Sign in to use this feature.

Years

Between: -

Subjects

remove_circle_outline
remove_circle_outline
remove_circle_outline
remove_circle_outline
remove_circle_outline
remove_circle_outline
remove_circle_outline
remove_circle_outline
remove_circle_outline

Journals

remove_circle_outline
remove_circle_outline
remove_circle_outline
remove_circle_outline
remove_circle_outline
remove_circle_outline
remove_circle_outline

Article Types

Countries / Regions

remove_circle_outline
remove_circle_outline
remove_circle_outline
remove_circle_outline

Search Results (527)

Search Parameters:
Keywords = complex particle shapes

Order results
Result details
Results per page
Select all
Export citation of selected articles as:
37 pages, 4431 KB  
Review
Surface Acoustic Wave Devices: New Mechanisms, Enabling Techniques, and Application Frontiers
by Hongsheng Xu, Xiangyu Liu, Weihao Ye, Xiangyu Zeng, Akeel Qadir and Jinkai Chen
Micromachines 2026, 17(4), 494; https://doi.org/10.3390/mi17040494 - 17 Apr 2026
Abstract
Surface Acoustic Wave (SAW) technology, long central to analog signal processing and RF filtering, is undergoing a major renewal. Driven by advances that decouple SAWs from traditional piezoelectric materials and fixed-function devices, the field is gaining unprecedented control over acoustic, optical, and electronic [...] Read more.
Surface Acoustic Wave (SAW) technology, long central to analog signal processing and RF filtering, is undergoing a major renewal. Driven by advances that decouple SAWs from traditional piezoelectric materials and fixed-function devices, the field is gaining unprecedented control over acoustic, optical, and electronic interactions at the micro and nanoscale. This review synthesizes these developments across four fronts: new physical mechanisms for SAW manipulation, emerging material platforms, ranging from thin films to 2D systems, along with reconfigurable device architectures and circuits, and the expanding landscape of applications they enable. Optical methods are reshaping how SAWs are generated and controlled, bypassing the limits of conventional electromechanical coupling. Coherent optical excitation of high-Q SAW cavities via Brillouin-like optomechanical interactions now grants access to modes in non-piezoelectric substrates such as diamond and silicon, while on-chip SAW excitation in photonic waveguides through backward stimulated Brillouin scattering opens new integrated sensing routes. In parallel, magneto-acoustic experiments have revealed nonreciprocal SAW diffraction from resonant scattering in magnetoelastic gratings. On the device side, ZnO thin-film transistors integrated on LiNbO3 exploit acoustoelectric coupling to realize voltage-tunable phase shifters; UHF Z-shaped delay lines achieve high sensitivity in a compact footprint; and parametric synthesis of wideband, multi-stage lattice filters targets 5G-class performance. Atomistic simulations show that SAW propagation in 2D MXene films can be engineered via surface terminations, while aerosol jet printing and SAW-assisted particle patterning provide agile, cleanroom-light fabrication of microfluidic and magnetic components. These advances enable applications ranging from hybrid quantum systems and quantum links to lab-on-a-chip particle control, SBS-based and UHF sensing, reconfigurable RF front-ends, and soft robotic actuators based on patterned magnetic composites. At the same time, optical techniques offer non-contact probes of dissipation, and MXenes and other emerging materials open new regimes of acoustic control. Conclusively, they are transforming SAW technology into a versatile, programmable platform for mediating complex interactions in next-generation electronic, photonic, and quantum systems. Full article
(This article belongs to the Special Issue Surface and Bulk Acoustic Wave Devices, 2nd Edition)
Show Figures

Graphical abstract

22 pages, 17148 KB  
Article
Impact of Xanthan Gum on the Storage Stability of Pickering Emulsions Stabilized by Myofibrillar Protein Microgel Particles
by Yi Yang, Jingwei Ye, Chenju Zhang, Linjing Gao, Hongbin Lin, Qisheng Zhang, Jiaxin Chen and Rongrong Yu
Foods 2026, 15(8), 1398; https://doi.org/10.3390/foods15081398 - 17 Apr 2026
Abstract
Myofibrillar protein microgel particles (MMP) are promising Pickering stabilisers due to their structure and delivery potential. However, their fibrous, irregular shape promotes aggregation, limiting practical use. This study investigated the effect of xanthan gum (XG) concentration (0.025–0.4%) on MMP dispersion in water and [...] Read more.
Myofibrillar protein microgel particles (MMP) are promising Pickering stabilisers due to their structure and delivery potential. However, their fibrous, irregular shape promotes aggregation, limiting practical use. This study investigated the effect of xanthan gum (XG) concentration (0.025–0.4%) on MMP dispersion in water and its role in stabilising Pickering emulsions. FTIR and interaction analysis revealed that hydrophobic interactions dominate between XG and MMP, followed by hydrogen bonding and electrostatic forces. At higher XG concentrations (0.2–0.4%), complex particle size decreased from 5.21 μm to 4.49 μm, the contact angle increased from 57.67° to 77.33°, and a uniform dispersed state was achieved. Although increasing XG gradually reduced the emulsifying activity of MMP, it significantly improved the emulsion stability. Microstructure analysis showed that at low XG concentrations, emulsions exhibited phase separation. Rheological measurements indicated that XG-MMP complexes increased continuous-phase viscosity and shear resistance, enhancing macroscopic stability. In summary, at a critical XG concentration of 0.2%, the emulsion undergoes a transition from aggregation-driven instability to network-mediated stabilisation, achieved through the interfacial layer with spatial confinement by a weak aqueous-phase network. This work provides a theoretical foundation and a practical design strategy for fabricating highly stable, tuneable Pickering emulsions based on protein microgel particles. Full article
Show Figures

Graphical abstract

13 pages, 2648 KB  
Article
Virtual Optical Waveguides for Particle Transport and Sorting
by Liuhao Zhu, Xiaohe Zhang, Xiang Zang, Jun He, Bing Gu and Xi Xie
Photonics 2026, 13(4), 378; https://doi.org/10.3390/photonics13040378 - 16 Apr 2026
Viewed by 49
Abstract
Precise manipulation and directed transport of micro- and nano-particles are cornerstones of emerging lab-on-a-chip technologies. Traditional optofluidic systems that combine optical tweezers with microfluidic channels enable long-range transport. However, they rely on fixed physical boundaries that lack reconfigurability. To bridge this gap, we [...] Read more.
Precise manipulation and directed transport of micro- and nano-particles are cornerstones of emerging lab-on-a-chip technologies. Traditional optofluidic systems that combine optical tweezers with microfluidic channels enable long-range transport. However, they rely on fixed physical boundaries that lack reconfigurability. To bridge this gap, we propose a reconfigurable virtual optical waveguide (VOW) based on a discretized beam-shaping strategy. By superposing two orthogonally polarized shaped beams, we construct interference-free optical channels without physical boundaries. This platform enables programmable transport along complex trajectories, including space-filling Hilbert curves that maximize interaction path length, and shields the transport channel from perturbations induced by surrounding particles. Crucially, the VOW offers multi-dimensional sorting capabilities: (i) it performs precise size-dependent sieving via tunable channel widths, and (ii) it functions as an intrinsic material filter by stably guiding scattering-dominated particles (e.g., gold) while rejecting gradient-dominated dielectric ones. This work establishes a versatile, contactless strategy for adaptive optical logistics and on-chip material purification. Full article
(This article belongs to the Special Issue Advances in Spin-Orbit Coupling of Light)
Show Figures

Figure 1

19 pages, 2284 KB  
Article
Multiscale Kinetic Model for Immune Reaction in Coeliac Disease
by Diletta Burini, Damian A. Knopoff and Lidia Serrano
Mathematics 2026, 14(8), 1333; https://doi.org/10.3390/math14081333 - 16 Apr 2026
Viewed by 69
Abstract
This paper presents a multiscale model that captures the complex dynamics of coeliac disease, a chronic T-cell-mediated autoimmune disorder triggered by gluten ingestion in genetically susceptible individuals. Grounded in the mathematical kinetic theory of active particles, the model captures the intricate dynamics of [...] Read more.
This paper presents a multiscale model that captures the complex dynamics of coeliac disease, a chronic T-cell-mediated autoimmune disorder triggered by gluten ingestion in genetically susceptible individuals. Grounded in the mathematical kinetic theory of active particles, the model captures the intricate dynamics of the immunological cascade that leads to small intestinal damage, involving complex interactions across molecular, cellular, and tissue scales. This approach explicitly models the different functional subsystems involved and examines the role of molecular messengers in shaping these dynamics, focusing on gluten recognition and immune system activation. Simulations demonstrate that the model can reproduce significant clinical and biological observations of coeliac disease, suggesting its potential to inform therapeutic strategies. Full article
Show Figures

Figure 1

23 pages, 4010 KB  
Article
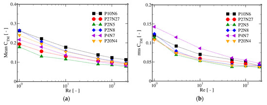
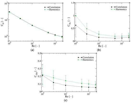
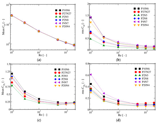
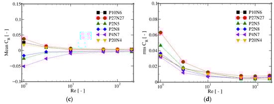
Aerodynamic Transport Characteristics of Irregular Harmonic Particles at Finite Reynolds Numbers
by Carlos Castang, Daniela Chavarro and Santiago Laín
Processes 2026, 14(8), 1255; https://doi.org/10.3390/pr14081255 - 15 Apr 2026
Viewed by 226
Abstract
This study presents the characterization of the aerodynamic forces and moments acting on irregular particles of prescribed sphericity, generated through truncated spherical harmonic expansions and immersed in a uniform flow at intermediate Reynolds numbers (1 ≤ Re ≤ 200). Particle-resolved direct numerical simulations [...] Read more.
This study presents the characterization of the aerodynamic forces and moments acting on irregular particles of prescribed sphericity, generated through truncated spherical harmonic expansions and immersed in a uniform flow at intermediate Reynolds numbers (1 ≤ Re ≤ 200). Particle-resolved direct numerical simulations are conducted using the commercial solver ANSYS Fluent to quantify the statistical behavior of drag, transverse lift, and transverse torque coefficients, along with the corresponding force and moment components, as a function of Reynolds number. Deviations from spherical geometry are shown to induce persistent flow asymmetries, leading to finite transverse lift and torque components even under uniform inflow conditions, effects that cannot be captured by models based on dynamically equivalent spheres. For a sphericity of 0.93, represented by six particle realizations, irregular particles exhibit mean drag values approximately 10% higher than those of spheres with the same equivalent diameter. In addition, both the magnitude and the statistical characteristics of the aerodynamic coefficients are strongly modulated by the combined effects of particle shape irregularity and flow regime. These results provide new insight into the role of geometric complexity in fluid–particle interactions and represent a step forward toward improved predictive capability beyond conventional spherical and quasi-spherical approximations. Furthermore, the present findings provide a physically grounded basis for the development of fluid–particle interaction models for irregular particles, suitable for implementation within Euler–Lagrange simulations of turbulent dispersed flows. Full article
Show Figures

Figure 1

23 pages, 11366 KB  
Article
A Process-Based DEM-Pore-Network Framework for Linking Granular Deposition and Particle Irregularity to Directional Permeability
by Yurou Hu, Yinger Deng, Lin Chen, Ning Wang and Pengjie Li
Water 2026, 18(7), 856; https://doi.org/10.3390/w18070856 - 2 Apr 2026
Viewed by 353
Abstract
Granular deposition and grading strongly influence pore-space topology and hence hydraulic conductivity in natural and engineered porous media, yet quantitative links between deposition sequence, particle-scale morphology, pore-network descriptors, and permeability anisotropy remain incomplete. Here, we develop a process-based digital porous-media framework that couples [...] Read more.
Granular deposition and grading strongly influence pore-space topology and hence hydraulic conductivity in natural and engineered porous media, yet quantitative links between deposition sequence, particle-scale morphology, pore-network descriptors, and permeability anisotropy remain incomplete. Here, we develop a process-based digital porous-media framework that couples discrete element method (DEM) deposition with pore-network characterization and Darcy-scale permeability evaluation. Two deposition sequences—normal grading (coarse-to-fine) and reverse grading (fine-to-coarse)—are simulated using bi-disperse particle sets with controlled size ratios. To further isolate the role of particle morphology, particle irregularity is parameterized by a Perlin-noise-based shape perturbation factor and incorporated into the DEM-generated packings. For each packing, pore networks are extracted and quantified in terms of pore/throat size distributions and connectivity, while pore-space complexity is measured via box-counting fractal dimension. Single-phase flow is solved under imposed pressure gradient, and intrinsic permeability is computed along three orthogonal directions to evaluate anisotropy. Results show that increasing size contrast reduces porosity, shifts pore and throat distributions toward smaller characteristic radii, increases pore-space fractal dimension, and yields a monotonic permeability reduction. For identical size ratios, reverse grading consistently yields higher permeability than normal grading, suggesting that deposition sequence exerts a strong control on the continuity and efficiency of effective flow pathways at the sample scale. Increasing particle irregularity decreases permeability and systematically modifies permeability anisotropy, transitioning from weak horizontal anisotropy toward near-isotropy and, at strong irregularity, toward preferential vertical permeability. The proposed framework provides a reproducible route to relate depositional history and particle morphology to pore-network structure and directional permeability, offering implications for filtration, packed-bed design, and sedimentary reservoir characterization. Full article
(This article belongs to the Section Water Erosion and Sediment Transport)
Show Figures

Figure 1

22 pages, 5489 KB  
Article
Mechanisms of Coarse Particle Transport in a Right-Angle Elbow Pipe: A Conjunctive PIV and CFD-DEM Study
by Yutong Han and Yijun Shen
Appl. Sci. 2026, 16(6), 2888; https://doi.org/10.3390/app16062888 - 17 Mar 2026
Viewed by 247
Abstract
The transport mechanism of non-spherical particles in complex pipelines, such as right-angle elbows, remains insufficiently understood, posing challenges to the efficiency optimization of industrial systems like deep-sea mining. This study investigates the fundamental mechanisms governing the upward transport of 1–15 mm non-spherical particles [...] Read more.
The transport mechanism of non-spherical particles in complex pipelines, such as right-angle elbows, remains insufficiently understood, posing challenges to the efficiency optimization of industrial systems like deep-sea mining. This study investigates the fundamental mechanisms governing the upward transport of 1–15 mm non-spherical particles in a 100 mm right-angle bend by integrating Particle Image Velocimetry (PIV) experiments with coupled computational fluid dynamics and discrete element method (CFD-DEM) simulations. We systematically quantify the effects of key factors—flow velocity, particle size distribution, and shape factor (ranging from 0.4 to 1)—on flow asymmetry, particle dynamics, and transport efficiency. The results reveal a pronounced flow asymmetry, where the outer-side peak velocity is approximately twice that of the inner side, accompanied by a persistent separation vortex. Crucially, transport efficiency is governed by particle interactions: wide-grading blends achieve up to 12% higher conveying speed than narrow fractions at high flow rates. While spherical particles (shape factor, SF = 1) attain the highest axial velocity, particles with SF ≥ 0.8 are identified as optimal, maintaining moderate rotation, concentrating in the central high-speed zone, and thereby combining high transport velocity with minimal wall contact. These findings elucidate the underlying particle–fluid interactions in bends and provide a quantitative basis for optimizing particle morphology in industrial hydraulic transport systems. Full article
Show Figures

Figure 1

33 pages, 1928 KB  
Review
Neurophysiological and Behavioral Effects of Micro- and Nanoplastics in Aquatic Organisms
by Rachelle M. Belanger and Levi Storks
Animals 2026, 16(6), 941; https://doi.org/10.3390/ani16060941 - 17 Mar 2026
Viewed by 594
Abstract
Industrialization has caused extensive environmental change, including a global surge in plastic production and pollution. This has resulted in the accumulation of microplastics (MPs; <5 mm) and nanoplastics (NPs; <1 μm) in ecosystems worldwide. MPs originate from both primary sources, such as cosmetics [...] Read more.
Industrialization has caused extensive environmental change, including a global surge in plastic production and pollution. This has resulted in the accumulation of microplastics (MPs; <5 mm) and nanoplastics (NPs; <1 μm) in ecosystems worldwide. MPs originate from both primary sources, such as cosmetics and industrial applications, and secondary sources, through the degradation of larger plastic debris. As a result, MPs and NPs have become ubiquitous contaminants, posing significant toxicological risks to living organisms. These persistent pollutants are diverse polymers that vary in size, shape, and chemical composition, making their impacts on organism physiology complex and difficult to disentangle. Plastic pollution is particularly severe in aquatic environments, where particles accumulate from terrestrial sources such as urban dust, agricultural runoff, industrial discharges, and wastewater effluents. Although most research has centered on marine ecosystems, emerging evidence indicates that freshwater environments may contain comparable or even higher concentrations of MPs. Once inside the body, MPs can translocate into tissues and exert toxic effects on multiple organ systems. Collectively, plastic pollution poses not only physiological but also neurological and behavioral risks to aquatic life, with potential consequences for ecosystem stability and trophic interactions. Both MPs and NPs are sufficiently small to cross the blood–brain barrier, raising concerns about their potential impacts on the nervous system by interfering with neuronal function and brain development. Plastic particles can accumulate in neural tissues, inducing oxidative stress, neuroinflammation, and disruption of neurotransmitter signaling. Such neurotoxic effects are linked to altered locomotion, feeding, predator avoidance, and social behaviors across multiple species. This review examines current evidence on the neurotoxic effects of plastic pollution in aquatic organisms and underscores the urgent need for further research and action to mitigate its impact. In light of escalating plastic production and inadequate waste management, the growing evidence that MPs and NPs disrupt aquatic nervous systems, behavior, and ecosystem stability underscores an urgent need for intensified research, improved mitigation strategies, particularly for nanoplastics, and the accelerated development of truly safe and sustainable alternatives. Full article
(This article belongs to the Special Issue Ecotoxicology in Aquatic Animals: 2nd Edition)
Show Figures

Graphical abstract

25 pages, 5765 KB  
Article
Innovative Inclusion Complexes Clotrimazole: Hydroxypropyl-β-Cyclodextrin-Modified Polyurethane Networks as Carriers for Slow Drug Delivery
by Suzana M. Cakić, Snežana S. Ilić-Stojanović, Ljubiša B. Nikolić, Vesna D. Nikolić, Ivan S. Ristić, Gordana S. Marković and Nada Č. Nikolić
Biomedicines 2026, 14(3), 666; https://doi.org/10.3390/biomedicines14030666 - 14 Mar 2026
Viewed by 456
Abstract
Background/Objectives: Inclusion complexes among drugs and cyclodextrin-modified polymers are a topic of recent interest in pharmaceutical research and industry as they might expand the solubility, bioavailability, and stability of the guest molecules. Polyurethanes derived from cyclodextrins show some biomedical applications. In this [...] Read more.
Background/Objectives: Inclusion complexes among drugs and cyclodextrin-modified polymers are a topic of recent interest in pharmaceutical research and industry as they might expand the solubility, bioavailability, and stability of the guest molecules. Polyurethanes derived from cyclodextrins show some biomedical applications. In this study, two cross-linked polyurethane networks based on hydroxypropyl-β-cyclodextrin (HPβCD) and polyethylene glycols (PEG 2000 or PEG 6000) were synthesized with NCO/OH molar ratio 4.3 and 6.3 by the typical two-step polymerization method. Methods: Inclusion complexes of clotrimazole (CLOT) with two HPβCD-modified polyurethane networks and their corresponding physical mixtures were prepared using kneading methods and physical mixing in a 1:6 weight ratio of CLOT:HPβCD. Results: Obtained prepolymers, previously end-capped with isocyanate groups forming urethane links with HPβCD, which were confirmed by FTIR analysis. TGA results indicate a slight increase in thermal stability of the prepared complexes. The characteristic endothermic peak of the CLOT at around 145.90 °C did not appear in the DSC curve of the drug-loaded inclusion complexes. The XRD patterns of physical mixtures showed specific peaks corresponding to pure clotrimazole. SEM micrographs confirmed an elliptical/spherical- and plate-shaped particles without phase segregation, indirectly confirming that CLOT is not separately present due to inclusion into HPβCD and entrapment into polyurethane networks. Novel complexes PUR2/HPβCD-CLOT-IC and PUR3/HPβCD-CLOT-IC were applied as drug carriers, and diffusion-controlled kinetics of CLOT release were best described using Higuchi model. Conclusions: The obtained in vitro results showed surprisingly slow/prolonged clotrimazole release from modified polyurethane networks due to the significant influence of NCO/OH molar ratio and the chosen polyol soft segments chain length with potential in vivo applications. Full article
(This article belongs to the Special Issue Drug Delivery and Nanocarrier)
Show Figures

Figure 1

12 pages, 2230 KB  
Article
Microwave-Assisted Rapid Synthesis of Metallic Iron Nanoparticles from Triiron Dodecacarbonyl
by Ehsan Ezzatpour Ghadim, Yisong Han and Festus Mathuen Slade
Nanomaterials 2026, 16(6), 353; https://doi.org/10.3390/nano16060353 - 13 Mar 2026
Viewed by 521
Abstract
Zero-valent iron (Fe(0)) nanoparticles have a wide range of applications, including catalysis, energy storage, and even reported roles in human neurochemistry. This study demonstrated that [Fe3(CO)12] dissolves in N,N-Dimethylformamide (DMF) within a minute to resolve the dissolution problem of [...] Read more.
Zero-valent iron (Fe(0)) nanoparticles have a wide range of applications, including catalysis, energy storage, and even reported roles in human neurochemistry. This study demonstrated that [Fe3(CO)12] dissolves in N,N-Dimethylformamide (DMF) within a minute to resolve the dissolution problem of this complex. Dodecylamine (DDA) was used to produce DDA-coated Fe(0) at 383 K in 30 s with a microwave reactor. The powder X-ray diffraction (PXRD) of the Fe(0) profile indicated a pure-phase face-centred cubic (FCC) structure with Fm3¯m space group. Varying the synthesis time from 30 s to 5 min did not significantly affect the unit cell parameters (3.5276 (±0.0001) and 3.5391 (±0.0001) Å). Microwave use yielded well-dispersed, pure Fe(0) nanoparticles, and the particle size, shape, elemental analysis, and surface oxidation of the Fe(0) nanoparticles were studied using scanning electron microscopy and dispersive X-ray spectroscopy (SEM/EDX). Annular Dark-Field Scanning Transmission Electron Microscopy (ADF-STEM) and Fourier-transform infrared (FT-IR) spectroscopy confirmed the surface coating of Fe(0) nanoparticles with DDA. Thermogravimetric analysis (TGA) was used to demonstrate the surface adsorption of DDA on Fe(0) nanoparticles. In addition, STEM showed that the average nanoparticle size under the stated synthesis conditions was 25.7 nm. This comparatively straightforward procedure offers advantages over existing practical approaches to the synthesis of Fe(0) nanoparticles, including safety, speed and reaction control. Full article
(This article belongs to the Section Synthesis, Interfaces and Nanostructures)
Show Figures

Graphical abstract

16 pages, 6202 KB  
Article
Fabrication and Properties of Axially Compressed Isotropic Epoxy-Bonded NdFeB Magnets with Partial Rare-Earth Substitution
by Evangelia Dimeli, Dimitrios I. Anyfantis, Athanasios Sigalos, Alexandros Banis and Dimitrios Niarchos
Micro 2026, 6(1), 19; https://doi.org/10.3390/micro6010019 - 9 Mar 2026
Viewed by 469
Abstract
This work investigates the fabrication and performance of axially compressed isotropic epoxy-bonded NdFeB-type magnets produced from melt-spun powders with partial substitution of (Nd,Pr) by (La,Ce). Four alloy compositions were synthesized and processed into bonded magnets using two powder-to-binder weight ratios (95:5 and 96.5:3.5). [...] Read more.
This work investigates the fabrication and performance of axially compressed isotropic epoxy-bonded NdFeB-type magnets produced from melt-spun powders with partial substitution of (Nd,Pr) by (La,Ce). Four alloy compositions were synthesized and processed into bonded magnets using two powder-to-binder weight ratios (95:5 and 96.5:3.5). Structural analysis confirms that all substituted alloys retain the tetragonal Nd2Fe14B phase (up to ~95 wt%) even at high substitution levels, while the lattice parameters decrease slightly with increasing (La,Ce) content. Microscopy analysis confirms a homogeneous distribution of the binder phase around the powder particles, demonstrating uniform binder–powder integration. Thermal analysis reveals composition-dependent Curie temperatures and enhanced crystallization onset in highly substituted powders. Magnetic measurements on both powders and bonded magnets show that increasing substitution leads to a gradual reduction in remanence, coercivity, and energy product, though all samples maintain strong hard-magnetic behavior. Increasing the powder fraction to 96.5 wt.% significantly improves all magnetic parameters due to higher magnetic-phase density and enhanced interparticle coupling, yielding bonded magnets with densities up to ~80% of the theoretical value. The resulting magnets achieve competitive performance, uniform field distribution and isotropic magnetization with (BH)max values about 65 kJ/m3, a coercivity around 660 kA/m, and superior thermal stability compared with commercial bonded NdFeB magnets. Overall, partial substitution with light rare-earth elements (La,Ce) provides a cost-effective route to high-density bonded NdFeB magnets that combine strong magnetic performance, enhanced thermal stability, and suitability for lightweight, complex-shaped industrial applications. Surprisingly, the coefficients of the temperature variation of coercivity and (BH)max are much better compared to the commercial NdFeB bonded magnets. Full article
(This article belongs to the Section Microscale Materials Science)
Show Figures

Figure 1

22 pages, 2411 KB  
Review
Granular Jamming in Soft Robotics: Simulation Frameworks and Emerging Possibilities—Review
by Stella Hrehova, Alexander Hošovský, Jozef Husár and Tibor Krenický
Biomimetics 2026, 11(3), 193; https://doi.org/10.3390/biomimetics11030193 - 6 Mar 2026
Viewed by 950
Abstract
Soft robotics has become a dynamic field that emphasizes adaptability and safe interaction with complex environments. These structures utilize deformable materials and continuum mechanics to adapt their shape, absorb shocks, and perform tasks in unstructured environments. However, the design and optimization of these [...] Read more.
Soft robotics has become a dynamic field that emphasizes adaptability and safe interaction with complex environments. These structures utilize deformable materials and continuum mechanics to adapt their shape, absorb shocks, and perform tasks in unstructured environments. However, the design and optimization of these systems is challenging, primarily due to the nonlinear and discontinuous behavior of granular materials. In this paper, we address the role of simulation frames as an important tool for understanding, designing, and extending the functionality of software robotic devices utilizing granular jamming. The analysis suggests that DEM is essential for capturing particle-level mechanisms, while FEM is more effective for system-level optimization but tends to smooth out the transition of jamming. Hybrid FEM–DEM approaches provide the highest physical accuracy, albeit at an increased computational cost. Overall, the findings emphasize that the choice of framework must be application-oriented and that multiphysics coupling represents the future development. The review gives an up-do-date review of the simulation tools and approaches for granular-jamming-based systems with a specific focus on continuum arms with a granular-jamming-based central backbone. Such methods can be used for the optimization the back-bone geometry and its filling material (shape, porosity, granule size) with possible use in the real-time control of such arms. Full article
(This article belongs to the Section Locomotion and Bioinspired Robotics)
Show Figures

Graphical abstract

20 pages, 4771 KB  
Article
Evolutionary Optimization of U-Net Hyperparameters for Enhanced Semantic Segmentation in Remote Sensing Imagery
by Laritza Pérez-Enríquez, Saúl Zapotecas-Martínez, Leopoldo Altamirano-Robles, Raquel Díaz-Hernández and José de Jesús Velázquez Arreola
Earth 2026, 7(2), 34; https://doi.org/10.3390/earth7020034 - 27 Feb 2026
Viewed by 413
Abstract
Remote sensing-based Earth observation provides essential spatial data for analyzing and monitoring both natural and urban environments. Precise characterization of objects in these scenes is vital for environmental management, land-use planning, and monitoring global change. Semantic segmentation of remote sensing imagery (RSI) is [...] Read more.
Remote sensing-based Earth observation provides essential spatial data for analyzing and monitoring both natural and urban environments. Precise characterization of objects in these scenes is vital for environmental management, land-use planning, and monitoring global change. Semantic segmentation of remote sensing imagery (RSI) is a fundamental yet complex task due to significant variability in object shape, scale, and distribution, as well as the complexity of multiscale landscapes captured by advanced sensors. Convolutional neural networks, especially the U-Net architecture, have achieved notable success in segmentation tasks. However, their application in remote sensing is often impeded by persistent issues such as loss of spatial detail, substantial intra- and inter-class variability, and high sensitivity to hyperparameter settings. Manual tuning of hyperparameters is typically inefficient and error-prone, which highlights the importance of heuristic methods for automated optimization. Genetic Algorithms (GAs), Differential Evolution (DE), and Particle Swarm Optimization (PSO) are metaheuristics that provide systematic approaches for exploring large hyperparameter spaces. This study investigates an evolutionary framework for the automated optimization of four critical U-Net hyperparameters—learning rate, number of training epochs, optimizer, and loss function—using micro-evolutionary algorithms. Specifically, micro Genetic Algorithms (micro-GAs), micro Differential Evolution (micro-DE), and micro Particle Swarm Optimization (micro-PSO) are employed to efficiently explore the hyperparameter search space under reduced population settings. The experimental results demonstrate that the proposed micro-evolutionary optimization framework consistently enhances segmentation performance, achieving improvements in Mean Intersection over Union (MIoU) ranging from 3% to 35%, along with systematic gains in overall accuracy across different datasets and configurations. Full article
Show Figures

Figure 1

14 pages, 6879 KB  
Article
Development of a Soda-Lime Glass Feedstock for Injection Molding
by Martin Zürn, Steffen Antusch, Dorit Nötzel, Annika Schrage, Heinz Walter and Thomas Hanemann
Materials 2026, 19(5), 854; https://doi.org/10.3390/ma19050854 - 25 Feb 2026
Viewed by 387
Abstract
Injection molding has been used for many years in the fabrication of thermoplastic parts with different complexities. With metal and ceramic injection molding, it is possible to realize at the end of the related process chain sintered metal and ceramic parts. Parts made [...] Read more.
Injection molding has been used for many years in the fabrication of thermoplastic parts with different complexities. With metal and ceramic injection molding, it is possible to realize at the end of the related process chain sintered metal and ceramic parts. Parts made from glass are rather seldom realized applying powder technology methods. This work describes the production of devices made from a commercial soda-lime glass applying the process chain of powder injection molding, covering the individual process steps like compounding, shaping, debinding, and sintering. In the first step, a binder consisting of polyethylene glycol (PEG) with different average molecular masses (4000, 8000, and 20,000 g/mol), polyvinyl butyral (PVB), and stearic acid (SA) were used for compounding new feedstocks with a solid load of 55 Vol% and 60 Vol%. As filler, a soda-lime glass with an average particle size of 6.1 µm, an almost symmetrical particle size distribution, a specific surface area of 0.78 m2/g, and a spherical morphology was applied. The measured equilibrium torque during compounding was low, with values between 2.5 and 5.5 Nm depending on the solid load and average molecular mass of the investigated PEG. All feedstock possessed a pseudoplastic flow behavior in the shear rate range between 10 and 3500 1/s. Small disk-shaped parts, as well as large cuboids and plates, were injection molded to a good quality. These green bodies were pre-debinded in water to remove the PEG, subsequently followed by thermal debinding to eliminate the remaining organic moieties. The concluding sintering in the temperature range between 660 and 680 °C delivered glass parts with huge density values close to 100% of the theoretical value, as measured by the Archimedes method. The principal feasibility of glass injection molding with a suitable feedstock system could be demonstrated successfully. Full article
(This article belongs to the Section Manufacturing Processes and Systems)
Show Figures

Figure 1

27 pages, 5691 KB  
Article
Development and Characterization of the Performance of a Novel Machinability-Enhancing Additive for Powder Metallurgy Steels
by Amin Molavi Kakhki and Carl Blais
Metals 2026, 16(3), 245; https://doi.org/10.3390/met16030245 - 25 Feb 2026
Viewed by 436
Abstract
Although powder metallurgy (PM) is known as a near-net-shape fabrication process, a large number of PM parts need to be machined for dimensional conformance or to produce complex geometrical features that cannot be achieved through compaction. However, due mainly to the presence of [...] Read more.
Although powder metallurgy (PM) is known as a near-net-shape fabrication process, a large number of PM parts need to be machined for dimensional conformance or to produce complex geometrical features that cannot be achieved through compaction. However, due mainly to the presence of porosity, the machinability of PM steels is difficult compared to that of wrought steels and can add 20% or more to the overall fabrication cost of PM parts. Among the various measures known to improve the machinability of PM steels, the addition of machining aids, either as admixed or pre-alloyed constituents, is the most popular. Manganese sulfide (MnS) is by far the most common machinability-enhancing additive used in the PM steel industry. Although it is extremely efficient in improving the machining response of PM steels, MnS is known to have detrimental effects on mechanical properties and corrosion resistance. Thus, the use of MnS involves a compromise between obtaining good machinability at the expense of lower mechanical properties and corrosion resistance. In this study, free graphite particles are introduced as a new additive that not only noticeably improves the machinability of PM steel components but also does not affect their mechanical properties or corrosion resistance. It was found that it is possible to obtain free graphite particles in press-and-sintered PM steel components by coating graphite particles with a metallic layer. This coating prevents graphite from diffusing into the iron matrix while creating metallurgical bonds with the surrounding steel matrix during sintering. In this research, graphite particles were coated with nickel and copper through a cementation process. A heat treatment was then performed on this newly developed material to obtain a more uniform single-layer coating and achieve dimensional changes during sintering that are similar to those measured when MnS is used as a machinability enhancer. The results showed that the tensile properties as well as the fatigue resistance of components made of FC-0208-type PM steel containing admixed copper/nickel-coated graphite particles are not affected by the presence of the latter. Moreover, the corrosion resistance of the samples containing copper/nickel-coated graphite was found to be the same as that of samples without the additive, which is a significant improvement on the case where MnS is used. The performance of the newly developed additive in terms of machinability was also characterized in drilling. It was found that this new additive has an identical machinability-enhancing performance to admixed MnS. Full article
(This article belongs to the Section Powder Metallurgy)
Show Figures

Figure 1

Back to TopTop