Next Article in Journal
Effect of Order on the Spin Gapless Semiconducting Behavior of Mn2CoAl
Previous Article in Journal
Electrospun DegraPol® Meshes with Incorporated Bakuchiol: Characterization and Tissue Integration In Ovo—A Pilot Study
 
 
Font Type:
Arial Georgia Verdana
Font Size:
Aa Aa Aa
Line Spacing:
Column Width:
Background:
Article

Fabrication and Properties of Axially Compressed Isotropic Epoxy-Bonded NdFeB Magnets with Partial Rare-Earth Substitution

by
Evangelia Dimeli
1,
Dimitrios I. Anyfantis
1,*,
Athanasios Sigalos
1,
Alexandros Banis
2 and
Dimitrios Niarchos
1,2
1
AMEN New Technologies, 15343 Athens, Greece
2
Institute of Nanoscience and Nanotechnology, National Centre for Scientific Research “Demokritos”, 15310 Athens, Greece
*
Author to whom correspondence should be addressed.
Micro 2026, 6(1), 19; https://doi.org/10.3390/micro6010019
Submission received: 3 December 2025 / Revised: 28 February 2026 / Accepted: 4 March 2026 / Published: 9 March 2026
(This article belongs to the Section Microscale Materials Science)

Abstract

This work investigates the fabrication and performance of axially compressed isotropic epoxy-bonded NdFeB-type magnets produced from melt-spun powders with partial substitution of (Nd,Pr) by (La,Ce). Four alloy compositions were synthesized and processed into bonded magnets using two powder-to-binder weight ratios (95:5 and 96.5:3.5). Structural analysis confirms that all substituted alloys retain the tetragonal Nd2Fe14B phase (up to ~95 wt%) even at high substitution levels, while the lattice parameters decrease slightly with increasing (La,Ce) content. Microscopy analysis confirms a homogeneous distribution of the binder phase around the powder particles, demonstrating uniform binder–powder integration. Thermal analysis reveals composition-dependent Curie temperatures and enhanced crystallization onset in highly substituted powders. Magnetic measurements on both powders and bonded magnets show that increasing substitution leads to a gradual reduction in remanence, coercivity, and energy product, though all samples maintain strong hard-magnetic behavior. Increasing the powder fraction to 96.5 wt.% significantly improves all magnetic parameters due to higher magnetic-phase density and enhanced interparticle coupling, yielding bonded magnets with densities up to ~80% of the theoretical value. The resulting magnets achieve competitive performance, uniform field distribution and isotropic magnetization with (BH)max values about 65 kJ/m3, a coercivity around 660 kA/m, and superior thermal stability compared with commercial bonded NdFeB magnets. Overall, partial substitution with light rare-earth elements (La,Ce) provides a cost-effective route to high-density bonded NdFeB magnets that combine strong magnetic performance, enhanced thermal stability, and suitability for lightweight, complex-shaped industrial applications. Surprisingly, the coefficients of the temperature variation of coercivity and (BH)max are much better compared to the commercial NdFeB bonded magnets.

1. Introduction

The discovery of NdFeB permanent magnet materials in 1983 revolutionized the field of rare-earth-based magnetic materials and stimulated extensive research on high-performance permanent magnets for a wide range of applications, including electric vehicles, wind turbines, robotics, and consumer electronics [1,2,3]. These magnets offer the highest energy product ( B H ) m a x among commercially available magnetic materials, making them indispensable for advanced electromechanical systems. However, the increasing demand for neodymium (Nd) and other critical rare-earth (RE) elements has raised significant concerns about their cost, supply stability, and environmental impact [4]. Consequently, research efforts have been directed toward developing Nd–Fe–B magnets with reduced Nd content or partial substitution by more abundant rare earths such as praseodymium (Pr), lanthanum (La), and cerium (Ce) [1,4].
Bonded Nd–Fe–B magnets, which are produced by combining magnetic powders with a polymeric binder, have emerged as an attractive alternative to conventional sintered magnets [3,5]. These materials offer several advantages, including the ability to produce complex shapes with tight dimensional tolerances, high electrical resistivity, low eddy current losses, and excellent mechanical properties. Among various binder systems, epoxy resins have been extensively used due to their good adhesion, chemical stability, and ability to form strong three-dimensional crosslinked networks [5,6]. Depending on the processing method, bonded magnets can be either isotropic or anisotropic. In isotropic magnets, the randomly oriented grains simplify fabrication and eliminate the need for magnetic field alignment, although the magnetic performance is typically lower than that of anisotropic magnets [5,7].
Compression molding is one of the most effective fabrication techniques for bonded magnets, enabling high powder loading and density—up to 80–85% of the theoretical maximum—compared to injection molding, which typically achieves around 65% [8,9]. The process involves compacting the powder–binder mixture under high pressure and subsequently curing the resin to achieve mechanical integrity. Increasing the density of the bonded magnet is crucial because magnetic properties such as remanence ( B r ) and energy product ( ( B H ) m a x ) are directly related to the volume fraction of magnetic material in the composite [8]. Axial compression molding, in particular, allows the production of magnets with a high density and uniformity along the compression axis, which is essential for high-performance applications [8].
While compression molding of epoxy-bonded NdFeB magnets has been widely investigated, most previous studies have focused on Nd-rich compositions or on limited substitution levels of light rare-earth elements, typically not exceeding 30–40% of the rare-earth sublattice [10,11]. In addition, the reported bonded systems often employ moderate powder loadings (≤95 wt.%), resulting in densities and magnetic performances that remain significantly lower than those of sintered magnets, thereby limiting their applicability in demanding operating conditions [12,13]. Studies combining high rare-earth substitution levels with high-density axial compression molding are scarce, and systematic investigations of their combined effects on magnetic performance and thermal stability are still lacking.
The present work addresses this gap by demonstrating the fabrication of axially compressed isotropic epoxy-bonded NdFeB magnets with high substitution levels of (Nd,Pr) by (La,Ce), reaching 75% of the rare-earth sublattice, while preserving the dominant tetragonal Nd2Fe14B phase. By employing optimized axial compression molding with powder loadings up to 96.5 wt.%, bonded magnets with densities approaching ~80% of the theoretical value are achieved. Scanning electron microscopy (SEM) analysis confirms homogeneous phase distribution and a well-defined powder–binder interface. Furthermore, the resulting magnets exhibit unusually low temperature coefficients of coercivity and energy product, outperforming commercial bonded NdFeB magnets in thermal stability. These results demonstrate that high-density compression molding combined with extensive light rare-earth (La,Ce) substitution constitutes a viable route toward cost-effective bonded magnets with competitive performance.

2. Materials and Methods

A series of NdFeB-type alloys with the general composition (Nd,Pr)28−x(La,Ce)x(Co,Zr)~2B~1Febal (weight%) were synthesized using the melt-spinning (MS) technique [13]. The compositional design incorporated gradual substitution of neodymium–praseodymium (Nd,Pr) with lanthanum–cerium (La,Ce) to investigate the effect of rare-earth substitution on the magnetic properties of the resulting powders. The substitution ratio was defined as
r sub = ( L a , C e ) ( N d , P r ) + ( L a , C e )
Four alloy compositions were used, corresponding to four different x-values as shown in Table 1, with x = 0 signifying no substitutions, and thus representing the reference NdFeB permanent magnet. Each powder was mixed with an epoxy solution to create the axially compressed isotropic bonded magnets, following the steps depicted in the fabrication flow chart in Figure 1 and explained below.
The epoxy used in these experiments consisted of XD4447 resin and XD4448 hardener (Robnor ResinLab Ltd., Swindon, UK)), mixed in a weight ratio of 100:30 with a magnetic stirrer. The substances were stirred in a plastic cup under ambient air and in acetone for better homogeneity. The mixture was then transferred to a ceramic container and pre-dried at 100 °C for approximately 30 min, or until the acetone was completely evaporated.
Initially, a small amount of Licowax (Supelco Solutions, Darmstadt, Germany) was manually mixed with the magnetic powder, carefully coating all the grains, thereby improving the integration with the epoxy in the following step. The respective magnetic powder was then combined with the epoxy mixture in acetone [14] using a magnetic stirrer, at two carefully selected weight ratios: 95:5 and 96.5:3.5, as presented in detail in Table 2. The 95:5 ratio was chosen to ensure improved mechanical properties while maintaining adequate magnetic performance, whereas the 96.5:3.5 ratio prioritized the magnetic properties over the mechanical strength [9,13,14].
The resulting mixture was left at room temperature until the acetone evaporated. An 8 mm diameter cylindrical die was then filled with the powder–epoxy mixture and placed in a hydraulic press, applying ~500 MPa for 5–10 min. Preliminary trials indicated that the pressing duration impacts both the density and surface texture of the resulting pellet. Subsequently, the pellets were placed on a ceramic plate and cured in a furnace at 150 °C for 2 h in air atmosphere, sufficient for the solidification of the epoxy.
Immediately after curing, the pellets were magnetized using a 2.2 T magnetic field. While pellets can also be magnetized after cooling—at room temperature—it was observed that maximum magnetization is achieved when the samples are magnetized while still hot. At elevated temperatures, the magnetic particles and magnetic domains within the material can more easily reorient along the applied field, leading to higher remanence and improved magnetic performance [14].
The density of the samples has been determined by two methods: the Archimedes principle [9,14,15] and by measuring the weight and the dimensions of the magnets [9,16]. Both methods gave the same results, validating the data shown in Table 2.
The structural characterization of the melt-spun magnetic powders was performed using powder X-ray diffraction (XRD) on a Rigaku (MiniFlex600, Tokyo, Japan) Diffractometer (600 W) equipped with Cu Kα radiation and operated in Bragg–Brentano geometry. The diffraction patterns were analyzed by Rietveld refinement via FULLPROF software (version January 2023) [17]. The particle size distribution of the melt-spun NdFeB powders was measured by Mastersizer Laser diffraction particle size analysis (Malvern Panalytical, Malvern, UK) under dry dispersion conditions complemented by scanning electron microscopy (SEM) for morphology verification, yielding volume-based cumulative and density distributions (D10, D50, D90), mean diameters, and specific surface areas. The surface morphology and elemental composition of the new specimens were examined using a Quanta Inspect scanning electron microscope (FEI, Hillsboro, OR, USA) and by energy-dispersive X-ray microanalysis (EDS) with a PV7760/68 ME detector (EDAX AMETEK, Warrendale, PA, USA). The analyses were conducted under high vacuum at an accelerating voltage of 15 kV in Secondary Electron (SE) imaging mode. For the elemental analysis, a 200 s acquisition time and 30–35% dead time were used. Quantitative analysis of the collected spectra was performed using the dedicated software (EDAX Genesis, V4.5, AMETEK) with ZAF (atomic number, absorbance, fluorescence) correction factors. Thermal characterization was conducted using differential scanning calorimetry (DSC) (Hunan Gonoava Instrument Co., Changsha City, China) to evaluate the thermal behavior and phase transformations of the (Nd,Pr)28-x(La,Ce)x(Co,Zr)~2B~1Febal alloy powders. Magnetic measurements were carried out at room temperature and elevated temperatures using a DX-2012H150 BH-looper magnetic property measurement system (Xiamen Dexing Magnet Tech. Co., Ltd., Xiamen, China) with maximum field of 2.2 T. Additional magnetic characterization was performed using a VSM (155 PAR) vibrating sample magnetometer with a maximum field of 2 T (Lake Shore, Westerville, OH, USA), as well as a custom-built 3D magnetic mapping system. The setup employs a 3-axis Hall magnetic field transducer mounted on a computer-controlled Cartesian motion platform, enabling automated field mapping within a scanning volume of 135 × 135 × 135 mm3 with micrometer-level positioning accuracy. Data acquisition and motion control were performed through an integrated multifunction DAQ and dedicated PC software, allowing reliable spatial reconstruction of the magnetic field distribution.

3. Results and Discussion

3.1. Structural Characterization

Figure 2 presents the powder X-ray diffraction patterns of the composition (Nd,Pr)28–x(La,Ce)x(Co,Zr)~2B~1Febal compound with x = 0, prepared by the melt-spinning technique of polycrystalline materials. The black dots represent the experimental data collected, while the red line shows the predicted pattern obtained from the Rietveld refinement. The blue line indicates the difference between the experimental data and the Rietveld fit. The Rietveld pattern is described using the T-C-H pseudo-Voigt function No. 7. The structural model that we used consists of the Nd2Fe14B phase, which is characterized by space group No. 186, P-42/mnm (Hermann–Mauguin symbol), in the tetragonal crystal system with a general multiplicity of 12, and the α-Fe, described by space group No. 82, (I m–3 m), in the cubic crystal system with a general position multiplicity of 24. The free refinement parameters include the lattice constants and the Lorentzian isotropic strain and size parameters. The presence of sharp and well-defined diffraction peaks in Figure 2 indicates that the sample exhibits high crystallinity and a well-ordered atomic structure. A small amount of amorphous phase is also present at lower degrees, which does not affect the peak positions and is a common characteristic for sample developed with the melt-spinning method [18]. The weight fraction of the Nd2Fe14B-type phase is 96.5%, suggesting that the sample is composed almost entirely of one phase, with a small presence of α-Fe phase. The Rietveld analysis determined that the lattice constants of the Nd2Fe14B phase are a = 8.7882(1) Å and c = 12.1958(1) Å, corresponding to a cell volume of 941.91(1) Å3. Additionally, the isotropic strain parameter is X = 0.5664(1), and the isotropic size parameter is Y = 0.0087(1), which yields an average apparent size of 1060(10) Å. The refinement converged with a weighted profile R-factor Rwp = 9.20% for the Nd2Fe14P phase.
Figure 3 shows the Rietveld plots of the sample with no additional elemental substitution (x = 0), along with the samples with x = 5–21. As the substitution level (x-values) increases, no additional phases are detected, indicating the persistence of a robust 2:14:1 tetragonal crystal structure. Furthermore, increasing x leads to a slight reduction in the weight fraction of the NdFeB phase, up to approximately 95%, accompanied by a corresponding increase in the cubic α-Fe phase, as summarized in Table 3. The introduction of elemental substitution also induces changes in the lattice constants, resulting in a subtle shift of the Bragg peaks toward higher diffraction angles.
Table 3 summarizes the weight fraction (%) of the Nd2Fe14B phase, together with the lattice constants (Å) and cell volumes (Å3) for the series of samples. It is noteworthy that both the a and c lattice parameters vary with elemental substitution. Specifically, as the substitution level increases up to x = 21, both lattice constants decrease, resulting in a corresponding reduction in the overall unit-cell volume. Changes in rare-earth cations in the host lattice might be the reason for the result. Specifically, a part of the positions of Nd3+ were occupied by both Ce3+ (radius~1.14 Å) and Ce4+ (radius~0.97 Å) ions, and the radius of Ce4+ ions is small compared with that of Nd3+ (radius~1.15 Å), which led to the decrease of the lattice constants [19,20,21]. Meanwhile, the theoretical density of a Nd2Fe14B magnet without substitutions (ρ = 7.605 g/cm3) was also obtained by XRD refinement.
The particle size distribution (PSD) of the substituted NdFeB powder, shown in Figure 4, reveals the overall uniformity and granularity of the powder particles. The cumulative and density distribution curves indicate that the powder exhibits a relatively narrow particle size range, with most particles falling between approximately 20 µm and 150 µm. The median particle diameter (x50) is 75.23 µm, suggesting that half of the powder mass consists of particles smaller than this value. The distribution also shows characteristic values of x10 = 22.60 µm, x16 = 33.14 µm, x84 = 119.94 µm, and x90 = 133.67 µm, reflecting moderate size dispersion. The Sauter mean diameter (SMD) of 39.22 µm represents the surface area to weighted mean size, which is important for surface-related phenomena such as sintering and oxidation behavior. The volume mean diameter (VMD) of 77.55 µm corresponds to the dominant particle fraction and is consistent with the primary mode observed in the density distribution curve. The specific surface area (Sv = 0.15 m2/cm3) and specific surface (Sm = 201.27 cm2/g) values indicate that the powder has a moderately developed surface, suitable for efficient compaction during the magnet fabrication process. Overall, the PSD analysis confirms that the powder possesses a well-balanced particle size profile, providing favorable packing density and sinterability for the subsequent processing of NdFeB-based magnetic materials [9].
The microstructure of the (Nd,Pr)28–x(La,Ce)x(Co,Zr)~2B~1Febal with x = 5 bonded magnet is presented in Figure 5a by scanning electron microscopy (SEM) images. The observations reveal a densely packed particulate microstructure in which elongated substituted NdFeB particles are embedded within a continuous binder phase. At higher magnification, seen in Figure 5b, a well-defined interfacial coating surrounding the particles becomes clearly visible, indicating good binder wetting and coverage of the particle surfaces. This conformal layer suggests effective particle encapsulation, which is expected to influence both interparticle coupling and the overall mechanical integrity of the composite.
Local EDS analysis performed at the particle–matrix interface (Figure 5b) shows that Fe is the dominant elemental contribution from the particles, accompanied by characteristic peaks from rare-earth elements (La, Ce, Pr, and Nd). A pronounced C peak is detected in the interfacial regions and is attributed to the organic binder, confirming the presence of a carbon-rich coating surrounding the particles. Minor amounts of Zr and Co are also observed. The spatial association of the C signal with the interparticle regions supports the formation of a distinct binder-derived coating layer rather than a homogeneous carbon distribution throughout the particles.

3.2. Thermal Characterization

Differential scanning calorimetry (DSC) was performed to evaluate the thermal behavior and phase transformations of the (Nd,Pr)28–x(La,Ce)x(Co,Zr)~2B~1Febal alloy powders, as in Figure 6. The DSC curves acquired under a nitrogen atmosphere reveal two characteristic transitions: the Curie temperature TC, and the crystallization of the amorphous matrix. A clear endothermic step is observed at lower temperatures, which corresponds to the Curie temperature (TC) of the crystalline NdFeB matrix. The T C = ( 580 ,   546 ,   545 ,   504 ) K for each substitution rate x = 0 ,   5 ,   8 ,   21 , respectively, shifts slightly depending on the substitution level of (La,Ce), reflecting the effect of rare-earth replacement on magnetic ordering. At higher temperatures, exothermic peaks are evident, indicating crystallization of the amorphous phase into crystalline Nd2Fe14B and secondary phases. This amorphous phase is also detected in the XRD diagrams, Figure 2 and Figure 3, and is now validated by the thermal study of the alloys. The crystallization onset temperature decreases with higher (La,Ce) content, suggesting enhanced thermal stability of the substituted alloys. These results confirm that (La,Ce) substitution influences both the magnetic transition temperature and the crystallization behavior, thereby affecting the overall structural and thermal stability of the powders.

3.3. Magnetic Characterization of Melt-Spun Powders

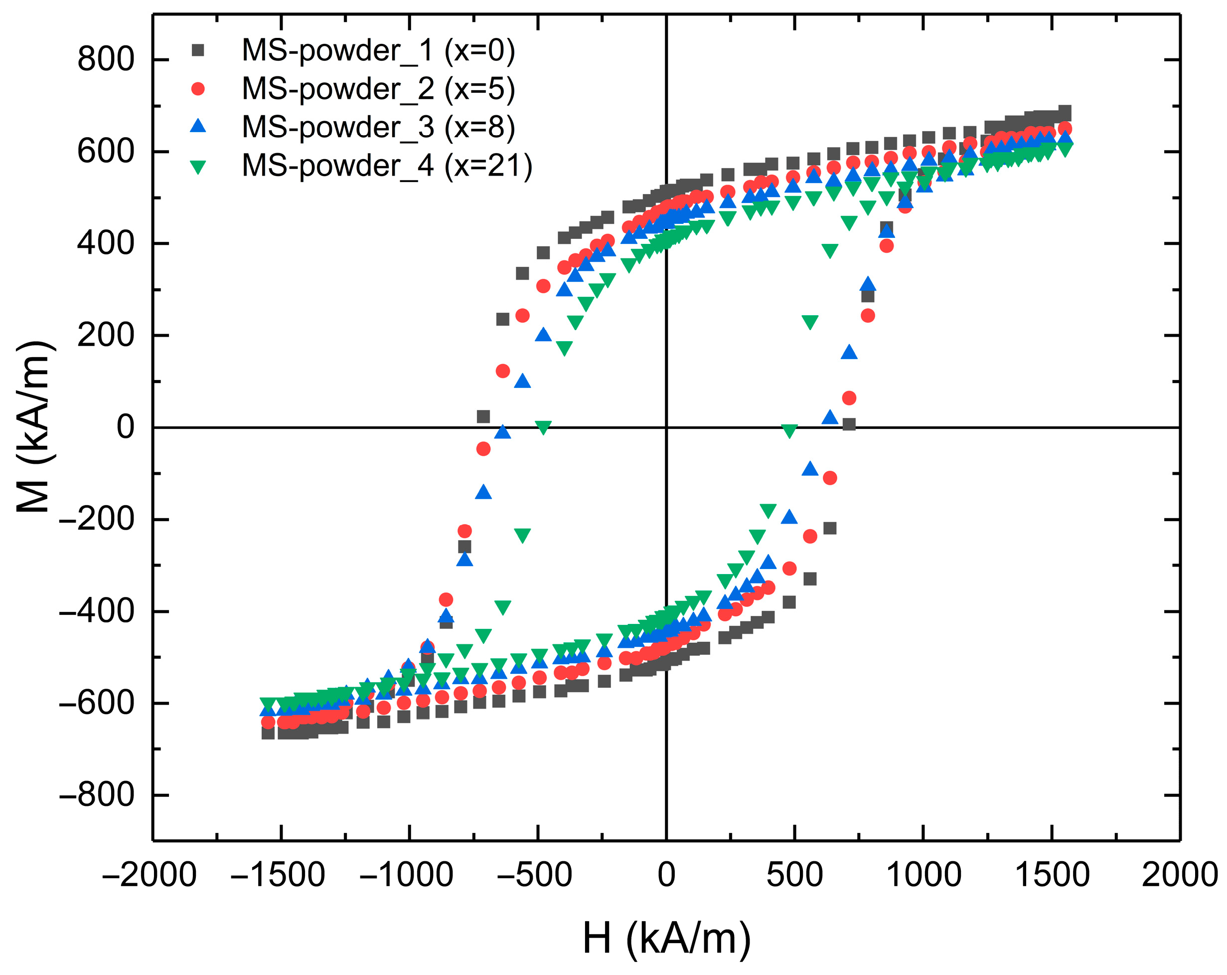
The magnetic hysteresis loops of the substituted NdFeB powders, presented in Figure 7, reveal the influence of compositional modification on their magnetic performance. All samples exhibit typical ferromagnetic behavior with well-defined coercivity ( H c ), remanence ( M r ), and saturation magnetization (Ms), confirming the preservation of the Nd2Fe14B magnetic phase. A clear trend is observed with an increasing substitution level x, both Ms and Mr gradually decrease, accompanied by a reduction in the coercive field. The reference powder (MS-Powder_1, x = 0) shows the highest magnetic parameters H c = 712   k A / m , M r = 507   k A / m and M S = 670   k A / m , indicating the strongest magnetocrystalline anisotropy and domain-wall pinning. In contrast, the rest of the powders display progressively narrower hysteresis loops and a noticeable shift toward lower H c values. This behavior is due to the anisotropy constant and possible disruption of exchange interactions introduced by the substituent elements. The most heavily substituted sample (MS-Powder_4, x = 21) exhibits the weakest magnetic response with H c = 480   k A / m , M r = 450   k A / m and M S = 660   k A / m , confirming that excessive substitution reduces magnetic ordering and anisotropy energy, but even then, it is sufficiently close to the reference powder. Overall, the hysteresis behavior confirms that the substituted NdFeB powders retain strong ferromagnetic properties suitable for high-performance permanent magnet applications.
To further investigate the magnetic powders, Figure 8 illustrates the variations in the remanent magnetization ( B r ), coercivity ( H c ) and maximum energy product ( B H ) m a x of the (Nd,Pr)28–x(La,Ce)x(Co,Zr)~2B~1Febal powders as a function of (La,Ce) substitution level (x = 0, 5, 8, 21) at 300 K. All three magnetic parameters show a distinct decreasing trend with an increasing substitution rsub ratio up to 75%—using Equation (1)—indicating a gradual deterioration of magnetic performance. The reference composition (x = 0) exhibits the highest B r , HC and (BH)max values, confirming the superior intrinsic magnetic strength of the NdPrFeB system. As the content of (La,Ce) increases, both remanence and coercivity decrease significantly, which can be attributed to the lower magnetocrystalline anisotropy and reduced exchange interaction upon substitution of (Nd,Pr) with (La,Ce). The replacement of rare-earth elements with lighter, less anisotropic atoms weakens domain-wall pinning and lowers the anisotropy field, leading to the observed decline in coercivity and energy product [4]. At the highest substitution level (x = 21), the sample exhibits the lowest magnetic performance, demonstrating that excessive (La,Ce) incorporation compromises the hard-magnetic characteristics of NdFeB-type powders. These results confirm that while partial substitution can reduce material cost and improve thermal stability, it inevitably leads to a trade-off in magnetic strength.

3.4. Magnetic Characterization of Bonded Magnets

Figure 9 presents a three-dimensional magnetic field distribution map (Mz component) obtained from 3D magnetometry measurements of the bonded NdFeB sample. The surface plot represents the spatial variation in the normal magnetic flux density (Mz, in µT) across the measured area. The symmetric, bell-shaped profile centered on the Z-axis indicates uniform magnetization and well-aligned magnetic domains within the bonded structure. The high-intensity region (red zone) corresponds to the maximum magnetic flux density near the central axis of the magnet, while the gradual decrease toward the edges (blue–green regions) reflects the expected field decay due to geometric demagnetization effects and limited particle alignment near the boundaries.
This 3D mapping confirms that the bonded magnet exhibits a high degree of isotropy and consistent magnetic field distribution, implying effective powder compaction and uniform curing of the binder during fabrication. Any deviation from perfect symmetry would suggest inhomogeneous powder dispersion or uneven magnetic orientation; however, the smooth, continuous surface of the measured field demonstrates the structural integrity and magnetic uniformity of the composite. Such analyses provide valuable insight into the local field characteristics of bonded magnets and complement the hysteresis and B–H loop results by visualizing field homogeneity and intensity distribution across the sample.
Figure 10 represents the demagnetization (B–H) curve of the bonded NdFeB sample B2 with for the substitution level (x = 5) and powder-to-binder ratios 96.5–3.5% (similar figures were obtained for all the samples A–D). The loop illustrates the typical behavior of hard-magnetic materials, showing a wide coercive field (Hcj) and (Hcb), characteristic of NdFeB systems [13]. Based on the data from Table 4 it is clearly demonstrated that both the substitution level and the binder fraction influence the magnetic response. As the substitution of (La,Ce) increases from x = 5 to x = 21, the slope of the second quadrant becomes steeper, and the (BH)max value decreases, indicating reduced magnetic energy storage capability and weakened anisotropy. Samples with lower substitution levels retain higher remanence (Br) and coercivity (HC). Overall, the B–H curves confirm that compositional and microstructural factors control the bonded NdFeB magnets’ performance. The resulting magnetic parameters for each bonded sample (A–D) at room temperature are summarized in Table 4.
The measured remanence (Br), coercivity (HC), maximum energy product (BH)max, saturation magnetization ( M s ), and remanent magnetization ( M r ) all demonstrate a consistent dependence on both powder composition and powder-to-binder ratio. The stable trends and small sample-to-sample variations confirm the reproducibility of the fabrication process.
As shown in Table 4, the substitution level x significantly affects the magnetic performance of the bonded NdFeB samples. Samples B1 and B2 (MS-Powder_2, x = 5) exhibit the best properties, reaching Br = 0.63 T and (BH)max = 62.2 kJ/m3. This enhanced behavior is attributed to the relatively low substitution level, which preserves the strong Fe–Fe exchange interactions and high magnetocrystalline anisotropy of the Nd–Fe–B phase [22]. In contrast, samples D1 and D2 (MS-Powder_4, x = 21) demonstrate the lowest magnetic performance, indicating that excessive substitution weakens magnetic coupling and reduces anisotropy. The intermediate C-series samples (MS-Powder_3, x = 8) exhibit magnetic values between those of the B and D compositions, showcasing the gradual impact of increasing substitution.
The powder-to-binder ratio also plays a significant role [15,23]. Increasing the powder content from 95–5% to 96.5–3.5% improves all magnetic parameters across all compositions. This enhancement arises from the higher magnetic phase fraction and improved magnetic connectivity between particles, which reduces demagnetizing effects associated with the non-magnetic binder. This trend is consistent with earlier studies on epoxy-bonded and compression-molded Nd–Fe–B magnets, which report that higher powder loading increases the magnetic phase fraction and enhances particle–particle interaction, resulting in improved flux continuity and reduced demagnetizing fields [13,14,23].
Despite the clear influence of substitution level on (BH)max and Hc, the magnetization-related parameters (Br, M s , M r ) remain relatively stable across all samples. Even at the highest substitution level (x = 21), samples maintain magnetization values comparable to those of the low-substitution compositions (x = 5). This robustness indicates that, although high substitution reduces anisotropy and energy product, it does not markedly compromise the overall magnetization of the bonded NdFeB magnets.
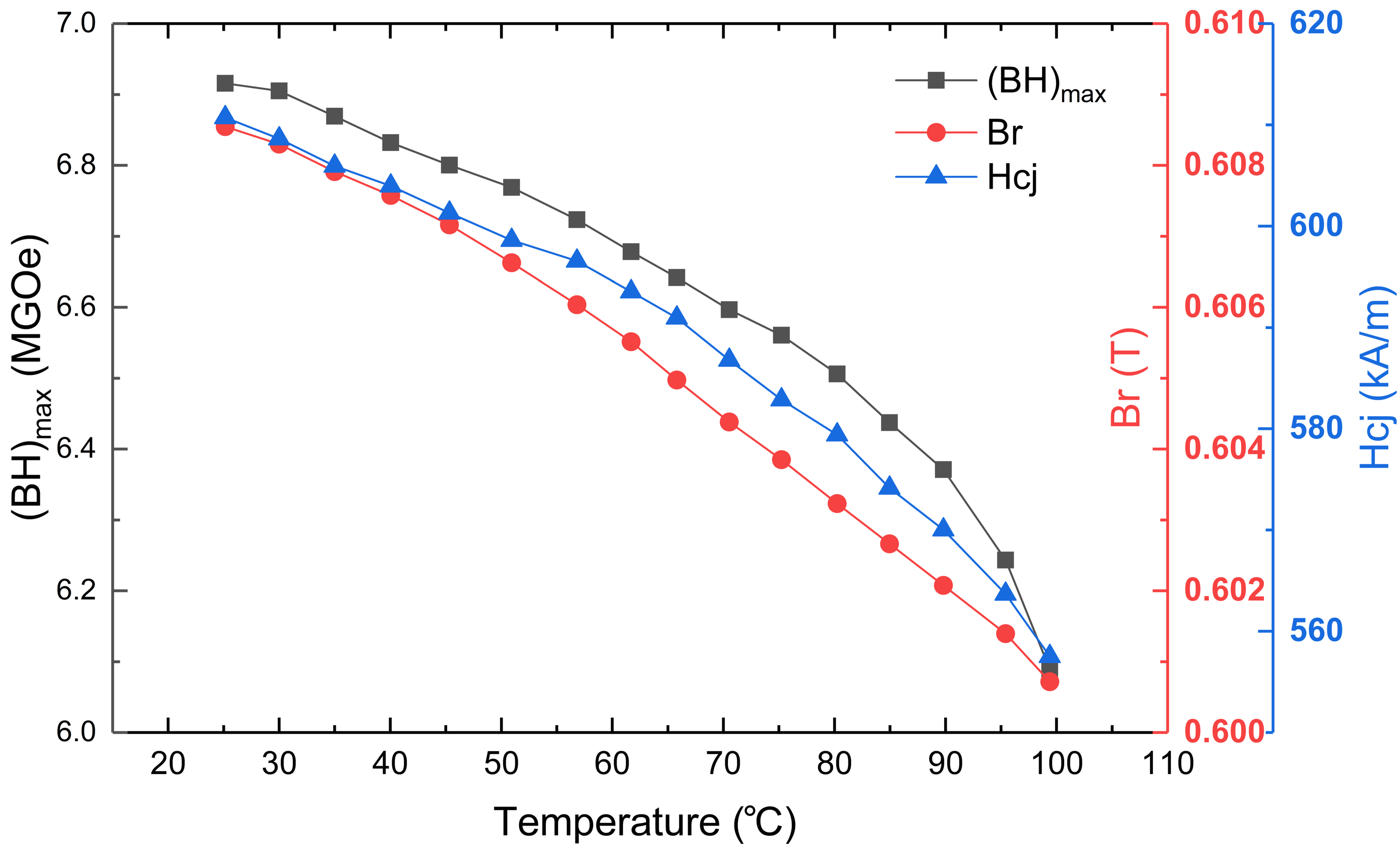
The temperature variation of B r and H c of the bonded magnets was measured with a DX-2012H150 magnetometer, equipped with a temperature controller from T0 = 25 °C (room temperature) to 100 °C. At each temperature step, full demagnetization (B–H) curves were recorded after thermal equilibration. The parameters extracted from the demagnetization curves were the intrinsic coercivity ( H c j ), defined as the reverse field at which the magnetization becomes zero, and the coercivity of magnetic induction ( H c b ), defined as the reverse field at which the magnetic induction reaches zero [4,5]. The remanence (Br) and maximum energy product ((BH)max) were also determined at each temperature.
To quantify the thermal stability, the reversible temperature coefficients α and β were determined by applying Formulas (2) and (3).
α = B r ( T ) B r ( T 0 ) B r ( T 0 ) ( T T 0 ) × 100 %
β = H c j ( T ) H c j ( T 0 ) H c j ( T 0 ) ( T T 0 ) × 100 %
where T0 is the reference temperature (25 °C). Negative values of α and β indicate the expected decrease of remanence and coercivity with increasing temperature [24].
Based on the literature, the values of the α and β parameters are in the range of −0.10 to −0.12 and −0.35 to −0.46, respectively [25,26]. The calculated median temperature coefficients α = 0.0166 % / ° C and β = 0.115 % / ° C of the samples A–D are smaller in magnitude compared to those typically reported for commercial pure NdFeB magnets, indicating superior thermal stability. The median values from samples A–D for each parameter and at each thermal step are shown in Figure 11.
The temperature dependence of Br is mainly governed by the thermal decay of the spontaneous magnetization of the Fe(Co) sublattice [18]. The relatively weak temperature sensitivity (small |α|) observed here is attributed to improved high-temperature magnetization retention due to Co addition, as well as enhanced densification and phase uniformity introduced by multi-rare-earth substitution, which reduces the contribution of weakly coupled regions that typically amplify remanence degradation with temperature.
The temperature dependence of coercivity is generally stronger, as H c j is highly sensitive to thermally activated magnetization reversal processes and to microstructural weak points that become increasingly effective at elevated temperatures. The relatively low median β coefficient value (−0.115%/°C) obtained for the present samples is attributed to the reduced temperature sensitivity of the coercive field combined with microstructural stabilization effects [22]. Multi-rare-earth substitution, together with Zr addition and melt-spinning processing, refines the microstructure and stabilizes grain boundaries, reducing the effectiveness of thermally activated weak links and domain-wall depinning [13,16]. As a result, the decrease of H c j (T) becomes more gradual, leading to enhanced coercivity stability.
The thermal dependence of the magnetic properties shown in Figure 11 demonstrates a gradual and consistent decrease of Br, H c j , and (BH)max with increasing temperature, without abrupt degradation up to 100 °C. This confirms that the bonded NdFeB magnets maintain excellent magnetic performance over a wide temperature range, outperforming standard commercial bonded NdFeB materials in terms of temperature stability [26].

4. Conclusions

The development and properties of axially compressed isotropic epoxy-bonded Nd–Fe–B magnets with partial rare-earth substitution were investigated. Substitution of up to 75% La–Ce at the RE site was achieved, substantially reducing the dependence on Nd–Pr. A scalable workflow was established for producing high-density (ρ up to 80%) NdFeB bonded magnets, encompassing powder preparation, mixing, high-pressure compaction, polymer bonding with powder loadings up to 96.5 wt.%, curing at 150 °C, and final magnetization. Structural characterization confirmed the predominance of the pure tetragonal 2–14–1 Nd2Fe14B phase, reaching up to 95% weight fraction even with increasing (La,Ce) substitution. Microscopy analysis indicates a uniform phase distribution and a well-formed interface between the powder and the binder. The resulting magnets demonstrated competitive magnetic performance and density, achieving (BH)max values of ~65 kJ/m3 and a coercivity of ~660 kA/m, along with superior thermal stability as verified by thermal analysis. These results were fully benchmarked against commercial counterparts. Despite these advancements, important challenges remain in optimizing the balance between magnetic performance and cost-effectiveness. Partial substitution of (Nd,Pr) with light rare-earth elements (LREs)—notably, La, and Ce—offers a promising strategy for reducing raw-material cost and mitigating supply-chain risks; however, the associated effects on the magnetic and microstructural behavior are complex and, in some cases, inconsistently reported in the literature.

Author Contributions

Conceptualization, D.N.; methodology, E.D.; software, D.I.A.; validation, E.D. and A.S.; formal analysis, D.I.A. and A.B.; resources, A.S. and A.B.; writing—original draft preparation, E.D.; writing—review and editing, D.I.A. and D.N.; visualization, E.D.; supervision, D.N.; funding acquisition, D.N. All authors have read and agreed to the published version of the manuscript.

Funding

The BEETHOVEN project has been funded by the European Union’s Horizon Europe programme under grant agreement 101129912. Views and opinions expressed are, however, those of the author(s) only and do not necessarily reflect those of the European Union or the European Education and Culture Executive Agency (EACEA). Neither the European Union nor EACEA can be held responsible for them.

Data Availability Statement

The data presented in this study are available on request from the corresponding author.

Conflicts of Interest

The authors declare no conflicts of interest. Evangelia Dimeli, Dimitrios I. Anyfantis, Athanasios Sigalos and Dimitrios Niarchos are employees of AMEN New Technologies, 15343 Athens, Greece. The paper reflects the views of the scientists and not the company.

References

  1. Sagawa, M.; Fujimura, S.; Yamamoto, H.; Matsuura, Y.; Hiraga, K. Permanent Magnet Materials Based on the Rare Earth–Iron–Boron Tetragonal Compounds. IEEE Trans. Magn. 1984, 20, 1584–1589. [Google Scholar] [CrossRef]
  2. Hadjipanayis, G.C.; Hazelton, R.C.; Lawless, K.R. New Iron–Rare-Earth Based Permanent Magnet Materials. Appl. Phys. Lett. 1983, 43, 797–799. [Google Scholar] [CrossRef]
  3. Hirosawa, S.; Tsubokawa, Y. The Nd–Fe–B Materials for Permanent Magnets. J. Magn. Magn. Mater. 1990, 84, 309–316. [Google Scholar] [CrossRef]
  4. Coey, J.M.D. Perspective and Prospects for Rare-Earth Permanent Magnets. Engineering 2020, 6, 119–131. [Google Scholar] [CrossRef]
  5. Skomski, R. Permanent Magnets: History, Current Research, and Outlook. In Novel Functional Magnetic Materials; Zhukov, A., Ed.; Springer: Cham, Switzerland, 2016; pp. 359–391. [Google Scholar]
  6. Zhai, F.; Sun, A.; Yuan, D.; Wang, J.; Wu, S.; Volinsky, A.A.; Wang, Z. Epoxy Resin Effect on Anisotropic Nd–Fe–B Rubber-Bonded Magnets Performance. J. Alloys Compd. 2011, 509, 687–690. [Google Scholar] [CrossRef]
  7. Ormerod, J.; Constantinides, S. Bonded Permanent Magnets: Current Status and Future Opportunities. J. Appl. Phys. 1997, 81, 4816. [Google Scholar] [CrossRef]
  8. Khazdozian, H.A.; Li, L.; Paranthaman, M.P.; McCall, S.K.; Kramer, M.J.; Nlebedim, I.C. Low-Field Alignment of Anisotropic Bonded Magnets for Additive Manufacturing of Permanent Magnet Motors. JOM 2019, 71, 596–606. [Google Scholar] [CrossRef]
  9. Karamanou, S.; Gjoka, M.; Pissas, M.; Psycharis, V.; Niarchos, D. Pressure Effect on Magnetic Properties of Isotropic Nd–Fe–B Resin-Bonded Magnets for Automotive Sector Applications. J. Sci. Res. Rep. 2017, 16, 1–8. [Google Scholar] [CrossRef]
  10. Delette, G. Nd2Fe14B permanent magnets substituted with non-critical light rare earth elements (Ce, La): A review. J. Magn. Magn. Mater. 2023, 577, 170768. [Google Scholar] [CrossRef]
  11. Omodara, L.; Pitkäaho, S.; Turpeinen, E.-M.; Saavalainen, P.; Oravisjärvi, K.; Keiski, R.L. Recycling and substitution of light rare earth elements, cerium, lanthanum, neodymium, and praseodymium from end-of-life applications—A review. J. Clean. Prod. 2019, 236, 117573. [Google Scholar] [CrossRef]
  12. Brown, D.; Ma, B.-M.; Chen, Z. Developments in the processing and properties of NdFeb-type permanent magnets. J. Magn. Magn. Mater. 2002, 248, 432–440. [Google Scholar] [CrossRef]
  13. Croat, J.J. Compression Bonded NdFeB Permanent Magnets. In Modern Permanent Magnets, 1st ed.; Elsevier: Amsterdam, The Netherlands, 2022; pp. 1–25. [Google Scholar]
  14. Zhang, X.; Xiong, W. Effect of Bonding Process on the Properties of Isotropic Epoxy Resin-Bonded Nd–Fe–B Magnets. Rare Met. 2009, 28, 248–254. [Google Scholar] [CrossRef]
  15. Ramlan, R.; Sardjono, P.; Muljadi, M.; Setiabudidaya, D.; Gulo, F. Analysis of the Physical, Mechanical, and Magnetic Properties of Hard Magnetic Composite Materials NdFeB Made Using Bakelite Polymers. J. Magn. 2019, 24, 39–42. [Google Scholar] [CrossRef]
  16. Karamanou, S.; Gjoka, M.; Devlin, E.; Psycharis, V.; Ioannidou, A.; Giannopoulos, G.; Niarchos, D. A Novel Approach for Plastic-Bonded Magnets of the Type MQU-F Melt-Spun NdFeGaB-Type Alloys. IEEE Trans. Magn. 2017, 53, 1–3. [Google Scholar] [CrossRef]
  17. Rodriguez-Carvajal, J. Recent Advances in Magnetic Structure Determination by Neutron Powder Diffraction. Phys. B Condens. Matter 1993, 192, 55–69. [Google Scholar] [CrossRef]
  18. El-Eskandarany, M.S. Mechanical Alloying, 2nd ed.; William Andrew Publishing: Norwich, NY, USA, 2015; pp. 1–12. [Google Scholar]
  19. Shang, R.X.; Xiong, J.F.; Li, R.; Zuo, W.L.; Zhang, J.; Zhao, T.Y.; Chen, R.J.; Sun, J.R.; Shen, B.G. Structure and Properties of Sintered MM–Fe–B Magnets. AIP Adv. 2017, 7, 056215. [Google Scholar] [CrossRef]
  20. Alam, A.; Johnson, D.D. Mixed Valency and Site-Preference Chemistry for Cerium and Its Compounds: A Predictive Density-Functional Theory Study. Phys. Rev. B 2014, 89, 235126. [Google Scholar] [CrossRef]
  21. Jin, J.; Zhang, Y.; Bai, G.; Quian, Z.; Wu, C.; Ma, T.; Shen, B.; Yan, M. Manipulating Ce Valence in RE2Fe14B Tetragonal Compounds by La–Ce Co-Doping: Resultant Crystallographic and Magnetic Anomaly. Sci. Rep. 2016, 6, 30194. [Google Scholar] [CrossRef] [PubMed]
  22. Skomski, R.; Coey, J.M.D. Magnetic Anisotropy—How Much Is Enough for a Permanent Magnet? Scr. Mater. 2016, 112, 3–8. [Google Scholar] [CrossRef]
  23. Mehr, N.F.; Behrangi, S.; Ahmadi, M.; Kianvash, A. The Effect of Processing Parameters on Magnetic Properties of an Epoxy Resin-Bonded Isotropic Nd–Fe–B Magnet. Indian J. Phys. 2021, 95, 2001–2008. [Google Scholar] [CrossRef]
  24. Sugimoto, S. Current Status and Recent Topics of Rare-Earth Permanent Magnets. J. Phys. D Appl. Phys. 2011, 44, 064001. [Google Scholar] [CrossRef]
  25. Stanford Magnets. Temperature Effects on Neodymium Iron Boron (NdFeB) Magnets. Stanford Magnets Website. 2025. Available online: https://www.stanfordmagnets.com (accessed on 11 December 2025).
  26. Arnold Magnetic Technologies. TECHNotes: Reversible Temperature Coefficients for Permanent Magnets; TN 0303 rev. 2015a; Arnold Magnetic Technologies: Rochester, NY, USA, 2015; pp. 2–3. [Google Scholar]
Figure 1. Experimental flowchart for the fabrication of axially compressed bonded magnets. The final panel on the right shows the resulting lab-scale 10 mm diameter samples.
Figure 1. Experimental flowchart for the fabrication of axially compressed bonded magnets. The final panel on the right shows the resulting lab-scale 10 mm diameter samples.
Micro 06 00019 g001
Figure 2. Powder XRD spectrum of a melt-spun (Nd,Pr)28–x(Nd,Pr)x(Co,Zr)~2B~1Febal alloy refined by the Rietveld method. (∘) Denotes experimental points. The continuous line corresponds to the calculated spectrum. The vertical bars (I-green) and (I-orange) at the bottom indicate the position of the Bragg peaks for the 2:14:1 phase and α-(Fe), respectively. The continuous line at the bottom is the difference between the experimental intensity values and the calculated ones.
Figure 2. Powder XRD spectrum of a melt-spun (Nd,Pr)28–x(Nd,Pr)x(Co,Zr)~2B~1Febal alloy refined by the Rietveld method. (∘) Denotes experimental points. The continuous line corresponds to the calculated spectrum. The vertical bars (I-green) and (I-orange) at the bottom indicate the position of the Bragg peaks for the 2:14:1 phase and α-(Fe), respectively. The continuous line at the bottom is the difference between the experimental intensity values and the calculated ones.
Micro 06 00019 g002
Figure 3. Rietveld plots of the composition of the (Nd,Pr)28–x(La,Ce)x(Co,Zr)~2B~1Febal samples.
Figure 3. Rietveld plots of the composition of the (Nd,Pr)28–x(La,Ce)x(Co,Zr)~2B~1Febal samples.
Micro 06 00019 g003
Figure 4. Particle size distribution of the substituted NdFeB powder showing the cumulative (Q3) and density (q3*) distributions. Characteristic diameters: x10 = 22.60 µm, x50 = 75.23 µm, x90 = 133.67 µm.
Figure 4. Particle size distribution of the substituted NdFeB powder showing the cumulative (Q3) and density (q3*) distributions. Characteristic diameters: x10 = 22.60 µm, x50 = 75.23 µm, x90 = 133.67 µm.
Micro 06 00019 g004
Figure 5. (a) SEM images of the bonded (Nd,Pr)28–x(La,Ce)x(Co,Zr)~2B~1Febal with x = 5 sample at low (scale bar 1 mm) magnification, consisting of densely packed, elongated particles embedded in a continuous matrix phase together with the corresponding average quantitative elemental composition table. (b) EDS spectrum obtained from the selected area. The spectrum is dominated by metal peaks from the particles, while a strong C signal is detected from the surrounding binder phase, forming a well-defined coating around the particles. A conformal interfacial layer is observed around the particles, as highlighted in the higher-magnification image (scale bar 20 μm), and the marked region indicates the location selected for compositional analysis.
Figure 5. (a) SEM images of the bonded (Nd,Pr)28–x(La,Ce)x(Co,Zr)~2B~1Febal with x = 5 sample at low (scale bar 1 mm) magnification, consisting of densely packed, elongated particles embedded in a continuous matrix phase together with the corresponding average quantitative elemental composition table. (b) EDS spectrum obtained from the selected area. The spectrum is dominated by metal peaks from the particles, while a strong C signal is detected from the surrounding binder phase, forming a well-defined coating around the particles. A conformal interfacial layer is observed around the particles, as highlighted in the higher-magnification image (scale bar 20 μm), and the marked region indicates the location selected for compositional analysis.
Micro 06 00019 g005
Figure 6. DSC curves of (Nd,Pr)28–x(La,Ce)x(Co,Zr)~2B~1Febal melt-spun powders with different substitution levels (x = 0, 5, 8, 21), showing Curie temperature (TC) and crystallization behavior under nitrogen atmosphere.
Figure 6. DSC curves of (Nd,Pr)28–x(La,Ce)x(Co,Zr)~2B~1Febal melt-spun powders with different substitution levels (x = 0, 5, 8, 21), showing Curie temperature (TC) and crystallization behavior under nitrogen atmosphere.
Micro 06 00019 g006
Figure 7. VSM hysteresis loops of substituted NdFeB powders showing magnetization (M) as a function of applied magnetic field (H).
Figure 7. VSM hysteresis loops of substituted NdFeB powders showing magnetization (M) as a function of applied magnetic field (H).
Micro 06 00019 g007
Figure 8. Dependence of remanence ( B r , black line), coercivity (HC, red line) and maximum energy product ((BH)max, blue line) on (La,Ce) substitution levels of 0%, 17.85%, 28.57%, 75% in (Nd,Pr)28–x(La,Ce)x(Co,Zr)~2B~1Febal powders (x = 0, 5, 8, 21), respectively.
Figure 8. Dependence of remanence ( B r , black line), coercivity (HC, red line) and maximum energy product ((BH)max, blue line) on (La,Ce) substitution levels of 0%, 17.85%, 28.57%, 75% in (Nd,Pr)28–x(La,Ce)x(Co,Zr)~2B~1Febal powders (x = 0, 5, 8, 21), respectively.
Micro 06 00019 g008
Figure 9. Three-dimensional magnetic flux density (Mz) distribution map for the bonded NdFeB samples (A1, B1, C1,D1), showing a symmetric field profile and uniform magnetization across the sample surface.
Figure 9. Three-dimensional magnetic flux density (Mz) distribution map for the bonded NdFeB samples (A1, B1, C1,D1), showing a symmetric field profile and uniform magnetization across the sample surface.
Micro 06 00019 g009
Figure 10. Demagnetization curves of the bonded NdFeB sample B2 for substitution levels x = 5 and powder-to-binder ratios 96.5–3.5%. The B(H) curve (red) and the intrinsic J(H) curve (green) are shown together with the BH energy product curve (blue), from which the maximum energy product (BH)max is determined.
Figure 10. Demagnetization curves of the bonded NdFeB sample B2 for substitution levels x = 5 and powder-to-binder ratios 96.5–3.5%. The B(H) curve (red) and the intrinsic J(H) curve (green) are shown together with the BH energy product curve (blue), from which the maximum energy product (BH)max is determined.
Micro 06 00019 g010
Figure 11. Temperature dependence of Br, H c j , and ( B H ) m a x for the bonded NdFeB sample magnet.
Figure 11. Temperature dependence of Br, H c j , and ( B H ) m a x for the bonded NdFeB sample magnet.
Micro 06 00019 g011
Table 1. Labeling, composition, and density of the bonded (RE)2Fe14B melt-spun (MS) magnetic powders.
Table 1. Labeling, composition, and density of the bonded (RE)2Fe14B melt-spun (MS) magnetic powders.
Powder NameSubstitution Index
MS-Powder_1x = 0
MS-Powder_2x = 5
MS-Powder_3x = 8
MS-Powder_4x = 21
Table 2. Labeling, composition, and density (g/cm3) of the bonded magnet samples.
Table 2. Labeling, composition, and density (g/cm3) of the bonded magnet samples.
Sample
Name
PowderEpoxyWaxRatio Density
Name(g)(g)(g)Powder–Binder(g/cm3)
A1MS-Powder_114.250.750.0395:56.17
A2MS-Powder_114.4750.5250.0496.5:3.56.10
B1MS-Powder_214.250.750.0395:56.11
B2MS-Powder_214.4750.5250.0496.5:3.56.14
C1MS-Powder_314.250.750.0395:56.04
C2MS-Powder_314.4750.5250.0496.5:3.56.06
D1MS-Powder_414.250.750.0395:55.98
D2MS-Powder_414.4750.5250.0496.5:3.56.02
Table 3. Comparison of the weight fraction (%), of the Nd2Fe14B-type phase, the lattice constants (Å), and the cell volume ( 3 ), between the (Nd,Pr)28–x(La,Ce)x(Co,Zr)~2B~1Febal samples.
Table 3. Comparison of the weight fraction (%), of the Nd2Fe14B-type phase, the lattice constants (Å), and the cell volume ( 3 ), between the (Nd,Pr)28–x(La,Ce)x(Co,Zr)~2B~1Febal samples.
Compound (x)Nd2Fe14 B-Type ph. w. fr. (%) a ( ) c ( ) V o l u m e ( 3 )
096.58.7882(1)12.1958(1)941.91(1)
596.48.7859(1)12.1816(1)940.33(1)
895.58.7777(2)12.1714(2)938.68(1)
2194.88.7787(2)12.1666(2)937.63(1)
Table 4. Summary of magnetic properties of flux density remanence B r (T), maximum energy product BHmax (kJ/m3), and coercivity HC (kA/m) of bonded NdFeB sample magnets measured with DX-2012H150 magnetometer at room temperature.
Table 4. Summary of magnetic properties of flux density remanence B r (T), maximum energy product BHmax (kJ/m3), and coercivity HC (kA/m) of bonded NdFeB sample magnets measured with DX-2012H150 magnetometer at room temperature.
SamplePowderRatio of Powder
To Binder (%)
Br
(T)
(BH)max
(kJ/m3)
Hc
(kA/m)
A1MS-Powder_195–5% 0.6357.1659
A2MS-Powder_196.5–3.5%0.6560.1658
B1MS-Powder_295–5% 0.6054.7591
B2MS-Powder_296.5–3.5%0.6362.2664
C1MS-Powder_395–5% 0.5955.5675
C2MS-Powder_396.5–3.5% 0.6359.6551
D1MS-Powder_495–5% 0.5443.6527
D2MS-Powder_496.5–3.5% 0.5545.4522
Disclaimer/Publisher’s Note: The statements, opinions and data contained in all publications are solely those of the individual author(s) and contributor(s) and not of MDPI and/or the editor(s). MDPI and/or the editor(s) disclaim responsibility for any injury to people or property resulting from any ideas, methods, instructions or products referred to in the content.

Share and Cite

MDPI and ACS Style

Dimeli, E.; Anyfantis, D.I.; Sigalos, A.; Banis, A.; Niarchos, D. Fabrication and Properties of Axially Compressed Isotropic Epoxy-Bonded NdFeB Magnets with Partial Rare-Earth Substitution. Micro 2026, 6, 19. https://doi.org/10.3390/micro6010019

AMA Style

Dimeli E, Anyfantis DI, Sigalos A, Banis A, Niarchos D. Fabrication and Properties of Axially Compressed Isotropic Epoxy-Bonded NdFeB Magnets with Partial Rare-Earth Substitution. Micro. 2026; 6(1):19. https://doi.org/10.3390/micro6010019

Chicago/Turabian Style

Dimeli, Evangelia, Dimitrios I. Anyfantis, Athanasios Sigalos, Alexandros Banis, and Dimitrios Niarchos. 2026. "Fabrication and Properties of Axially Compressed Isotropic Epoxy-Bonded NdFeB Magnets with Partial Rare-Earth Substitution" Micro 6, no. 1: 19. https://doi.org/10.3390/micro6010019

APA Style

Dimeli, E., Anyfantis, D. I., Sigalos, A., Banis, A., & Niarchos, D. (2026). Fabrication and Properties of Axially Compressed Isotropic Epoxy-Bonded NdFeB Magnets with Partial Rare-Earth Substitution. Micro, 6(1), 19. https://doi.org/10.3390/micro6010019

Article Metrics

Back to TopTop