the error correction capability when such codes are applied to information reconciliation. To address these challenges, we propose a novel RC-LDPC-Polar code for the CV-QKD reconciliation algorithm. We combine the error resilience of LDPC codes with the efficiency advantages of polar coding. This scheme supports adaptive rate adjustment across varying SNR conditions. Our simulation experiments demonstrate that the RC-LDPC-Polar concatenated coding scheme achieves a lower error rate under varying SNR conditions. Meanwhile, the proposed scheme achieves a higher final key rate and a longer transmission distance. Full article
(This article belongs to the Section Quantum Information)
Show Figures

Figure 1

19 pages, 1644 KB  
Article
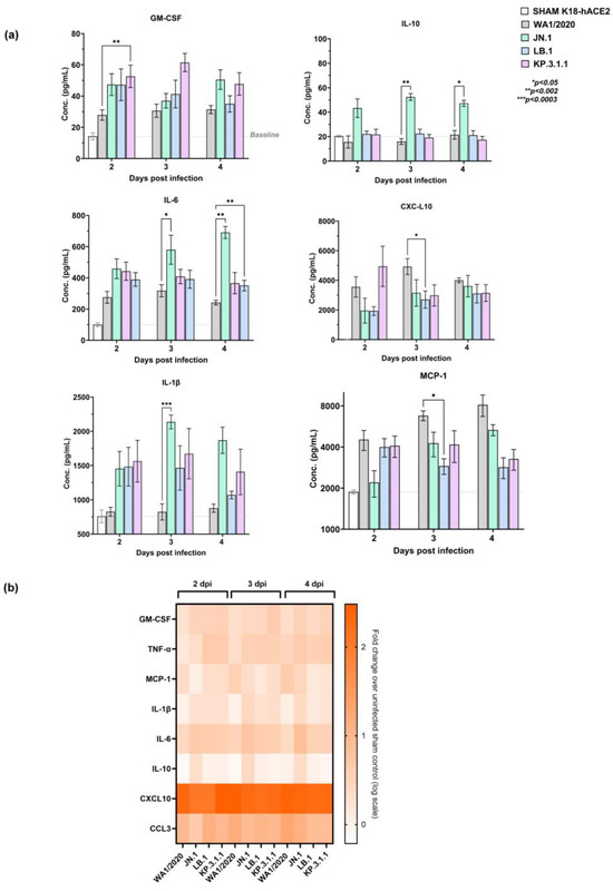
Omicron Subvariants Infection Kinetics and Nirmatrelvir Efficacy in Transgenic K18-hACE2 Mice
by Vijeta Sharma, Enriko Dolgov, Taylor Tillery, Camila Mendez Romero, Alberto Rojas-Triana, Diana M. Villalba Guzman, Kira Goldgirsh, Risha Rasheed, Irene Gonzalez-Jimenez, Nadine Alvarez, Steven Park, Madhuvika Murugan, Andrew M. Nelson and David S. Perlin
Int. J. Mol. Sci. 2025, 26(19), 9509; https://doi.org/10.3390/ijms26199509 - 29 Sep 2025
Abstract
The persistent evolution of SARS-CoV-2 has led to the emergence of antigenically distinct Omicron subvariants exhibiting increased transmissibility, immune evasion, and altered pathogenicity. Among these, recent subvariants such as JN.1, KP.3.1.1, and LB.1 possess unique antigenic and virological features, underscoring the need for [...] Read more.
The persistent evolution of SARS-CoV-2 has led to the emergence of antigenically distinct Omicron subvariants exhibiting increased transmissibility, immune evasion, and altered pathogenicity. Among these, recent subvariants such as JN.1, KP.3.1.1, and LB.1 possess unique antigenic and virological features, underscoring the need for continued surveillance and therapeutic evaluation. As vaccines and commercial monoclonal antibodies show reduced effectiveness against these variants, the role of direct-acting antivirals, such as Nirmatrelvir, targeting conserved viral elements like the main protease inhibitor, becomes increasingly crucial. In this study, we investigated the replication kinetics, host immune responses, and therapeutic susceptibility of three recently circulating Omicron subvariants in the K18-hACE2 transgenic mouse model, using the SARS-CoV-2 parent WA1/2020 strain as a reference. Omicron subvariants exhibited a marked temporal shift in viral infection kinetics characterized by an early lung viral titer peak (~7–8 Log PFU) at 2 days post-infection (dpi), followed by a decline (1–3 Log PFU) by 4 dpi. Pulmonary cytokine and chemokine responses (GM-CSF, TNF-α, IL-1β, IL-6) showed an earlier increase in subvariant-infected mice compared to a gradual response in WA1/2020 infection. Notably, Nirmatrelvir treatment led to significant reductions in lung viral titers in subvariant-infected mice compared to WA1/2020, surpassing its efficacy against the parent strain. These findings highlight that infection with Omicron subvariants yields a broad dynamic range in viral burden with minimum variability, while retaining a prominent therapeutic response to Nirmatrelvir. This study provides insights into the emerging subvariants’ pathogenesis and therapeutic responsiveness, reinforcing the importance of continued variant monitoring and the development of effective countermeasures. Full article
Show Figures

Graphical abstract

16 pages, 689 KB  
Article
Investigation of Polarization Division Multiplexed CVQKD Based on Coherent Optical Transmission Structure
by Wenpeng Gao, Jianjun Tang, Tianqi Dou, Peizhe Han, Yuanchen Hao and Weiwen Kong
Photonics 2025, 12(10), 954; https://doi.org/10.3390/photonics12100954 - 25 Sep 2025
Abstract
Employing commercial off-the-shelf coherent optical transmission components and methods to design a continuous variable quantum key distribution (CVQKD) system is a promising trend of achieving QKD with high security key rate (SKR) and cost-effectiveness. In this paper, we explore a CVQKD system based [...] Read more.
Employing commercial off-the-shelf coherent optical transmission components and methods to design a continuous variable quantum key distribution (CVQKD) system is a promising trend of achieving QKD with high security key rate (SKR) and cost-effectiveness. In this paper, we explore a CVQKD system based on the widely used polarization division multiplexed (PDM) coherent optical transmission structure and pilot-aided digital signal processing methods. A simplified pilot-aided phase noise compensation scheme based on frequency division multiplexing (FDM) is proposed, which introduces less total excess noise than classical pilot-aided schemes based on time division multiplexing (TDM). In addition, the two schemes of training symbol (TS)-aided equalization are compared to find the optimal strategy for TS insertion, where the scheme based on block insertion strategy can provide the SKR gain of around 29%, 22%, and 15% compared with the scheme based on fine-grained insertion strategy at the transmission distance of 5 km, 25 km, and 50 km, respectively. The joint optimization of pilot-aided and TS-aided methods in this work can provide a reference for achieving a CVQKD system with a high SKR and low complexity in metropolitan-scale applications. Full article
Show Figures

Figure 1

24 pages, 345 KB  
Article
Global Financial Stress and Its Transmission to Cryptocurrency Markets: A Cointegration and Causality Approach
by Sisira Colombage, Asanga Jayawardhana and Giles Oatley
J. Risk Financial Manag. 2025, 18(10), 532; https://doi.org/10.3390/jrfm18100532 - 23 Sep 2025
Viewed by 213
Abstract
This study examines links between global financial stress and cryptocurrency returns from 1 January 2017 to 31 January 2025, while explicitly accounting for commodity markets. We use an econometric toolkit: unit-root and cointegration testing, ARDL bounds, Toda–Yamamoto causality, and a two-state Markov Switching [...] Read more.
This study examines links between global financial stress and cryptocurrency returns from 1 January 2017 to 31 January 2025, while explicitly accounting for commodity markets. We use an econometric toolkit: unit-root and cointegration testing, ARDL bounds, Toda–Yamamoto causality, and a two-state Markov Switching model to trace long-run equilibrium and transmission mechanisms across cryptocurrencies (BGCI), systemic stress (OFR-FSI), volatility measures (VIX, VVIX, VSTOXX, VVSTOXX, MOVE), major equities and bonds, and three commodities (gold, oil, copper). Results show robust long-run cointegration between BGCI and several financial variables, including S&P/ASX 200 and the Bloomberg Barclays Bond Index; models that include commodities continue to support these long-term links. Toda–Yamamoto tests reveal that stress and volatility indices unidirectionally transmit shocks to cryptocurrencies and commodities, while gold displays a bidirectional relationship with BGCI, indicating a conditional safe haven interaction. Markov Switching estimates show amplified co-movement among BGCI, gold and bonds in stress regimes, with the model predominantly remaining in a normal state. Overall, cryptocurrencies are embedded within the broader financial system; commodities, especially gold, are used to moderate the stress crypto transmission and offer conditional diversification value during turmoil. Full article
11 pages, 552 KB  
Article
Continuous-Variable Quantum Key Distribution Based on N-APSK Modulation over Seawater Channel
by Lei Mao, Zhangtao Liang, Zhiyue Zuo, Hang Zhang and Yijun Wang
Entropy 2025, 27(9), 990; https://doi.org/10.3390/e27090990 - 22 Sep 2025
Viewed by 136
Abstract
A continuous-variable quantum key distribution (CVQKD) can be realized over the seawater channel, but the transmission of quantum signals in seawater media exhibits significant attenuation effects. Therefore, we propose an N-symbol amplitude and phase shift keying (N-APSK) modulation scheme to [...] Read more.
A continuous-variable quantum key distribution (CVQKD) can be realized over the seawater channel, but the transmission of quantum signals in seawater media exhibits significant attenuation effects. Therefore, we propose an N-symbol amplitude and phase shift keying (N-APSK) modulation scheme to enhance the transmission performance of the CVQKD over the seawater channel. Specifically, an optimal N-APSK modulation scheme is designed based on the principle of maximizing the minimum Euclidean distance (MED). The simulation results show that the CVQKD protocol based on N-APSK modulation achieves a longer transmission distance over the seawater channel compared to the Gaussian modulation protocol. Additionally, increasing the value of N simultaneously expands the number of rings in the constellation diagram, further enhancing the communication distance. This study transfers modulation methods from the field of classical communications to the field of quantum communications, achieving a substantial improvement in communication distance and thereby promoting the integration of quantum communications and classical communications. Full article
(This article belongs to the Special Issue Recent Advances in Continuous-Variable Quantum Key Distribution)
Show Figures

Figure 1

25 pages, 663 KB  
Article
The Dual-Driven Mechanism of “Value and Need” Influencing Consumers’ Continuous Purchase Behavior in Blind Box Consumption
by Linglin Zhou, Juncheng Mu and Chun Yang
Sustainability 2025, 17(18), 8452; https://doi.org/10.3390/su17188452 - 20 Sep 2025
Viewed by 409
Abstract
This study, grounded in the Stimulus-Organism-Response (S-O-R) model and incorporating a sustainable consumption perspective, investigates how the characteristics and marketing strategies of blind box products influence continuous purchase behavior through perceived value and perceived needs. Empirical evidence reveals that perceived needs are crucial [...] Read more.
This study, grounded in the Stimulus-Organism-Response (S-O-R) model and incorporating a sustainable consumption perspective, investigates how the characteristics and marketing strategies of blind box products influence continuous purchase behavior through perceived value and perceived needs. Empirical evidence reveals that perceived needs are crucial for sustained purchases, with significant impacts from intellectual property (IP) characteristics and uncertainty, highlighting the core role of emotional resonance and experiential stimulation. In the context of sustainable consumption, long-term consumption is based on rational cognition of product value. Consumers form a dual cognitive understanding of “value” and “needs” regarding blind boxes, with these two acting as mediating variables linking antecedents and behaviors. Perceived sustainable value is increasingly becoming an important factor in decision-making. IP and economic attributes positively influence continuous purchases, while social attributes have an insignificant effect on perceived needs, reflecting the priority of individual needs recognition, with sustainable consumption pursuits gradually integrating. Identity recognition indirectly influences continuous purchases through perceived value and needs, validating the “identity–perception–behavior” logic, with sustainable consumption concepts also participating in this transmission. This research constructs an S-O-R framework suitable for blind boxes, enriching the model’s application in emerging industries. It reveals a dual-driving mechanism, providing a basis for understanding the rational logic of “irrational consumption” and the practice of sustainable consumption in the blind box field. It clarifies the priority of individual and group needs and the path of sustainable consumption. The conclusions offer references for blind box product design (strengthening IP, balancing attributes, integrating sustainable concepts), marketing (reasonable use of uncertainty, focusing on individuals, guiding sustainable behavior), and industry development (guiding rational consumption, promoting transformation, and fostering sustainable development). Full article
(This article belongs to the Special Issue Consumption Innovation and Consumer Behavior in Sustainable Marketing)
Show Figures

Figure 1

18 pages, 4475 KB  
Article
Electromagnetic Continuously Variable Transmission (EMCVT) System for Precision Torque Control in Human-Centered Robotic Applications
by Ishara Madusankha, Prageeth Nimantha Jayaweera, Nipun Shantha Kahatapitiya, Peshan Sampath, Ashan Weeraratne, Kasun Subasinghage, Chamara Liyanage, Akila Wijethunge, Naresh Kumar Ravichandran and Ruchire Eranga Wijesinghe
Appl. Mech. 2025, 6(3), 69; https://doi.org/10.3390/applmech6030069 - 8 Sep 2025
Viewed by 718
Abstract
In human-centered robotic applications, safety, efficiency, and adaptability are critical for enabling effective interaction and performance. Incorporating electromagnetic continuously variable transmission (EM-CVT) systems into robotic designs enhances both safety and precise, adaptable motion control. The flexible power transmission offered by CVTs allows robots [...] Read more.
In human-centered robotic applications, safety, efficiency, and adaptability are critical for enabling effective interaction and performance. Incorporating electromagnetic continuously variable transmission (EM-CVT) systems into robotic designs enhances both safety and precise, adaptable motion control. The flexible power transmission offered by CVTs allows robots to operate across diverse environments, supporting various tasks, human interaction, and safe collaboration. This study presents a CVT-based mechanical subsystem developed using two cones and an intermediate belt-driven transmission mechanism, providing efficient power and motion transfer. The control subsystem consists of six strategically positioned electromagnets energized by signals from a microcontroller. This electromagnetic actuation enables rapid and precise adjustments to the transmission ratio, enhancing overall system performance. A linear relationship between slip percentage and gear ratio was observed, indicating that the control system achieves stable and efficient operation, with a measured power consumption of 2.95 W per electromagnet. Future work will focus on validating slip performance under dynamic loading conditions, integrating the system into robotic platforms, and optimizing materials and control strategies to enable broader real-world deployment. Full article
Show Figures

Figure 1

12 pages, 741 KB  
Article
Implementation and Realistic Security of Unidimensional Modulation Continuous-Variable Quantum Key Distribution in Downstream Access Networks
by Pu Wang, Jianqiang Liu, Zengliang Bai, Liwei Chang and Yan Tian
Photonics 2025, 12(9), 892; https://doi.org/10.3390/photonics12090892 - 5 Sep 2025
Viewed by 373
Abstract
To address the demand for low-cost deployment in quantum key distribution (QKD) networks, this study explores the implementation of unidimensional (UD) modulation continuous-variable quantum key distribution (CV-QKD) protocols within downstream access networks. The UD CV-QKD protocol employs a single modulator for information encoding, [...] Read more.
To address the demand for low-cost deployment in quantum key distribution (QKD) networks, this study explores the implementation of unidimensional (UD) modulation continuous-variable quantum key distribution (CV-QKD) protocols within downstream access networks. The UD CV-QKD protocol employs a single modulator for information encoding, offering benefits such as reduced implementation cost and lower random number consumption, which collectively decrease the overall setup expense of QKD systems. Through systematic performance analysis, it is demonstrated that the proposed UD modulation downstream access network scheme exhibits strong scalability and practical applicability. When supporting 32 users, the system maintains secure communication over transmission distances of up to 50 km. As the number of users increases to 64, performance declines slightly; however, the system still achieves a 35 km transmission distance, which remains suitable for many metropolitan access applications. Even in high-density access scenarios involving 128 users, the system sustains a positive key rate within a transmission range of 20 km. Furthermore, this study evaluates the protocol’s practical security under source intensity errors and finite-size effects. These results provide meaningful guidance for deploying low-cost, high-security quantum communication access networks and contribute to advancing QKD technologies toward scalable, real-world implementations. Full article
Show Figures

Figure 1

22 pages, 3260 KB  
Article
Large-Scale Continuous Monitoring of Greenhouse Gases with Adaptive LoRaWAN in CN470–510 MHz Band
by Xueying Jin, David Chieng, Pushpendu Kar, Chiew Foong Kwong, Yeqin Li and Yin Wang
Sensors 2025, 25(17), 5349; https://doi.org/10.3390/s25175349 - 29 Aug 2025
Viewed by 741
Abstract
Continuous and near-real-time monitoring of greenhouse gases (GHGs) is critical for achieving Net Zero emissions, ensuring early detection, compliance, accountability, and adaptive management. To this end, there is an increasing need to monitor GHGs at higher temporal resolutions, greater spatial resolutions, and larger [...] Read more.
Continuous and near-real-time monitoring of greenhouse gases (GHGs) is critical for achieving Net Zero emissions, ensuring early detection, compliance, accountability, and adaptive management. To this end, there is an increasing need to monitor GHGs at higher temporal resolutions, greater spatial resolutions, and larger coverage scales. However, spatial resolution and coverage remain significant challenges due to limited sensor network coverage and power sources for sensor nodes, even in urban areas. LoRaWAN, a cost-effective solution that provides long-range and high-penetration wireless connectivity with a low energy consumption, is an ideal choice for this application. Despite its promise, LoRaWAN faces several challenges, including a low data rate, low packet transmission rate, and low packet delivery success ratio, especially when the node density or environment variability is high. This paper presents a simulation-based analysis of a large-scale urban LoRaWAN sensor network operating in the CN470–510 MHz band, which is the only frequency band officially designated for low-power wide-area (LPWA) technologies such as LoRaWAN in China. This study investigates how the node density, sensor measurement update rate (i.e., update interval), and sensor measurement payload size affect two primary performance metrics: the sensor update delivery ratio (DR) and the radio frequency (RF) energy consumption (RFEC) per successful update. The performances of several enhanced adaptive data transmission algorithms in comparison to the conventional ADR+ algorithms are also analysed. The results indicate that both DR and RFEC are significantly influenced by the node density, sensor update rate, and payload size, with the effects being particularly significant under high-node-density and high-update-rate conditions. The analysis further reveals that the ADR-NODE-KAMA algorithm consistently achieves the best performance across most scenarios, providing up to a 2% improvement in DR and a reduction of 10–15 mJ in RFEC per successful sensor measurement update. Additionally, the sensor measurement payload size is shown to have a substantial impact on network performance, with each added sensor measurement contributing to a DR reduction of up to 2.24% and an increase in RFEC of approximately 80 mJ. LoRaWAN network operators can gain practical insights from these findings to optimize the performance and efficiency of large-scale GHG monitoring deployments. Full article
(This article belongs to the Section Internet of Things)
Show Figures

Figure 1

24 pages, 11770 KB  
Article
Secure Communication and Resource Allocation in Double-RIS Cooperative-Aided UAV-MEC Networks
by Xi Hu, Hongchao Zhao, Dongyang He and Wujie Zhang
Drones 2025, 9(8), 587; https://doi.org/10.3390/drones9080587 - 19 Aug 2025
Viewed by 519
Abstract
In complex urban wireless environments, unmanned aerial vehicle–mobile edge computing (UAV-MEC) systems face challenges like link blockage and single-antenna eavesdropping threats. The traditional single reconfigurable intelligent surface (RIS), limited in collaboration, struggles to address these issues. This paper proposes a double-RIS cooperative UAV-MEC [...] Read more.
In complex urban wireless environments, unmanned aerial vehicle–mobile edge computing (UAV-MEC) systems face challenges like link blockage and single-antenna eavesdropping threats. The traditional single reconfigurable intelligent surface (RIS), limited in collaboration, struggles to address these issues. This paper proposes a double-RIS cooperative UAV-MEC optimization scheme, leveraging their joint reflection to build multi-dimensional signal paths, boosting legitimate link gains while suppressing eavesdropping channels. It considers double-RIS phase shifts, ground user (GU) transmission power, UAV trajectories, resource allocation, and receiving beamforming, aiming to maximize secure energy efficiency (EE) while ensuring long-term stability of GU and UAV task queues. Given random task arrivals and high-dimensional variable coupling, a dynamic model integrating queue stability and secure transmission constraints is built using Lyapunov optimization, transforming long-term stochastic optimization into slot-by-slot deterministic decisions via the drift-plus-penalty method. To handle high-dimensional continuous spaces, an end-to-end proximal policy optimization (PPO) framework is designed for online learning of multi-dimensional resource allocation and direct acquisition of joint optimization strategies. Simulation results show that compared with benchmark schemes (e.g., single RIS, non-cooperative double RIS) and reinforcement learning algorithms (e.g., advantage actor–critic (A2C), deep deterministic policy gradient (DDPG), deep Q-network (DQN)), the proposed scheme achieves significant improvements in secure EE and queue stability, with faster convergence and better optimization effects, fully verifying its superiority and robustness in complex scenarios. Full article
(This article belongs to the Section Drone Communications)
Show Figures

Figure 1

20 pages, 4021 KB  
Article
Mumps Epidemiology in the Autonomous Province of Vojvodina, Serbia: Long-Term Trends, Immunization Gaps, and Conditions Favoring Future Outbreaks
by Mioljub Ristić, Vladimir Vuković, Smiljana Rajčević, Marko Koprivica, Nikica Agbaba and Vladimir Petrović
Vaccines 2025, 13(8), 839; https://doi.org/10.3390/vaccines13080839 - 6 Aug 2025
Viewed by 801
Abstract
Background/Objectives: Mumps remains a relevant vaccine-preventable disease globally, especially in settings where immunization coverage fluctuates or vaccine-induced immunity wanes. This study aimed to assess long-term trends in mumps incidence, vaccination coverage, clinical outcomes, and demographic characteristics in the Autonomous Province of Vojvodina [...] Read more.
Background/Objectives: Mumps remains a relevant vaccine-preventable disease globally, especially in settings where immunization coverage fluctuates or vaccine-induced immunity wanes. This study aimed to assess long-term trends in mumps incidence, vaccination coverage, clinical outcomes, and demographic characteristics in the Autonomous Province of Vojvodina (AP Vojvodina), Serbia, over a 47-year period. Methods: We conducted a retrospective observational study using surveillance data from the Institute of Public Health of Vojvodina. Analyses included annual mumps incidence rates (1978–2024), coverage with mumps-containing vaccines (MuCVs; 1986–2024), monthly case counts, and individual-level case data for the 1997–2024 period. Variables analyzed included age, month of notification, gender, vaccination status, presence of clinical complications, and the method used for case confirmation. Results: Following the introduction of MuCV in 1986, the mumps incidence markedly declined, with limited resurgences in 2000, 2009, and 2012. Between 1997 and 2024, a total of 1358 cases were reported, with 62.7% occurring in males. Over time, the age distribution shifted, with adolescents and young adults being increasingly affected during the later (2011–2024) observed period. In 2012, the highest age-specific incidence was observed among individuals aged 10–19 and 20–39 years (49.1 and 45.5 per 100,000, respectively). Vaccination coverage for both MuCV doses was suboptimal in several years. The proportion of unvaccinated cases decreased over time, while the proportion with unknown vaccination status increased. Mumps-related complications—such as orchitis, pancreatitis, and meningitis—were rare and predominantly affected unvaccinated individuals: 84.2% of orchitis, 40.0% of pancreatitis, and all meningitis cases. Only two pancreatitis cases (40.0%) were reported after one MMR dose, while fully vaccinated individuals (two doses) had one orchitis case (5.3%) and no other complications. Laboratory confirmation was applied more consistently from 2009 onward, with 49.6% of cases confirmed that year (58 out of 117), and, in several years after 2020, only laboratory-confirmed cases were reported, indicating improved diagnostic capacity. Conclusions: Despite substantial progress in controlling mumps, gaps in vaccine coverage, waning immunity, and incomplete vaccination records continue to pose a risk for mumps transmission. Strengthening routine immunization, ensuring high two-dose MuCV coverage, improving vaccination record keeping, and enhancing laboratory-based case confirmation are critical. Consideration should be given to booster doses in high-risk populations and to conducting a seroepidemiological study to estimate the susceptible population for mumps in AP Vojvodina. Full article
(This article belongs to the Special Issue Vaccination and Infectious Disease Epidemics)
Show Figures

Figure 1

14 pages, 1081 KB  
Article
Optical Frequency Comb-Based Continuous-Variable Quantum Secret Sharing Scheme
by Runsheng Peng, Yijun Wang, Hang Zhang, Yun Mao and Ying Guo
Mathematics 2025, 13(15), 2455; https://doi.org/10.3390/math13152455 - 30 Jul 2025
Viewed by 526
Abstract
Quantum secret sharing (QSS) faces inherent limitations in scaling to multi-user networks due to excess noise introduced by highly asymmetric beam splitters (HABSs) in chain-structured topologies. To overcome this challenge, we propose an optical frequency comb-based continuous-variable QSS (OFC CV-QSS) scheme that establishes [...] Read more.
Quantum secret sharing (QSS) faces inherent limitations in scaling to multi-user networks due to excess noise introduced by highly asymmetric beam splitters (HABSs) in chain-structured topologies. To overcome this challenge, we propose an optical frequency comb-based continuous-variable QSS (OFC CV-QSS) scheme that establishes parallel frequency channels between users and the dealer via OFC-generated multi-wavelength carriers. By replacing the chain-structured links with dedicated frequency channels and integrating the Chinese remainder theorem (CRT) with a decentralized architecture, our design eliminates excess noise from all users using HABS while providing mathematical- and physical-layer security. Simulation results demonstrate that the scheme achieves a more than 50% improvement in maximum transmission distance compared to chain-based QSS, with significantly slower performance degradation as users scale to 20. Numerical simulations confirm the feasibility of this theoretical framework for multi-user quantum networks, offering dual-layer confidentiality without compromising key rates. Full article
Show Figures

Figure 1

25 pages, 4048 KB  
Article
Grid Stability and Wind Energy Integration Analysis on the Transmission Grid Expansion Planned in La Palma (Canary Islands)
by Raúl Peña, Antonio Colmenar-Santos and Enrique Rosales-Asensio
Processes 2025, 13(8), 2374; https://doi.org/10.3390/pr13082374 - 26 Jul 2025
Viewed by 1039
Abstract
Island electrical networks often face stability and resilience issues due to their weakly meshed structure, which lowers system inertia and compromises supply continuity. This challenge is further intensified by the increasing integration of renewable energy sources, promoted by decarbonization goals, whose intermittent and [...] Read more.
Island electrical networks often face stability and resilience issues due to their weakly meshed structure, which lowers system inertia and compromises supply continuity. This challenge is further intensified by the increasing integration of renewable energy sources, promoted by decarbonization goals, whose intermittent and variable nature complicates grid stability management. To address this, Red Eléctrica de España—the transmission system operator of Spain—has planned several improvements in the Canary Islands, including the installation of new wind farms and a second transmission circuit on the island of La Palma. This new infrastructure will complement the existing one and ensure system stability in the event of N-1 contingencies. This article evaluates the stability of the island’s electrical network through dynamic simulations conducted in PSS®E, analyzing four distinct fault scenarios across three different grid configurations (current, short-term upgrade and long-term upgrade with wind integration). Generator models are based on standard dynamic parameters (WECC) and calibrated load factors using real data from the day of peak demand in 2021. Results confirm that the planned developments ensure stable system operation under severe contingencies, while the integration of wind power leads to a 33% reduction in diesel generation, contributing to improved environmental and operational performance. Full article
Show Figures

Figure 1

23 pages, 1755 KB  
Article
An Efficient Continuous-Variable Quantum Key Distribution with Parameter Optimization Using Elitist Elk Herd Random Immigrants Optimizer and Adaptive Depthwise Separable Convolutional Neural Network
by Vidhya Prakash Rajendran, Deepalakshmi Perumalsamy, Chinnasamy Ponnusamy and Ezhil Kalaimannan
Future Internet 2025, 17(7), 307; https://doi.org/10.3390/fi17070307 - 17 Jul 2025
Viewed by 510
Abstract
Quantum memory is essential for the prolonged storage and retrieval of quantum information. Nevertheless, no current studies have focused on the creation of effective quantum memory for continuous variables while accounting for the decoherence rate. This work presents an effective continuous-variable quantum key [...] Read more.
Quantum memory is essential for the prolonged storage and retrieval of quantum information. Nevertheless, no current studies have focused on the creation of effective quantum memory for continuous variables while accounting for the decoherence rate. This work presents an effective continuous-variable quantum key distribution method with parameter optimization utilizing the Elitist Elk Herd Random Immigrants Optimizer (2E-HRIO) technique. At the outset of transmission, the quantum device undergoes initialization and authentication via Compressed Hash-based Message Authentication Code with Encoded Post-Quantum Hash (CHMAC-EPQH). The settings are subsequently optimized from the authenticated device via 2E-HRIO, which mitigates the effects of decoherence by adaptively tuning system parameters. Subsequently, quantum bits are produced from the verified device, and pilot insertion is executed within the quantum bits. The pilot-inserted signal is thereafter subjected to pulse shaping using a Gaussian filter. The pulse-shaped signal undergoes modulation. Authenticated post-modulation, the prediction of link failure is conducted through an authenticated channel using Radial Density-Based Spatial Clustering of Applications with Noise. Subsequently, transmission occurs via a non-failure connection. The receiver performs channel equalization on the received signal with Recursive Regularized Least Mean Squares. Subsequently, a dataset for side-channel attack authentication is gathered and preprocessed, followed by feature extraction and classification using Adaptive Depthwise Separable Convolutional Neural Networks (ADS-CNNs), which enhances security against side-channel attacks. The quantum state is evaluated based on the signal received, and raw data are collected. Thereafter, a connection is established between the transmitter and receiver. Both the transmitter and receiver perform the scanning process. Thereafter, the calculation and correction of the error rate are performed based on the sifting results. Ultimately, privacy amplification and key authentication are performed using the repaired key via B-CHMAC-EPQH. The proposed system demonstrated improved resistance to decoherence and side-channel attacks, while achieving a reconciliation efficiency above 90% and increased key generation rate. Full article
Show Figures

Graphical abstract

Back to TopTop