Sign in to use this feature.

Years

Between: -

Subjects

remove_circle_outline
remove_circle_outline
remove_circle_outline
remove_circle_outline
remove_circle_outline

Journals

Article Types

Countries / Regions

Search Results (87)

Search Parameters:
Keywords = colostrum intake

Order results
Result details
Results per page
Select all
Export citation of selected articles as:
31 pages, 487 KB  
Review
Main Husbandry Practices and Health Conditions That Affect Welfare in Calves: A Narrative Review
by Eva Mainau, Laurent Goby and Xavier Manteca
Animals 2025, 15(21), 3064; https://doi.org/10.3390/ani15213064 - 22 Oct 2025
Viewed by 485
Abstract
Calf welfare is critically influenced by early-life husbandry practices and health conditions. This narrative review synthesizes current evidence on key management practices affecting calf welfare, including calving, colostrum intake, milk feeding, water provision, weaning, housing, mutilations, and transport. A structured literature search was [...] Read more.
Calf welfare is critically influenced by early-life husbandry practices and health conditions. This narrative review synthesizes current evidence on key management practices affecting calf welfare, including calving, colostrum intake, milk feeding, water provision, weaning, housing, mutilations, and transport. A structured literature search was conducted in Web of Science and Scopus using general and topic-specific keywords, complemented by expert opinions from EFSA. Evidence-based recommendations are presented to improve calf welfare, emphasizing timely colostrum administration, biologically appropriate milk volumes, access to clean water from birth, gradual weaning, and stable social housing. Pain mitigation during disbudding and castration, along with strict biosecurity and hygiene, are essential to reduce disease risk. Despite advancements, significant knowledge gaps persist, including practical tools for on-farm colostrum assessment, optimal weaning protocols, the long-term impacts of early-life pain, and alternatives to current transport practices. The review highlights the need for standardized protocols, validated technologies, and enhanced training for farmers and veterinarians. Improving husbandry practices based on scientific evidence is essential to enhance calf health, productivity, and ethical sustainability in modern rearing systems. Full article
(This article belongs to the Section Animal Welfare)
21 pages, 1780 KB  
Article
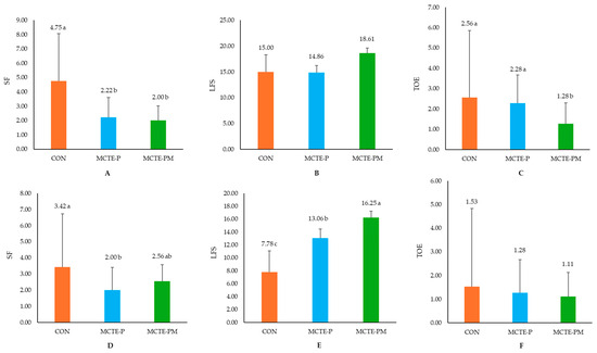
Medium-Chain Triglyceride Emulsion with Phytocannabinoids and Monolaurin Improves Growth and Survival in Suckling Piglets
by Adisak Kongkeaw, Wandee Tartrakoon, Sonthaya Numthuam, Tossaporn Incharoen, Noraphat Hwanhlem, Juan J. Loor and Rangsun Charoensook
Animals 2025, 15(19), 2881; https://doi.org/10.3390/ani15192881 - 1 Oct 2025
Viewed by 463
Abstract
This study aimed to evaluate the effects of medium-chain triglyceride (MCT) emulsions enriched with hemp-derived phytocannabinoids, with or without monolaurin, on neonatal piglet growth, health, and behavior. Trial 1 used an augmented factorial design with 75 sows and 1063 piglets to compare a [...] Read more.
This study aimed to evaluate the effects of medium-chain triglyceride (MCT) emulsions enriched with hemp-derived phytocannabinoids, with or without monolaurin, on neonatal piglet growth, health, and behavior. Trial 1 used an augmented factorial design with 75 sows and 1063 piglets to compare a baseline MCT emulsion (MCTE) with a phytocannabinoid-supplemented emulsion (MCTE-P) at low or high doses against toltrazuril control. All MCT emulsions improved key performance indicators such as weight gain and survival rates compared to the control group. In particular, live-born piglets at 24 h in the MCTE-P groups showed significantly greater body weight gain and colostrum intake compared with controls (p < 0.05). While overall pre-weaning mortality rates were similar across groups, the incidence of diarrhea- and starvation-related deaths was significantly lower in MCTE-P piglets (p < 0.05). Based on these results, Trial 2 involved 36 sows and 509 piglets assigned to three groups: low-dose MCTE-P (the optimal regimen from Trial 1), low-dose MCTE-P supplemented with monolaurin (MCTE-PM), and a toltrazuril control. Both MCTE-P and MCTE-PM improved average daily gain at weaning relative to the control group. MCTE-PM showed the lowest pre-weaning mortality (14.3%) and diarrhea-related deaths (0.86%), compared with 29.4% and 10.4% in controls, respectively (p < 0.05). Hematological analyses indicated that eosinophil percentages were lowest in the MCTE-PM group (p < 0.05), while serum total protein and globulin concentrations remained elevated in emulsion-treated piglets (p < 0.001). Behavioral assessments of 108 low-birth-weight piglets showed prolonged latency to first suckling in emulsion-treated groups, while teat competition and facial lesion scores, reflecting aggressive interactions, were reduced compared with controls. Overall, these findings demonstrate that MCT emulsions supplemented with phytocannabinoids and monolaurin improved growth and survival in neonatal piglets, especially those of low to medium birth weight, and highlight their potential as nutraceutical alternatives to antibiotic prophylaxis in swine production. Full article
(This article belongs to the Section Animal Nutrition)
Show Figures

Figure 1

21 pages, 693 KB  
Review
Selected Protective Mechanisms of Human Milk Against Intestinal Protozoal Infections in Infants
by Joanna Wróblewska, Anna Długosz, Marcin Wróblewski, Jarosław Nuszkiewicz, Paweł Sutkowy and Alina Woźniak
Curr. Issues Mol. Biol. 2025, 47(8), 674; https://doi.org/10.3390/cimb47080674 - 21 Aug 2025
Viewed by 1452
Abstract
Human milk, especially colostrum, is a biologically complex fluid with potent protective properties against gastrointestinal disturbances in infants. Among intestinal protozoa transmitted via the fecal–oral route, this review focuses on Giardia lamblia and Entamoeba histolytica, as the protective role of milk-derived factors [...] Read more.
Human milk, especially colostrum, is a biologically complex fluid with potent protective properties against gastrointestinal disturbances in infants. Among intestinal protozoa transmitted via the fecal–oral route, this review focuses on Giardia lamblia and Entamoeba histolytica, as the protective role of milk-derived factors against these parasites is the most extensively documented. Its protective effects result from a wide range of bioactive components, including mucins, lactoferrin, human milk oligosaccharides, melatonin, and secretory IgA, which support the integrity of the intestinal barrier, regulate immune responses, and inhibit the adhesion and activity of pathogens. The composition of human milk can be influenced by maternal factors such as nutritional status, stress, sleep quality, and physical activity, which may modulate its immunological potential. Dietary intake of micronutrients, fermentable fibers, and fermented foods also appears to play a role in shaping the milk’s protective properties. This review discusses the molecular mechanisms by which selected milk components contribute to the defense against protozoan infections in early life and considers how maternal health and lifestyle may affect the effectiveness of these protective mechanisms. Full article
Show Figures

Figure 1

12 pages, 615 KB  
Article
Saliva Immunoglobulin Concentrations Are Associated with Colostrum Intake and with Serum Concentrations in Newborn Calves
by Flávio G. Silva, Elsa Lamy, Paulo Infante, Cristina Conceição, Joaquim L. Cerqueira, Joana M. Ramalho, Marta González-Cabrera, Pedro Caetano, Luís Martins, Severiano R. Silva, Alfredo Pereira and Lorenzo E. Hernández-Castellano
Animals 2025, 15(15), 2224; https://doi.org/10.3390/ani15152224 - 28 Jul 2025
Viewed by 773
Abstract
The transfer of passive immunity (TPI) is vital for newborn calf health and is typically assessed through blood sampling to measure serum or plasma IgG or total protein levels. Saliva offers a less invasive alternative. This study evaluated the potential of saliva for [...] Read more.
The transfer of passive immunity (TPI) is vital for newborn calf health and is typically assessed through blood sampling to measure serum or plasma IgG or total protein levels. Saliva offers a less invasive alternative. This study evaluated the potential of saliva for assessing TPI. Saliva and serum samples were collected from 20 calves at birth and on days 1, 2, and 7 of life to measure IgG, IgA, IgM, and total protein concentrations. Colostrum fed to the calves was also analyzed for gross composition and immunoglobulin content. Colostrum intake and composition were associated with saliva IgG (R2 = 0.48; p = 0.019), saliva IgM (R2 = 0.73; p = 0.02), and saliva total protein (R2 = 0.41; p = 0.043). Serum IgG and IgA levels were predicted by saliva IgG (p < 0.001; R2 = 0.33) and IgA (p < 0.001; R2 = 0.13), respectively, though predictive accuracy varied by calf age (IgG: p < 0.001; R2 = 0.40; IgA: p < 0.001; R2 = 0.91). In conclusion, the results suggest that both saliva IgG and IgA concentrations could be used to predict IgG and IgA serum concentrations. Nevertheless, further studies are still needed to clarify the best time for sample collection. Full article
(This article belongs to the Section Cattle)
Show Figures

Figure 1

29 pages, 764 KB  
Review
Failure of Passive Immune Transfer in Neonatal Beef Calves: A Scoping Review
by Essam Abdelfattah, Erik Fausak and Gabriele Maier
Animals 2025, 15(14), 2072; https://doi.org/10.3390/ani15142072 - 14 Jul 2025
Viewed by 1979
Abstract
Neonatal calves possess an immature and naïve immune system and are reliant on the intake of maternal colostrum for the passive transfer of immunoglobulins. Maternal antibodies delivered to the calf via colostrum, are crucial to prevent calfhood diseases and death. Failure of transfer [...] Read more.
Neonatal calves possess an immature and naïve immune system and are reliant on the intake of maternal colostrum for the passive transfer of immunoglobulins. Maternal antibodies delivered to the calf via colostrum, are crucial to prevent calfhood diseases and death. Failure of transfer of passive immunity (FTPI) is a condition in which calves do not acquire enough maternal antibodies, mostly in the form of IgG, due to inadequate colostrum quality or delayed colostrum feeding. The diagnosis and risk factors for FTPI have been widely studied in dairy cattle; however, in beef calves, the research interest in the topic is relatively recent, and the most adequate diagnostic and preventative methods are still in development, making it difficult to define recommendations for the assessment and prevention of FTPI in cow–calf operations. The objective of this scoping review is to identify the published literature on best practices for colostrum management and transfer of passive immunity (TPI) in neonatal beef calves. The literature was searched using three electronic databases (CAB Direct, Scopus, and PubMed) for publications from 2003 to 2025. The search process was performed during the period from May to July 2023, and was repeated in January 2025. All screening processes were performed using Covidence systematic review software (Veritas Health Innovation, Melbourne, Australia). A total of 800 studies were initially identified through database searches. After removing duplicates, 346 studies were screened based on their titles and abstracts, leading to the exclusion of 260 studies. The remaining 86 studies underwent full-text screening, and 58 studies were considered eligible for data extraction. Hand-searching the references from published review papers on the subject yielded an additional five studies, bringing the total to 63 included articles. The prevalence of FTPI has been estimated to be between 5.8% and 34.5% in beef calves. Factors studied related to colostrum management include quality and quantity of colostrum intake, the timing and method of colostrum feeding, and the microbial content of the colostrum. Studies on risk factors related to the calf include the topics calf sex, twin status, calf vigor, weight, month of birth, cortisol and epinephrine concentrations, and the administration of nonsteroidal anti-inflammatory drugs to calves after difficult calving. The dam-related risk factors studied include dam body condition score and udder conformation, breed, parity, genetics, prepartum vaccinations and nutrition, calving area and difficulty, and the administration of nonsteroidal anti-inflammatory drugs at C-section. Most importantly for beef systems, calves with low vigor and a weak suckling reflex are at high risk for FTPI; therefore, these calves should be given extra attention to ensure an adequate consumption of colostrum. While serum IgG levels of < 8 g/L or < 10 g/L have been suggested as cutoffs for the diagnosis of FTPI, 16 g/L and 24 g/L have emerged as cutoffs for adequate and optimal serum IgG levels in beef calves. Several field-ready diagnostics have been compared in various studies to the reference standards for measuring indicators of TPI in beef calves, where results often differ between models or manufacturers. Therefore, care must be taken when interpreting these results. Full article
(This article belongs to the Collection Feeding Cattle for Health Improvement)
Show Figures

Figure 1

14 pages, 1138 KB  
Article
Validation of the Measurement of Beta-Hydroxybutyrate and Non-Esterified Fatty Acids in Bovine Saliva: A Pilot Report
by Camila P. Rubio, Lucas Rigueira, Marta Miranda, Pedro Javier Vallejo, Jesús Semitiel, David del Olmo, María D. Contreras-Aguilar, Flávio G. Silva, Elsa Lamy, Christian De la Fe, José J. Cerón and Fernando Tecles
Life 2025, 15(6), 854; https://doi.org/10.3390/life15060854 - 26 May 2025
Viewed by 1317
Abstract
Serum beta-hydroxybutyrate (BHB) and non-esterified fatty acids (NEFAs) are biomarkers of situations of negative energetic balance in bovine. However, knowledge about their possible measurement and use in saliva is limited. In this report, two commercially available methods for the measurement of BHB and [...] Read more.
Serum beta-hydroxybutyrate (BHB) and non-esterified fatty acids (NEFAs) are biomarkers of situations of negative energetic balance in bovine. However, knowledge about their possible measurement and use in saliva is limited. In this report, two commercially available methods for the measurement of BHB and NEFAs were validated for use in bovine saliva. Both methods showed good precision and accuracy. The BHB concentrations were correlated between the saliva and the serum, but not the NEFA concentrations. The cows with hyperketonemia (n = 17) had increased salivary BHB compared to the cows with no clinical signs and no hyperketonemia (n = 34) and those with clinical signs of metritis (n = 17). The salivary NEFA concentration increased in newborn calves (n = 10) on days 1 and 2 of life compared to the day of birth before colostrum intake. The calves with symptomatic bovine respiratory disease complex (BRD, n = 7) showed higher salivary NEFA concentrations than those without clinical symptoms (n = 6). Thus, BHB and NEFAs can be reliably measured in bovine saliva using easily automatable colorimetric methods. Salivary BHB increased in hyperketonemia and could be a potential biomarker of this condition. Further studies should be undertaken to clarify the mechanism and possible use of salivary NEFAs as biomarkers. Full article
Show Figures

Figure 1

13 pages, 3379 KB  
Article
Serum Amyloid A Concentrations in Young Japanese Black Cattle: Relationship with Colostrum Intake and Establishing Cut-Off Concentrations
by Urara Shinya, Osamu Yamato, Yuka Iwamura, Tomohiro Kato, Yuhei Hamada, Oky Setyo Widodo, Masayasu Taniguchi and Mitsuhiro Takagi
Animals 2025, 15(9), 1239; https://doi.org/10.3390/ani15091239 - 28 Apr 2025
Cited by 1 | Viewed by 749
Abstract
This study aimed to investigate the variations in serum amyloid A (SAA) concentrations and influencing factors in young Japanese Black (JB) cattle. The cut-off values were 18.5 mg/L, 17.7 mg/L, 14.4 mg/L, and 8.1 mg/L at 30–59, 60–89, 90–119, and 120–300 days of [...] Read more.
This study aimed to investigate the variations in serum amyloid A (SAA) concentrations and influencing factors in young Japanese Black (JB) cattle. The cut-off values were 18.5 mg/L, 17.7 mg/L, 14.4 mg/L, and 8.1 mg/L at 30–59, 60–89, 90–119, and 120–300 days of age, respectively. Calves that ingested colostrum had significantly higher SAA concentrations than those that did not. The SAA concentrations at 1–7 days of age showed no correlation with γ-glutamyltransferase, total protein, or globulin levels. A slight increase in mammary-associated amyloid A concentrations—a colostrum-derived SAA—was observed before and after colostrum intake on 1 day of age; however, a significant overall increase in SAA concentrations was noted. The reference values for the SAA concentration in 1-month-old calves also showed a gradual decline. These findings suggest that the elevated SAA concentrations in 1-month-old JB calves, similar to Holstein calves, are not due to absorption from colostrum but SAA is instead biosynthesized by the calves as a biological defense mechanism. The clinical application of SAA concentrations in JB calves after one month of age may contribute to improving calf productivity. Full article
(This article belongs to the Section Veterinary Clinical Studies)
Show Figures

Figure 1

13 pages, 1030 KB  
Article
The Influence of the Associated Inactivated Vaccine Against Infectious Rhinotracheitis and Bovine Viral Diarrhea on the Formation and Duration of Colostral Immunity in Kazakh Whiteheaded Calves
by Yerbol Bulatov, Alina Kurmasheva, Zhanat Amanova, Ruslan Abitaev, Zhanna Sametova, Asselya Kyrgyzbayeva, Zhanat Kondybaeva, Sholpan Turyskeldi, Abdurakhman Ussembay, Dariya Toktyrova, Dana Mazbayeva, Yeraly Shayakhmetov, Aslan Kerimbayev, Damir Khussainov, Ma Wentao, Aralbek Rsaliyev and Yergali Abduraimov
Vaccines 2025, 13(4), 408; https://doi.org/10.3390/vaccines13040408 - 15 Apr 2025
Cited by 1 | Viewed by 1404
Abstract
Objectives: This article presents a study evaluating the antibody levels against infectious bovine rhinotracheitis (IBR) and bovine viral diarrhea (BVD) in Kazakh Whiteheaded calves born to dams immunized with an experimental inactivated combined vaccine against these infections. The vaccine formulation includes the [...] Read more.
Objectives: This article presents a study evaluating the antibody levels against infectious bovine rhinotracheitis (IBR) and bovine viral diarrhea (BVD) in Kazakh Whiteheaded calves born to dams immunized with an experimental inactivated combined vaccine against these infections. The vaccine formulation includes the strains “R-93” (IBR) and “Oregon C24V” (BVD), which are preserved in the microorganism collection of the Research Institute for Biological Safety Problems. Methods: To assess the immune response in newborn calves, blood serum samples were collected before the first intake of colostrum, followed by weekly sampling for 28 weeks post-birth. The antibody response was determined using a virus neutralization assay on MDBK cell cultures and lamb testicle cell cultures. Results: The results demonstrated that the protective antibody level against the IBR virus (≥2 log2) persisted for up to 25 weeks, while the protective level against the BVD virus (≥3 log2) remained for 23 weeks. Based on these findings, the vaccine was deemed safe, as it did not induce abortions or clinical manifestations of the diseases. The overall duration of the colostral immunity in calves against the IBR and BVD viruses reached 23 weeks. Conclusions: Therefore, it is recommended that Kazakh Whiteheaded calves be vaccinated with the associated inactivated vaccine against infectious bovine rhinotracheitis and bovine viral diarrhea no earlier than 23 weeks of age. Full article
(This article belongs to the Special Issue Animal Diseases: Immune Response and Vaccines)
Show Figures

Figure 1

10 pages, 983 KB  
Article
Type and Volume of Milk Intake in Premature Infants <33 Weeks Gestational Age in the Neonatal Intensive Care Unit
by Sudha Rani Narasimhan, Maricela Vallejo, Matthew Nudelman and Priya Jegatheesan
Children 2025, 12(4), 431; https://doi.org/10.3390/children12040431 - 29 Mar 2025
Viewed by 1208
Abstract
Background: Understanding the patterns of milk intake in the neonatal intensive care unit (NICU) will allow opportunities to intervene to improve mother’s milk supply. Objective: To quantify the type and volume of milk intake in premature infants throughout the NICU stay. Methods: This [...] Read more.
Background: Understanding the patterns of milk intake in the neonatal intensive care unit (NICU) will allow opportunities to intervene to improve mother’s milk supply. Objective: To quantify the type and volume of milk intake in premature infants throughout the NICU stay. Methods: This retrospective observational cohort study included infants born and admitted to the NICU at <33 weeks gestation from January 2014 to December 2017 who did not have contraindications for receiving mother’s own milk (MOM). Daily volume of MOM, pasteurized donor milk (PDM), and formula throughout the NICU stay were collected. Infants were categorized as exclusive human milk diet (EHM) if they consumed MOM and PDM or mixed diet if they consumed formula and MOM and/or PDM. Demographics, feeding outcomes, growth outcomes, and neonatal morbidities were collected. Results: Of 195 study infants, 133 (32%) received EHM. Cumulative volume and percent of MOM intake were greater in the EHM group compared to the mixed diet group. Age of first colostrum administration to infant was earlier in the EHM group than the mixed diet group (3.1 vs. 4.9, p = 0.013). By the second week of life, the EHM group received 100% of their feeds as MOM but the maximum MOM received in the mixed diet group was 63%. There was no difference in other feeding or neonatal outcomes between the groups. Conclusion: The EHM group received colostrum earlier than those who received a mixed diet with formula and reached full MOM by the second week of life. This represents the opportunity to address challenges of milk supply of mothers with premature infants in the NICU in the first two weeks after birth. Full article
(This article belongs to the Special Issue Promoting Breastfeeding and Human Milk in Infants)
Show Figures

Figure 1

36 pages, 2761 KB  
Review
Factors Affecting the Ig Content of Sow’s Colostrum: A Systematic Review and Meta-Analysis
by Csaba Szabó, Arth David Sol Valmoria Ortega, James Kachungwa Lugata, Levente Czeglédi, Brigitta Csernus, Gabriella Gulyás, Béla Kovács, Károly Pál, Tünde Pusztahelyi, Rozália Kasza, Gábor Czakó and Márta Horváth
Agriculture 2025, 15(6), 641; https://doi.org/10.3390/agriculture15060641 - 18 Mar 2025
Cited by 2 | Viewed by 3118
Abstract
Over the last few decades, the productivity of sows has improved tremendously, especially in terms of litter size. Colostral immunoglobulins (Igs) are essential for the early protection of piglets against pathogens. We hypothesized that with the increase in sows’ productivity, the Ig content [...] Read more.
Over the last few decades, the productivity of sows has improved tremendously, especially in terms of litter size. Colostral immunoglobulins (Igs) are essential for the early protection of piglets against pathogens. We hypothesized that with the increase in sows’ productivity, the Ig content of colostrum has declined. The research results reviewed confirmed a negative trend in the case of IgG and IgA. The sows’ blood IgG and IgM concentrations decreased from late gestational levels, confirming the transfer from serum (with most of them not synthesized in the mammary gland). This connection was also confirmed by our correlation analyses. Colostrum Ig levels correlate well with the piglets’ blood Ig concentrations, proving the importance of colostral Ig intake. The most effective feed supplements are antioxidants and arginine to improve the Ig content of the blood (about 30 to 70%) and colostrum (about 10 to 70%). Pre- and probiotics and other feed supplements express only a modest (about +10 to 20%) but positive effect. Full article
(This article belongs to the Section Farm Animal Production)
Show Figures

Figure 1

10 pages, 849 KB  
Article
Effect of Blood Sampling Time After Colostrum Intake on the Concentration of Metabolites Indicative of the Passive Immunity Transfer in Newborn Dairy Calves
by Mohammad Hassan Mortazavi, Nathalia Brito Rocha, Marília Ribeiro de Paula, Evangelina Miqueo, Marcia Saladini Vieira Salles, Paulo Henrique Mazza Rodrigues and Carla Maris Machado Bittar
Animals 2024, 14(21), 3133; https://doi.org/10.3390/ani14213133 - 31 Oct 2024
Viewed by 1694
Abstract
Due to the synepitheliochorial placental structure, bovines show no maternal antibody flow from mother to fetus during pregnancy, resulting in an agammaglobulemic newborn [...] Full article
(This article belongs to the Section Animal Nutrition)
Show Figures

Figure 1

17 pages, 902 KB  
Article
Pilot Study on the Effect of Patient Condition and Clinical Parameters on Hypoxia-Induced Factor Expression: HIF1A, EPAS1 and HIF3A in Human Colostrum Cells
by Julia Zarychta, Adrian Kowalczyk, Karolina Słowik, Dominika Przywara, Alicja Petniak, Adrianna Kondracka, Monika Wójtowicz-Marzec, Patrycja Słyk-Gulewska, Anna Kwaśniewska, Janusz Kocki and Paulina Gil-Kulik
Int. J. Mol. Sci. 2024, 25(20), 11042; https://doi.org/10.3390/ijms252011042 - 14 Oct 2024
Viewed by 1792
Abstract
Hypoxia-inducible factor 1 (HIF-1) may play a role in mammary gland development, milk production and secretion in mammals. Due to the limited number of scientific reports on the expression of HIF genes in colostrum cells, it was decided to examine the expression of [...] Read more.
Hypoxia-inducible factor 1 (HIF-1) may play a role in mammary gland development, milk production and secretion in mammals. Due to the limited number of scientific reports on the expression of HIF genes in colostrum cells, it was decided to examine the expression of HIF1A, HIF3A and EPAS1 in the these cells, collected from 35 patients who voluntarily agreed to provide their biological material for research, were informed about the purpose of the study and signed a consent to participate in it. The expression of HIF genes was assessed using qPCR. Additionally, the influence of clinical parameters (method of delivery, occurrence of stillbirths in previous pregnancies, BMI level before pregnancy and at the moment of delivery, presence of hypertension during pregnancy, presence of Escherichia coli in vaginal culture, iron supplement and heparin intake during pregnancy) on the gene expression was assessed, revealing statistically significant correlations. The expression of HIF1A was 3.5-fold higher in the case of patients with the presence of E. coli in vaginal culture (p = 0.041) and 2.5 times higher (p = 0.031) in samples from women who used heparin during pregnancy. Approximately 1.7-fold higher expression of the EPAS1 was observed in women who did not supplement iron during pregnancy (p = 0.046). To our knowledge, these are the first studies showing the relationship between HIF expression in cells from breast milk and the method of delivery and health condition of women giving birth. The assessment of HIF expression requires deeper examination in a larger study group, and the results of further studies will allow to determine whether HIF can become biomarkers in pregnancy pathology states. Full article
(This article belongs to the Special Issue Pathogenesis of Pregnancy-Related Complication (5th Edition))
Show Figures

Figure 1

18 pages, 1815 KB  
Article
Thriving or Striving: Comparing Intra-Uterine Growth Restricted, Low Birth Weight and Normal Birth Weight Piglets within the First 24 Hours
by Marlotte Loyens, Lieselotte Van Bockstal, Sara Prims, Steven Van Cruchten and Chris Van Ginneken
Animals 2024, 14(17), 2508; https://doi.org/10.3390/ani14172508 - 29 Aug 2024
Cited by 3 | Viewed by 2960
Abstract
This observational study explored the early-life challenges of intra-uterine growth restricted (IUGR), low birth body weight (LBW), and normal birth body weight (NBW) piglets. The aim was to understand the impact of birth weight and intra-uterine growth restriction phenotype on neonatal survival and [...] Read more.
This observational study explored the early-life challenges of intra-uterine growth restricted (IUGR), low birth body weight (LBW), and normal birth body weight (NBW) piglets. The aim was to understand the impact of birth weight and intra-uterine growth restriction phenotype on neonatal survival and behavior. Based on weight and phenotype, piglets were classified as IUGR (n = 32), LBW (n = 34), and NBW (n = 29) immediately after birth. The piglets were litter- and sex-matched. Vitality scores were assigned based on motor activity and breathing and complemented with an assessment of umbilical cord condition, rectal temperature, crown–rump length (CRL), time to reach the udder, time to suckle, colostrum intake, and weight gain over 24 h. Beyond the lower birth weight, reduced CRL, and higher mortality rate, IUGR piglets faced several other challenges compared with LBW and NBW piglets. Growth-impaired piglets often struggled to engage in early feeding behaviors and displayed consistently lower rectal temperatures at 1, 3 and 24 h after birth. IUGR piglets showed inadequate colostrum intake and weight loss, which were also observed for LBW counterparts. In contrast, no significant differences were observed in vitality scores and umbilical cord conditions across the groups. In conclusion, our findings underscore the impact of intra-uterine growth restriction on neonatal piglets, emphasizing the need for specialized care strategies to improve survival and health outcomes in IUGR. Full article
(This article belongs to the Section Pigs)
Show Figures

Figure 1

14 pages, 4225 KB  
Article
Comparative Analysis of Angora Rabbit Colostrum and Mature Milk Using Quantitative Proteomics
by Dongwei Huang, Yuanlang Wang, Haisheng Ding and Huiling Zhao
Biology 2024, 13(8), 634; https://doi.org/10.3390/biology13080634 - 19 Aug 2024
Cited by 2 | Viewed by 1854
Abstract
Colostrum intake is a crucial determinant of survival in newborn rabbits. Neonates rely entirely on passive immunity transfer from their mothers while suckling colostrum. The goal of this study was to explore the protein differences of rabbit milk during different lactation periods. Our [...] Read more.
Colostrum intake is a crucial determinant of survival in newborn rabbits. Neonates rely entirely on passive immunity transfer from their mothers while suckling colostrum. The goal of this study was to explore the protein differences of rabbit milk during different lactation periods. Our findings showed that the daily milk yield exhibited an increasing trend from the 2nd to the 21st day of lactation. A data-independent acquisition proteomics approach identified a total of 2011 proteins. Significantly, different abundances were found for 525 proteins in the colostrum and the mature milk samples. Eleven differentially abundant proteins (DAPs) were examined using parallel reaction monitoring, which verified the reliability of the proteomic data. Gene Ontology analysis revealed that these DAPs were primarily associated with glycosyltransferase activity, macromolecule transmembrane transporter activity, and regulation of acute inflammatory response. The dominant metabolic pathways of the DAPs involve the complement and coagulation cascades. A protein–protein interaction analysis identified apolipoprotein B, apolipoprotein A1, triose phosphate isomerase 1, and albumin as the hub proteins responsible for distinguishing differences between biological properties in rabbit colostrum and mature milk. These findings enhance our comprehension of the rabbit milk proteome, particularly in expanding our knowledge regarding the requirements of neonatal rabbits. Full article
(This article belongs to the Special Issue New Advances and Insights in Animal Genetics and Breeding 2.0)
Show Figures

Figure 1

14 pages, 1352 KB  
Article
Effect of Postbiotic Supplementation on Nutrient Digestibility and Milk Yield during the Transition Period in Dairy Cows
by Fernando Vicente, María Campo-Celada, Mario Menéndez-Miranda, Jairo García-Rodríguez and Adela Martínez-Fernández
Animals 2024, 14(16), 2359; https://doi.org/10.3390/ani14162359 - 15 Aug 2024
Cited by 3 | Viewed by 3645
Abstract
The metabolites secreted by probiotics or released after their lysis are called postbiotics. They provide physiological benefits to the host, preventing the colonisation of pathogens by improving the intestinal environment for beneficial commensal bacteria, which reduces the incidence of digestive disorders and improves [...] Read more.
The metabolites secreted by probiotics or released after their lysis are called postbiotics. They provide physiological benefits to the host, preventing the colonisation of pathogens by improving the intestinal environment for beneficial commensal bacteria, which reduces the incidence of digestive disorders and improves the immune system. The aim of this work was to evaluate the addition of postbiotics to dairy cow rations during the transition period on nutrient digestibility, composition, and milk yield. The effects of two postbiotics were evaluated in twelve Friesian cows from 30 days before calving to two months of lactation. The animals were randomly allocated to two treatment groups: control (CT) and supplemented with postbiotics (PC and PR). Feeding was ad libitum with 60/40 of forage/concentrate ratio on dry matter basis. Daily feed intake and milk production were recorded individually throughout the study. Two digestibility balances were performed, one before parturition and one after parturition. Colostrum was sampled at first milking and milk was sampled weekly. Data were analysed using a mixed mode in R software 4.4.1. The results suggest that postbiotic supplementation in late gestation and early lactation increase the voluntary intake of dry matter, especially in the PR treatment, with higher apparent total tract digestibility of dry matter, organic matter and neutral detergent fibre. Both treatments including postbiotics induced an increase in colostral immunoglobulin concentration. Milk production of cows receiving the PC treatment was the highest, with high fat and protein yields and a higher persistence of the production curve throughout the lactation. Full article
(This article belongs to the Section Animal Nutrition)
Show Figures

Figure 1

Back to TopTop