Sign in to use this feature.

Years

Between: -

Subjects

remove_circle_outline
remove_circle_outline
remove_circle_outline
remove_circle_outline
remove_circle_outline
remove_circle_outline
remove_circle_outline
remove_circle_outline
remove_circle_outline

Journals

Article Types

Countries / Regions

Search Results (41)

Search Parameters:
Keywords = constant normal stiffness

Order results
Result details
Results per page
Select all
Export citation of selected articles as:
20 pages, 6683 KB  
Article
Numerical Simulation Study on Shear Mechanical Properties of Unfilled Three-Dimensional Rough Joint Surfaces Under Constant Normal Stiffness Boundary Conditions
by Xinmu Xu, Kui Zhao, Liangfeng Xiong, Peng Zeng, Cong Gong and Yifan Chen
Appl. Sci. 2025, 15(19), 10827; https://doi.org/10.3390/app151910827 - 9 Oct 2025
Viewed by 95
Abstract
When jointed rock masses are in a high-stress environment, the roughness of the joints is the key factor controlling their shear strength. Their loading behavior is also different from the constant normal load (CNL) conditions controlled in conventional laboratories; rather, they follow the [...] Read more.
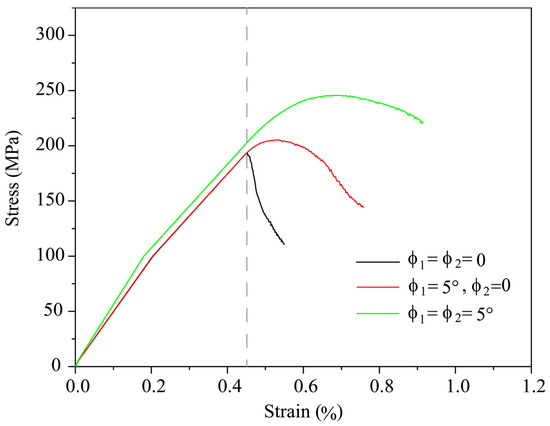
When jointed rock masses are in a high-stress environment, the roughness of the joints is the key factor controlling their shear strength. Their loading behavior is also different from the constant normal load (CNL) conditions controlled in conventional laboratories; rather, they follow the constant normal stiffness (CNS) conditions. To investigate the effects of normal stiffness and roughness on the shear mechanical properties of unfilled joint surfaces, shear tests were simulated using PFC3D (5.0) software under CNS conditions. The effects of normal stiffness of 0 (constant normal stress of 4 MPa), 0.028 GPa/m (low normal stiffness), 0.28 GPa/m (medium normal stiffness), and 2.8 GPa/m (high normal stiffness), and joint roughness coefficients (JRC) of 2~4 (low roughness), 10~12 (medium roughness), and 18~20 (high roughness) on the shear stress, normal stress, normal deformation, surface resistance index, and block failure characteristics of the joint surface were obtained. The results indicate that for different combinations of normal stiffness—JRC—the shear simulation process primarily exhibits three deformation stages: linear stage, yield stage, and post-peak stage. Shear stress increases initially and then decreases as shear displacement increases. When normal stiffness is no less than 0.28 GPa/m, both normal stress and JRC increase gradually with increasing JRC and normal stiffness. When the normal stiffness is no greater than 0.028 GPa/m, the normal stress shows no significant change. The normal displacement changes from “shear contraction” to “shear expansion” with increasing shear displacement and from positive to negative values while the displacement gradually increases; the maximum normal displacement decreases with increasing normal stiffness and increases with increasing JRC. The peak SRI value increases with increasing JRC and decreases with increasing normal stiffness. As normal stiffness increases, the number of tensile cracks for JRC 2~4 first decreases and then increases, while the number of shear cracks gradually increases; for JRC 10~12 and 18~20, both the number of shear cracks and tensile cracks increase with increasing normal stiffness. This paper simulates the actual mechanical environment of deep underground joints to expound the influence of normal stiffness and joint roughness on the stability of deep rock masses. The research results can provide certain theoretical references for predicting the stability of deep surrounding rocks and the stress of support structures. Full article
(This article belongs to the Section Earth Sciences)
Show Figures

Figure 1

19 pages, 5457 KB  
Article
Structural Evaluation with FWD of Asphalt Pavement with 30% RAP Reinforced with Fiberglass Geogrid in the Asphalt Layer
by Jaime R. Ramírez-Vargas, Sergio A. Zamora-Castro, Agustín L. Herrera-May, Rafael Melo-Santiago, Luis Carlos Sandoval Herazo and Domingo Pérez-Madrigal
CivilEng 2025, 6(3), 44; https://doi.org/10.3390/civileng6030044 - 27 Aug 2025
Viewed by 740
Abstract
Recycled asphalt pavement (RAP) can support traffic loads comparable to those of roads constructed with conventional materials. The structural evaluation of RAP is performed through the deflection generated by vehicles via recoverable deflection in the pavement layers. The deflection record is translated into [...] Read more.
Recycled asphalt pavement (RAP) can support traffic loads comparable to those of roads constructed with conventional materials. The structural evaluation of RAP is performed through the deflection generated by vehicles via recoverable deflection in the pavement layers. The deflection record is translated into a curve that geometrically interprets the behavior of the layers that make up the pavement. In this study, a falling weight deflectometer (FWD) was used to emulate transit loads and measure deflection in two models. Both contained 30% RAP, and one of them had fiberglass geogrid in the center of the asphalt layer. Through normalized maximum deflection (limit value based on constant stress), the structural index (SI), and the dynamic stiffness modulus (DSM), the structural behavior of the models under different load levels was evaluated. The pavement structure exhibited similarities in strength for both models subjected to impact. The presence of the geogrid reinforcement (Z1) showed structural index values ranging between 0.17 and 0.54, while the layer without geogrid (Z2) presented structural index values in a range of 0.23 to 0.78. In addition, the dynamic stiffness modulus presented a difference of 10 kN/mm between the maximums of the models in favor of reinforcement with glass fiber geogrid. Therefore, low structural index values are associated with the interaction between RAP and geogrid, highlighting this combination as an innovative and functional system for road surfaces, while the dynamic stiffness modulus indicates the stability and structural integrity of sustainable pavement, which has the potential to extend its lifespan. Full article
Show Figures

Graphical abstract

22 pages, 4758 KB  
Article
Analysis of Interface Sliding in a Composite I-Steel–Concrete Beam Reinforced by a Composite Material Plate: The Effect of Concrete–Steel Connection Modes
by Tahar Hassaine Daouadji, Boussad Abbès, Tayeb Bensatallah and Fazilay Abbès
J. Compos. Sci. 2025, 9(6), 273; https://doi.org/10.3390/jcs9060273 - 29 May 2025
Cited by 2 | Viewed by 1288
Abstract
This study investigates interface sliding behavior in composite I-steel–concrete beams reinforced with a composite material plate by analyzing various connection configurations combining shear stud connectors and adhesive bonding. The degree of composite action, governed by the shear stiffness at the steel–concrete interface, plays [...] Read more.
This study investigates interface sliding behavior in composite I-steel–concrete beams reinforced with a composite material plate by analyzing various connection configurations combining shear stud connectors and adhesive bonding. The degree of composite action, governed by the shear stiffness at the steel–concrete interface, plays a critical role in structural performance. An analytical model was developed based on the elasticity theory and the strain compatibility approach, assuming constant shear and normal stress across the interface. Five connection modes were considered, ranging from fully mechanical (100% shear studs) to fully adhesive (100% bonding), as well as mixed configurations. The model was validated against finite element simulations, demonstrating strong agreement with relative differences between 0.3% and 10.7% across all cases. A parametric study explored the influence of key factors such as interface layer stiffness and composite plate reinforcement material on the overall interface behavior. The results showed that adhesive bonding significantly reduces slippage at the steel–concrete interface, enhancing bond integrity, while purely mechanical connections tend to increase interface slippage. The findings provide valuable guidance for designing hybrid connection systems in composite structures to optimize performance, durability, and construction efficiency. Full article
(This article belongs to the Special Issue Sustainable Composite Construction Materials, Volume II)
Show Figures

Figure 1

23 pages, 21563 KB  
Article
Normalized Residual Displacements for Single-Degree-of-Freedom Systems Subjected to Mainshock–Aftershock Sequences
by Zhibin Feng, Jiying Wang, Hua Huang and Jinxin Gong
Appl. Sci. 2025, 15(9), 4721; https://doi.org/10.3390/app15094721 - 24 Apr 2025
Viewed by 561
Abstract
Post-earthquake structural rehabilitation faces critical challenges from aftershock-induced cumulative damage, particularly through residual displacement accumulation that compromises structural realignment feasibility. While residual displacements serve as pivotal indicators for repair-or-replace decisions, the amplification effects of aftershocks on such displacements remain systematically underexplored. This study [...] Read more.
Post-earthquake structural rehabilitation faces critical challenges from aftershock-induced cumulative damage, particularly through residual displacement accumulation that compromises structural realignment feasibility. While residual displacements serve as pivotal indicators for repair-or-replace decisions, the amplification effects of aftershocks on such displacements remain systematically underexplored. This study investigates residual displacement demands of bilinear single-degree-of-freedom (SDOF) systems subjected to mainshock–aftershock sequences. A novel metric is proposed, defined as the maximum residual displacement considering both isolated mainshock and full sequence scenarios, normalized against peak inelastic displacements (termed residual displacement ratio) for predictive analysis. The influence of sequence characteristics (duration, frequency content, aftershock intensity) and structural properties (post-yield stiffness ratio, displacement ductility, natural period) on residual displacement ratios is evaluated. Statistical analysis reveals that aftershocks amplify mainshock-induced residual displacements in the statistical mean sense, with an observed maximum increase reaching up to 72%. The mainshock with stronger aftershocks tends to result in larger residual displacement ratios. A constant-ductility residual displacement ratio response spectrum is finally developed for the repairability assessment of structures against mainshock–aftershock sequences in terms of residual displacements. Full article
Show Figures

Figure 1

16 pages, 3783 KB  
Article
Investigation of a New Stacking Pattern of Laminates with Approximately Constant Bending Stiffness
by Qingnian Liu, Yingfeng Shao, Yong Cai, Long Li and Fan Song
Polymers 2025, 17(8), 1098; https://doi.org/10.3390/polym17081098 - 18 Apr 2025
Viewed by 445
Abstract
To achieve laminates with constant bending stiffness to match the high precision requirement of optical systems made of carbon fiber reinforced plastic (CFRP), a new method, the normalized direction factor of bending stiffness (NDFBS), is proposed based on the normalized geometric factor of [...] Read more.
To achieve laminates with constant bending stiffness to match the high precision requirement of optical systems made of carbon fiber reinforced plastic (CFRP), a new method, the normalized direction factor of bending stiffness (NDFBS), is proposed based on the normalized geometric factor of bending stiffness. Using NDFBS and its variance (VNDFBS), we investigate two common stacking patterns, I and II ([(θ1)m/(θ2)m/…/(θp)m]S and [(θ1/θ2/…/θp)m]S) and our proposed new stacking pattern, Pattern III ([(θ1/θ2/…/θp)S]m) based on the initial quasi-isotropic laminates, [θ1/θ2/…/θp]. The bending stiffness of the stacking sequence [(45/−45/0/90)S]2 tends to be more uniform than that of [45/−45/0/90]2S, and the order of uniformity in bending stiffness of other stacking sequences is [(60/0/−60)S]4 > [60/0/−60]4S > [(60/0/−60)S]2 > [60/0/−60]2S. Both theoretical deviations and experimental observations confirm that as the cycle number m increased, the uniformity in bending stiffness is improved gradually, except for that of Pattern I. As the cycle number increased, the speed of Pattern III approaching the constant bending stiffness was faster than that of Patterns I and II. Notably, to achieve a nearly identical uniformity in bending stiffness, only the square root of the cycle number of Pattern II was enough for Pattern III. Based on the same initial laminate and cycle number, Pattern III exhibited more uniform bending stiffness and strength, which are appropriate for precision optical components that require dimensional stability, such as space mirrors. Full article
Show Figures

Figure 1

17 pages, 6888 KB  
Article
Influencing Factors of Shear Instability Characteristics of Rock Joints: Experimental and Theoretical Study
by Hangyu Dong, Baohua Guo, Qing Ma, Kai Si and Hongjian Wang
Appl. Sci. 2025, 15(2), 561; https://doi.org/10.3390/app15020561 - 8 Jan 2025
Cited by 2 | Viewed by 1181
Abstract
To investigate the influencing factors of the shear failure behavior of rock joints, especially the shear instability characteristics, direct shear tests were performed on marble joints with various grain sizes under different constant normal loads (CNLs). The experimental results show that [...] Read more.
To investigate the influencing factors of the shear failure behavior of rock joints, especially the shear instability characteristics, direct shear tests were performed on marble joints with various grain sizes under different constant normal loads (CNLs). The experimental results show that the grain size and CNL have significant effects on the shear mechanical properties of rock joints. The peak shear strength (τp), peak shear displacement (up), post-peak modulus (S), and stress drop (Δτ) of rock joints all increase first and then decrease with the increase in grain size, but they increase with the increase in CNL. The mineral composition and microstructure also have a certain influence on the shear mechanical properties of rock joints. In addition, the post-peak soften modulus (Sp) was proposed to describe the shear instability characteristics of rock joints, and its relationship with grain size and CNL was established. The mechanical model of the shear instability of rock joints was established, and the shear instability criterion of rock joints was proposed based on the stiffness criterion and the proposed post-peak soften modulus (Sp). This paper further reveals the shear instability mechanism of rock joints, which can provide a reference for the stability analysis of jointed rockmass. Full article
(This article belongs to the Special Issue Advances and Challenges in Rock Mechanics and Rock Engineering)
Show Figures

Figure 1

19 pages, 8889 KB  
Article
A Frequency Domain PID Control Strategy for an In-House Friction and Wear Test Rig
by Di Li, Jing Wang, Hongguang Li, Guang Meng and Anlue Li
Aerospace 2024, 11(8), 623; https://doi.org/10.3390/aerospace11080623 - 30 Jul 2024
Viewed by 1753
Abstract
The contact behavior greatly influences the damping performance of frictional interfaces. Numerous experimental studies on friction and fretting wear have investigated the evolution of contact parameters. An in-house friction and wear test rig has been developed to obtain hysteresis loops at certain normal [...] Read more.
The contact behavior greatly influences the damping performance of frictional interfaces. Numerous experimental studies on friction and fretting wear have investigated the evolution of contact parameters. An in-house friction and wear test rig has been developed to obtain hysteresis loops at certain normal forces. However, the test rig lacks load control and is thus unable to ensure precise stabilization at a preset normal force, which affected the hysteresis behavior. In this paper, we developed a frequency-domain PID controller to ensure the stable application of a target normal force with constant (0–300 N) and harmonic (0–50 N) components. Compared to the commonly used time-domain strategy, the control signal error is reduced from 6.30% to 0.54% at 50 Hz. With a 3% error as the standard, the controller enables stabilized control of signals with frequencies up to 300 Hz. Friction experiments on various typical materials are conducted using this improved test rig. The results indicate a general tendency for contact stiffness to increase with a rising normal force, while the relationship between the friction coefficient and the normal force does not exhibit a clear pattern. The contact stiffness is not sensitive to the relative displacement or vibration frequency. Full article
Show Figures

Figure 1

27 pages, 16743 KB  
Article
In-Plane Vibrations of Elastic Lattice Plates and Their Continuous Approximations
by Noël Challamel, Huu Phu Nguyen, Chien Ming Wang and Giuseppe Ruta
Mathematics 2024, 12(15), 2312; https://doi.org/10.3390/math12152312 - 24 Jul 2024
Cited by 5 | Viewed by 1546
Abstract
This paper presents an analytical study on the in-plane vibrations of a rectangular elastic lattice plate. The plane lattice is modelled considering central and angular interactions. The lattice difference equations are shown to coincide with a spatial finite difference scheme of the corresponding [...] Read more.
This paper presents an analytical study on the in-plane vibrations of a rectangular elastic lattice plate. The plane lattice is modelled considering central and angular interactions. The lattice difference equations are shown to coincide with a spatial finite difference scheme of the corresponding continuous plate. The considered lattice converges to a 2D linear isotropic elastic continuum at the asymptotic limit for a sufficiently small lattice spacing. This continuum has a free Poisson’s ratio, which must be lower than that foreseen by the rare-constant theory, to preserve the definite positiveness of the associated discrete energy. Exact solutions for the in-plane eigenfrequencies and modes are analytically derived for the discrete plate. The stiffness characterising the lattice interactions at the boundary is corrected to preserve the symmetry properties of the discrete displacement field. Two classes of constraints are considered, i.e., sliding supports at the nodes, one normal and the other parallel to the boundary. For both boundary conditions, a single equation for the eigenfrequency spectrum is derived, with two families of eigenmodes. Such behaviour of the lattice plate is like that of the continuous plate, the eigenfrequency spectrum of which has been given by Rayleigh. The convergence of the spectrum of the lattice plate towards the spectrum of the continuous plate from below is confirmed. Two continuous size-dependent plate models, considering the strain gradient elasticity and non-local elasticity, respectively, are built from the lattice difference equations and are shown to approximate the plane lattice accurately. Full article
(This article belongs to the Special Issue Multiscale Mathematical Modeling)
Show Figures

Figure 1

13 pages, 4814 KB  
Article
Experimental Study on Cyclic Shear Performance of the Four-Way Geogrid Reinforcement–Soil Interface
by Mengxi Zhang, Xibo Ruan and Lei Jiang
Appl. Sci. 2024, 14(4), 1373; https://doi.org/10.3390/app14041373 - 7 Feb 2024
Viewed by 1375
Abstract
This paper presents the results of horizontal cyclic direct shear tests at the reinforced soil interface of a four-way polypropylene geogrid reinforced sandy soil. The influence of normal stress and shear displacement amplitude on the shear stress, shear stiffness, and damping ratio of [...] Read more.
This paper presents the results of horizontal cyclic direct shear tests at the reinforced soil interface of a four-way polypropylene geogrid reinforced sandy soil. The influence of normal stress and shear displacement amplitude on the shear stress, shear stiffness, and damping ratio of the reinforced soil interface are evaluated by varying the normal stress and shear displacement amplitude. Dynamic shear characteristics of reinforced soil interface under normal constant load were investigated by using a large dynamic straight shear apparatus. Peak interface strength increases with increasing amplitude of normal stress and shear displacement amplitude. The larger the normal stress and shear displacement amplitude, the fewer cycles are needed to attain peak interface strength. At low-magnitude normal stress levels, the peak shear stress and shear stiffness tend to stabilize after an initial increase during the cycling process, and the damping ratio decreases and then stabilizes with the increase in the number of cycles; whereas when the normal stress level is high, the peak shear stress and shear stiffness increase and then decrease during the cycling process and eventually stabilize, and the damping ratio decreases and then increases and finally stabilizes with the increase in the number of cycles. Moreover, under the same number of cycles, the corresponding shear stiffness decreases with an increase in shear displacement amplitude, while the damping ratio increases. Full article
Show Figures

Figure 1

9 pages, 4816 KB  
Case Report
Osteonecrosis of Humeral Head after Arthroscopic Capsular Release for Postoperative Shoulder Joint Stiffness: A Case Report
by Hyung-Suh Kim, Kyung-Wook Nha and Jae-Hoo Lee
Appl. Sci. 2024, 14(3), 1252; https://doi.org/10.3390/app14031252 - 2 Feb 2024
Viewed by 2347
Abstract
An arthroscopic capsular release (ACR) is used for persistent shoulder stiffness after an index surgery. No cases of post-ACR humeral head osteonecrosis have been reported to date. A 56-year-old male patient underwent open reduction and internal fixation using a hook plate for acromioclavicular [...] Read more.
An arthroscopic capsular release (ACR) is used for persistent shoulder stiffness after an index surgery. No cases of post-ACR humeral head osteonecrosis have been reported to date. A 56-year-old male patient underwent open reduction and internal fixation using a hook plate for acromioclavicular joint dislocation. Despite hardware removal, the patient presented with unresolved shoulder pain and range-of-motion (ROM) limitations. He had a history of hypertension, chronic hepatitis B infection, and alcohol consumption. His preoperative ROM was 90° for active forward flexion, 90° for abduction, 40° for external rotation, and at a sacral level for internal rotation. His preoperative functional status was a visual analog scale (VAS) score of 4, an American Shoulder and Elbow Surgeons (ASES) score of 51, and a Constant–Murley (CMS) score of 48 through normal radiography and magnetic resonance imaging. A standard ACR was performed with a 360° release of the joint capsule via electrocautery ablation. Six months post-ACR, his ROM (forward flexion: 135°; abduction: 135°; external rotation: 70°; internal rotation: T10 vertebra) and functional outcomes (VAS 2; ASES 79; CMS 75) were significantly improved, without an interval change in radiographic assessment. However, 15 months post-operation, the patient experienced a recurrence of shoulder pain and subsequently underwent triamcinolone injections in both the 15th and 21st postoperative months. Radiography revealed humeral head osteonecrosis. Patients with intrinsic or extrinsic risk factors related to humeral head circulation disturbance should be monitored for humeral head osteonecrosis post-ACR. Full article
(This article belongs to the Special Issue Rotator Cuff Disease: Diagnosis, Analysis and Treatment)
Show Figures

Figure 1

16 pages, 7840 KB  
Article
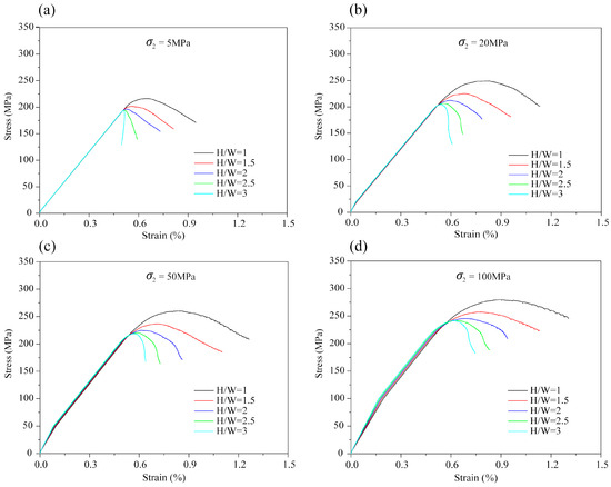
Numerical Analysis of the Shape Effect on the Mechanical Behaviors of Rocks in True 3D Compression Test
by Junchao Chen, Yuke Long, Yulin Chen and Xiaofei Liu
Symmetry 2024, 16(1), 40; https://doi.org/10.3390/sym16010040 - 28 Dec 2023
Cited by 1 | Viewed by 1358
Abstract
Rock strength parameters are usually indispensable for rock engineering design. Under the experimental testing conditions, the shape effect could significantly affect the measured results. Previous findings from uniaxial tests reveal that the measured rock strength gradually decreases with the increase in the slenderness [...] Read more.
Rock strength parameters are usually indispensable for rock engineering design. Under the experimental testing conditions, the shape effect could significantly affect the measured results. Previous findings from uniaxial tests reveal that the measured rock strength gradually decreases with the increase in the slenderness ratio, which is mainly ascribed to the end effect. However, it is still unclear how strong the influence of the end effect on the shape effect is in true 3D tests. In the present study, rock mechanical behaviors in response to the variation in slenderness ratio are detailly examined in true 3D tests. The calculated results show that rock strength progressively decreases as the slenderness ratio increases. But the rock strength in true 3D tests still deviates far from the actual even though the slenderness ratio goes beyond 2, which is mainly caused by the interface friction along the two extra σ2-normal specimen faces. It is interesting that the slenderness ratio increases lead to an increase in the measured stiffness as well. The calculated results suggest that symmetry in the experimentally defined typical arc-shaped curves σ1(σ2) at constant σ3 are neglected most likely due to the stronger end effects in true 3D tests, and the accurate rock strength parameters are not obtained only through using slender specimens. Full article
Show Figures

Figure 1

23 pages, 22336 KB  
Article
Study on Cyclic Shear Properties of Siliceous Sand–Steel Interface under Different Normal Loading Conditions
by Yongming Ma, Jukun Guo, Rui Wang, Qingyao Zhang, Qingxin Zhang, Jin Li and Shen Zuo
Buildings 2023, 13(9), 2241; https://doi.org/10.3390/buildings13092241 - 4 Sep 2023
Cited by 4 | Viewed by 1361
Abstract
It is of great significance to deeply understand the stress damage mechanism of the pile–soil interface under cyclic loading for the safety control of engineering entities. Large-scale self-developed shear equipment was used to conduct cyclic shear tests of the interface between steel and [...] Read more.
It is of great significance to deeply understand the stress damage mechanism of the pile–soil interface under cyclic loading for the safety control of engineering entities. Large-scale self-developed shear equipment was used to conduct cyclic shear tests of the interface between steel and siliceous sand, and the macroscopic shear characteristics and particle crushing characteristics were analyzed. Finally, the interface micro characteristics were analyzed through numerical simulation. The results indicate that the interface peak shear stress under constant stress conditions mainly exhibits strengthening characteristics, while under constant stiffness conditions it exhibits weakening characteristics. The position of the relationship curve between shear stress and normal stress gradually moves towards the direction of low normal stress as the experiment progresses, and the distance between the curves gradually decreases. The degree of particle breakage increases with the number of cycles but is mainly concentrated in the first few cycles. The principal stress is proportional to the normal stress, and its rotation degree gradually weakens with the normal stress. The contact number of particles at any angle increases with the normal stress. Full article
(This article belongs to the Special Issue Design, Construction and Maintenance of Underground Structures)
Show Figures

Figure 1

17 pages, 5074 KB  
Article
Effects of Background Porosity on Seismic Anisotropy in Fractured Rocks: An Experimental Study
by Yuangui Zhang, Bangrang Di, Feng Gao and Lei Li
Appl. Sci. 2023, 13(14), 8379; https://doi.org/10.3390/app13148379 - 20 Jul 2023
Cited by 1 | Viewed by 1344
Abstract
Fractures are widely distributed in the subsurface and are crucial for hydrocarbon, CCS, offshore infrastructure (windfarms), and geothermal seismic surveys. Seismic anisotropy has been widely used to characterize fractures and has been shown to be sensitive to background matrix porosities in theoretical studies. [...] Read more.
Fractures are widely distributed in the subsurface and are crucial for hydrocarbon, CCS, offshore infrastructure (windfarms), and geothermal seismic surveys. Seismic anisotropy has been widely used to characterize fractures and has been shown to be sensitive to background matrix porosities in theoretical studies. An understanding of the effects of background porosity on seismic anisotropy could improve seismic characterization in different fractured reservoirs. Based on synthetic rocks with controlled fractures, we conducted laboratory experiments to investigate the influence that background porosity has on P-wave anisotropy and shear wave splitting. A set of rocks containing the same fracture density (0.06) with varying porosities of 15.3%, 22.1%, 26.1% and 30.8% were constructed. The P- and S-wave velocities were measured at 0.5 MHz as the rocks were water saturated. The results show that when porosity increased from 15.3% to 22.1%, P-wave anisotropy and shear wave splitting exhibited slight fluctuations. However, when porosity continued to increase to 30.8%, P-wave anisotropy declined sharply, whereas shear wave splitting stayed nearly constant. The measured results were compared with predictions from equivalent medium theories. Qualitative agreements were found between the theoretical predictions and the measured results. In the Eshelby–Cheng model, an increase in porosity reduces fracture-induced perturbation in the normal direction of the fracture, resulting in lower P-wave anisotropy. In the Gurevich model, an increase in porosity can reduce the compressional stiffness in parallel directions to a larger extent than that in perpendicular directions, thus leading to lower P-wave anisotropy. Full article
Show Figures

Figure 1

20 pages, 7187 KB  
Article
Effect of Varying Normal Stiffness on Soft Rock Joints under Cyclic Shear Loads
by S. M. Mahdi Niktabar, K. Seshagiri Rao, Amit Kumar Shrivastava and Jiří Ščučka
Materials 2023, 16(12), 4272; https://doi.org/10.3390/ma16124272 - 8 Jun 2023
Cited by 7 | Viewed by 2042
Abstract
The evaluation of changes in shear resistance on soft (or weathered) rock joints under cyclic shear loads with constant normal load (CNL) and constant normal stiffness (CNS) significantly contributes to increasing the safety and stability of rock slopes and underground structures. In this [...] Read more.
The evaluation of changes in shear resistance on soft (or weathered) rock joints under cyclic shear loads with constant normal load (CNL) and constant normal stiffness (CNS) significantly contributes to increasing the safety and stability of rock slopes and underground structures. In this study, a series of cyclic shear tests were conducted on simulated soft rock joints with regular (15°-15°, 30°-30°) and irregular (15°-30°) asperities under different normal stiffnesses (kn). The results indicated that the first peak shear stress increases with the increase in kn up to the normal stiffness of the joints (knj). Beyond knj, no significant change was observed in the peak shear stress. The difference in peak shear stress between regular (30°-30°) and irregular joints (15°-30°) increases as kn increases. The minimum difference of peak shear stress between regular and irregular joints was observed (8.2%) under CNL and the maximum difference was found (64.3%) on knj under CNS. The difference in peak shear stress between the first and subsequent cycles significantly increases as both the joint roughness and kn increases. A new shear strength model is developed to predict peak shear stress of the joints for different kn and asperity angles under cyclic shear loads. Full article
Show Figures

Figure 1

38 pages, 19437 KB  
Review
A Critical Review of Current States of Practice in Direct Shear Testing of Unfilled Rock Fractures Focused on Multi-Stage and Boundary Conditions
by Nicholas R. MacDonald, Timothy R. M. Packulak and Jennifer J. Day
Geosciences 2023, 13(6), 172; https://doi.org/10.3390/geosciences13060172 - 8 Jun 2023
Cited by 10 | Viewed by 11740
Abstract
Direct shear (DS) is a common geotechnical laboratory test used to determine strength and deformation properties of rock discontinuities, such as normal and shear stiffness, peak and residual shear strength, and dilation. These are used as inputs for discontinuous geomechanical numerical models to [...] Read more.
Direct shear (DS) is a common geotechnical laboratory test used to determine strength and deformation properties of rock discontinuities, such as normal and shear stiffness, peak and residual shear strength, and dilation. These are used as inputs for discontinuous geomechanical numerical models to simulate discontinuities discretely and shear strength is often expressed by Mohr–Coulomb, Patton, or Barton–Bandis constitutive models. This paper presents a critical review of the different boundary conditions and procedural techniques currently used in practice, summarizes previous contributions, addresses their impacts on interpreted results for rock engineering design, and introduces clarifying terminology for shear strength parameters. Based on the review, the authors advise that constant normal stress is best suited for discrete numerical-model-based rock engineering design in dry conditions, but constant normal stiffness should be considered where fluid permeability is of interest. Multi-stage testing should not be used to obtain peak shear strength values except for stage 1, because of accumulating asperity damage with successive shear stages. Nevertheless, if multi-stage testing must be employed due to limited budget or specimen availability, guidance is presented to improve shear strength results with limited displacement techniques. Full article
(This article belongs to the Section Geomechanics)
Show Figures

Figure 1

Back to TopTop