The Role of Electrochemical Skin Conductance as a Screening Test of Cardiovascular Autonomic Neuropathy in Patients with Parkinson’s Disease
Abstract
1. Introduction
2. Patients and Methods
2.1. Study Design
2.2. Inclusion and Exclusion Criteria
2.3. Clinical Assessment
2.4. Assessment of Cardiovascular Autonomic Function
2.5. Assessment of Sudomotor Function
2.6. Statistical Analysis
2.7. Ethics Approval
3. Results
3.1. Characteristics of the Study Patients
3.2. Comparison of Autonomic Function Among Clinical Subgroups
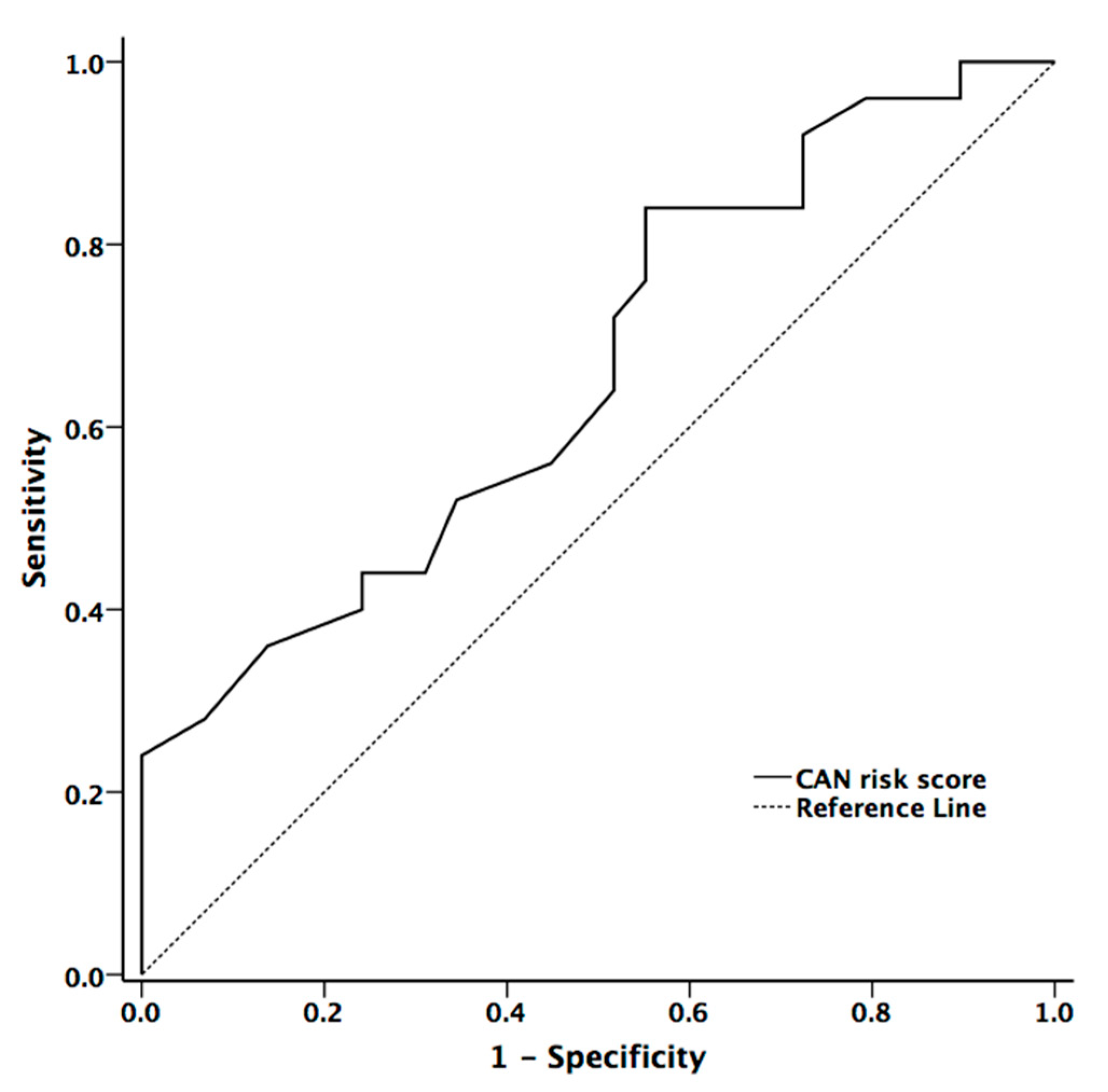
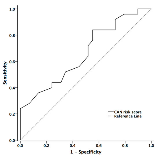
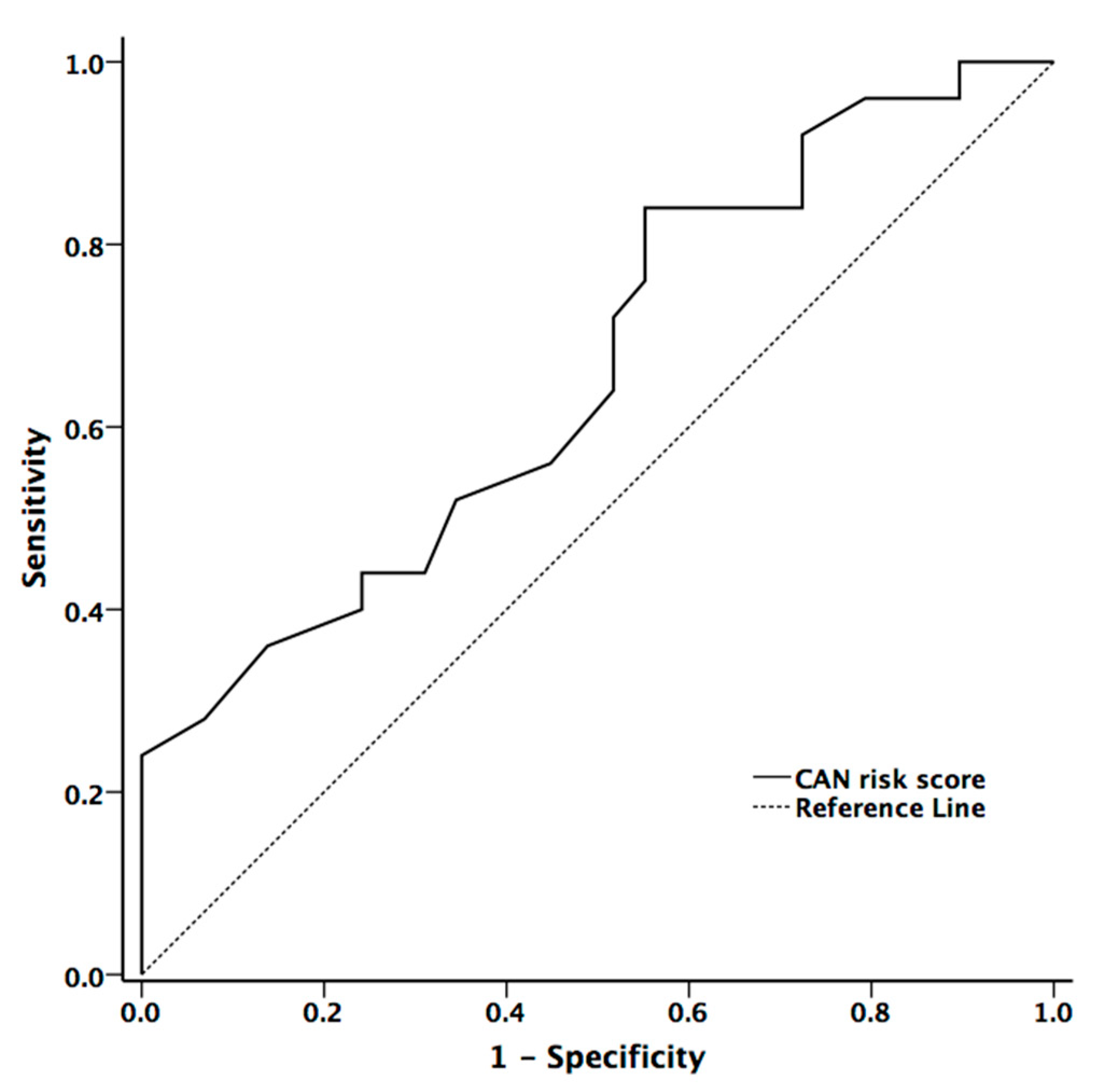
3.3. Comparison of Between Groups of CAN and Non-CAN
3.4. Correlation Analysis Among ESC, PD Stage, UPDRS, and Autonomic Parameters
4. Discussion
Main Findings of Our Study
5. Conclusions
Author Contributions
Funding
Conflicts of Interest
Availability of Data and Materials
Abbreviations and Acronyms
| PD | Parkinson’s disease |
| CAN | cardiovascular autonomic neuropathy |
| ESC | Electrochemical skin conductance |
| PIGD | postural instability/gait difficulty |
| TD | tremor-dominant |
| AR | akinetic-rigid |
| CASS | composite autonomic scoring scale |
| UPDRS | Unified Parkinson’s Disease Rating Scale |
| HR_DB | heart rate response to deep breathing |
| VR | Valsalva ratio |
| BRS | baroreflex sensitivity |
| DM | diabetes mellitus |
| CI | confidence interval |
References
- Chaudhuri, K.R.; Healy, D.G.; Schapira, A.H.; National Institute for Clinical, E. Non-motor symptoms of Parkinson’s disease: Diagnosis and management. Lancet Neurol. 2006, 5, 235–245. [Google Scholar] [CrossRef]
- Postuma, R.B.; Poewe, W.; Litvan, I.; Lewis, S.; Lang, A.E.; Halliday, G.; Goetz, C.G.; Chan, P.; Slow, E.; Seppi, K.; et al. Validation of the MDS clinical diagnostic criteria for Parkinson’s disease. Mov. Disord. 2018, 33, 1601–1608. [Google Scholar] [CrossRef] [PubMed]
- Jankovic, J.; McDermott, M.; Carter, J.; Gauthier, S.; Goetz, C.; Golbe, L.; Huber, S.; Koller, W.; Olanow, C.; Shoulson, I.; et al. Variable expression of Parkinson’s disease: A base-line analysis of the DATATOP cohort. The Parkinson Study Group. Neurology 1990, 40, 1529–1534. [Google Scholar] [CrossRef] [PubMed]
- Zhang, L.; Li, T.N.; Yuan, Y.S.; Jiang, S.M.; Tong, Q.; Wang, M.; Wang, J.W.; Chen, H.J.; Ding, J.; Xu, Q.R.; et al. The Neural Basis of Postural Instability Gait Disorder Subtype of Parkinson’s Disease: A PET and fMRI Study. CNS Neurosci. Ther. 2016, 22, 360–367. [Google Scholar] [CrossRef]
- Ba, F.; Obaid, M.; Wieler, M.; Camicioli, R.; Martin, W.R. Parkinson Disease: The Relationship Between Non-motor Symptoms and Motor Phenotype. Can. J. Neurol. Sci. 2016, 43, 261–267. [Google Scholar] [CrossRef]
- Lewis, S.J.; Foltynie, T.; Blackwell, A.D.; Robbins, T.W.; Owen, A.M.; Barker, R.A. Heterogeneity of Parkinson’s disease in the early clinical stages using a data driven approach. J. Neurol. Neurosurg. Psychiatry 2005, 76, 343–348. [Google Scholar] [CrossRef]
- Marras, C. Subtypes of Parkinson’s disease: State of the field and future directions. Curr. Opin. Neurol. 2015, 28, 382–386. [Google Scholar] [CrossRef]
- Low, P.A. Composite autonomic scoring scale for laboratory quantification of generalized autonomic failure. Mayo Clin. Proc. 1993, 68, 748–752. [Google Scholar] [CrossRef]
- Kim, J.B.; Kim, B.J.; Koh, S.B.; Park, K.W. Autonomic dysfunction according to disease progression in Parkinson’s disease. Parkinsonism Relat. Disord. 2014, 20, 303–307. [Google Scholar] [CrossRef]
- Martinez-Martin, P.; Rodriguez-Blazquez, C.; Kurtis, M.M.; Chaudhuri, K.R.; Group, N.V. The impact of non-motor symptoms on health-related quality of life of patients with Parkinson’s disease. Mov. Disord. 2011, 26, 399–406. [Google Scholar] [CrossRef]
- Braak, H.; De Vos, R.A.; Bohl, J.; Del Tredici, K. Gastric alpha-synuclein immunoreactive inclusions in Meissner’s and Auerbach’s plexuses in cases staged for Parkinson’s disease-related brain pathology. Neurosci. Lett. 2006, 396, 67–72. [Google Scholar] [CrossRef] [PubMed]
- Lipp, A.; Sandroni, P.; Ahlskog, J.E.; Fealey, R.D.; Kimpinski, K.; Iodice, V.; Gehrking, T.L.; Weigand, S.D.; Sletten, D.M.; Gehrking, J.A.; et al. Prospective differentiation of multiple system atrophy from Parkinson disease, with and without autonomic failure. Arch. Neurol. 2009, 66, 742–750. [Google Scholar] [CrossRef]
- Low, P.A. Testing the autonomic nervous system. Semin. Neurol. 2003, 23, 407–421. [Google Scholar] [CrossRef] [PubMed]
- Selvarajah, D.; Cash, T.; Davies, J.; Sankar, A.; Rao, G.; Grieg, M.; Pallai, S.; Gandhi, R.; Wilkinson, I.D.; Tesfaye, S. SUDOSCAN: A Simple, Rapid, and Objective Method with Potential for Screening for Diabetic Peripheral Neuropathy. PLoS ONE 2015, 10, e0138224. [Google Scholar] [CrossRef] [PubMed]
- Yajnik, C.S.; Kantikar, V.; Pande, A.; Deslypere, J.P.; Dupin, J.; Calvet, J.H.; Bauduceau, B. Screening of cardiovascular autonomic neuropathy in patients with diabetes using non-invasive quick and simple assessment of sudomotor function. Diabetes Metab. 2013, 39, 126–131. [Google Scholar] [CrossRef]
- Yuan, T.; Li, J.; Fu, Y.; Xu, T.; Li, J.; Wang, X.; Zhou, Y.; Dong, Y.; Zhao, W. A cardiac risk score based on sudomotor function to evaluate cardiovascular autonomic neuropathy in asymptomatic Chinese patients with diabetes mellitus. PLoS ONE 2018, 13, e0204804. [Google Scholar] [CrossRef]
- Popescu, C. Small fiber neuropathy in Parkinson’s disease explored by the sudoscan. Parkinsonism Relat. Disord. 2019, 66, 261–263. [Google Scholar] [CrossRef]
- Xu, X.; Liao, J.; Dong, Q.; Qin, F.; Li, J.; Sun, X.; Lu, T.; Fang, L.; Peng, F.; Lu, Z.; et al. Clinical utility of SUDOSCAN in predicting autonomic neuropathy in patients with Parkinson’s disease. Parkinsonism Relat. Disord. 2019. [Google Scholar] [CrossRef]
- Hughes, A.J.; Daniel, S.E.; Kilford, L.; Lees, A.J. Accuracy of clinical diagnosis of idiopathic Parkinson’s disease: A clinico-pathological study of 100 cases. J. Neurol. Neurosurg. Psychiatry 1992, 55, 181–184. [Google Scholar] [CrossRef]
- Tomlinson, C.L.; Stowe, R.; Patel, S.; Rick, C.; Gray, R.; Clarke, C.E. Systematic review of levodopa dose equivalency reporting in Parkinson’s disease. Mov. Disord. 2010, 25, 2649–2653. [Google Scholar] [CrossRef]
- Hoehn, M.M.; Yahr, M.D. Parkinsonism: Onset, progression and mortality. Neurology 1967, 17, 427–442. [Google Scholar] [CrossRef]
- Martinez-Martin, P.; Gil-Nagel, A.; Gracia, L.M.; Gomez, J.B.; Martinez-Sarries, J.; Bermejo, F. Unified Parkinson′s Disease Rating Scale characteristics and structure. The Cooperative Multicentric Group. Mov. Disord. 1994, 9, 76–83. [Google Scholar] [CrossRef] [PubMed]
- Huang, C.C.; Lai, Y.R.; Wu, F.A.; Kuo, N.Y.; Tsai, Y.C.; Cheng, B.C.; Tsai, N.W.; Lu, C.H. Simultaneously Improved Pulmonary and Cardiovascular Autonomic Function and Short-Term Functional Outcomes in Patients with Parkinson′s Disease after Respiratory Muscle Training. J. Clin. Med. 2020, 9, 316. [Google Scholar] [CrossRef] [PubMed]
- Huang, C.C.; Lee, J.J.; Lin, T.K.; Tsai, N.W.; Huang, C.R.; Chen, S.F.; Lu, C.H.; Liu, R.T. Diabetic Retinopathy is Strongly Predictive of Cardiovascular Autonomic Neuropathy in Type 2 Diabetes. J. Diabetes Res. 2016, 2016, 6090749. [Google Scholar] [CrossRef] [PubMed][Green Version]
- Lai, Y.R.; Huang, C.C.; Chiu, W.C.; Liu, R.T.; Tsai, N.W.; Wang, H.C.; Lin, W.C.; Cheng, B.C.; Su, Y.J.; Su, C.M.; et al. HbA1C Variability Is Strongly Associated With the Severity of Cardiovascular Autonomic Neuropathy in Patients With Type 2 Diabetes After Longer Diabetes Duration. Front. Neurosci. 2019, 13, 458. [Google Scholar] [CrossRef] [PubMed]
- England, J.D.; Gronseth, G.S.; Franklin, G.; Carter, G.T.; Kinsella, L.J.; Cohen, J.A.; Asbury, A.K.; Szigeti, K.; Lupski, J.R.; Latov, N.; et al. Practice Parameter: Evaluation of distal symmetric polyneuropathy: Role of autonomic testing, nerve biopsy, and skin biopsy (an evidence-based review). Report of the American Academy of Neurology, American Association of Neuromuscular and Electrodiagnostic Medicine, and American Academy of Physical Medicine and Rehabilitation. Neurology 2009, 72, 177–184. [Google Scholar] [CrossRef] [PubMed]
- Simundic, A.M. Measures of Diagnostic Accuracy: Basic Definitions. EJIFCC 2009, 19, 203–211. [Google Scholar]
- Novak, P. Electrochemical Skin Conductance Correlates with Skin Nerve Fiber Density. Front. Aging Neurosci. 2016, 8, 199. [Google Scholar] [CrossRef]
- Novak, P. Electrochemical skin conductance: A systematic review. Clin. Auton. Res. 2019, 29, 17–29. [Google Scholar] [CrossRef] [PubMed]
- Duchesne, M.; Richard, L.; Vallat, J.M.; Magy, L. Assessing sudomotor impairment in patients with peripheral neuropathy: Comparison between electrochemical skin conductance and skin biopsy. Clin. Neurophysiol. 2018, 129, 1341–1348. [Google Scholar] [CrossRef] [PubMed]
- Doppler, K.; Ebert, S.; Uceyler, N.; Trenkwalder, C.; Ebentheuer, J.; Volkmann, J.; Sommer, C. Cutaneous neuropathy in Parkinson’s disease: A window into brain pathology. Acta Neuropathol. 2014, 128, 99–109. [Google Scholar] [CrossRef] [PubMed]
- Vinik, A.I.; Smith, A.G.; Singleton, J.R.; Callaghan, B.; Freedman, B.I.; Tuomilehto, J.; Bordier, L.; Bauduceau, B.; Roche, F. Normative Values for Electrochemical Skin Conductances and Impact of Ethnicity on Quantitative Assessment of Sudomotor Function. Diabetes Technol. Ther. 2016, 18, 391–398. [Google Scholar] [CrossRef] [PubMed]





| Subtype of Parkinson’s Disease | Total (n = 63) | p-Value | |||
|---|---|---|---|---|---|
| PIGD (n = 29) | TD (n = 7) | AR (n = 27) | |||
| Age | 65.2 ± 9.1 | 64.9 ± 10.9 | 65.7 ± 10.7 | 65.4 ± 9.8 | 0.858 |
| Gender (F/M) | 17/12 | 3/4 | 15/12 | 35/28 | 0.75 |
| BMI | 25.3 ± 5.3 | 25.6 ± 3.5 | 24.6 ± 4.3 | 24.9 ± 4.7 | 0.824 |
| Disease duration | 6.7 ± 4.7 | 4.6 ± 2.8 | 3.7 ± 2.5 | 5.2 ± 3.9 | 0.037 * |
| LED | 836 (400, 1210) | 425 (260, 663) | 578 (455,1050) | 613 (375, 1059) | 0.085 |
| HY stage | 2.5 (2.0, 3.0) | 1.5 (1.0, 1.5) | 2.0 (1.5, 2.8) | 2.0 (1.5, 3.0) | 0.002 *** |
| UPDRS I | 1.0 (2.0, 3.0) | 0.0 (0.0, 1.0) | 1.0 (0.0, 1.8) | 1.0 (1.0, 2.0) | 0.001 *** |
| UPDRS II | 9.0 (8.0, 10.3) | 3.0 (1.0, 6.0) | 4.0 (2.3, 8.0) | 8.0 (3.8, 10.0) | <0.001 *** |
| UPDRS III | 12.0 (7.8, 17.5) | 5.0 (2.0, 7.0) | 7.5 (4.3, 8.0) | 9.0 (5.0, 16.3) | 0.031 * |
| UPDRS total | 23.0 (17.5, 30.5) | 10.0 (6.0, 11.0) | 14.0 (6.3, 23.8) | 18.0 (10.8, 28.0) | 0.001 *** |
| Subtype of Parkinson’s Disease | Total (n = 63) | p-Value | |||
|---|---|---|---|---|---|
| PIGD (n = 29) | TD (n = 7) | AR (n = 27) | |||
| CAN Risk Score | 31.4 ± 6.6 | 30.2 ±7.9 | 32.8 ± 6.7 | 31.8 ± 6.7 | |
| Mean hand ESC, µS | 47.8 ± 17.0 | 54.1 ± 23.9 | 50.1 ± 20.0 | 48.9 ± 19.3 | 0.617 |
| Mean leg ESC, µS | 58.8 ± 19.0 | 60.3 ± 25.6 | 58.5 ± 17.9 | 58.4 ± 19.2 | 0.836 |
| CASS | 1.7 ± 1.3 | 0.6 ± 0.4 | 1.8 ± 1.5 | 1.7 ± 1.4 | 0.204 |
| HR_DB | 7.1 ± 3.2 | 13.0 ± 8.7 | 8.4 ± 4.4 | 8.3 ± 4.9 | 0.056 |
| VR | 1.35 ± 0.19 | 1.55 ± 0.26 | 1.33 ± 0.23 | 1.36 ± 0.22 | 0.076 |
| BRS_VM | 1.7 ± 0.9 | 2.2 ± 1.1 | 2.1 ± 1.1 | 1.9 ± 1.0 | 0.262 |
| BRS_seq | 8.3 ± 4.9 | 9.9 ± 3.2 | 6.7 ± 3.4 | 7.8 ± 4.2 | 0.114 |
| LF/HF ratio | 0.56 (0.33, 0.95) | 1.41 (0.35, 3.03) | 0.72 (0.37, 1.68) | 0.70 (0.37, 1.40) | 0.459 |
| Non-CAN (N = 34) | CAN (N = 29) | p-Value | |
|---|---|---|---|
| Age (years) | 62.6 ± 10.3 | 68.7 ± 8.1 | 0.012 * |
| Gender (F/M) | 18/16 | 17/12 | 0.654 |
| Disease duration (years) | 5.6 ± 4.3 | 4.7 ± 3.3 | 0.378 |
| LED | 638 (413, 1277) | 613 (338, 1050) | 0.517 |
| HY stage | 2.0 (1.5, 3.0) | 2.0 (1.9, 2.6) | 0.693 |
| UPDRS I | 1.0 (0.3, 2.0) | 1.0 (1.0, 2.0) | 0.948 |
| UPDRS II | 7.5 (2.0, 10.0) | 8.0 (5.0, 9.3) | 0.451 |
| UPDRS III | 11.0 (4.3, 16.8) | 8.0 (5.8, 15.5) | 0.975 |
| UPDRS total | 18.5 (6.3, 28.0) | 17.5 (11.8, 26.8) | 0.673 |
| CASS | 1 (0,1) | 3 (2, 3.5) | <0.001 *** |
| HR_DB | 10.4 ± 4.9 | 5.6 ± 3.2 | <0.001 *** |
| VR | 1.44 ± 0.23 | 1.29 ± 0.20 | 0.013 * |
| BRS_VM | 2.3 ± 1.1 | 1.4 ± 0.6 | 0.001 *** |
| BRS_seq | 8.9 ± 4.7 | 6.5 ± 3.0 | 0.026 * |
| LF/HF ratio | 0.70 (0.42, 1.44) | 0.71 (0.31, 1.43) | 0.613 |
| Mean hand ESC, µS | 50.6 ± 18.6 | 46.9 ± 20.1 | 0.445 |
| Mean foot ESC, µS | 61.9 ± 18.4 | 54.3 ± 19.5 | 0.117 |
| CAN Risk score | 30.0 ± 6.6 | 33.9 ± 6.2 | 0.029 * |
| Variables | Composite Autonomic Scoring Scale | |
|---|---|---|
| r | p-Value | |
| Age (years) | 0.285 | 0.035 * |
| Disease duration (years) | −0.076 | 0.579 |
| LED | 0.010 | 0.940 |
| HY stage | 0.061 | 0.664 |
| UPDRS I | 0.184 | 0.187 |
| UPDRS II | 0.166 | 0.234 |
| UPDRS III | 0.111 | 0.428 |
| UPDRS total | 0.162 | 0.246 |
| Mean hand ESC, µS | −0.168 | 0.221 |
| Mean foot ESC, µS | −0.235 | 0.084 |
| CAN Risk score | 0.199 | 0.17 |
| Mean Hand ESC, µS | Mean Foot ESC, µS | CAN Risk Score | ||||
|---|---|---|---|---|---|---|
| r | p-Value | r | p-Value | r | p-Value | |
| HY stage | −0.194 | 0.144 | −0.124 | 0.356 | −0.067 | 0.641 |
| UPDRS I | −0.207 | 0.120 | −0.110 | 0.410 | −0.009 | 0.950 |
| UPDRS II | −0.315 | 0.016 * | −0.193 | 0.147 | 0.074 | 0.608 |
| UPDRS III | −0.204 | 0.124 | −0.112 | 0.402 | −0.083 | 0.565 |
| UPDRS total | −0.265 | 0.045 * | −0.143 | 0.283 | −0.031 | 0.829 |
| HR_DB | 0.217 | 0.099 | 0.182 | 0.167 | −0.312 | 0.023 * |
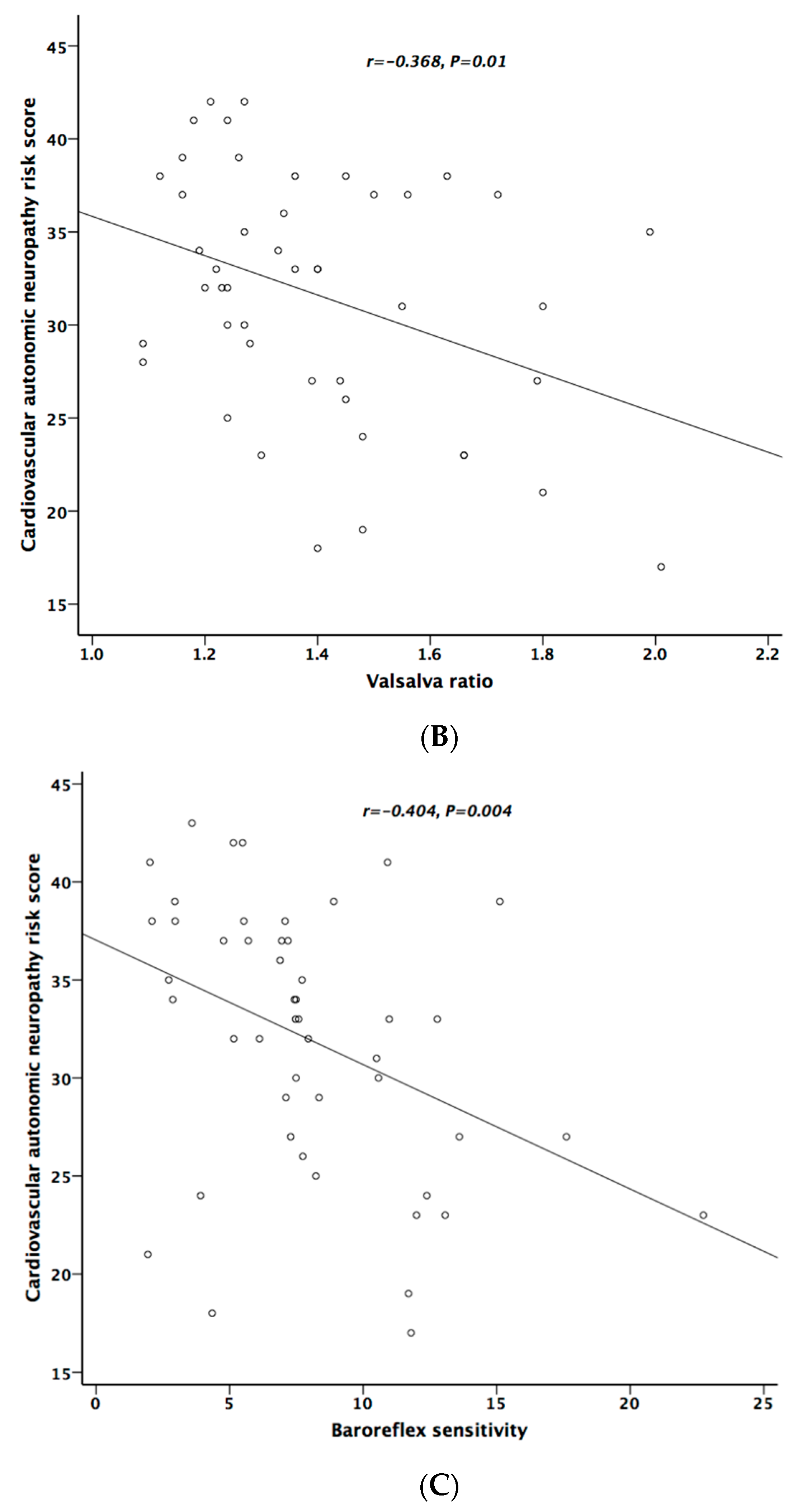
| VR | 0.280 | 0.044 * | 0.252 | 0.072 | −0.368 | 0.010 * |
| BRS_VM | 0.133 | 0.358 | 0.166 | 0.248 | 0.134 | 0.380 |
| BRS_seq | 0.128 | 0.352 | 0.068 | 0.622 | −0.404 | 0.004 *** |
| Cardiovagal subscore | −0.285 | 0.043 * | −0.202 | 0.156 | 0.160 | 0.262 |
| Adrenergic subscore | 0.061 | 0.662 | −0.120 | 0.387 | 0.243 | 0.080 |
| LF/HF ratio | 0.108 | 0.432 | 0.146 | 0.288 | −0.246 | 0.088 |
Publisher’s Note: MDPI stays neutral with regard to jurisdictional claims in published maps and institutional affiliations. |
© 2020 by the authors. Licensee MDPI, Basel, Switzerland. This article is an open access article distributed under the terms and conditions of the Creative Commons Attribution (CC BY) license (http://creativecommons.org/licenses/by/4.0/).
Share and Cite
Huang, C.-C.; Lai, Y.-R.; Lien, C.-Y.; Cheng, B.-C.; Tsai, N.-W.; Lu, C.-H. The Role of Electrochemical Skin Conductance as a Screening Test of Cardiovascular Autonomic Neuropathy in Patients with Parkinson’s Disease. Int. J. Environ. Res. Public Health 2020, 17, 7751. https://doi.org/10.3390/ijerph17217751
Huang C-C, Lai Y-R, Lien C-Y, Cheng B-C, Tsai N-W, Lu C-H. The Role of Electrochemical Skin Conductance as a Screening Test of Cardiovascular Autonomic Neuropathy in Patients with Parkinson’s Disease. International Journal of Environmental Research and Public Health. 2020; 17(21):7751. https://doi.org/10.3390/ijerph17217751
Chicago/Turabian StyleHuang, Chih-Cheng, Yun-Ru Lai, Chia-Yi Lien, Ben-Chung Cheng, Nai-Wen Tsai, and Cheng-Hsien Lu. 2020. "The Role of Electrochemical Skin Conductance as a Screening Test of Cardiovascular Autonomic Neuropathy in Patients with Parkinson’s Disease" International Journal of Environmental Research and Public Health 17, no. 21: 7751. https://doi.org/10.3390/ijerph17217751
APA StyleHuang, C.-C., Lai, Y.-R., Lien, C.-Y., Cheng, B.-C., Tsai, N.-W., & Lu, C.-H. (2020). The Role of Electrochemical Skin Conductance as a Screening Test of Cardiovascular Autonomic Neuropathy in Patients with Parkinson’s Disease. International Journal of Environmental Research and Public Health, 17(21), 7751. https://doi.org/10.3390/ijerph17217751

