Normalized Residual Displacements for Single-Degree-of-Freedom Systems Subjected to Mainshock–Aftershock Sequences
Abstract
1. Introduction
2. Mainshock–Aftershock Sequences
3. Residual Displacement Ratios
3.1. Residual Displacements for Mainshock–Aftershock Sequences
- (1)
- dr,seq > dr,ms: indicates that the aftershock further deteriorates the structural repairability. In such cases, dr,seq serves as the governing parameter for post-earthquake rehabilitation assessments.
- (2)
- dr,seq = dr,ms: suggests negligible aftershock impact on repairability thresholds. In this case, both dr,ms and dr,seq must comply with prescribed allowable limits.
- (3)
- dr,seq < dr,ms: while partial displacement recovery may occur, immediate post-mainshock residual displacement dr,ms remains critical for emergency response operations (personnel evacuation, supply delivery) and secondary disaster mitigation.
3.2. Definition of Residual Displacement Ratios
3.3. Analysis Methodology
4. Effect of Aftershocks on Residual Displacements
5. Statistical Analysis of Residual Displacement Ratios
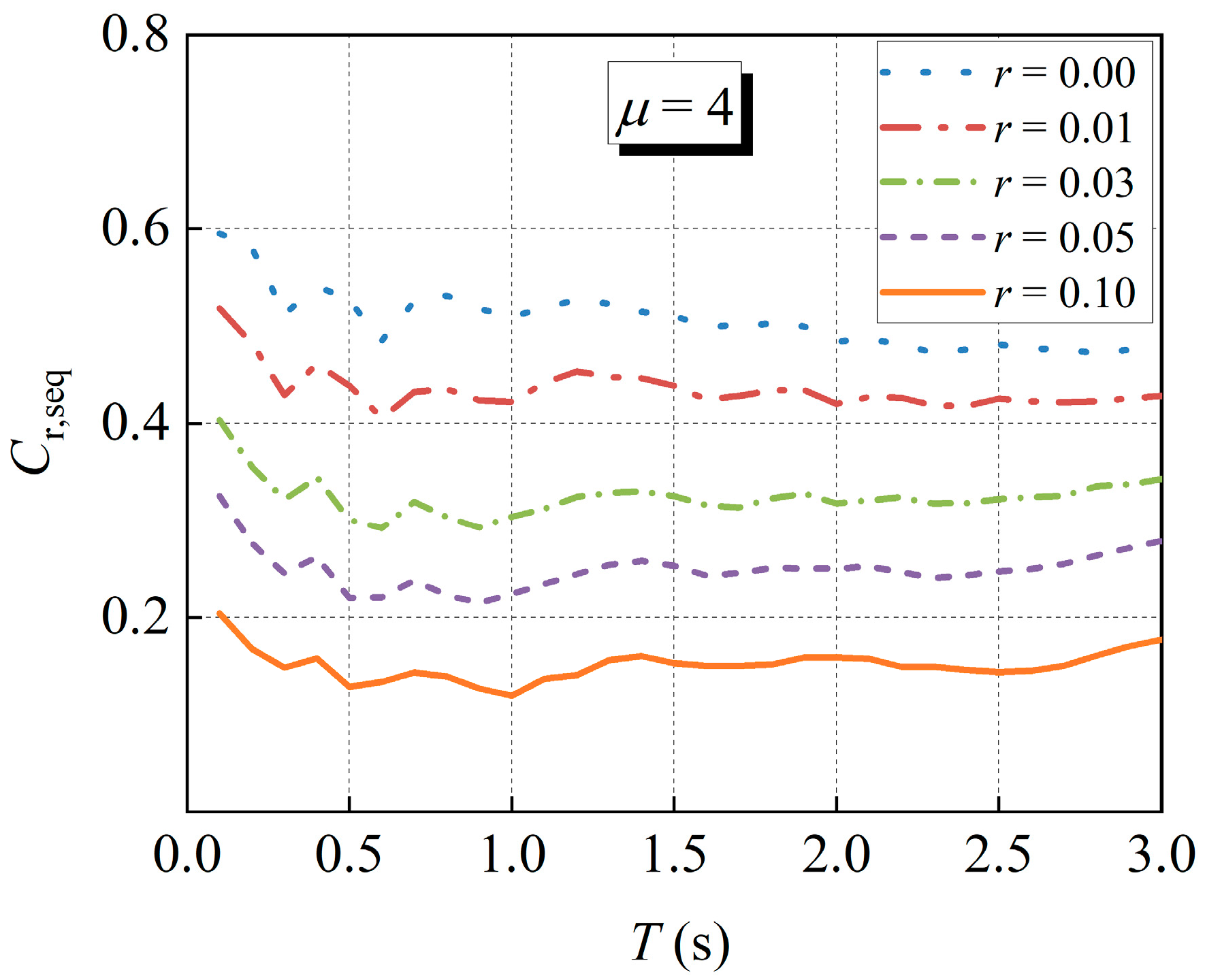
5.1. Effect of Ground Motion Duration
5.2. Effect of Frequency Content
5.3. Effect of Aftershock Intensity
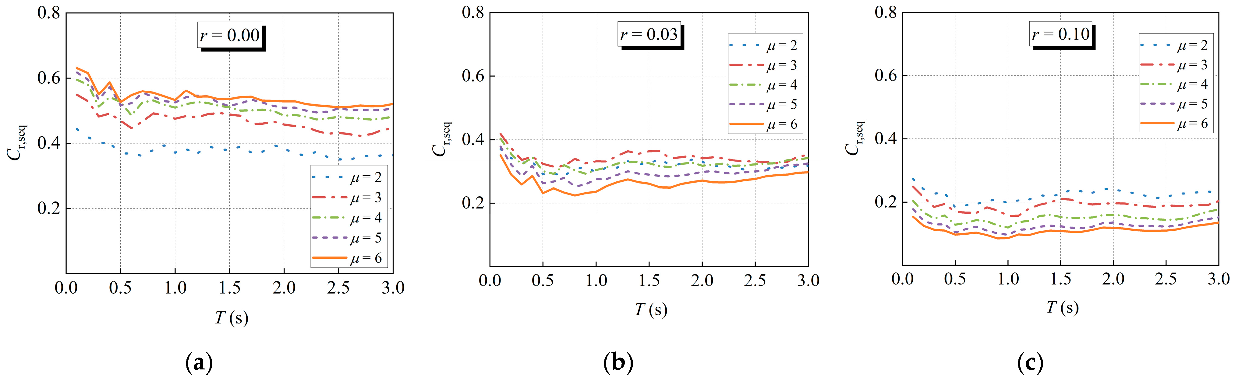
5.4. Effect of Post-Yield Stiffness
5.5. Effect of Displacement Ductility
6. Constant-Ductility Residual Displacement Ratio Spectra
6.1. Establishment of Response Spectra
6.2. Comparison with Existing Models
6.3. Limitations and Future Work
- (1)
- Simplified Structural Idealization: the spectra are formulated under the assumption of bilinear hysteretic behavior, which inherently disregards critical nonlinear characteristics such as strength degradation, stiffness deterioration, and pinch effects. While the bilinear hysteresis assumption remains applicable to structures with stable energy-dissipating mechanisms (e.g., ductile steel systems), it may lead to biased predictions of residual displacements in systems exhibiting complex hysteresis, such as reinforced concrete structures.
- (2)
- Temporal and Socio-Resource Considerations: the current framework focuses solely on the mechanical aspects of structural repairability and does not explicitly account for temporal factors, such as the interval between the mainshock and aftershock or the timeline of post-event resource allocation. While the spectra aid in prioritizing structures requiring urgent post-mainshock intervention (e.g., those exceeding displacement thresholds under aftershocks), the model overlooks socio-temporal dependencies critical to community-level recovery, including aftershock probability decay rates, repair resource availability, and reconstruction schedules.
- (1)
- Quantifying residual displacement demands for structures with complex hysteresis (e.g., strength degradation and pinch effects) under sequential excitations.
- (2)
- Integrating probabilistic aftershock timing models with socio-economic recovery metrics (e.g., infrastructure interdependencies, resource mobilization curves) to link mechanical damage thresholds to functional repairability timelines.
7. Conclusions
- (1)
- The aftershock can significantly amplify the residual displacement ratios in a statistical mean sense. Conventional single-record-based models exhibit non-conservative predictions, underestimating residual displacement ratios by 3–42% across natural periods, thereby validating the necessity of sequence-dependent analysis.
- (2)
- Given the identical mainshock, seismic sequences with stronger aftershocks tend to result in larger residual displacement ratios. Such observation is particularly true for systems with low levels of post-yield stiffness ratio.
- (3)
- Sequences combining high-frequency mainshock with low-frequency aftershock (mean period Tm,ms < Tm,as) generate 5–40% higher residual displacement ratios than reverse configurations (i.e., Tm,ms > Tm,as) for elastic–perfectly plastic systems, highlighting spectral incompatibility risks.
- (4)
- For elastic–perfectly plastic systems, the larger the displacement ductility, the higher the residual displacement ratios. However, for hardening oscillators (r > 0), the larger the displacement ductility, the lower the residual displacement ratios.
- (5)
- The proposed response spectra, which can reasonably account for the parametric dependencies of residual displacement ratios on post-yield stiffness ratios, displacement ductility, natural periods, and relative intensity ratios, provide a reliable and rapid tool for repairability assessment of structures against mainshock–aftershock sequences in terms of residual displacements.
- (1)
- Oscillators with softening behavior (r ≤ 3%) require explicit consideration of aftershocks, as absolute residual displacements escalate disproportionately.
- (2)
- Structures located in regions prone to sequences with strong aftershocks (κ ≥ 1/2) require explicit sequence-based evaluation to avoid underestimation.
- (3)
- Regions prone to spectrally incompatible sequences (e.g., high-frequency mainshock followed by low-frequency aftershock) warrant sequence-specific assessments to mitigate residual displacement amplifications.
Author Contributions
Funding
Institutional Review Board Statement
Informed Consent Statement
Data Availability Statement
Conflicts of Interest
Abbreviations
| SDOF | Single degree of freedom |
| NTHA | Nonlinear time–history analysis |
| PGA | Peak ground acceleration |
| PGV | Peak ground velocity |
Appendix A
| Earthquake Event | Station Number | Time | vs,30 (m/s) | Mw | Rrup (km) | Comp1 (deg) | PGA1 (g) | PGV1 (cm/s) | Comp2 (deg) | PGA2 (g) | PGV2 (cm/s) |
|---|---|---|---|---|---|---|---|---|---|---|---|
| Managua, Nicaragua-01 & 02 | 199 | 12-23-1972 | 288.77 | 6.2 | 4.06 | 90 | 0.372 | 29.043 | 180 | 0.330 | 30.719 |
| 5.2 | 4.98 | 90 | 0.263 | 25.390 | 180 | 0.221 | 17.933 | ||||
| Imperial Valley-06 & 07 | 209 | 10-15-1979 | 231.23 | 6.5 | 10.45 | 225 | 0.277 | 22.444 | 315 | 0.203 | 18.649 |
| 5.0 | 13.32 | 225 | 0.099 | 8.124 | 315 | 0.067 | 5.607 | ||||
| Imperial Valley-06 & 07 | 230 | 10-15-1979 | 203.22 | 6.5 | 1.35 | 140 | 0.447 | 66.985 | 230 | 0.449 | 113.496 |
| 5.0 | 10.37 | 140 | 0.160 | 13.908 | 230 | 0.274 | 25.787 | ||||
| Imperial Valley-06 & 07 | 200 | 10-15-1979 | 210.51 | 6.5 | 0.56 | 140 | 0.341 | 51.654 | 230 | 0.469 | 113.082 |
| 5.0 | 10.31 | 140 | 0.140 | 7.586 | 230 | 0.212 | 12.882 | ||||
| Imperial Valley-06 & 07 | 120 | 10-15-1979 | 206.08 | 6.5 | 3.86 | 140 | 0.610 | 54.463 | 230 | 0.466 | 52.056 |
| 5.0 | 10.94 | 140 | 0.129 | 5.768 | 230 | 0.150 | 10.066 | ||||
| Imperial Valley-06 & 07 | 232 | 10-15-1979 | 202.26 | 6.5 | 5.09 | 270 | 0.353 | 75.538 | 0 | 0.481 | 40.923 |
| 5.0 | 10.71 | 270 | 0.148 | 12.176 | 0 | 0.138 | 6.352 | ||||
| Imperial Valley-06 & 07 | 211 | 10-15-1979 | 202.89 | 6.5 | 7.50 | 225 | 0.258 | 53.109 | 315 | 0.221 | 51.434 |
| 5.0 | 10.58 | 225 | 0.115 | 7.249 | 315 | 0.255 | 16.223 | ||||
| Mammoth Lakes-01 & 06 | 429 | 05-25-1980 | 382.12 | 6.1 | 6.63 | 90 | 0.419 | 23.749 | 180 | 0.442 | 23.531 |
| 5.9 | 12.39 | 90 | 0.266 | 19.109 | 180 | 0.314 | 16.308 | ||||
| Mammoth Lakes-01 & 02 | 436 | 05-25-1980 | 346.82 | 6.1 | 4.67 | 254 | 0.324 | 16.307 | 344 | 0.243 | 15.682 |
| 5.7 | 9.12 | 254 | 0.388 | 24.164 | 344 | 0.442 | 24.014 | ||||
| Irpinia, Italy-01 & 02 | 621 | 11-23-1980 | 455.93 | 6.9 | 17.64 | 0 | 0.126 | 17.344 | 270 | 0.136 | 18.768 |
| 6.2 | 8.83 | 0 | 0.153 | 24.495 | 270 | 0.176 | 28.538 | ||||
| Irpinia, Italy-01 & 02 | 935 | 11-23-1980 | 382.00 | 6.9 | 10.84 | 0 | 0.227 | 36.963 | 270 | 0.321 | 71.919 |
| 6.2 | 20.39 | 0 | 0.070 | 3.592 | 270 | 0.076 | 5.549 | ||||
| Coalinga-01 & 05 | 156 | 05-02-1983 | 257.38 | 6.4 | 8.41 | 45 | 0.602 | 60.476 | 135 | 0.525 | 39.221 |
| 5.8 | 16.05 | 45 | 0.575 | 37.433 | 135 | 0.324 | 10.516 | ||||
| Coalinga-05 & 07 | 412 | 07-22-1983 | 286.41 | 5.8 | 10.78 | 0 | 0.341 | 16.208 | 90 | 0.519 | 29.579 |
| 5.2 | 10.89 | 0 | 0.481 | 14.600 | 90 | 0.677 | 35.470 | ||||
| Coalinga-05 & 07 | 428 | 07-22-1983 | 617.43 | 5.8 | 11.42 | 0 | 0.124 | 5.343 | 90 | 0.113 | 5.637 |
| 5.2 | 12.11 | 0 | 0.144 | 9.073 | 90 | 0.177 | 11.149 | ||||
| Chalfant Valley-02 & 04 | 432 | 07-21-1986 | 303.47 | 6.2 | 17.17 | 180 | 0.249 | 19.616 | 270 | 0.176 | 19.530 |
| 5.4 | 24.75 | 180 | 0.188 | 12.253 | 270 | 0.124 | 11.904 | ||||
| Chalfant Valley-02 & 03 | 438 | 07-21-1986 | 316.19 | 6.2 | 7.58 | 270 | 0.447 | 36.785 | 0 | 0.401 | 44.709 |
| 5.7 | 13.97 | 270 | 0.164 | 7.787 | 0 | 0.113 | 4.823 | ||||
| Whittier Narrows-01 & 02 | 342 | 10-01-1987 | 549.75 | 6.0 | 14.66 | 180 | 0.290 | 21.538 | 270 | 0.388 | 17.053 |
| 5.3 | 12.01 | 180 | 0.181 | 10.793 | 270 | 0.214 | 8.978 | ||||
| Whittier Narrows-01 & 02 | 339 | 10-01-1987 | 375.16 | 6.0 | 19.52 | 0 | 0.307 | 11.392 | 90 | 0.163 | 5.435 |
| 5.3 | 15.38 | 0 | 0.271 | 12.456 | 90 | 0.199 | 9.687 | ||||
| Whittier Narrows-01 & 02 | 585 | 10-01-1987 | 367.53 | 6.0 | 17.42 | 9 | 0.293 | 17.590 | 279 | 0.177 | 7.515 |
| 5.3 | 13.58 | 9 | 0.128 | 9.976 | 279 | 0.229 | 13.256 | ||||
| Whittier Narrows-01 & 02 | 586 | 10-01-1987 | 267.13 | 6.0 | 17.79 | 207 | 0.229 | 15.815 | 297 | 0.222 | 28.297 |
| 5.3 | 15.37 | 207 | 0.139 | 9.496 | 297 | 0.100 | 9.790 | ||||
| Whittier Narrows-01 & 02 | 556 | 10-01-1987 | 550.11 | 6.0 | 28.50 | 262 | 0.128 | 4.637 | 352 | 0.207 | 5.349 |
| 5.3 | 27.94 | 262 | 0.200 | 5.573 | 352 | 0.174 | 5.810 | ||||
| Whittier Narrows-01 & 02 | 521 | 10-01-1987 | 320.57 | 6.0 | 26.34 | 250 | 0.211 | 14.109 | 340 | 0.175 | 10.131 |
| 5.3 | 25.98 | 250 | 0.069 | 2.138 | 340 | 0.055 | 3.489 | ||||
| Whittier Narrows-01 & 02 | 571 | 10-01-1987 | 266.90 | 6.0 | 23.37 | 0 | 0.322 | 29.459 | 270 | 0.303 | 15.787 |
| 5.3 | 21.80 | 0 | 0.088 | 4.050 | 270 | 0.108 | 4.136 | ||||
| Whittier Narrows-01 & 02 | 572 | 10-01-1987 | 245.06 | 6.0 | 20.79 | 90 | 0.232 | 15.600 | 180 | 0.348 | 39.895 |
| 5.3 | 18.14 | 90 | 0.160 | 6.513 | 180 | 0.128 | 4.303 | ||||
| Whittier Narrows-01 & 02 | 288 | 10-01-1987 | 271.90 | 6.0 | 20.82 | 180 | 0.205 | 30.661 | 270 | 0.155 | 12.732 |
| 5.3 | 18.66 | 180 | 0.060 | 5.093 | 270 | 0.061 | 5.234 | ||||
| Whittier Narrows-01 & 02 | 560 | 10-01-1987 | 290.63 | 6.0 | 15.67 | 95 | 0.136 | 6.295 | 185 | 0.245 | 18.203 |
| 5.3 | 13.28 | 95 | 0.186 | 6.648 | 185 | 0.126 | 10.825 | ||||
| Whittier Narrows-01 & 02 | 558 | 10-01-1987 | 371.07 | 6.0 | 22.82 | 177 | 0.304 | 17.767 | 267 | 0.176 | 8.176 |
| 5.3 | 21.15 | 177 | 0.211 | 11.053 | 267 | 0.150 | 4.541 | ||||
| Whittier Narrows-01 & 02 | 567 | 10-01-1987 | 337.00 | 6.0 | 17.39 | 140 | 0.187 | 8.274 | 230 | 0.212 | 7.041 |
| 5.3 | 18.51 | 140 | 0.084 | 4.635 | 230 | 0.104 | 4.058 | ||||
| Whittier Narrows-01 & 02 | 285 | 10-01-1987 | 316.02 | 6.0 | 25.86 | 0 | 0.254 | 9.263 | 90 | 0.227 | 17.056 |
| 5.3 | 25.72 | 0 | 0.113 | 7.021 | 90 | 0.135 | 9.424 | ||||
| Whittier Narrows-01 & 02 | 290 | 10-01-1987 | 301.00 | 6.0 | 23.29 | 270 | 0.273 | 19.192 | 0 | 0.398 | 18.614 |
| 5.3 | 22.98 | 270 | 0.150 | 11.393 | 0 | 0.135 | 9.969 | ||||
| Whittier Narrows-01 & 02 | 318 | 10-01-1987 | 297.07 | 6.0 | 25.94 | 0 | 0.150 | 7.026 | 90 | 0.159 | 6.674 |
| 5.3 | 27.50 | 0 | 0.069 | 5.528 | 90 | 0.136 | 11.254 | ||||
| Whittier Narrows-01 & 02 | 535 | 10-01-1987 | 366.71 | 6.0 | 16.97 | 53 | 0.165 | 7.358 | 143 | 0.144 | 8.994 |
| 5.3 | 15.84 | 53 | 0.090 | 5.675 | 143 | 0.052 | 2.777 | ||||
| Whittier Narrows-01 & 02 | 533 | 10-01-1987 | 283.14 | 6.0 | 17.91 | 83 | 0.160 | 9.622 | 173 | 0.176 | 9.993 |
| 5.3 | 17.47 | 83 | 0.105 | 5.565 | 173 | 0.112 | 12.192 | ||||
| Whittier Narrows-01 & 02 | 536 | 10-01-1987 | 329.06 | 6.0 | 18.86 | 144 | 0.180 | 20.051 | 234 | 0.222 | 11.910 |
| 5.3 | 17.76 | 144 | 0.079 | 5.226 | 234 | 0.148 | 7.001 | ||||
| Whittier Narrows-01 & 02 | 326 | 10-01-1987 | 316.46 | 6.0 | 24.08 | 0 | 0.209 | 9.102 | 90 | 0.119 | 6.906 |
| 5.3 | 24.76 | 90 | 0.054 | 2.797 | 0 | 0.086 | 3.819 | ||||
| Whittier Narrows-01 & 02 | 534 | 10-01-1987 | 364.91 | 6.0 | 16.53 | 58 | 0.135 | 9.969 | 328 | 0.187 | 13.059 |
| 5.3 | 14.21 | 58 | 0.065 | 4.857 | 328 | 0.098 | 5.356 | ||||
| Whittier Narrows-01 & 02 | 530 | 10-01-1987 | 315.06 | 6.0 | 21.11 | 0 | 0.222 | 10.743 | 270 | 0.207 | 7.869 |
| 5.3 | 21.42 | 0 | 0.070 | 3.610 | 270 | 0.069 | 3.505 | ||||
| Whittier Narrows-01 & 02 | 337 | 10-01-1987 | 349.43 | 6.0 | 15.18 | 270 | 0.428 | 13.838 | 0 | 0.427 | 22.281 |
| 5.3 | 13.62 | 270 | 0.344 | 14.302 | 0 | 0.320 | 18.028 | ||||
| Whittier Narrows-01 & 02 | 531 | 10-01-1987 | 285.28 | 6.0 | 20.48 | 90 | 0.192 | 8.347 | 180 | 0.168 | 8.462 |
| 5.3 | 20.99 | 90 | 0.103 | 4.201 | 180 | 0.142 | 9.820 | ||||
| Whittier Narrows-01 & 02 | 532 | 10-01-1987 | 241.41 | 6.0 | 22.17 | 0 | 0.174 | 17.371 | 270 | 0.156 | 11.167 |
| 5.3 | 22.63 | 0 | 0.161 | 16.760 | 270 | 0.084 | 5.828 | ||||
| Whittier Narrows-01 & 02 | 336 | 10-01-1987 | 680.37 | 6.0 | 22.73 | 0 | 0.123 | 4.569 | 90 | 0.180 | 4.820 |
| 5.3 | 19.78 | 0 | 0.145 | 6.131 | 90 | 0.155 | 4.221 | ||||
| Whittier Narrows-01 & 02 | 588 | 10-01-1987 | 397.27 | 6.0 | 19.17 | 0 | 0.237 | 10.473 | 90 | 0.263 | 8.605 |
| 5.3 | 14.82 | 0 | 0.367 | 13.292 | 90 | 0.436 | 14.841 | ||||
| Whittier Narrows-01 & 02 | 528 | 10-01-1987 | 401.37 | 6.0 | 15.20 | 180 | 0.262 | 24.482 | 270 | 0.213 | 11.516 |
| 5.3 | 11.06 | 180 | 0.116 | 8.126 | 270 | 0.144 | 12.171 | ||||
| Whittier Narrows-01 & 02 | 338 | 10-01-1987 | 379.43 | 6.0 | 15.94 | 270 | 0.138 | 4.928 | 0 | 0.194 | 12.902 |
| 5.3 | 12.00 | 270 | 0.147 | 10.241 | 0 | 0.206 | 12.935 | ||||
| Whittier Narrows-01 & 02 | 570 | 10-01-1987 | 339.06 | 6.0 | 18.49 | 48 | 0.469 | 34.371 | 318 | 0.458 | 31.551 |
| 5.3 | 15.64 | 48 | 0.346 | 10.373 | 318 | 0.314 | 15.580 | ||||
| Whittier Narrows-01 & 02 | 519 | 10-01-1987 | 400.44 | 6.0 | 31.06 | 92 | 0.215 | 11.920 | 182 | 0.236 | 12.225 |
| 5.3 | 31.76 | 92 | 0.052 | 3.540 | 182 | 0.098 | 5.009 | ||||
| Whittier Narrows-01 & 02 | 515 | 10-01-1987 | 320.93 | 6.0 | 34.99 | 0 | 0.204 | 8.343 | 90 | 0.233 | 10.948 |
| 5.3 | 35.33 | 0 | 0.096 | 3.354 | 90 | 0.077 | 2.126 | ||||
| Whittier Narrows-01 & 02 | 565 | 10-01-1987 | 334.69 | 6.0 | 16.32 | 225 | 0.140 | 11.327 | 315 | 0.170 | 8.488 |
| 5.3 | 17.01 | 225 | 0.076 | 4.483 | 315 | 0.053 | 5.038 | ||||
| Northridge-01 & 06 | 523 | 01-17-1994 | 545.66 | 6.7 | 18.36 | 35 | 0.621 | 28.762 | 125 | 0.450 | 31.376 |
| 5.3 | 15.25 | 35 | 0.153 | 6.035 | 125 | 0.165 | 6.101 | ||||
| Northridge-01 & 06 | 556 | 01-17-1994 | 550.11 | 6.7 | 19.74 | 262 | 0.168 | 8.777 | 352 | 0.253 | 12.794 |
| 5.3 | 25.83 | 262 | 0.108 | 4.628 | 352 | 0.100 | 4.074 | ||||
| Northridge-01 & 06 | 554 | 01-17-1994 | 581.93 | 6.7 | 16.88 | 60 | 0.112 | 10.704 | 330 | 0.159 | 9.457 |
| 5.3 | 19.31 | 60 | 0.062 | 4.336 | 330 | 0.057 | 3.610 | ||||
| Northridge-01 & 06 | 527 | 01-17-1994 | 347.70 | 6.7 | 23.07 | 90 | 0.136 | 12.738 | 180 | 0.251 | 27.018 |
| 5.3 | 19.62 | 90 | 0.082 | 2.651 | 180 | 0.097 | 6.132 | ||||
| Northridge-01 & 02 | 353 | 01-17-1994 | 365.22 | 6.7 | 36.62 | 90 | 0.263 | 12.777 | 180 | 0.316 | 14.021 |
| 6.1 | 33.80 | 90 | 0.053 | 1.280 | 180 | 0.115 | 3.258 | ||||
| Northridge-01 & 06 | 525 | 01-17-1994 | 255.00 | 6.7 | 20.81 | 0 | 0.280 | 17.553 | 90 | 0.264 | 25.669 |
| 5.3 | 17.14 | 0 | 0.084 | 5.527 | 90 | 0.104 | 4.799 | ||||
| Northridge-01 & 06 | 555 | 01-17-1994 | 411.55 | 6.7 | 18.50 | 90 | 0.221 | 12.216 | 180 | 0.153 | 11.553 |
| 5.3 | 22.90 | 90 | 0.084 | 4.718 | 180 | 0.062 | 4.464 | ||||
| Northridge-01 & 04 | 325 | 01-17-1994 | 341.58 | 6.7 | 24.76 | 90 | 0.193 | 20.095 | 180 | 0.292 | 20.441 |
| 5.9 | 15.43 | 90 | 0.140 | 11.569 | 180 | 0.184 | 12.220 | ||||
| Northridge-01 & 03 | 324 | 01-17-1994 | 269.14 | 6.7 | 5.92 | 90 | 0.583 | 74.855 | 0 | 0.590 | 96.543 |
| 5.2 | 9.35 | 90 | 0.107 | 7.032 | 180 | 0.205 | 17.536 | ||||
| Northridge-01 & 06 | 512 | 01-17-1994 | 280.86 | 6.7 | 12.09 | 90 | 0.341 | 31.419 | 180 | 0.459 | 60.111 |
| 5.3 | 11.14 | 90 | 0.198 | 11.378 | 180 | 0.182 | 7.649 | ||||
| Northridge-01 & 06 | 63 | 01-17-1994 | 282.25 | 6.7 | 6.50 | 228 | 0.874 | 147.923 | 318 | 0.472 | 74.733 |
| 5.3 | 12.96 | 228 | 0.529 | 38.143 | 318 | 0.476 | 19.392 | ||||
| Northridge-01 & 06 | 515 | 01-17-1994 | 320.93 | 6.7 | 10.05 | 0 | 0.277 | 25.370 | 90 | 0.447 | 42.727 |
| 5.3 | 12.22 | 0 | 0.135 | 4.442 | 90 | 0.100 | 7.013 | ||||
| Northridge-01 & 06 | 553 | 01-17-1994 | 402.16 | 6.7 | 13.35 | 170 | 0.133 | 15.722 | 260 | 0.157 | 15.744 |
| 5.3 | 20.03 | 170 | 0.073 | 4.292 | 260 | 0.073 | 3.615 | ||||
| Chi-Chi-01 & 06 | 648 | 09-20-1999 | 544.74 | 7.6 | 10.96 | 90 | 0.289 | 35.240 | 0 | 0.238 | 39.691 |
| 6.3 | 41.36 | 0 | 0.138 | 12.943 | 90 | 0.242 | 22.079 | ||||
| Chi-Chi-01 & 06 | 652 | 09-20-1999 | 573.04 | 7.6 | 12.65 | 90 | 0.251 | 43.628 | 0 | 0.249 | 30.964 |
| 6.3 | 41.58 | 0 | 0.163 | 16.468 | 90 | 0.170 | 20.487 | ||||
| Chi-Chi-01 & 04 | 677 | 09-20-1999 | 553.43 | 7.6 | 10.80 | 90 | 0.234 | 31.416 | 0 | 0.160 | 21.047 |
| 6.2 | 6.2 | 0 | 0.341 | 43.478 | 0 | 0.322 | 32.859 | ||||
| Chi-Chi-01 & 06 | 684 | 09-20-1999 | 665.20 | 7.6 | 28.42 | 90 | 0.101 | 16.713 | 0 | 0.206 | 17.952 |
| 6.3 | 54.42 | 0 | 0.116 | 15.413 | 90 | 0.106 | 21.560 | ||||
| L’Aquila & aftershock 1 | 1985 | 04-06-2009 | 488.00 | 6.3 | 6.40 | 90 | 0.150 | 9.709 | 0 | 0.145 | 7.391 |
| 5.6 | 16.40 | 90 | 0.283 | 16.289 | 0 | 0.252 | 9.813 | ||||
| L’Aquila & aftershock 2 | 1988 | 04-06-2009 | 475.00 | 6.3 | 6.27 | 90 | 0.664 | 40.474 | 0 | 0.556 | 42.729 |
| 5.4 | 17.71 | 90 | 0.155 | 7.986 | 0 | 0.104 | 6.139 | ||||
| L’Aquila & aftershock 1 | 1989 | 04-06-2009 | 685.00 | 6.3 | 6.81 | 90 | 0.482 | 31.225 | 0 | 0.517 | 35.891 |
| 5.6 | 14.95 | 90 | 0.146 | 6.270 | 0 | 0.106 | 6.319 | ||||
| Umbria Marche & aftershock 1 | 3612 | 09-26-1997 | 376.60 | 6.0 | 16.55 | 18 | 0.188 | 9.952 | 108 | 0.166 | 8.881 |
| 5.5 | 17.36 | 18 | 0.103 | 6.865 | 108 | 0.188 | 7.584 | ||||
| Umbria Marche & aftershock 1 | 3622 | 09-26-1997 | 317.00 | 6.0 | 6.92 | 0 | 0.198 | 17.944 | 270 | 0.201 | 13.356 |
| 5.5 | 7.91 | 0 | 0.130 | 11.435 | 270 | 0.107 | 9.954 | ||||
| Umbria Marche & aftershock 3 | 3643 | 09-26-1997 | 428.00 | 6.0 | 8.92 | 0 | 0.472 | 32.563 | 270 | 0.383 | 28.246 |
| 5.5 | 9.33 | 0 | 0.450 | 14.450 | 270 | 0.294 | 11.816 | ||||
| Friuli, Italy-01 & aftershock 1 | 254 | 05-06-1997 | 505.23 | 6.5 | 15.82 | 0 | 0.357 | 22.838 | 270 | 0.315 | 30.505 |
| 5.2 | 26.17 | 0 | 0.117 | 3.625 | 90 | 0.073 | 2.020 |
References
- Meli, R.; Rosenblueth, E. The 1985 Earthquake: Causes and effects in Mexico City. Concr. Int. 1986, 8, 23–34. [Google Scholar]
- Fujino, Y.; Hashimoto, S.; Abe, M. Damage analysis of Hanshin Expressway viaducts during 1995 Kobe earthquake. I: Residual inclination of reinforced concrete piers. J. Bridge Eng. 2005, 10, 45–53. [Google Scholar] [CrossRef]
- Paterson, E.; Re, D.D.; Wang, Z. The 2008 Wenchuan Earthquake: Risk Management Lessons and Implications; Risk Management Solutions: Beijing, China, 2008. [Google Scholar]
- Ramirez, C.M.; Miranda, E. Significance of residual drifts in building earthquake loss estimation. Earthq. Eng. Struct. Dyn. 2012, 41, 1477–1493. [Google Scholar] [CrossRef]
- MacRae, G.A.; Kawashima, K. Post-earthquake residual displacements of bilinear oscillators. Earthq. Eng. Struct. Dyn. 1997, 26, 701–716. [Google Scholar] [CrossRef]
- Kawashima, K.; MacRae, G.A.; Hoshikuma, J.; Nagaya, K. Residual displacement response spectrum. J. Struct. Eng. 1998, 124, 523–530. [Google Scholar] [CrossRef]
- Borzi, B.; Calvi, G.M.; Elnashai, A.S.; Faccioli, E.; Bommer, J.J. Inelastic spectra for displacement-based seismic design. Soil Dyn. Earthq. Eng. 2001, 21, 47–61. [Google Scholar] [CrossRef]
- Dong, H.; Han, Q.; Qiu, C.; Du, X.; Liu, J. Residual displacement responses of structures subjected to near-fault pulse-like ground motions. Struct. Infrastruct. Eng. 2022, 18, 313–329. [Google Scholar] [CrossRef]
- Liossatou, E.; Fardis, M.N. Residual displacements of RC structures as SDOF systems. Earthq. Eng. Struct. Dyn. 2015, 44, 713–734. [Google Scholar] [CrossRef]
- Liossatou, E.; Fardis, M.N. Near-fault effects on residual displacements of RC structures. Earthq. Eng. Struct. Dyn. 2016, 45, 1391–1409. [Google Scholar] [CrossRef]
- Guerrero, H.; Ruiz-García, J.; Ji, T. Residual displacement demands of conventional and dual oscillators subjected to earthquake ground motions characteristic of the soft soils of Mexico City. Soil Dyn. Earthq. Eng. 2017, 98, 206–221. [Google Scholar] [CrossRef]
- Feng, Z.; Gong, J. Study on normalization of residual displacements for single-degree-of-freedom systems. Earthq. Spectra 2021, 37, 1758–1784. [Google Scholar] [CrossRef]
- Feng, Z.; Gong, J. Investigation on residual displacements for SDOF systems with various initial viscous damping models. Structures 2020, 28, 1831–1844. [Google Scholar] [CrossRef]
- Ruiz-García, J.; Miranda, E. Residual displacement ratios for assessment of existing structures. Earthq. Eng. Struct. Dyn. 2006, 35, 315–336. [Google Scholar] [CrossRef]
- Ruiz-García, J.; Guerrero, H. Estimation of residual displacement ratios for simple structures built on soft-soil sites. Soil Dyn. Earthq. Eng. 2017, 100, 555–558. [Google Scholar] [CrossRef]
- Ji, D.; Wen, W.; Zhai, C.; Katsanos, E.I. Residual displacement ratios of SDOF systems subjected to ground motions recorded on soft soils. Soil Dyn. Earthq. Eng. 2018, 115, 331–335. [Google Scholar] [CrossRef]
- Quinde, P.; Terán-Gilmore, A.; Reinoso, E. Residual displacement estimation for soft soils: Application to Mexico city lake-bed. Soil Dyn. Earthq. Eng. 2020, 130, 105970. [Google Scholar] [CrossRef]
- Madhu Girija, H.; Gupta, V.K. Scaling of constant-ductility residual displacement spectrum. Earthq. Eng. Struct. Dyn. 2020, 49, 215–233. [Google Scholar] [CrossRef]
- Harikrishnan, M.G.; Gupta, V.K. Scaling of residual displacements in terms of elastic and inelastic spectral displacements for existing SDOF systems. Earthq. Eng. Eng. Vib. 2020, 19, 71–85. [Google Scholar] [CrossRef]
- Saifullah, M.; Gupta, V.K. Normalized residual displacements for bilinear and pinching oscillators. J. Struct. Eng. 2020, 146, 04020242. [Google Scholar] [CrossRef]
- Liu, B.; Hu, J.; Xie, L. Estimation of constant-damage residual displacements in terms of maximum inelastic displacements for SDOF structures. Bull. Earthq. Eng. 2022, 20, 1027–1055. [Google Scholar] [CrossRef]
- Zhong, J.; Wei, Y.; Shao, Y.; Yang, T.; Liu, Y. An Efficient Method for Predicting the Residual Displacement of UBPRC Columns Under Near-Fault Ground Motions. J. Earthq. Eng. 2024, 28, 1451–1473. [Google Scholar] [CrossRef]
- Shi, Y.; Wang, J.; Qin, H.; Han, J.; Liu, Y. Constant-strength residual displacement ratio spectra for SDOF systems with energy-dissipating fuses. Soil Dyn. Earthq. Eng. 2025, 190, 109163. [Google Scholar] [CrossRef]
- Ruiz-García, J. Mainshock-aftershock ground motion features and their influence in building’s seismic response. J. Earthq. Eng. 2012, 16, 719–737. [Google Scholar] [CrossRef]
- Song, R.; Li, Y.; Van De Lindt, J.W. Impact of earthquake ground motion characteristics on collapse risk of post-mainshock buildings considering aftershocks. Eng. Struct. 2014, 81, 349–361. [Google Scholar] [CrossRef]
- Zhang, Y.; Zhi, X.; Fan, F. Study of the correlations between main shocks and aftershocks and aftershock synthesis method. Earthq. Eng. Eng. Vib. 2019, 18, 759–775. [Google Scholar] [CrossRef]
- Hatzigeorgiou, G.D.; Beskos, D.E. Inelastic displacement ratios for SDOF structures subjected to repeated earthquakes. Eng. Struct. 2009, 31, 2744–2755. [Google Scholar] [CrossRef]
- Hatzigeorgiou, G.D. Ductility demand spectra for multiple near-and far-fault earthquakes. Soil Dyn. Earthq. Eng. 2010, 30, 170–183. [Google Scholar] [CrossRef]
- Ruiz-García, J.; Negrete-Manriquez, J.C. Evaluation of drift demands in existing steel frames under as-recorded far-field and near-fault mainshock-aftershock seismic sequences. Eng. Struct. 2011, 33, 621–634. [Google Scholar] [CrossRef]
- Goda, K.; Taylor, C.A. Effects of aftershocks on peak ductility demand due to strong ground motion records from shallow crustal earthquakes. Earthq. Eng. Struct. Dyn. 2012, 41, 2311–2330. [Google Scholar] [CrossRef]
- Ji, D.; Wen, W.; Zhai, C.; Katsanos, E.I. Maximum inelastic displacement of mainshock-damaged structures under succeeding aftershock. Soil Dyn. Earthq. Eng. 2020, 136, 106248. [Google Scholar] [CrossRef]
- Gaetani d’Aragona, M.; Polese, M.; Elwood, K.J.; Baradaran Shoraka, M.; Prota, A. Aftershock collapse fragility curves for non-ductile RC buildings: A scenario-based assessment. Earthq. Eng. Struct. Dyn. 2017, 46, 2083–2102. [Google Scholar] [CrossRef]
- Omranian, E.; Abdelnaby, A.E.; Abdollahzadeh, G. Seismic vulnerability assessment of RC skew bridges subjected to mainshock-aftershock sequences. Soil Dyn. Earthq. Eng. 2018, 114, 186–197. [Google Scholar] [CrossRef]
- Di Sarno, L.; Pugliese, F. Effects of mainshock-aftershock sequences on fragility analysis of RC buildings with ageing. Eng. Struct. 2021, 232, 111837. [Google Scholar] [CrossRef]
- Yu, X.; Zhou, Z.; Du, W.; Lu, D. Development of fragility surfaces for reinforced concrete buildings under mainshock-aftershock sequences. Earthq. Eng. Struct. Dyn. 2021, 50, 3981–4000. [Google Scholar] [CrossRef]
- Yu, X.; Zhou, Z.; Lu, D.; Ji, K. A Practical Approach of Probabilistic Seismic Hazard Analysis for Vector IMs Regarding Mainshock with Potentially Largest Aftershock. J. Earthq. Eng. 2023, 28, 637–658. [Google Scholar] [CrossRef]
- Zhou, Z.; Xu, H.; Gardoni, P.; Lu, D.; Yu, X. Probabilistic demand models and fragilities for reinforced concrete frame structures subject to mainshock-aftershock sequences. Eng. Struct. 2021, 245, 112904. [Google Scholar] [CrossRef]
- Li, Q.; Ellingwood, B.R. Performance evaluation and damage assessment of steel frame buildings under main shock-aftershock earthquake sequences. Earthq. Eng. Struct. Dyn. 2007, 36, 405–427. [Google Scholar] [CrossRef]
- Zhai, C.; Wen, W.; Li, S.; Chen, Z.; Chang, Z.; Xie, L. The damage investigation of inelastic SDOF structure under the mainshock-aftershock sequence-type ground motions. Soil Dyn. Earthq. Eng. 2014, 59, 30–41. [Google Scholar] [CrossRef]
- Wen, W.; Zhai, C.; Ji, D. Damage spectra of global crustal seismic sequences considering scaling issues of aftershock ground motions. Earthq. Eng. Struct. Dyn. 2018, 47, 2076–2093. [Google Scholar] [CrossRef]
- Zhou, Z.; Han, M.; Dong, Y.; Yu, X. Seismic resilience of corroded mid-rise reinforced concrete structures under mainshock-aftershock sequences. Eng. Struct. 2023, 288, 116192. [Google Scholar] [CrossRef]
- Hu, J.; Wen, W.; Zhai, C.; Pei, S.; Ji, D. Seismic resilience assessment of buildings considering the effects of mainshock and multiple aftershocks. J. Build. Eng. 2023, 68, 106110. [Google Scholar] [CrossRef]
- Liu, J.; Tian, L.; Yang, M.; Meng, X. Probabilistic framework for seismic resilience assessment of transmission tower-line systems subjected to mainshock-aftershock sequences. Reliab. Eng. Syst. Saf. 2024, 242, 109755. [Google Scholar] [CrossRef]
- Amiri, S.; Bojórquez, E. Residual displacement ratios of structures under mainshock-aftershock sequences. Soil Dyn. Earthq. Eng. 2019, 121, 179–193. [Google Scholar] [CrossRef]
- Amiri, S.; Garakaninezhad, A.; Bojórquez, E. Normalized residual displacement spectra for post-mainshock assessment of structures subjected to aftershocks. Earthq. Eng. Eng. Vib. 2021, 20, 403–421. [Google Scholar] [CrossRef]
- Amiri, S.; Di Sarno, L.; Garakaninezhad, A. On the aftershock polarity to assess residual displacement demands. Soil Dyn. Earthq. Eng. 2021, 150, 106932. [Google Scholar] [CrossRef]
- Pacific Earthquake Engineering Research Center (PEER). PEER Ground Motion Database. Available online: https://ngawest2.berkeley.edu/site (accessed on 21 May 2024).
- Newmark, N.M.; Hall, W.J. Earthquake Spectra and Design; Earthquake Engineering Research Institute: Berkeley, CA, USA, 1982; pp. 39–45. [Google Scholar]
- Fajfar, P. A nonlinear analysis method for performance-based seismic design. Earthq. Spectra 2000, 16, 573–592. [Google Scholar] [CrossRef]
- Beyer, K.; Petry, S.; Tondelli, M.; Paparo, A. Towards Displacement-Based Seismic Design of Modern Unreinforced Masonry Structures. In Perspectives on European Earthquake Engineering and Seismology; Ansal, A., Ed.; Geotechnical, Geological and Earthquake Engineering; Springer: Cham, Switzerland, 2014; Volume 34, pp. 401–428. [Google Scholar]
- Katsanos, E.I.; Sextos, A.G. Inelastic spectra to predict period elongation of structures under earthquake loading. Earthq. Eng. Struct. Dyn. 2015, 44, 1765–1782. [Google Scholar] [CrossRef]
- da Silva, A.H.A.; Tsiavos, A.; Stojadinović, B. Ductility-strength and strength-ductility relations for a constant yield displacement seismic design procedure. Bull. Earthq. Eng. 2023, 21, 4449–4479. [Google Scholar] [CrossRef]
- Bommer, J.J.; Scott, S.G.; Sarma, S.K. Hazard-consistent earthquake scenarios. Soil Dyn. Earthq. Eng. 2000, 19, 219–231. [Google Scholar] [CrossRef]
- Tsiavos, A.; Nunes, M.F.; Stojadinovic, B. Does seismic isolation reduce the seismic vulnerability and the variability of the inelastic seismic response? Large-scale experimental investigation. Bull. Earthq. Eng. 2024, 22, 7359–7381. [Google Scholar] [CrossRef]
- Trifunac, M.D.; Brady, A.G. A study on the duration of strong earthquake ground motion. Bull. Seismol. Soc. Am. 1975, 65, 581–626. [Google Scholar]
- Di Sarno, L.; Amiri, S. Period elongation of deteriorating structures under mainshock-aftershock sequences. Eng. Struct. 2019, 196, 109341. [Google Scholar] [CrossRef]
- Rathje, E.M.; Abrahamson, N.A.; Bray, J.D. Simplified frequency content estimates of earthquake ground motions. J. Geotech. Geoenviron. Eng. 1998, 124, 150–159. [Google Scholar] [CrossRef]


















| r | κ | |||||||
|---|---|---|---|---|---|---|---|---|
| 1/5 | 1/4 | 1/3 | 1/2 | 2/3 | 4/5 | 1.0 | 4/3 | |
| 0.00 | 0.6165 | 0.6144 | 0.6193 | 0.6421 | 0.6763 | 0.7047 | 0.7472 | 0.8267 |
| 0.03 | 0.7247 | 0.7182 | 0.7169 | 0.7327 | 0.7619 | 0.7903 | 0.8231 | 0.9193 |
| 0.05 | 0.7235 | 0.7143 | 0.7074 | 0.7185 | 0.7450 | 0.7715 | 0.7949 | 0.8758 |
| 0.10 | 0.5908 | 0.5786 | 0.5665 | 0.5714 | 0.5909 | 0.6065 | 0.6134 | 0.6147 |
| r | κ | |||||||
|---|---|---|---|---|---|---|---|---|
| 1/5 | 1/4 | 1/3 | 1/2 | 2/3 | 4/5 | 1.0 | 4/3 | |
| 0.00 | −1.0923 | −1.0786 | −1.0646 | −1.0612 | −1.081 | −1.1013 | −1.1339 | −1.1895 |
| 0.03 | −1.6102 | −1.5896 | −1.5618 | −1.5391 | −1.5535 | −1.5780 | −1.6143 | −1.6699 |
| 0.05 | −1.8504 | −1.8255 | −1.7907 | −1.7615 | −1.7734 | −1.8002 | −1.8338 | −1.878 |
| 0.10 | −2.1852 | −2.15 | −2.1017 | −2.0675 | −2.0808 | −2.1039 | −2.1168 | −2.0651 |
| r | κ | |||||||
|---|---|---|---|---|---|---|---|---|
| 1/5 | 1/4 | 1/3 | 1/2 | 2/3 | 4/5 | 1.0 | 4/3 | |
| 0.00 | 0.0731 | 0.0679 | 0.0615 | 0.0649 | 0.0762 | 0.0851 | 0.0938 | 0.0856 |
| 0.03 | 0.1084 | 0.1033 | 0.0952 | 0.0965 | 0.1168 | 0.1307 | 0.145 | 0.0676 |
| 0.05 | 0.1460 | 0.1416 | 0.1366 | 0.1416 | 0.1654 | 0.1862 | 0.2071 | 0.1075 |
| 0.10 | 0.2858 | 0.2826 | 0.2793 | 0.2969 | 0.3395 | 0.3745 | 0.3961 | 0.2596 |
Disclaimer/Publisher’s Note: The statements, opinions and data contained in all publications are solely those of the individual author(s) and contributor(s) and not of MDPI and/or the editor(s). MDPI and/or the editor(s) disclaim responsibility for any injury to people or property resulting from any ideas, methods, instructions or products referred to in the content. |
© 2025 by the authors. Licensee MDPI, Basel, Switzerland. This article is an open access article distributed under the terms and conditions of the Creative Commons Attribution (CC BY) license (https://creativecommons.org/licenses/by/4.0/).
Share and Cite
Feng, Z.; Wang, J.; Huang, H.; Gong, J. Normalized Residual Displacements for Single-Degree-of-Freedom Systems Subjected to Mainshock–Aftershock Sequences. Appl. Sci. 2025, 15, 4721. https://doi.org/10.3390/app15094721
Feng Z, Wang J, Huang H, Gong J. Normalized Residual Displacements for Single-Degree-of-Freedom Systems Subjected to Mainshock–Aftershock Sequences. Applied Sciences. 2025; 15(9):4721. https://doi.org/10.3390/app15094721
Chicago/Turabian StyleFeng, Zhibin, Jiying Wang, Hua Huang, and Jinxin Gong. 2025. "Normalized Residual Displacements for Single-Degree-of-Freedom Systems Subjected to Mainshock–Aftershock Sequences" Applied Sciences 15, no. 9: 4721. https://doi.org/10.3390/app15094721
APA StyleFeng, Z., Wang, J., Huang, H., & Gong, J. (2025). Normalized Residual Displacements for Single-Degree-of-Freedom Systems Subjected to Mainshock–Aftershock Sequences. Applied Sciences, 15(9), 4721. https://doi.org/10.3390/app15094721

