Sign in to use this feature.

Years

Between: -

Subjects

remove_circle_outline
remove_circle_outline
remove_circle_outline
remove_circle_outline
remove_circle_outline
remove_circle_outline
remove_circle_outline
remove_circle_outline
remove_circle_outline

Journals

remove_circle_outline
remove_circle_outline
remove_circle_outline
remove_circle_outline
remove_circle_outline
remove_circle_outline
remove_circle_outline
remove_circle_outline
remove_circle_outline
remove_circle_outline
remove_circle_outline
remove_circle_outline
remove_circle_outline
remove_circle_outline
remove_circle_outline

Article Types

Countries / Regions

remove_circle_outline
remove_circle_outline
remove_circle_outline
remove_circle_outline
remove_circle_outline
remove_circle_outline

Search Results (1,585)

Search Parameters:
Keywords = complex-valued neural networks

Order results
Result details
Results per page
Select all
Export citation of selected articles as:
16 pages, 2791 KB  
Article
Towards Stable Training of Complex-Valued Physics-Informed Neural Networks: A Holomorphic Initialization Approach
by Andrei-Ionuț Mohuț and Călin-Adrian Popa
Mathematics 2026, 14(3), 435; https://doi.org/10.3390/math14030435 - 27 Jan 2026
Abstract
This work introduces a new initialization scheme for complex-valued layers in physics-informed neural networks that use holomorphic activation functions. The proposed method is derived empirically by estimating the activation and gradient gains specific to complex-valued tanh and sigmoid functions through Monte Carlo simulations. [...] Read more.
This work introduces a new initialization scheme for complex-valued layers in physics-informed neural networks that use holomorphic activation functions. The proposed method is derived empirically by estimating the activation and gradient gains specific to complex-valued tanh and sigmoid functions through Monte Carlo simulations. These estimates are then used to formulate variance-preserving initialization rules. The effectiveness of these formulas is evaluated on several second-order complex-valued ordinary differential equations derived from the Helmholtz equation, a fundamental model in wave theory and theoretical physics. Comparative experiments show that complex-valued neural solvers initialized with the proposed method outperform traditional real-valued physics-informed neural networks in terms of both accuracy and training dynamics. Full article
(This article belongs to the Special Issue Machine Learning: Mathematical Foundations and Applications)
Show Figures

Figure 1

25 pages, 2201 KB  
Article
Design and Research of a Dual-Target Drug Molecular Generation Model Based on Reinforcement Learning
by Peilin Li, Ziyan Yan, Yuchen Zhou, Hongyun Li, Wei Gao and Dazhou Li
Inventions 2026, 11(1), 12; https://doi.org/10.3390/inventions11010012 - 26 Jan 2026
Abstract
Dual-target drug design addresses complex diseases and drug resistance, yet existing computational approaches struggle with simultaneous multi-protein optimization. This study presents SFG-Drug, a novel dual-target molecular generation model combining Monte Carlo tree search with gated recurrent unit neural networks for simultaneous MEK1 and [...] Read more.
Dual-target drug design addresses complex diseases and drug resistance, yet existing computational approaches struggle with simultaneous multi-protein optimization. This study presents SFG-Drug, a novel dual-target molecular generation model combining Monte Carlo tree search with gated recurrent unit neural networks for simultaneous MEK1 and mTOR targeting. The methodology employed DigFrag digital fragmentation on ZINC-250k dataset, integrated low-frequency masking techniques for enhanced diversity, and utilized molecular docking scores as reward functions. Comprehensive evaluation on MOSES benchmark demonstrated superior performance compared to state-of-the-art methods, achieving perfect validity (1.000), uniqueness (1.000), and novelty (1.000) scores with highest internal diversity indices (0.878 for IntDiv1, 0.860 for IntDiv2). Over 90% of generated molecules exhibited favorable binding affinity with both targets, showing optimal drug-like properties including QED values in [0.2, 0.7] range and high synthetic accessibility scores. Generated compounds demonstrated structural novelty with Tanimoto coefficients below 0.25 compared to known inhibitors while maintaining dual-target binding capability. The SFG-Drug model successfully bridges the gap between computational prediction and practical drug discovery, offering significant potential for developing new dual-target therapeutic agents and advancing AI-driven pharmaceutical research methodologies. Full article
Show Figures

Figure 1

22 pages, 4947 KB  
Article
CV-EEGNet: A Compact Complex-Valued Convolutional Network for End-to-End EEG-Based Emotion Recognition
by Wenhao Wang, Dongxia Yang, Yong Yang, Yuanlun Xie, Xiu Liu, Yue Yu and Kaibo Shi
Sensors 2026, 26(3), 807; https://doi.org/10.3390/s26030807 - 26 Jan 2026
Abstract
In electroencephalogram (EEG)-based emotion recognition tasks, existing end-to-end approaches predominantly rely on real-valued neural networks, which mainly operate in the time–amplitude domain. However, EEG signals are a type of wave, intrinsically including frequency, phase, and amplitude characteristics. Real-valued architectures may struggle to capture [...] Read more.
In electroencephalogram (EEG)-based emotion recognition tasks, existing end-to-end approaches predominantly rely on real-valued neural networks, which mainly operate in the time–amplitude domain. However, EEG signals are a type of wave, intrinsically including frequency, phase, and amplitude characteristics. Real-valued architectures may struggle to capture amplitude–phase coupling and spectral structures that are crucial for emotion decoding. To the best of our knowledge, this work is the first to introduce complex-valued neural networks for EEG-based emotion recognition, upon which we design a new end-to-end architecture named Complex-valued EEGNet (CV-EEGNet). Beginning with raw EEG signals, CV-EEGNet transforms them into complex-valued spectra via the Fast Fourier Transform, then sequentially applies complex-valued spectral, spatial, and depthwise-separable convolution modules to extract frequency structures, spatial topologies, and high-level semantic representations while preserving amplitude–phase relationships. Finally, a complex-valued, fully connected classifier generates complex logits, and the final emotion predictions are derived from their magnitudes. Experiments on the SEED (three-class) and SEED-IV (four-class) datasets validate the effectiveness of the proposed method, with t-SNE visualizations further confirming the discriminability of the learned representations. These results show the potential of complex-valued neural networks for raw-signal EEG emotion recognition. Full article
(This article belongs to the Section Biomedical Sensors)
Show Figures

Figure 1

17 pages, 566 KB  
Article
AE-CTGAN: Autoencoder–Conditional Tabular GAN for Multi-Omics Imbalanced Class Handling and Cancer Outcome Prediction
by Ibrahim Al-Hurani, Sara H. ElFar, Abedalrhman Alkhateeb and Salama Ikki
Algorithms 2026, 19(2), 95; https://doi.org/10.3390/a19020095 - 25 Jan 2026
Viewed by 38
Abstract
The rapid advancement of sequencing technologies has led to the generation of complex multi-omics data, which are often high-dimensional, noisy, and imbalanced, posing significant challenges for traditional machine learning methods. The novelty of this work resides in the architecture-level integration of autoencoders with [...] Read more.
The rapid advancement of sequencing technologies has led to the generation of complex multi-omics data, which are often high-dimensional, noisy, and imbalanced, posing significant challenges for traditional machine learning methods. The novelty of this work resides in the architecture-level integration of autoencoders with Generative Adversarial Network (GAN) and Conditional Tabular Generative Adversarial Network (CTGAN) models, where the autoencoder is employed for latent feature extraction and noise reduction, while GAN-based models are used for realistic sample generation and class imbalance mitigation in multi-omics cancer datasets. This study proposes a novel framework that combines an autoencoder for dimensionality reduction and a CTGAN for generating synthetic samples to balance underrepresented classes. The process starts with selecting the most discriminative features, then extracting latent representations for each omic type, merging them, and generating new minority samples. Finally, all samples are used to train a neural network to predict specific cancer outcomes, defined here as clinically relevant biomarkers or patient characteristics. In this work, the considered outcome in the bladder cancer is Tumor Mutational Burden (TMB), while the breast cancer outcome is menopausal status, a key factor in treatment planning. Experimental results show that the proposed model achieves high precision, with an average precision of 0.9929 for TMB prediction in bladder cancer and 0.9748 for menopausal status in breast cancer, and reaches perfect precision (1.000) for the positive class in both cases. In addition, the proposed AE–CTGAN framework consistently outperformed an autoencoder combined with a standard GAN across all evaluation metrics, achieving average accuracies of 0.9929 and 0.9748, recall values of 0.9846 and 0.9777, and F1-scores of 0.9922 for bladder and breast cancer datasets, respectively. A comparative fidelity analysis in the latent space further demonstrated the superiority of CTGAN, reducing the average Euclidean distance between real and synthetic samples by approximately 72% for bladder cancer and by up to 84% for breast cancer compared to a standard GAN. These findings confirm that CTGAN generates high-fidelity synthetic samples that preserve the structural characteristics of real multi-omics data, leading to more reliable class balancing and improved predictive performance. Overall, the proposed framework provides an effective and robust solution for handling class imbalance in multi-omics cancer data and enhances the accuracy of clinically relevant outcome prediction. Full article
Show Figures

Figure 1

18 pages, 4244 KB  
Article
Selection of Specimen Orientations for Hyperspectral Identification of Wild and Cultivated Ophiocordyceps sinensis
by Hejuan Du, Xinyue Cui, Xingfeng Chen, Dawa Drolma, Shihao Xie, Jiaguo Li, Limin Zhao, Jun Liu and Tingting Shi
Processes 2026, 14(3), 412; https://doi.org/10.3390/pr14030412 - 24 Jan 2026
Viewed by 104
Abstract
Ophiocordyceps sinensis is a precious medicinal material with significant pharmacological and economic value. However, the visual similarity between its wild and cultivated forms poses a challenge for authentication. This study investigates the influence of specimen orientation on the accuracy of hyperspectral identification. Hyperspectral [...] Read more.
Ophiocordyceps sinensis is a precious medicinal material with significant pharmacological and economic value. However, the visual similarity between its wild and cultivated forms poses a challenge for authentication. This study investigates the influence of specimen orientation on the accuracy of hyperspectral identification. Hyperspectral data were systematically acquired from four standard specimen orientations (left lateral, right lateral, dorsal, and ventral) for each sample. Random Forest (RF), Support Vector Machine (SVM), Logistic Regression (LR), and Fully Connected Neural Network (FCNN) models were trained and evaluated using both single-orientation and multi-orientation fused data. Results indicate that the LR model achieved superior and stable performance, with an average identification accuracy exceeding 98%. Crucially, for all tested models, no statistically significant difference in identification accuracy was observed across the different specimen orientations. This finding demonstrates that specimen orientation does not significantly influence identification accuracy. The conclusion was further corroborated in experiments using randomly orientation-fused datasets, in which model performance remained consistent and reliable. It is therefore concluded that precise specimen orientation control is unnecessary for the hyperspectral identification of Ophiocordyceps sinensis. This insight substantially simplifies the hardware design of dedicated identification devices by eliminating the need for complex orientation-fixing mechanisms and facilitating the standardization of operational protocols. The study provides a practical theoretical foundation for developing cost-effective, user-friendly, and widely applicable identification instruments for Ophiocordyceps sinensis and offers a reference for similar non-destructive testing applications involving anisotropic medicinal materials. Full article
Show Figures

Figure 1

24 pages, 1691 KB  
Article
Determining Material Removal and Electrode Wear in Electric Discharge Machining with a Generalist Machine Learning Framework
by Jorge M. Cortés-Mendoza, Agnieszka Żyra, Andrei Tchernykh and Horacio González-Vélez
Materials 2026, 19(2), 438; https://doi.org/10.3390/ma19020438 - 22 Jan 2026
Viewed by 58
Abstract
Electric Discharge Machining (EDM) is a well-established process for fabricating complex geometries from hard materials. However, identifying the influence of process parameters remains challenging and costly due to the stochastic nature of EDM and the expense of experimental validation. Machine Learning (ML) techniques [...] Read more.
Electric Discharge Machining (EDM) is a well-established process for fabricating complex geometries from hard materials. However, identifying the influence of process parameters remains challenging and costly due to the stochastic nature of EDM and the expense of experimental validation. Machine Learning (ML) techniques provide an alternative to mitigate these limitations by enabling predictive modeling with reduced experimental effort. This research proposes a generalizable framework employing four ML models to analyze the correlation between EDM inputs and outputs, incorporating 11 levels of cryogenic electrode treatment. Independent variables include electrode material, cryogenic conditions, pulse current, and pulse duration, while performance is assessed through Material Removal Rate (MRR) and Electrode Wear Rate (EWR). The results demonstrate that Random Forest (RF) and Artificial Neural Networks (ANNs) achieve superior predictive performance compared to alternative approaches, improving the R2 metric from 0.973 to 0.9956 for EWR in the case of an ANN and from 0.980 to 0.9943 for RF with MRR, compared with previous work in the literature and the best methods across 30 executions. Both models consistently yield high predictive accuracy, with R2 values ranging from 0.9936 to 0.9979 in training and testing datasets. Furthermore, ANN significantly reduces mean squared error, decreasing EWR prediction error from 5.79 to 0.68 and MRR error from 122.75 to 35.89. This research contributes to a deeper understanding of EDM process dynamics. Full article
Show Figures

Figure 1

22 pages, 13053 KB  
Article
Lightweight Complex-Valued Siamese Network for Few-Shot PolSAR Image Classification
by Yinyin Jiang, Rongzhen Du, Wanying Song, Peng Zhang, Lei Liu and Zhenxi Zhang
Remote Sens. 2026, 18(2), 344; https://doi.org/10.3390/rs18020344 - 20 Jan 2026
Viewed by 82
Abstract
Complex-valued convolutional neural networks (CVCNNs) have demonstrated strong capabilities for polarimetric synthetic aperture radar (PolSAR) image classification by effectively integrating both amplitude and phase information inherent in polarimetric data. However, their practical deployment faces significant challenges due to high computational costs and performance [...] Read more.
Complex-valued convolutional neural networks (CVCNNs) have demonstrated strong capabilities for polarimetric synthetic aperture radar (PolSAR) image classification by effectively integrating both amplitude and phase information inherent in polarimetric data. However, their practical deployment faces significant challenges due to high computational costs and performance degradation caused by extremely limited labeled samples. To address these challenges, a lightweight CV Siamese network (LCVSNet) is proposed for few-shot PolSAR image classification. Considering the constraints of limited hardware resources in practical applications, simple one-dimensional (1D) CV convolutions along the scattering dimension are combined with two-dimensional (2D) lightweight CV convolutions. In this way, the inter-element dependencies of polarimetric coherency matrix and the spatial correlations between neighboring units can be captured effectively, while simultaneously reducing computational costs. Furthermore, LCVSNet incorporates a contrastive learning (CL) projection head to explicitly optimize the feature space. This optimization can effectively enhance the feature discriminability, leading to accurate classification with a limited number of labeled samples. Experiments on three real PolSAR datasets demonstrate the effectiveness and practical utility of LCVSNet for PolSAR image classification with a small number of labeled samples. Full article
Show Figures

Figure 1

34 pages, 7567 KB  
Article
Enhancing Demand Forecasting Using the Formicary Zebra Optimization with Distributed Attention Guided Deep Learning Model
by Ikhalas Fandi and Wagdi Khalifa
Appl. Sci. 2026, 16(2), 1039; https://doi.org/10.3390/app16021039 - 20 Jan 2026
Viewed by 103
Abstract
In the modern era, demand forecasting enhances the decision-making tasks of industries for controlling production planning and reducing inventory costs. However, the dynamic nature of the fashion and apparel retail industry necessitates precise demand forecasting to optimize supply chain operations and meet customer [...] Read more.
In the modern era, demand forecasting enhances the decision-making tasks of industries for controlling production planning and reducing inventory costs. However, the dynamic nature of the fashion and apparel retail industry necessitates precise demand forecasting to optimize supply chain operations and meet customer expectations. Consequently, this research proposes the Formicary Zebra Optimization-Based Distributed Attention-Guided Convolutional Recurrent Neural Network (FZ-DACR) model for improving the demand forecasting. In the proposed approach, the combination of the Formicary Zebra Optimization and Distributed Attention mechanism enabled deep learning architectures to assist in capturing the complex patterns of the retail sales data. Specifically, the neural networks, including convolutional neural networks (CNNs) and recurrent neural networks (RNNs), facilitate extracting the local features and temporal dependencies to analyze the volatile demand patterns. Furthermore, the proposed model integrates visual and textual data to enhance forecasting accuracy. By leveraging the adaptive optimization capabilities of the Formicary Zebra Algorithm, the proposed model effectively extracts features from product images and historical sales data while addressing the complexities of volatile demand patterns. Based on extensive experimental analysis of the proposed model using diverse datasets, the FZ-DACR model achieves superior performance, with minimum error values including MAE of 1.34, MSE of 4.7, RMS of 2.17, and R2 of 93.3% using the DRESS dataset. Moreover, the findings highlight the ability of the proposed model in managing the fluctuating trends and supporting inventory and pricing strategies effectively. This innovative approach has significant implications for retailers, enabling more agile supply chains and improved decision making in a highly competitive market. Full article
(This article belongs to the Special Issue Advanced Methods for Time Series Forecasting)
Show Figures

Figure 1

27 pages, 6148 KB  
Article
Landslide Susceptibility Assessment Based on TFPF-SU and AuFNN Methods: A Case Study of Dongchuan District, Yunnan Province
by Kuan Li, Yuqiang Sun, Junfu Fan and Ping Li
Appl. Sci. 2026, 16(2), 1035; https://doi.org/10.3390/app16021035 - 20 Jan 2026
Viewed by 111
Abstract
Landslides are a common type of geological hazard, characterized by sudden onset, high destructiveness, and frequent occurrence, and are widely distributed in mountainous areas with complex terrain. In recent years, due to extreme weather and intensified human activities, both the frequency and intensity [...] Read more.
Landslides are a common type of geological hazard, characterized by sudden onset, high destructiveness, and frequent occurrence, and are widely distributed in mountainous areas with complex terrain. In recent years, due to extreme weather and intensified human activities, both the frequency and intensity of landslide disasters in China have increased significantly, posing serious threats to human life, property, and socio-economic development. Although various methods for landslide susceptibility assessment have been proposed, the accuracy of existing models still needs improvement. In this context, this study takes the landslide-prone Dongchuan District of Kunming City, Yunnan Province, as a case study and proposes a coupled model that integrates an autoencoder and a feedforward neural network (AuFNN). The model uses the autoencoder to extract low-dimensional and highly discriminative feature representations, which are then used as input to the feedforward neural network to perform landslide susceptibility assessment. To evaluate the effectiveness of the proposed model, it is compared with four commonly used models, Support Vector Machine (SVM), Random Forest (RF), XGBoost, and Feedforward Neural Network (FNN), based on performance metrics such as the ROC curve, recall, and F1 score. The results indicate that the AuFNN model provides an alternative representation learning framework and achieves performance comparable to that of established machine learning models in landslide susceptibility assessment, as reflected by similar AUC, accuracy, and F1 score values. Full article
Show Figures

Figure 1

20 pages, 6325 KB  
Article
A Rapid Prediction Model of Rainstorm Flood Targeting Power Grid Facilities
by Shuai Wang, Lei Shi, Xiaoli Hao, Xiaohua Ren, Qing Liu, Hongping Zhang and Mei Xu
Hydrology 2026, 13(1), 37; https://doi.org/10.3390/hydrology13010037 - 19 Jan 2026
Viewed by 121
Abstract
Rainstorm floods constitute one of the major natural hazards threatening the safe and stable operation of power grid facilities. Constructing a rapid and accurate prediction model is of great significance in order to enhance the disaster prevention capacity of the power grid. This [...] Read more.
Rainstorm floods constitute one of the major natural hazards threatening the safe and stable operation of power grid facilities. Constructing a rapid and accurate prediction model is of great significance in order to enhance the disaster prevention capacity of the power grid. This study proposes a rapid prediction model for urban rainstorm flood targeting power grid facilities based on deep learning. The model utilizes computational results of high-precision mechanism models as data-driven input and adopts a dual-branch prediction architecture of space and time: the spatial prediction module employs a multi-layer perceptron (MLP), and the temporal prediction module integrates convolutional neural network (CNN), long short-term memory network (LSTM), and attention mechanism (ATT). The constructed water dynamics model of the right bank of Liangshui River in Fengtai District of Beijing has been verified to be reliable in the simulation of the July 2023 (“23·7”) extreme rainstorm event in Beijing (the July 2023 event), which provides high-quality training and validation data for the deep learning-based surrogate model (SM model). Compared with traditional high-precision mechanism models, the SM model shows distinctive advantages: the R2 value of the overall inundation water depth prediction of the spatial prediction module reaches 0.9939, and the average absolute error of water depth is 0.013 m; the R2 values of temporal water depth processes prediction at all substations made by the temporal prediction module are all higher than 0.92. Only by inputting rainfall data can the water depth at power grid facilities be output within seconds, providing an effective tool for rapid assessment of flood risks to power grid facilities. In a word, the main contribution of this study lies in the proposal of the SM model driven by the high-precision mechanism model. This model, through a dual-branch module in both space and time, has achieved second-level high-precision prediction from rainfall input to water depth output in scenarios where the power grid is at risk of flooding for the first time, providing an expandable method for real-time simulation of complex physical processes. Full article
Show Figures

Figure 1

19 pages, 5115 KB  
Article
CV-CPKAN: Complex-Valued Convolutional Kolmogorov–Arnold Framework for PolSAR Image Classification
by Zuzheng Kuang, Shuxin Liu, Haixia Bi, Lijun He and Fan Li
Remote Sens. 2026, 18(2), 330; https://doi.org/10.3390/rs18020330 - 19 Jan 2026
Viewed by 254
Abstract
Deep learning has significantly advanced PolSAR image processing, with a growing trend of integrating mathematical theories into deep neural networks to enhance their capabilities with regard to complex data. Kolmogorov–Arnold networks (KANs), which leverage nonlinear mappings derived from the Kolmogorov–Arnold theorem for automatic [...] Read more.
Deep learning has significantly advanced PolSAR image processing, with a growing trend of integrating mathematical theories into deep neural networks to enhance their capabilities with regard to complex data. Kolmogorov–Arnold networks (KANs), which leverage nonlinear mappings derived from the Kolmogorov–Arnold theorem for automatic feature extraction, present a promising yet underexplored direction for PolSAR image classification. However, existing real-valued KAN-based layers fall short in effectively exploiting the complex-valued characteristics of PolSAR data, overlooking the important phase information. In this paper, we propose a complex-valued convolutional Kolmogorov–Arnold framework for PolSAR image classification (CV-CPKAN). The framework introduces complex KAN convolution layers, which are further employed to construct a multi-branch complex KAN convolution (MBComplexKConv) block, effectively extracting multi-scale features from both the amplitude and phase components of PolSAR data. Additionally, a complex-valued variant of PolyLoss (CV-PolyLoss) is proposed as our classification loss function. Through extensive evaluations on three benchmark PolSAR datasets, CV-CPKAN consistently surpasses state-of-the-art models based on CNN, Transformer and Mamba, achieving overall accuracies of 99.86%, 99.80% and 99.74% on Flevoland, San Francisco and Oberpfaffenhofen datasets, respectively. These results underscore the effectiveness of integrating convolutions with KAN-based nonlinear mapping, providing a new avenue for further research in PolSAR image classification. Full article
(This article belongs to the Section AI Remote Sensing)
Show Figures

Graphical abstract

47 pages, 17315 KB  
Article
RNN Architecture-Based Short-Term Forecasting Framework for Rooftop PV Surplus to Enable Smart Energy Scheduling in Micro-Residential Communities
by Abdo Abdullah Ahmed Gassar, Mohammad Nazififard and Erwin Franquet
Buildings 2026, 16(2), 390; https://doi.org/10.3390/buildings16020390 - 17 Jan 2026
Viewed by 107
Abstract
With growing community awareness of greenhouse gas emissions and their environmental consequences, distributed rooftop photovoltaic (PV) systems have emerged as a sustainable energy alternative in residential settings. However, the high penetration of these systems without effective operational strategies poses significant challenges for local [...] Read more.
With growing community awareness of greenhouse gas emissions and their environmental consequences, distributed rooftop photovoltaic (PV) systems have emerged as a sustainable energy alternative in residential settings. However, the high penetration of these systems without effective operational strategies poses significant challenges for local distribution grids. Specifically, the estimation of surplus energy production from these systems, closely linked to complex outdoor weather conditions and seasonal fluctuations, often lacks an accurate forecasting approach to effectively capture the temporal dynamics of system output during peak periods. In response, this study proposes a recurrent neural network (RNN)- based forecasting framework to predict rooftop PV surplus in the context of micro-residential communities over time horizons not exceeding 48 h. The framework includes standard RNN, long short-term memory (LSTM), bidirectional LSTM (BiLSTM), and gated recurrent unit (GRU) networks. In this context, the study employed estimated surplus energy datasets from six single-family detached houses, along with weather-related variables and seasonal patterns, to evaluate the framework’s effectiveness. Results demonstrated the significant effectiveness of all framework models in forecasting surplus energy across seasonal scenarios, with low MAPE values of up to 3.02% and 3.59% over 24-h and 48-h horizons, respectively. Simultaneously, BiLSTM models consistently demonstrated a higher capacity to capture surplus energy fluctuations during peak periods than their counterparts. Overall, the developed data-driven framework demonstrates potential to enable short-term smart energy scheduling in micro-residential communities, supporting electric vehicle charging from single-family detached houses through efficient rooftop PV systems. It also provides decision-making insights for evaluating renewable energy contributions in the residential sector. Full article
(This article belongs to the Section Building Energy, Physics, Environment, and Systems)
Show Figures

Figure 1

27 pages, 32247 KB  
Article
A Dual-Resolution Network Based on Orthogonal Components for Building Extraction from VHR PolSAR Images
by Songhao Ni, Fuhai Zhao, Mingjie Zheng, Zhen Chen and Xiuqing Liu
Remote Sens. 2026, 18(2), 305; https://doi.org/10.3390/rs18020305 - 16 Jan 2026
Viewed by 91
Abstract
Sub-meter-resolution Polarimetric Synthetic Aperture Radar (PolSAR) imagery enables precise building footprint extraction but introduces complex scattering correlated with fine spatial structures. This change renders both traditional methods, which rely on simplified scattering models, and existing deep learning approaches, which sacrifice spatial detail through [...] Read more.
Sub-meter-resolution Polarimetric Synthetic Aperture Radar (PolSAR) imagery enables precise building footprint extraction but introduces complex scattering correlated with fine spatial structures. This change renders both traditional methods, which rely on simplified scattering models, and existing deep learning approaches, which sacrifice spatial detail through multi-looking, inadequate for high-precision extraction tasks. To address this, we propose an Orthogonal Dual-Resolution Network (ODRNet) for end-to-end, precise segmentation directly from single-look complex (SLC) data. Unlike complex-valued neural networks that suffer from high computational cost and optimization difficulties, our approach decomposes complex-valued data into its orthogonal real and imaginary components, which are then concurrently fed into a Dual-Resolution Branch (DRB) with Bilateral Information Fusion (BIF) to effectively balance the trade-off between semantic and spatial details. Crucially, we introduce an auxiliary Polarization Orientation Angle (POA) regression task to enforce physical consistency between the orthogonal branches. To tackle the challenge of diverse building scales, we designed a Multi-scale Aggregation Pyramid Pooling Module (MAPPM) to enhance contextual awareness and a Pixel-attention Fusion (PAF) module to adaptively fuse dual-branch features. Furthermore, we have constructed a VHR PolSAR building footprint segmentation dataset to support related research. Experimental results demonstrate that ODRNet achieves 64.3% IoU and 78.27% F1-score on our dataset, and 73.61% IoU with 84.8% F1-score on a large-scale SLC scene, confirming the method’s significant potential and effectiveness in high-precision building extraction directly from SLC. Full article
Show Figures

Figure 1

26 pages, 24862 KB  
Article
Radio Frequency Signal Recognition of Unmanned Aerial Vehicle Based on Complex-Valued Convolutional Neural Network
by Yibo Xin, Junsheng Mu, Xiaojun Jing and Wei Liu
Sensors 2026, 26(2), 620; https://doi.org/10.3390/s26020620 - 16 Jan 2026
Viewed by 156
Abstract
The rapid development of unmanned aerial vehicle (UAV) technology necessitates reliable recognition methods. Radio frequency (RF)-based recognition is promising, but conventional real-valued CNNs (RV-CNNs) typically discard phase information from RF spectrograms, leading to degraded performance under low-signal-to-noise ratio (SNR) conditions. To address this, [...] Read more.
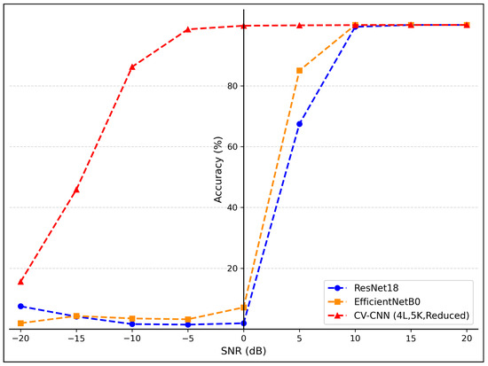
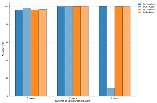
The rapid development of unmanned aerial vehicle (UAV) technology necessitates reliable recognition methods. Radio frequency (RF)-based recognition is promising, but conventional real-valued CNNs (RV-CNNs) typically discard phase information from RF spectrograms, leading to degraded performance under low-signal-to-noise ratio (SNR) conditions. To address this, this paper proposes a complex-valued CNN (CV-CNN) that operates on a constructed complex representation, where the real part is the logarithmic power spectral density (PSD) and the imaginary part is derived from Sobel edge detection. This enables genuine complex convolutions that fuse magnitude and structural cues, enhancing noise resilience. As complex-valued networks are known to be sensitive to architectural choices, we conduct comprehensive ablation experiments to investigate the impact of key hyperparameters on model performance, revealing critical stability constraints (e.g., performance collapse beyond 4–5 network depth). Evaluated on the 25-class DroneRFa dataset, the proposed model achieves 100.00% accuracy under noise-free conditions. Crucially, it demonstrates significantly superior robustness in low-SNR regimes: at −20 dB SNR, it attains 15.58% accuracy, over seven times higher than a dual-channel RV-CNN (2.20%) with identical inputs; at −15 dB, it reaches 45.86% versus 14.03%. These results demonstrate that the CV-CNN exhibits potentially superior robustness and interference resistance in comparison to its real-valued counterpart, maintaining high recognition accuracy even under low-SNR conditions. Full article
(This article belongs to the Section Communications)
Show Figures

Figure 1

21 pages, 1089 KB  
Article
Data Augmentation and Time–Frequency Joint Attention for Underwater Acoustic Communication Modulation Classification
by Mingyu Cao, Qi Chen, Jinsong Tang and Haoran Wu
J. Mar. Sci. Eng. 2026, 14(2), 172; https://doi.org/10.3390/jmse14020172 - 13 Jan 2026
Viewed by 118
Abstract
This paper presents a modulation signal classification and recognition algorithm based on data augmentation and time–frequency joint attention (DA-TFJA) for underwater acoustic (UWA) communication systems. UWA communication, as an important means of marine information transmission, plays a key role in fields such as [...] Read more.
This paper presents a modulation signal classification and recognition algorithm based on data augmentation and time–frequency joint attention (DA-TFJA) for underwater acoustic (UWA) communication systems. UWA communication, as an important means of marine information transmission, plays a key role in fields such as marine engineering, military reconnaissance, and marine science research. Accurate recognition of modulated signals is a core technology for ensuring the reliability of UWA communication systems. Traditional classification and recognition methods, mostly based on pure neural network algorithms, suffer from insufficient feature representation and limited generalization performance in complex and changing UWA channel environments. They also struggle to address complex factors such as multipath, Doppler shift, and noise interference, often resulting in scarce effective training samples and inadequate classification accuracy. To overcome these limitations, the proposed DA-TFJA algorithm simulates the characteristics of real UWA channels through two novel data augmentation strategies: the adaptive time–frequency transform enhancement algorithm (ATFT) and dynamic path superposition enhancement algorithm (DPSE). An end-to-end recognition network is developed that integrates a multiscale time–frequency feature extractor (MTFE), two-layer long short-term memory (LSTM) temporal modeling, and a time–frequency joint attention mechanism (TFAM). This comprehensive architecture achieves high-precision recognition of six modulation types, including 2FSK, 4FSK, BPSK, QPSK, DSSS, and OFDM. Experimental results demonstrate that compared with existing advanced methods, DA-TFJA achieves a classification accuracy of 98.36% on the measured reservoir dataset, representing an improvement of 3.09 percentage points, which fully verifies the effectiveness and practical value of the proposed approach. Full article
(This article belongs to the Section Ocean Engineering)
Show Figures

Figure 1

Back to TopTop