Sign in to use this feature.

Years

Between: -

Subjects

remove_circle_outline
remove_circle_outline
remove_circle_outline
remove_circle_outline
remove_circle_outline
remove_circle_outline
remove_circle_outline

Journals

Article Types

Countries / Regions

Search Results (28)

Search Parameters:
Keywords = compressional behavior

Order results
Result details
Results per page
Select all
Export citation of selected articles as:
15 pages, 14032 KB  
Article
Preliminary Study on the Activity of the Rupture Zone in the Eastern Segment of the Ba Co Fault in Ngari Prefecture, Tibet
by Yunsheng Yao, Yanxiu Shao and Bo Zhang
Geosciences 2025, 15(10), 377; https://doi.org/10.3390/geosciences15100377 - 1 Oct 2025
Cited by 1 | Viewed by 476
Abstract
The lack of research on the slip behavior of the NW-trending faults in the central Tibetan Plateau constrains our understanding of the deformation models for this region. The Ba Co Fault, located in the central Tibetan Plateau, is a NW–SE-trending right-lateral strike-slip fault. [...] Read more.
The lack of research on the slip behavior of the NW-trending faults in the central Tibetan Plateau constrains our understanding of the deformation models for this region. The Ba Co Fault, located in the central Tibetan Plateau, is a NW–SE-trending right-lateral strike-slip fault. Its eastern section has been active in the Holocene and plays an important accommodating role in the northward compression and east–west extension of the Tibetan Plateau. This study presents a detailed analysis of the geomorphic features of the eastern section of the Ba Co Fault in the Ngari Prefecture of Tibet, precisely measuring the newly discovered surface rupture zone on its eastern side and preliminarily discussing the activity of the fault based on the optically stimulated luminescence (OSL) dating results. The results reveal that the eastern segment of the Ba Co Fault displays geomorphic evidence of offset, including displaced Holocene alluvial–fluvial fans at the mountain front and partially offset ridges. A series of pressure ridges, trenches, counter-slope scarps, and shutter ridge ponds have developed along the fault trace. Some gullies exhibit a cumulative dextral displacement of approximately 16–52 m. The newly discovered co-seismic surface rupture zone extends for a total length of ~21 km, with a width ranging from 30 to 102 m. Pressure ridges within the rupture zone reach heights of 0.3–5.5 m, while trenches exhibit depths of 0.6–15 m. Optically stimulated luminescence (OSL) dating constrains the timing of the surface-rupturing earthquake to after 5.73 ± 0.17 ka. The eastern segment of the Ba Co Fault experienced a NW-trending compressional deformation regime during the Holocene, manifesting as a transpressional dextral strike-slip fault. Magnitude estimation indicates that this segment possesses the potential to generate earthquakes of M ≥ 6. The regional tectonic analysis indicates that the activity of the eastern section of the Ba Co Fault is related to the shear model of the conjugate strike-slip fault zone in the central Tibetan Plateau and may play a boundary role between different shear zones. Full article
Show Figures

Figure 1

24 pages, 5303 KB  
Article
Preliminary Documentation and Radon Tracer Studies at a Tourist Mining Heritage Site in Poland’s Old Copper Basin: A Case Study of the “Aurelia” Gold Mine
by Lidia Fijałkowska-Lichwa and Damian Kasza
Appl. Sci. 2025, 15(17), 9743; https://doi.org/10.3390/app15179743 - 4 Sep 2025
Viewed by 872
Abstract
This study presents the results of preliminary documentation and radon tracer investigations conducted at the “Aurelia” Mine in Złotoryja. Measurements of 222Rn activity concentrations were carried out between 17 March and 26 August 2023, while terrestrial laser scanning (TLS) for mapping purposes [...] Read more.
This study presents the results of preliminary documentation and radon tracer investigations conducted at the “Aurelia” Mine in Złotoryja. Measurements of 222Rn activity concentrations were carried out between 17 March and 26 August 2023, while terrestrial laser scanning (TLS) for mapping purposes was performed on 16 November 2024. The radon data exhibited a consistently right-skewed distribution, with skewness coefficients ranging from 0.9 to 8.2 and substantial standard deviations, indicating significant data dispersion. Outliers and extreme outliers were identified as key factors influencing average radon activity concentrations from April through August, whereas data from March displayed homogeneity, with no detected anomalies. The average 222Rn activity concentrations recorded from March to July ranged from 51.4 Bq/m3 to 65.9 Bq/m3. In contrast, July and August showed elevated average values (75.8 Bq/m3 and 5784.8 Bq/m3, respectively) due to the presence of outliers and extreme values. Upon removal of these anomalies, the adjusted means were 73.8 Bq/m3 and 1003.6 Bq/m3, respectively, resulting in reduced skewness and improved representativeness. These findings suggest that the annual average radon concentrations at the “Aurelia” Mine remain compliant with the regulatory threshold of 300 Bq/m3 set by the Atomic Law Act, with exceedances likely related to atypical or rare geophysical phenomena requiring further statistical validation. August exhibited a significant occurrence of outliers and extreme outliers in 222Rn activity concentration data, particularly concentrated between the 13th and 17th days of the month. This anomaly is hypothesized to be associated with geological processes, notably mining-induced seismic events within the LGOM (Legnica–Głogów Copper District) region. It is proposed that periodic transitions between tensional and compressional phases within the rock mass, triggered by mining activity, may lead to abrupt increases in radon exhalation, potentially occurring before or after seismic events with a magnitude exceeding 2.5. Although the presented data provide preliminary evidence supporting the influence of tectonic kinematic changes on subsurface radon dynamics, further systematic observations are required to confirm this relationship. At the current stage, the hypothesis remains speculative but may contribute to the broader understanding of radon behavior in geologically active underground environments. Complementing the geochemical analysis, TLS enabled detailed geological mapping and 3D spatial modeling of the mine’s underground tourist infrastructure. The resulting simplified linked data model—integrating radon activity concentrations, geological structures, and spatial parameters—provides a foundational framework for developing a comprehensive GIS database. This integrative approach highlights the feasibility of combining tracer studies with spatial and cartographic data to improve radon risk assessment models and ensure regulatory compliance in underground occupational settings. Full article
(This article belongs to the Special Issue Advances in Environmental Monitoring and Radiation Protection)
Show Figures

Figure 1

17 pages, 4364 KB  
Article
An Investigation of the Effectiveness of Super White Cement in Improving the Engineering Properties of Organic Soils by Laboratory Tests
by Eyubhan Avci, Mehmet C. Balci, Muhammed A. Toprak, Melih Uysal, Emre Deveci, Gözde Algun Karataş and Yunus E. Dönertaş
Buildings 2025, 15(15), 2730; https://doi.org/10.3390/buildings15152730 - 2 Aug 2025
Viewed by 769
Abstract
In this study, the efficacy of super white cement (SWC) to improve organic soils was researched. For stabilization, 10%, 15%, and 20% proportions of SWC were added to organic soil. After improvement with SWC, Atterberg limit testing, standard Proctor tests, triaxial compression tests, [...] Read more.
In this study, the efficacy of super white cement (SWC) to improve organic soils was researched. For stabilization, 10%, 15%, and 20% proportions of SWC were added to organic soil. After improvement with SWC, Atterberg limit testing, standard Proctor tests, triaxial compression tests, and swelling and compressibility tests were performed on the organic soil. Proctor tests showed that stabilization of organic soil with SWC increased maximum dry density (MDD) and optimum moisture content (OMC) values. After stabilization, the unconfined compressional strength values of the soil increased. This increase continued until the 28th day and had a reducing trend after improvement with SWC, linked to time. In addition to the reaction between SWC and OS, the time-dependent behavior of OS also contributed to this behavior. With the increase in SWC proportions, the cohesion intercept and internal friction angle values rapidly increased until the 56th day. This increase began to reduce after the 56th day. After stabilization, the swelling percentage and compressibility values for the soil reduced. The addition of SWC within organic soil appeared to improve the engineering properties of the soil. Full article
(This article belongs to the Section Building Materials, and Repair & Renovation)
Show Figures

Figure 1

18 pages, 3937 KB  
Article
Preliminary Evaluation of 3D-Printed Alginate/Gelatin Scaffolds for Protein Fast Release as Suitable Devices for Personalized Medicine
by Benedetta Ghezzi, Ruben Foresti, Luisa Pia Scialoia, Maddalena Botti, Arianna Mersanne, Fulvio Ratto, Francesca Rossi, Chiara Martini, Paolo Perini, Elda Favari and Antonio Freyrie
Biomedicines 2025, 13(6), 1365; https://doi.org/10.3390/biomedicines13061365 - 2 Jun 2025
Cited by 2 | Viewed by 1444
Abstract
Background/Objectives: Drug-coated balloons (DCBs) are emerging as a promising treatment for peripheral artery disease; however, current technologies lack flexibility in customizing drug release profiles and composition, limiting their therapeutic potential. This study aims to develop a Gelatin (Gel) and Sodium Alginate (Alg) bioink [...] Read more.
Background/Objectives: Drug-coated balloons (DCBs) are emerging as a promising treatment for peripheral artery disease; however, current technologies lack flexibility in customizing drug release profiles and composition, limiting their therapeutic potential. This study aims to develop a Gelatin (Gel) and Sodium Alginate (Alg) bioink loaded with apolipoprotein A-I (apoA-I) for controlled drug delivery by using additive manufacturing technologies. Methods: We developed and printed via rapid freeze prototyping (RFP) a Gel and Alg bioink loaded with different concentrations of apoA-I. Mechanical properties related to compressional and tensile forces have been studied, as well as the structural stability and active release from the 3D structure of apoA-I (cholesterol efflux assays). The biological behavior of HUVEC cells with and without ApoA-I was assessed by proliferation assay, metabolic activity analysis, and fluorescence imaging. Results: The 3D structures presented breakpoint stress values consistent with the mechanical requirements for integration within a DCB, and the ability to effectively promote cholesterol transport in J774 cells. Moreover, in vitro studies on HUVECs revealed that the scaffolds exhibited no cytotoxic effects, leading to increased ATP levels and enhanced metabolic activity over time, confirming the possibility to obtain RFP-printed Alg/Gel scaffolds able to provide a stable structure capable of controlled apoA-I release. Conclusions: These findings support the potential of Alg/Gel+apoA-I scaffolds as biocompatible drug delivery systems for vascular applications. Their ability to maintain structural integrity while enabling controlled biomolecular release positions them as promising candidates for personalized cardiovascular therapy, facilitating the rapid customization of bioprinted therapeutic platforms. Full article
(This article belongs to the Section Biomedical Engineering and Materials)
Show Figures

Figure 1

14 pages, 2934 KB  
Article
Sound Velocities in Vanadium Reveal Complex Elastic Behavior at High Pressures
by Brian Gulick, Xintong Qi, Ran Wang and Baosheng Li
Metals 2025, 15(4), 427; https://doi.org/10.3390/met15040427 - 10 Apr 2025
Cited by 1 | Viewed by 870
Abstract
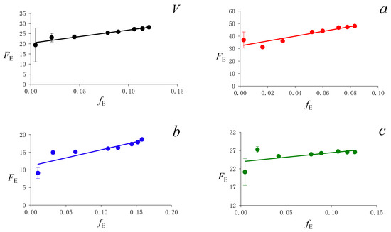
Compressional (VP) and shear (VS) wave velocities of polycrystalline vanadium were measured simultaneously up to 11.5 GPa at room temperature using ultrasonic interferometry in a multi-anvil press. Complex softening behavior in VS and resulting shear moduli are discovered, [...] Read more.
Compressional (VP) and shear (VS) wave velocities of polycrystalline vanadium were measured simultaneously up to 11.5 GPa at room temperature using ultrasonic interferometry in a multi-anvil press. Complex softening behavior in VS and resulting shear moduli are discovered, possibly revealing a precursor to the reported phase transition within 30–60 GPa. The current data enables a comprehensive assessment of the elastic and mechanical properties of vanadium at high pressures, including bulk and shear moduli, Young’s modulus, Poisson’s ratio, and Pugh’s ratio. Through fitting to the 3rd-order finite strain equations, the elastic moduli and their pressure derivatives were determined to be KS0 = 151 (2) GPa, G0 = 46.9 (8) GPa, K’S0 = 3.47 (5), and G’0 = 0.62 (1). These experimental results allow us to compare with and benchmark the existing Steinberg–Guinan models for extrapolations to extreme pressure and temperature conditions. Full article
Show Figures

Figure 1

12 pages, 9479 KB  
Article
An Efficient and Economic Approach for Producing Nanocellulose-Based Aerogel from Kapok Fiber
by Minjie Hou, Qi Wang, Shunyu Wang, Zeze Yang, Xuefeng Deng and Hailong Zhao
Gels 2024, 10(8), 490; https://doi.org/10.3390/gels10080490 - 25 Jul 2024
Cited by 5 | Viewed by 2347
Abstract
Cellulose nanofibers (NF) were extracted from kapok fibers using TEMPO oxidation, followed by a combination of mechanical grinding and ultrasonic processing. The TEMPO-mediated oxidation significantly impacted the mechanical disintegration behavior of the kapok fibers, resulting in a high NF yield of 98%. This [...] Read more.
Cellulose nanofibers (NF) were extracted from kapok fibers using TEMPO oxidation, followed by a combination of mechanical grinding and ultrasonic processing. The TEMPO-mediated oxidation significantly impacted the mechanical disintegration behavior of the kapok fibers, resulting in a high NF yield of 98%. This strategy not only improved the fibrillation efficiency but also reduced overall energy consumption during NF preparation. An ultralight and highly porous NF-based aerogel was successfully prepared using a simple ice-templating technique. It had a low density in the range of 3.5–11.2 mg cm−3, high compressional strength (160 kPa), and excellent thermal insulation performance (0.024 W m−1 K−1). After silane modification, the aerogel displayed an ultralow density of 7.9 mg cm−3, good hydrophobicity with a water contact angle of 128°, and excellent mechanical compressibility with a high recovery of 92% at 50% strain. Benefiting from the silene support structure, it showed a high oil absorptive capacity (up to 71.4 g/g for vacuum pump oil) and a remarkable oil recovery efficiency of 93% after being reused for 10 cycles. These results demonstrate that our strategy endows nanocellulose-based aerogels with rapid shape recovery and high liquid absorption capabilities. Full article
(This article belongs to the Special Issue Preparation and Characteristics of Aerogel-Based Materials)
Show Figures

Figure 1

24 pages, 9958 KB  
Article
Deciphering Iberian Variscan Orogen Magmatism Using the Anisotropy of Magnetic Susceptibility from Granites
by Helena Sant’Ovaia, Cláudia Cruz, Ana Gonçalves, Pedro Nogueira and Fernando Noronha
Minerals 2024, 14(3), 309; https://doi.org/10.3390/min14030309 - 15 Mar 2024
Cited by 7 | Viewed by 2777
Abstract
In this paper, we have synthesized the information derived from more than 20 papers and PhD theses on the anisotropy of the magnetic susceptibility (AMS) of 19 Variscan granite plutons, spanning the period between 320 Ma and 296 Ma. The AMS data are [...] Read more.
In this paper, we have synthesized the information derived from more than 20 papers and PhD theses on the anisotropy of the magnetic susceptibility (AMS) of 19 Variscan granite plutons, spanning the period between 320 Ma and 296 Ma. The AMS data are obtained from 876 sampling sites with more than 7080 AMS measurements and a re-interpretation is proposed. The studied granites exhibit a magnetic susceptibility (Km) ranging from 30 to 10,436 × 10−6 SI units. Most granites typically exhibit Km values below 1000 × 10−6 SI, indicative of paramagnetic behavior. Biotite serves as the main carrier of iron (Fe), emphasizing the reduced conditions prevalent during the formation of granite melts in the Variscan orogeny. The AMS fabrics of the studied granite plutons record the magma strain, expressing the chronologic evolution of the stress field during the orogeny. This chronologic approach highlights the magmatic events between around 330 and 315 Ma, occurring in an extensional regime, in which the Borralha pluton is an example of a suite that recorded this extensional AMS fabric. Plutons with ages between 315 and 305 Ma show AMS fabrics, pointing out their emplacement in a compressional tectonic regime related to the Variscan collision. The plutons, younger than 305 Ma, record AMS fabrics indicating that the tectonic setting for emplacement changes from a wrench regime to an extensional one at the end of the collision stage. This is evident as there is a chronological overlap between the granites that exhibit AMS fabrics indicating extension and the ones that have AMS fabrics indicating a wrench regime. Full article
Show Figures

Figure 1

20 pages, 2477 KB  
Article
Stress-Dependent Petrophysical Properties of the Bakken Unconventional Petroleum System: Insights from Elastic Wave Velocities and Permeability Measurements
by Prasad Pothana, Ghoulem Ifrene and Kegang Ling
Fuels 2023, 4(4), 397-416; https://doi.org/10.3390/fuels4040025 - 30 Sep 2023
Cited by 6 | Viewed by 2815
Abstract
The net-effective stress is a fundamental physical property that undergoes dynamic changes in response to variations in pore pressure during production and injection activities. Petrophysical properties, including porosity, permeability, and wave velocities, play a critical role and exhibit strong dependence on the mechanical [...] Read more.
The net-effective stress is a fundamental physical property that undergoes dynamic changes in response to variations in pore pressure during production and injection activities. Petrophysical properties, including porosity, permeability, and wave velocities, play a critical role and exhibit strong dependence on the mechanical stress state of the formation. The Williston basin’s Bakken Formation represents a significant reservoir of hydrocarbons within the United States. To investigate this formation, we extracted core plugs from three distinct Bakken members, namely Upper Bakken, Middle Bakken, and Lower Bakken. Subsequently, we conducted a series of measurements of ultrasonic compressional and shear wave velocities, as well as pulse decay permeabilities using nitrogen, under various confining pressures employing the Autolab-1500 apparatus. Our experimental observations revealed that the ultrasonic wave velocities and permeability display a significant sensitivity to stress changes. We investigated existing empirical relationships on velocity-effective stress, compressional-shear wave velocities, and permeability-effective stress, and proposed the best models and associated fitting parameters applicable to the current datasets. In conjunction with the acquired datasets, these models have considerable potential for use in time-lapse seismic monitoring and the study of production decline behavior. The best fitting models can be used to forecast the petrophysical and geomechanical property changes as the reservoir pore pressure is depleted due to the production, which is critical to the production forecast for unconventional reservoirs. Full article
Show Figures

Figure 1

13 pages, 1413 KB  
Article
Investigating Variation in Compressional Behavior of a Ternary Mixture from a Plastic, Elastic and Brittle Fracture Perspective in the Context of Optimum Composition of a Pharmaceutical Blend
by Hiba Hani Mohammed Ali, Faisal Al-Akayleh, Abdel Hadi Al Jafari and Iyad Rashid
Polymers 2023, 15(5), 1063; https://doi.org/10.3390/polym15051063 - 21 Feb 2023
Cited by 3 | Viewed by 2492
Abstract
The choice of optimum composition of a mixture of binary and ternary excipients for optimum compressional properties was investigated in this work. Excipients were chosen based on three types of excipients: plastic, elastic, and brittle fracture. Mixture compositions were selected based on a [...] Read more.
The choice of optimum composition of a mixture of binary and ternary excipients for optimum compressional properties was investigated in this work. Excipients were chosen based on three types of excipients: plastic, elastic, and brittle fracture. Mixture compositions were selected based on a one-factor experimental design using the response surface methodology technique. Compressive properties comprising Heckel and Kawakita parameters, work of compression, and tablet hardness were measured as the main responses of this design. The one-factor RSM analysis revealed that there exist specific mass fractions that are associated with optimum responses for binary mixtures. Furthermore, the RSM analysis of the ‘mixture’ design type for the three components revealed a region of optimal responses around a specific composition. The foregoing had a mass ratio of 80:15:5 for microcrystalline cellulose: starch: magnesium silicate, respectively. Upon comparison using all RSM data, ternary mixtures were found to perform better in compression and tableting properties than binary mixtures. Finally, the finding of an optimal mixture composition has proven effective in its applicability in the context of the dissolution of model drugs (metronidazole and paracetamol). Full article
(This article belongs to the Special Issue Advances in Cellulose-Based Polymers and Composites)
Show Figures

Graphical abstract

22 pages, 1066 KB  
Article
Elasticity of Semiflexible ZigZag Nanosprings with a Point Magnetic Moment
by Mohammadhosein Razbin and Panayotis Benetatos
Polymers 2023, 15(1), 44; https://doi.org/10.3390/polym15010044 - 22 Dec 2022
Viewed by 2002
Abstract
Kinks can appear along the contour of semiflexible polymers (biopolymers or synthetic ones), and they affect their elasticity and function. A regular sequence of alternating kink defects can form a semiflexible nanospring. In this article, we theoretically analyze the elastic behavior of such [...] Read more.
Kinks can appear along the contour of semiflexible polymers (biopolymers or synthetic ones), and they affect their elasticity and function. A regular sequence of alternating kink defects can form a semiflexible nanospring. In this article, we theoretically analyze the elastic behavior of such a nanospring with a point magnetic dipole attached to one end while the other end is assumed to be grafted to a rigid substrate. The rod-like segments of the nanospring are treated as weakly bending wormlike chains, and the propagator (Green’s function) method is used in order to calculate the conformational and elastic properties of this system. We analytically calculate the distribution of orientational and positional fluctuations of the free end, the force-extension relation, as well as the compressional force that such a spring can exert on a planar wall. Our results show how the magnetic interaction affects the elasticity of the semiflexible nanospring. This sensitivity, which is based on the interplay of positional and orientational degrees of freedom, may prove useful in magnetometry or other applications. Full article
(This article belongs to the Section Polymer Physics and Theory)
Show Figures

Figure 1

23 pages, 3651 KB  
Article
The Influence of Particle Size and Hydrate Formation Path on the Geomechanical Behavior of Hydrate Bearing Sands
by Mandeep R. Pandey, Jeffrey A. Priest and Jocelyn L. Hayley
Energies 2022, 15(24), 9632; https://doi.org/10.3390/en15249632 - 19 Dec 2022
Cited by 4 | Viewed by 2625
Abstract
Determining the geomechanical properties of hydrate-bearing sands (HBS), such as strength and stiffness, are critical for evaluating the potential for the economic and safe recovery of methane gas from HBS reservoirs. To date, results from numerous independent laboratory studies on synthesized HBS have [...] Read more.
Determining the geomechanical properties of hydrate-bearing sands (HBS), such as strength and stiffness, are critical for evaluating the potential for the economic and safe recovery of methane gas from HBS reservoirs. To date, results from numerous independent laboratory studies on synthesized HBS have shown that strength and stiffness are largely influenced by hydrate saturation, the method adopted for hydrate formation, and to a lesser extent, the confining stresses applied during testing. However, a significant scatter is observed in the data even when these conditions are similar. These include recent studies on natural HBS where sands with larger particle size distribution (PSD) exhibited higher strengths despite lower hydrate saturation. To investigate the impact of PSD, and the role that specific hydrate formation conditions might impose, on the strength and stiffness of HBS, a series of laboratory tests were carried out on sand specimens formed with different particle size distributions and utilizing different approaches for forming gas saturated HBS. The laboratory apparatus included a resonant column drive head to measure the small-strain stiffness of the specimen during hydrate formation, and subsequent drained compressional shearing to capture the stress-strain response of the HBS. Results indicate that the PSD significantly affects both the stiffness evolution (during hydrate formation) and peak strength at failure after formation compared to the effect of the methodology adopted for hydrate formation. These observations improve our understanding of the geomechanical behavior of laboratory-synthesized HBS and allow more robust relationships to be developed between them and natural HBS. This may aid in the development of economic and safe methane gas production methods to help realize the energy resource potential of HBS reservoirs. Full article
(This article belongs to the Special Issue Gas Hydrate Energy Technologies for Net-Zero Carbon Emissions)
Show Figures

Figure 1

17 pages, 9361 KB  
Article
Characterizing Gas Hydrate–Bearing Marine Sediments Using Elastic Properties—Part 1: Rock Physical Modeling and Inversion from Well Logs
by Zhiqi Guo, Xiaoyu Lv, Cai Liu, Haifeng Chen and Zhiguang Cai
J. Mar. Sci. Eng. 2022, 10(10), 1379; https://doi.org/10.3390/jmse10101379 - 27 Sep 2022
Cited by 11 | Viewed by 2628
Abstract
Gas hydrates are considered a potential energy source for the future. Rock physics modeling provides insights into the elastic response of sediments containing gas hydrates, which is essential for identifying gas hydrates using well-log data and seismic attributes. This paper establishes a rock [...] Read more.
Gas hydrates are considered a potential energy source for the future. Rock physics modeling provides insights into the elastic response of sediments containing gas hydrates, which is essential for identifying gas hydrates using well-log data and seismic attributes. This paper establishes a rock physics model (RPM) by employing effective medium theories to quantify the elastic properties of sediments containing gas hydrates. Specifically, the proposed RPM introduces critical gas hydrate saturation for various modeling schemes. Such a key factor considers the impact of gas hydrates on sediment stiffnesses during the dynamic process of the gas hydrate accumulating as pore fillings and part of the solid components. Theoretical modeling illustrates that elastic characteristics of the sediments exhibit distinct variation trends determined by critical gas hydrate saturation. Numerical tests of the model based on the well-log data confirm that the proposed technique can be employed to rationally predict gas hydrate saturation using the elastic properties. The compressional wave velocity model is also developed to estimate the gas hydrate saturation, which gives reliable fit results to core measurement data. The proposed methods could improve our understanding of the elastic behaviors of gas hydrates, providing a practical approach to estimating their concentrations. Full article
(This article belongs to the Special Issue Properties of Gas Hydrate-Bearing Sediments)
Show Figures

Figure 1

16 pages, 45333 KB  
Article
The Effect of Fines Content on Compressional Behavior When Using Sand–Kaolinite Mixtures as Embankment Materials
by Panyabot Kaothon, Su-Hyung Lee, Yeong-Tae Choi and Chan-Young Yune
Appl. Sci. 2022, 12(12), 6050; https://doi.org/10.3390/app12126050 - 14 Jun 2022
Cited by 7 | Viewed by 4741
Abstract
In South Korea, Honam High-Speed Railway has a relatively large residual settlement issue and high fines content has been pointed out as one of the causes. Design guidelines regulate not to use soils containing fines content higher than 25%. However, there is no [...] Read more.
In South Korea, Honam High-Speed Railway has a relatively large residual settlement issue and high fines content has been pointed out as one of the causes. Design guidelines regulate not to use soils containing fines content higher than 25%. However, there is no background information on the effect of fines content on settlement. Therefore, this paper aims to investigate compressional behavior according to fines content using sand and kaolinite. Oedometer test results showed that the compression index is lowest with fines content of 15% to 20% at which the mixture produced maximum density. The optimum fines content for inducing low settlement would be 15% to 20% for the sand–kaolinite mixture. Transition fines content (TFC), which shows sand-like to claylike behavior, was observed to have between 21% and 26% of fines content. Critical fines content (fcrit) where a minimum void ratio occurs was estimated as 21.67%. These behavioral changes appear when fines content is greater than the optimum fines content. SEM also shows that the kaolinite particles were overlapped, creating flat surfaces with a fines content higher than 30%, and showing clay-like behavior. Based on the analysis results, engineers can simply identify the behavior of embankment materials to ensure optimum fines content and consequently minimize long-term settlement potential. Full article
(This article belongs to the Topic Advances in Construction and Project Management)
Show Figures

Figure 1

12 pages, 2729 KB  
Article
High Pressure Behavior of Mascagnite from Single Crystal Synchrotron X-ray Diffraction Data
by Paola Comodi, Maximiliano Fastelli, Giacomo Criniti, Konstantin Glazyrin and Azzurra Zucchini
Crystals 2021, 11(8), 976; https://doi.org/10.3390/cryst11080976 - 17 Aug 2021
Cited by 1 | Viewed by 2390
Abstract
High-pressure synchrotron X-ray diffraction was carried out on a single crystal of mascagnite, compressed in a diamond anvil cell. The sample maintained its crystal structure up to ~18 GPa. The volume–pressure data were fitted by a third-order Birch–Murnaghan equation of state (BM3-EOS) yielding [...] Read more.
High-pressure synchrotron X-ray diffraction was carried out on a single crystal of mascagnite, compressed in a diamond anvil cell. The sample maintained its crystal structure up to ~18 GPa. The volume–pressure data were fitted by a third-order Birch–Murnaghan equation of state (BM3-EOS) yielding K0 = 20.4(7) GPa, K’0 = 6.1(2), and V0 = 499(1) Å3, as suggested by the F-f plot. The axial compressibilities, calculated with BM3-EOS, were K0a = 35(3), K’0a = 7.7(7), K0b = 10(3), K’0b = 7(1), K0c = 25(1), and K’0c = 4.3(2) The axial moduli measured using a BM2-EOS and fixing K’0 equal to 4, were K0a = 52(2), K0b = 20 (1), and K0c = 29.6(4) GPa, and the anisotropic ratio of K0a:K0b:K0c = 1:0.4:0.5. The evolution of crystal lattice and geometrical parameters indicated no phase transition until 17.6 GPa. Sulphate polyhedra were incompressible and the density increase of 30% compared to investigated pressure should be attributed to the reduction of weaker hydrogen bonds. In contrast, some of them, directed along [100], were very short at room temperature, below 2 Å, and showed a very low compressibility. This configuration explains the anisotropic compressional behavior and the lowest compressibility of the a axis. Full article
Show Figures

Figure 1

15 pages, 3120 KB  
Article
Effects of Loading and Boundary Conditions on the Performance of Ultrasound Compressional Viscoelastography: A Computational Simulation Study to Guide Experimental Design
by Che-Yu Lin and Ke-Vin Chang
Materials 2021, 14(10), 2590; https://doi.org/10.3390/ma14102590 - 16 May 2021
Cited by 5 | Viewed by 2736
Abstract
Most biomaterials and tissues are viscoelastic; thus, evaluating viscoelastic properties is important for numerous biomedical applications. Compressional viscoelastography is an ultrasound imaging technique used for measuring the viscoelastic properties of biomaterials and tissues. It analyzes the creep behavior of a material under an [...] Read more.
Most biomaterials and tissues are viscoelastic; thus, evaluating viscoelastic properties is important for numerous biomedical applications. Compressional viscoelastography is an ultrasound imaging technique used for measuring the viscoelastic properties of biomaterials and tissues. It analyzes the creep behavior of a material under an external mechanical compression. The aim of this study is to use finite element analysis to investigate how loading conditions (the distribution of the applied compressional pressure on the surface of the sample) and boundary conditions (the fixation method used to stabilize the sample) can affect the measurement accuracy of compressional viscoelastography. The results show that loading and boundary conditions in computational simulations of compressional viscoelastography can severely affect the measurement accuracy of the viscoelastic properties of materials. The measurement can only be accurate if the compressional pressure is exerted on the entire top surface of the sample, as well as if the bottom of the sample is fixed only along the vertical direction. These findings imply that, in an experimental validation study, the phantom design should take into account that the surface area of the pressure plate must be equal to or larger than that of the top surface of the sample, and the sample should be placed directly on the testing platform without any fixation (such as a sample container). The findings indicate that when applying compressional viscoelastography to real tissues in vivo, consideration should be given to the representative loading and boundary conditions. The findings of the present simulation study will provide a reference for experimental phantom designs regarding loading and boundary conditions, as well as guidance towards validating the experimental results of compressional viscoelastography. Full article
(This article belongs to the Special Issue Ultrasound for Material Characterization and Processing)
Show Figures

Figure 1

Back to TopTop