Sign in to use this feature.

Years

Between: -

Subjects

remove_circle_outline
remove_circle_outline
remove_circle_outline
remove_circle_outline
remove_circle_outline
remove_circle_outline
remove_circle_outline
remove_circle_outline
remove_circle_outline

Journals

Article Types

Countries / Regions

Search Results (14)

Search Parameters:
Keywords = composite autonomic scoring scale

Order results
Result details
Results per page
Select all
Export citation of selected articles as:
15 pages, 497 KB  
Article
Autonomic Dysfunction in Myalgic Encephalomyelitis/Chronic Fatigue Syndrome (ME/CFS): Findings from the Multi-Site Clinical Assessment of ME/CFS (MCAM) Study in the USA
by Anindita Issa, Jin-Mann S. Lin, Yang Chen, Jacob Attell, Dana Brimmer, Jeanne Bertolli, Benjamin H. Natelson, Charles W. Lapp, Richard N. Podell, Andreas M. Kogelnik, Nancy G. Klimas, Daniel L. Peterson, Lucinda Bateman and Elizabeth R. Unger
J. Clin. Med. 2025, 14(17), 6269; https://doi.org/10.3390/jcm14176269 - 5 Sep 2025
Viewed by 4946
Abstract
Background/Objectives: Symptoms of autonomic dysfunction are common in infection-associated chronic conditions and illnesses (IACCIs), including myalgic encephalomyelitis/chronic fatigue syndrome (ME/CFS). This study aimed to evaluate autonomic symptoms and their impact on ME/CFS illness severity. Methods: Data came from a multi-site study [...] Read more.
Background/Objectives: Symptoms of autonomic dysfunction are common in infection-associated chronic conditions and illnesses (IACCIs), including myalgic encephalomyelitis/chronic fatigue syndrome (ME/CFS). This study aimed to evaluate autonomic symptoms and their impact on ME/CFS illness severity. Methods: Data came from a multi-site study conducted in seven ME/CFS specialty clinics during 2012–2020. Autonomic dysfunction was assessed using the Composite Autonomic Symptom Scale 31 (COMPASS-31), medical history, and a lean test originally described by the National Aeronautics and Space Administration (NASA). Illness severity was assessed using Patient-Reported Outcomes Measurement Information System measures, the 36-item short-form, as well as the CDC Symptom Inventory. This analysis included 442 participants who completed the baseline COMPASS-31 assessment, comprising 301 individuals with ME/CFS and 141 healthy controls (HC). Results: ME/CFS participants reported higher autonomic symptom burden than HC across three assessment tools (all p < 0.0001), including the COMPASS-31 total score (34.1 vs. 6.8) and medical history indicators [dizziness or vertigo (42.6% vs. 2.8%), cold extremities (38.6% vs. 5.7%), and orthostatic intolerance (OI, 33.9% vs. 0.7%)]. Among ME/CFS participants, 97% had at least one autonomic symptom. Those with symptoms in the OI, gastrointestinal, and pupillomotor domains had significantly higher illness severity than those without these symptoms. Conclusions: ME/CFS patients exhibit a substantial autonomic symptom burden that correlates with greater illness severity. Individualized care strategies targeting dysautonomia assessment and intervention may offer meaningful improvements in symptom management and quality of life for those with ME/CFS and similar chronic conditions. Full article
(This article belongs to the Special Issue POTS, ME/CFS and Long COVID: Recent Advances and Future Direction)
Show Figures

Figure 1

14 pages, 1246 KB  
Article
Multi-Agent-Based Service Composition Using Integrated Particle-Ant Algorithm in the Cloud
by Seongsoo Cho, Yeonwoo Lee and Hanyong Choi
Appl. Sci. 2025, 15(17), 9603; https://doi.org/10.3390/app15179603 - 31 Aug 2025
Viewed by 497
Abstract
The increasing complexity and scale of service-oriented architectures in cloud computing have heightened the demand for intelligent, decentralized, and adaptive service composition techniques. This study proposes an advanced framework that integrates a Multi-Agent System (MAS) with a novel hybrid metaheuristic optimization method, the [...] Read more.
The increasing complexity and scale of service-oriented architectures in cloud computing have heightened the demand for intelligent, decentralized, and adaptive service composition techniques. This study proposes an advanced framework that integrates a Multi-Agent System (MAS) with a novel hybrid metaheuristic optimization method, the Integrated Particle-Ant Algorithm (IPAA), to achieve efficient, scalable, and Quality of Service (QoS)-aware service composition. The IPAA dynamically combines the global search capabilities of Particle Swarm Optimization (PSO) with the local exploitation strength of Ant Colony Optimization (ACO), thereby enhancing convergence speed and solution quality. The proposed system is structured into three logical layers—agent, optimization, and infrastructure—facilitating autonomous decision-making, distributed coordination, and runtime adaptability. Extensive simulations using a synthetic cloud service dataset demonstrate that the proposed approach significantly outperforms traditional optimization methods, including standalone PSO, ACO, and random composition strategies, across key metrics such as utility score, execution time, and scalability. Moreover, the framework enables real-time monitoring and automatic re-optimization in response to QoS degradation or Service-Level Agreement (SLA) violations. Through decentralized negotiation and minimal communication overhead, agents exhibit high resilience and flexibility under dynamic service availability. These results collectively suggest that the proposed IPAA-based framework provides a robust, intelligent, and scalable solution for service composition in complex cloud computing environments. Full article
(This article belongs to the Section Green Sustainable Science and Technology)
Show Figures

Figure 1

12 pages, 394 KB  
Article
Ultrasonography of the Vagus Nerve in Parkinson’s Disease: Links to Clinical Profile and Autonomic Dysfunction
by Ovidijus Laucius, Justinas Drūteika, Tadas Vanagas, Renata Balnytė, Andrius Radžiūnas and Antanas Vaitkus
Biomedicines 2025, 13(9), 2070; https://doi.org/10.3390/biomedicines13092070 - 25 Aug 2025
Viewed by 483
Abstract
Background: Parkinson’s disease (PD) is a progressive neurodegenerative disorder characterized by both motor and non-motor symptoms, including autonomic dysfunction. Structural alterations in the vagus nerve (VN) may contribute to PD pathophysiology, though existing data remain inconsistent. Objective: This study aimed to evaluate morphological [...] Read more.
Background: Parkinson’s disease (PD) is a progressive neurodegenerative disorder characterized by both motor and non-motor symptoms, including autonomic dysfunction. Structural alterations in the vagus nerve (VN) may contribute to PD pathophysiology, though existing data remain inconsistent. Objective: This study aimed to evaluate morphological changes in the VN using high-resolution ultrasound (USVN) and to investigate associations with autonomic symptoms, heart rate variability (HRV), and clinical characteristics in PD patients. Methods: A cross-sectional study was conducted involving 60 PD patients and 60 age- and sex-matched healthy controls. USVN was performed to assess VN cross-sectional area (CSA), echogenicity, and homogeneity bilaterally. Autonomic symptoms were measured using the Composite Autonomic Symptom Scale 31 (COMPASS-31). HRV parameters—SDNN, RMSSD, and pNN50—were obtained via 24 h Holter monitoring. Additional clinical data included Unified Parkinson’s Disease Rating Scale (UPDRS) scores, transcranial sonography findings, and third ventricle width. Results: PD patients showed significantly reduced VN CSA compared to controls (right: 1.90 ± 0.19 mm2 vs. 2.07 ± 0.18 mm2; left: 1.74 ± 0.21 mm2 vs. 1.87 ± 0.22 mm2; p < 0.001 and p < 0.02). Altered echogenicity and decreased homogeneity were also observed. Right VN CSA correlated with body weight, third ventricle size, and COMPASS-31 scores. Left VN CSA was associated with body size parameters and negatively correlated with RMSSD (p = 0.025, r = −0.21), indicating reduced vagal tone. Conclusions: USVN detects structural VN changes in PD, correlating with autonomic dysfunction. These findings support its potential as a non-invasive biomarker for early autonomic involvement in PD. Full article
(This article belongs to the Section Neurobiology and Clinical Neuroscience)
Show Figures

Figure 1

19 pages, 2267 KB  
Article
Closed-Loop Aerial Tracking with Dynamic Detection-Tracking Coordination
by Yang Wang, Heqing Huang, Jiahao He, Dongting Han and Zhiwei Zhao
Drones 2025, 9(7), 467; https://doi.org/10.3390/drones9070467 - 30 Jun 2025
Viewed by 536
Abstract
Aerial tracking is an important service for many Unmanned Aerial Vehicle (UAV) applications. Existing work has failed to provide robust solutions when handling target disappearance, viewpoint changes, and tracking drifts in practical scenarios with limited UAV resources. In this paper, we propose a [...] Read more.
Aerial tracking is an important service for many Unmanned Aerial Vehicle (UAV) applications. Existing work has failed to provide robust solutions when handling target disappearance, viewpoint changes, and tracking drifts in practical scenarios with limited UAV resources. In this paper, we propose a closed-loop framework integrating three key components: (1) a lightweight adaptive detection with multi-scale feature extraction, (2) spatiotemporal motion modeling through Kalman-filter-based trajectory prediction, and (3) autonomous decision-making through composite scoring of detection confidence, appearance similarity, and motion consistency. By implementing dynamic detection-tracking coordination with quality-aware feature preservation, our system enables real-time operation through performance-adaptive frequency modulation. Evaluated on VOT-ST2019 and OTB100 benchmarks, the proposed method yields marked improvements over baseline trackers, achieving a 27.94% increase in Expected Average Overlap (EAO) and a 10.39% reduction in failure rates, while sustaining a frame rate of 23–95 FPS on edge hardware. The framework achieves rapid target reacquisition during prolonged occlusion scenarios through optimized protocols, outperforming conventional methods in sustained aerial surveillance tasks. Full article
(This article belongs to the Section Drone Design and Development)
Show Figures

Figure 1

18 pages, 1460 KB  
Article
Persistent Post-COVID-19 Olfactory Dysfunction and Its Association with Autonomic Nervous System Function: A Case–Control Study
by Lojine Ayoub, Abeer F. Almarzouki, Rajaa Al-Raddadi and Mohamed A. Bendary
Diseases 2025, 13(1), 4; https://doi.org/10.3390/diseases13010004 - 28 Dec 2024
Viewed by 3469
Abstract
Background: Following the Coronavirus Disease 2019 (COVID-19) pandemic, many patients have reported ongoing smell and taste issues. This study aims to investigate the prevalence of olfactory and gustatory dysfunction among patients with a history of COVID-19 and its association with autonomic dysfunction and [...] Read more.
Background: Following the Coronavirus Disease 2019 (COVID-19) pandemic, many patients have reported ongoing smell and taste issues. This study aims to investigate the prevalence of olfactory and gustatory dysfunction among patients with a history of COVID-19 and its association with autonomic dysfunction and disability. Patient and Methods: This case–control study included a COVID-19 group (n = 82) and a control group (n = 82). Olfactory dysfunction, including parosmia and taste problems, was explored using self-reports and the Quick Smell Identification Test (QSIT). The association between post-COVID-19 disability severity and taste and smell alterations was also analyzed. Moreover, autonomic function was evaluated using the Composite Autonomic Symptom Scale-31 (COMPASS-31) to assess the association between autonomic and olfactory dysfunction. Results: Significantly higher rates of ongoing smell (26.8%) and taste (14.6%) dysfunction were reported for the post-COVID-19 group compared to the control group. Post-COVID-19 patients reported 36.6 times more smell issues and 8.22 times more taste issues than controls. Parosmia scores were significantly worse in the post-COVID-19 group, while QSIT scores showed no significant difference between the groups. However, those with worse QSIT scores exhibited significantly more ongoing smell issues. No significant association was observed between disability and altered smell or taste. Higher secretomotor dysfunction scores were significantly associated with abnormal QSIT scores and worse parosmia scores; the other domains of the COMPASS-31 scale showed no significant associations. Conclusions: The findings indicated a potential link between autonomic and olfactory dysfunction. Further studies are needed to elucidate the mechanisms underlying persistent olfactory and autonomic dysfunction in post-COVID-19 patients. Full article
(This article belongs to the Special Issue COVID-19 and Global Chronic Disease 2024: The Post-pandemic Era)
Show Figures

Figure 1

12 pages, 274 KB  
Article
Baroreflex Sensitivity as a Surrogate Biomarker for Concurrently Assessing the Severity of Arterial Stiffness and Cardiovascular Autonomic Neuropathy in Individuals with Type 2 Diabetes
by Dong-Yi Hsieh, Yun-Ru Lai, Chih-Cheng Huang, Yung-Nien Chen, Szu-Ying Wu, Wen-Chan Chiu, Ben-Chung Cheng, Ting-Yin Lin, Hui-Ching Chiang and Cheng-Hsien Lu
J. Pers. Med. 2024, 14(5), 491; https://doi.org/10.3390/jpm14050491 - 3 May 2024
Cited by 3 | Viewed by 2157
Abstract
This study aimed to investigate whether baroreflex sensitivity (BRS) could serve as a reliable metric for assessing cardiovascular autonomic neuropathy (CAN) and concurrently act as a surrogate biomarker for evaluating the severity of arterial stiffness and CAN in individuals diagnosed with type 2 [...] Read more.
This study aimed to investigate whether baroreflex sensitivity (BRS) could serve as a reliable metric for assessing cardiovascular autonomic neuropathy (CAN) and concurrently act as a surrogate biomarker for evaluating the severity of arterial stiffness and CAN in individuals diagnosed with type 2 diabetes mellitus (T2DM). Participants underwent brachial–ankle pulse wave velocity (baPWV) as well as autonomic function evaluations encompassing the Sudoscan-based modified composite autonomic scoring scale (CASS), baroreflex sensitivity, and heart rate variability in time domains and frequency domains. Linear regression analysis was performed to evaluate the influence of independent variables on baPWV and modified CASS. Participants with higher baPWV values were older, with longer diabetes duration, lower body weight, body mass index, waist circumference, elevated systolic and diastolic blood pressure, and mean arterial blood pressure. They also exhibited a higher prevalence of retinopathy as the underlying disease and reduced estimated glomerular filtration rate. Multiple linear regression analysis revealed that age and BRS were significantly associated with baPWV while diabetes duration, UACR, and BRS were significantly associated with modified CASS. Our study confirms the significant association of BRS with baPWV and modified CASS in T2DM, highlighting its pivotal role in linking microvascular and macrovascular complications. This supports BRS as a surrogate marker for assessing both the severity of arterial stiffness and cardiovascular autonomic neuropathy in T2DM, enabling the early identification of complications. Full article
(This article belongs to the Section Disease Biomarkers)
10 pages, 879 KB  
Article
The Effects of Autonomic Dysfunction on Functional Outcomes in Patients with Acute Stroke
by Kyoung Hyeon Cha, Nae Yoon Kang, Sungchul Huh, Sung-Hwa Ko, Yong-Il Shin and Ji Hong Min
Brain Sci. 2023, 13(12), 1694; https://doi.org/10.3390/brainsci13121694 - 8 Dec 2023
Cited by 8 | Viewed by 2533
Abstract
Autonomic dysfunction is a common complication of acute stroke, which impairs functional outcomes and increases mortality. There is a lack of well-established knowledge regarding the influence of autonomic dysfunction in patients with acute stroke. This study aims to investigate the impact of the [...] Read more.
Autonomic dysfunction is a common complication of acute stroke, which impairs functional outcomes and increases mortality. There is a lack of well-established knowledge regarding the influence of autonomic dysfunction in patients with acute stroke. This study aims to investigate the impact of the severity of autonomic dysfunction on functional outcomes in patients with acute stroke. A retrospective analysis was conducted at a single center, involving 22 patients diagnosed with acute stroke. The severity of autonomic dysfunction was evaluated based on the Composite Autonomic Scoring Scale (CASS). The modified Barthel Index, Berg Balance Scale, Functional Ambulatory Category, and modified Rankin Scale were designated as functional outcome measures. The impact of the severity of autonomic dysfunction on functional outcomes was analyzed using one-way analysis of covariance (ANCOVA). A statistically significant difference was observed between the initial and follow-up functional outcomes based on the severity of autonomic dysfunction. This study presents evidence that the severity of autonomic dysfunction influences functional prognosis in patients with acute stroke. The findings will serve as additional considerations for the rehabilitation of patients with acute stroke. Full article
(This article belongs to the Section Neurorehabilitation)
Show Figures

Figure 1

10 pages, 706 KB  
Article
Impacts of Chemerin Levels and Antioxidant Capacity on the Severity of Cardiovascular Autonomic Neuropathy in Patients with Type 2 Diabetes and Prediabetes
by Yun-Ru Lai, Chih-Cheng Huang, Ben-Chung Cheng, Wen-Chan Chiu, Ting-Yin Lin, Hui-Ching Chiang, Chun-En Kuo and Cheng-Hsien Lu
Biomedicines 2023, 11(11), 3024; https://doi.org/10.3390/biomedicines11113024 - 10 Nov 2023
Cited by 1 | Viewed by 1241
Abstract
Existing evidence supports an association between chemerin levels and cardiovascular risk, while reduced thiol levels are linked to diabetes mellitus. It is hypothesized that chemerin may contribute to autonomic dysfunction and cardiovascular risk in type 2 diabetes mellitus (T2DM), potentially mediated by the [...] Read more.
Existing evidence supports an association between chemerin levels and cardiovascular risk, while reduced thiol levels are linked to diabetes mellitus. It is hypothesized that chemerin may contribute to autonomic dysfunction and cardiovascular risk in type 2 diabetes mellitus (T2DM), potentially mediated by the antioxidant capacity of patients with well-controlled T2DM and prediabetes. Comprehensive cardiovascular autonomic testing and biomarker assessments were conducted for all participants. The severity of cardiovascular autonomic neuropathy (CAN) was evaluated using the composite autonomic scoring scale (CASS). A mediation model was employed to explore the potential relationships among chemerin levels, antioxidant capacity (indicated by thiol levels), and CAN severity (indicated by CASS values). A total of 184 participants were enrolled in this study, comprising 143 individuals with T2DM and 40 individuals with prediabetes. The findings reveal a significant negative association between thiols levels (r = −0.38, p < 0.0001) and the CASS values, while a positive association is observed between chemerin levels (r = 0.47, p < 0.0001) and the CASS values. Linear regression analysis identified chemerin and thiols as independent variables significantly associated with CASS values. Subsequent mediation analysis elucidated that thiols levels act as mediators in the relationship between elevated chemerin levels and an increased CASS value. This study shows that poor cardiovascular function, higher chemerin levels, and reduced antioxidant capacity coexist in individuals with T2DM and prediabetes. Mediation analysis suggests a pathophysiological link between high chemerin levels and low antioxidant capacity, adversely impacting CAN severity. Full article
(This article belongs to the Section Endocrinology and Metabolism Research)
Show Figures

Figure 1

10 pages, 507 KB  
Article
Structural Relationship between Psychological Needs and Sport Adherence for Students Participating in Physical Education Class
by Juan M. García-Ceberino, Sebastián Feu, María G. Gamero and Sergio J. Ibáñez
Sustainability 2023, 15(12), 9686; https://doi.org/10.3390/su15129686 - 16 Jun 2023
Cited by 3 | Viewed by 2244
Abstract
The satisfaction of basic psychological needs leads students to engage in a sport modality on their own initiative. In the Spanish public educational system, mixed and heterogeneous, the gender and sport experience of students influence the teaching and motivation of invasion sports. This [...] Read more.
The satisfaction of basic psychological needs leads students to engage in a sport modality on their own initiative. In the Spanish public educational system, mixed and heterogeneous, the gender and sport experience of students influence the teaching and motivation of invasion sports. This study investigated whether students’ gender and sport experience, and model influence the psychological variables (basic psychological needs and sport adherence) when teaching school soccer and basketball. Furthermore, correlations were calculated between these psychological variables. The study involved 165 fifth and sixth grade students (Mage, 11.27 ± 0.68 years old) from several Spanish state schools in the same autonomous community. A non-random convenience sample was used. The needs for autonomy, perceived competence and social relationships were measured using the Basic Psychological Needs in Physical Exercise Scale. Sport adherence was measured using the Measure of Intentionality to be Physically Active. A Confirmatory Factor Analysis, Cronbach’s Alpha, Average Variance Extracted and Composite Reliability were used to analyze the psychometric properties of the scales. Descriptive and inferential analyses were obtained after performing a Mixed Linear Model and a Bonferroni Post Hoc. There were significant differences in the autonomy need according to the students’ gender (boys > girls). In addition, boys who learned with the TGA model scored significantly higher than girls on this need. Attending to sport adherence, there were significant differences in favor of experienced students. Likewise, a regression analysis (structural equation model) revealed that the autonomy need showed low association with sport adherence. Higher perceived competence (β = 0.52) and social relationships (β = 0.36) were associated with greater adherence to sport (R2 = 0.65). Teachers’ Knowledge and proper managing basic psychological needs will have educational, social and health benefits, as it will increase the likelihood of physical activity in and out of school. Full article
(This article belongs to the Special Issue Sports Psychology and Performance)
Show Figures

Figure 1

11 pages, 600 KB  
Article
Assessing the Feasibility of Using Electrochemical Skin Conductance as a Substitute for the Quantitative Sudomotor Axon Reflex Test in the Composite Autonomic Scoring Scale and Its Correlation with Composite Autonomic Symptom Scale 31 in Parkinson’s Disease
by Yu-Chuan Huang, Chih-Cheng Huang, Yun-Ru Lai, Chia-Yi Lien, Ben-Chung Cheng, Chia-Te Kung, Yi-Fang Chiang and Cheng-Hsien Lu
J. Clin. Med. 2023, 12(4), 1517; https://doi.org/10.3390/jcm12041517 - 14 Feb 2023
Cited by 4 | Viewed by 2206
Abstract
The Composite Autonomic Scoring Scale (CASS) is a quantitative scoring system that integrates the sudomotor, the cardiovagal, and the adrenergic subscores, and the Composite Autonomic Symptom Scale 31 (COMPASS 31) is based on a well-established comprehensive questionnaire designed to assess the autonomic symptoms [...] Read more.
The Composite Autonomic Scoring Scale (CASS) is a quantitative scoring system that integrates the sudomotor, the cardiovagal, and the adrenergic subscores, and the Composite Autonomic Symptom Scale 31 (COMPASS 31) is based on a well-established comprehensive questionnaire designed to assess the autonomic symptoms across multiple domains. We tested the hypothesis that electrochemical skin conductance (Sudoscan) can be a substitute for the quantitative sudomotor axon reflex test (QSART) in the sudomotor domain and assessed its correlation with COMPASS 31 in patients with Parkinson’s disease (PD). Fifty-five patients with PD underwent clinical assessment and cardiovascular autonomic function tests and completed the COMPASS 31 questionnaire. We compared the modified CASS (integrating the Sudoscan-based sudomotor, adrenergic, and cardiovagal subscores) and CASS subscores (the sum of the adrenergic and cardiovagal subscores). The total weighted score of COMPASS 31 was significantly correlated with both the modified CASS and the CASS subscore (p = 0.007 and p = 0.019). The correlation of the total weighted score of COMPASS 31 increased from 0.316 (CASS subscores) to 0.361 (modified CASS). When we added the Sudoscan-based sudomotor subscore, the case numbers for autonomic neuropathy (AN) increased from 22 (40%, CASS subscores) to 40 (72.7%, modified CASS). The modified CASS not only better reflects the exact autonomic function, but also improves the characterization and quantification of AN in patients with PD. In areas in which a QSART facility is not easily available, Sudoscan could be a time-saving substitution. Full article
(This article belongs to the Special Issue Clinical Management of Parkinson's Symptoms)
Show Figures

Figure 1

10 pages, 474 KB  
Article
Patisiran Enhances Muscle Mass after Nine Months of Treatment in ATTRv Amyloidosis: A Study with Bioelectrical Impedance Analysis and Handgrip Strength
by Vincenzo Di Stefano, Ewan Thomas, Paolo Alonge, Valerio Giustino, Guglielmo Pillitteri, Ignazio Leale, Angelo Torrente, Antonia Pignolo, Davide Norata, Salvatore Iacono, Antonino Lupica, Antonio Palma, Giuseppe Battaglia and Filippo Brighina
Biomedicines 2023, 11(1), 62; https://doi.org/10.3390/biomedicines11010062 - 27 Dec 2022
Cited by 10 | Viewed by 2837
Abstract
Background and aims. Hereditary transthyretin amyloidosis with polyneuropathy (ATTRv) is caused by mutations in the TTR gene, leading to misfolded monomers that aggregate generating amyloid fibrils. The clinical phenotype is heterogeneous, characterized by a multisystemic disease affecting the sensorimotor, autonomic functions along with [...] Read more.
Background and aims. Hereditary transthyretin amyloidosis with polyneuropathy (ATTRv) is caused by mutations in the TTR gene, leading to misfolded monomers that aggregate generating amyloid fibrils. The clinical phenotype is heterogeneous, characterized by a multisystemic disease affecting the sensorimotor, autonomic functions along with other organs. Patisiran is a small interfering RNA acting as a TTR silencer approved for the treatment of ATTRv. Punctual and detailed instrumental biomarkers are on demand for ATTRv to measure the severity of the disease and monitor progression and response to treatment. Methods. Fifteen patients affected by ATTRv amyloidosis (66.4 ± 7.8 years, six males) were evaluated before the start of therapy with patisiran and after 9-months of follow-up. The clinical and instrumental evaluation included body weight and height; Coutinho stage; Neuropathy Impairment Score (NIS); Karnofsky performance status (KPS); Norfolk QOL Questionnaire; Six-minute walking test (6 MWT); nerve conduction studies; handgrip strength (HGS); and bioimpedance analysis (BIA). Results. Body composition significantly changed following the 9-months pharmacological treatment. In particular, the patients exhibited an increase in fat free mass, body cell mass, and body weight with a decrease in fat mass. A significant increase after 9 months of treatment was observed for the 6 MWT. Coutinho stage, KPS, NIS, NIS-W, nerve conduction studies, Norfolk, COMPASS-31 scale, and HGS remained unchanged. Conclusions. BIA might represent a useful tool to assess the effects of multiorgan damage in ATTRv and to monitor disease progression and response to treatments. More evidence is still needed for HGS. Patisiran stabilizes polyneuropathy and preserves motor strength by increasing muscle mass after 9 months of treatment. Full article
Show Figures

Figure 1

14 pages, 6854 KB  
Article
Psychometric Assessment of the Need Satisfaction and Frustration Scale with Professional Romanian Athletes
by Dan Iulian Alexe, Beatrice Aurelia Abalasei, Gabriel Mares, Bogdan Constantin Rata, Teodora Mihaela Iconomescu, Georgeta Mitrache and Rafael Burgueño
Int. J. Environ. Res. Public Health 2022, 19(3), 1696; https://doi.org/10.3390/ijerph19031696 - 1 Feb 2022
Cited by 13 | Viewed by 3093
Abstract
Background: Although athletes’ experiences of autonomy, competence, and relatedness play in key role in their motivation, performance-related outcomes, and wellness, there is no evidence to date on measures of autonomy, competence, and relatedness in the Romanian sport context. Building upon self-determination theory, the [...] Read more.
Background: Although athletes’ experiences of autonomy, competence, and relatedness play in key role in their motivation, performance-related outcomes, and wellness, there is no evidence to date on measures of autonomy, competence, and relatedness in the Romanian sport context. Building upon self-determination theory, the objective of this research was to adapt the Need Satisfaction and Frustration Scale and analyze its psychometric properties in the Romanian sport context. Methods: The participants were 642 professional athletes (354 males and 288 females; Mage = 22.81, SD = 5.78) who competed at the international and/or national level. Results: The results from confirmatory factor analyses psychometrically supported a six-factor correlated model, which was invariant across gender, age, and sport. Convergent validity was met by average variance extracted values between 0.60 and 0.74. Discriminant validity was underpinned by values from −0.72 to 0.72 for a heterotrait–monotrait ratio of correlations among the six factors. Reliability was endorsed by Cronbach’s alpha scores between 0.75 and 0.89, and between 0.76 and 0.89 for Raykov’s composite reliability coefficient. Criterion validity was supported by positive relationships of autonomy, competence, and relatedness satisfaction to autonomous motivation, and positive associations of autonomy, competence, and relatedness frustration with controlled motivation and amotivation. Conclusions: The Need Satisfaction and Frustration Scale is shown to be a valid and reliable measure of need satisfaction and frustration in professional Romanian athletes. Full article
(This article belongs to the Special Issue New Trends in Psychosocial Dimensions of Physical Activity)
Show Figures

Figure 1

14 pages, 1670 KB  
Article
The Role of Electrochemical Skin Conductance as a Screening Test of Cardiovascular Autonomic Neuropathy in Patients with Parkinson’s Disease
by Chih-Cheng Huang, Yun-Ru Lai, Chia-Yi Lien, Ben-Chung Cheng, Nai-Wen Tsai and Cheng-Hsien Lu
Int. J. Environ. Res. Public Health 2020, 17(21), 7751; https://doi.org/10.3390/ijerph17217751 - 23 Oct 2020
Cited by 10 | Viewed by 2521
Abstract
Autonomic disorders have been recognized as an important non-motor feature in Parkinson’s disease (PD). However, there is a paucity of information on the presence and severity of cardiovascular autonomic neuropathy (CAN) among different motor phenotypes. The aims of this study were to examine [...] Read more.
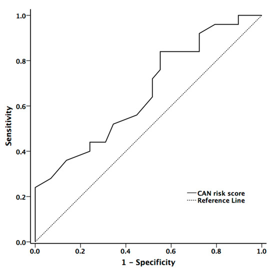
Autonomic disorders have been recognized as an important non-motor feature in Parkinson’s disease (PD). However, there is a paucity of information on the presence and severity of cardiovascular autonomic neuropathy (CAN) among different motor phenotypes. The aims of this study were to examine the feasibility of electrochemical skin conductance (ESC) measured by Sudoscan as a screening service for CAN in patients with PD and investigate the severity of CAN among different motor phenotypes. Design: This was a cross-sectional observational study that enrolled 63 patients with PD. Patients were divided into three phenotypes, postural instability/gait difficulty (PIGD), tremor-dominant (TD), and akinetic-rigid (AR), according to their motor symptoms. Cardiovascular autonomic function was measured, and the presence and severity of CAN was determined according to the composite autonomic scoring scale (CASS). Functional scores were measured by the Hoehn and Yahr (HY) stage and the Unified Parkinson’s Disease Rating Scale (UPDRS). The median HY stage was 2.0 [1.5, 3.0]. Median UPDRS total score was 23.0 (17.5, 30.5), 10.0 (6.0, 11.0) and 14.0 (6.3, 23.8) in groups of PIGD, TD and AR, respectively (p = 0.001). Mean CASS was 1.7 ± 1.3, 0.6 ± 0.4, and 1.8 ± 1.5 in groups of PIGD, TD and AR, respectively (p = 0.204). Although the ESC was not strongly associated with the cardiovascular autonomic parameters, the CAN risk score provided by Sudoscan significantly correlated with parameters of cardiovascular autonomic function, including heart rate response to deep breathing (HR_DB), Valsalva ratio (VR), and baroreflex sensitivity (BRS). By receiver-operating characteristic (ROC) analysis, if a patient’s CAN risk score is higher than 33.5 (%), it is recommended to be aware of the presence of CAN even in PD patients who are asymptomatic. The area under ROC curve was 0.704. Based on our results, CAN risk score may be used for screening of CAN in patients with PD before resorting to the more sophisticated and specific, but ultimately more time-consuming, complete autonomic function testing. Full article
(This article belongs to the Section Health Care Sciences & Services)
Show Figures

Figure 1

13 pages, 1297 KB  
Article
Time Course of Autonomic Symptoms in Postural Orthostatic Tachycardia Syndrome (POTS) Patients: Two-Year Follow-Up Results
by Franca Dipaola, Caterina Barberi, Elena Castelnuovo, Maura Minonzio, Roberto Fornerone, Dana Shiffer, Beatrice Cairo, Antonio Roberto Zamuner, Franca Barbic and Raffaello Furlan
Int. J. Environ. Res. Public Health 2020, 17(16), 5872; https://doi.org/10.3390/ijerph17165872 - 13 Aug 2020
Cited by 19 | Viewed by 5597
Abstract
Postural orthostatic tachycardia syndrome (POTS) is a multifactorial condition capable of chronically reducing the quality of life and the work ability of patients. The study aim was to assess the burden of autonomic symptoms in a cohort of POTS patients over 2 years. [...] Read more.
Postural orthostatic tachycardia syndrome (POTS) is a multifactorial condition capable of chronically reducing the quality of life and the work ability of patients. The study aim was to assess the burden of autonomic symptoms in a cohort of POTS patients over 2 years. Patients’ clinical profiles were assessed by the 31-item Composite Autonomic Symptom Score questionnaire (COMPASS 31) and a visual analog scale (VAS). One-way ANOVA for repeated measures followed by Dunnett’s post-hoc test were used to compare symptoms at baseline and at 1 and 2 years. Out of 42 enrolled patients, 25 had a 1-year follow-up and 12 had a 2-year follow-up. At baseline, the reported burden of autonomic symptoms was high (overall COMPASS 31 = 49.9 ± 14.3 /100). Main complaints were related to orthostatic intolerance according to both COMPASS 31 and VAS. Fourteen patients were rendered inactive because of symptoms. At 1-year follow-up, a statistically significant improvement in pupillomotor function and overall score was detected by the COMPASS 31. These findings were confirmed at 2 years, together with a significant reduction in quality of life impairment, assessed by VAS. However, these improvements did not change patients’ occupational status. Awareness of POTS diagnosis, patient monitoring, and tailored therapies can help to improve patients’ condition. Full article
Show Figures

Figure 1

Back to TopTop