Pilot Study on the Effect of Patient Condition and Clinical Parameters on Hypoxia-Induced Factor Expression: HIF1A, EPAS1 and HIF3A in Human Colostrum Cells
Abstract
1. Introduction
2. Results
2.1. Study Group
2.2. Gene Expression Analysis
2.3. Influence of the Method of Delivery
2.4. Influence of the Occurrence of Stillbirths
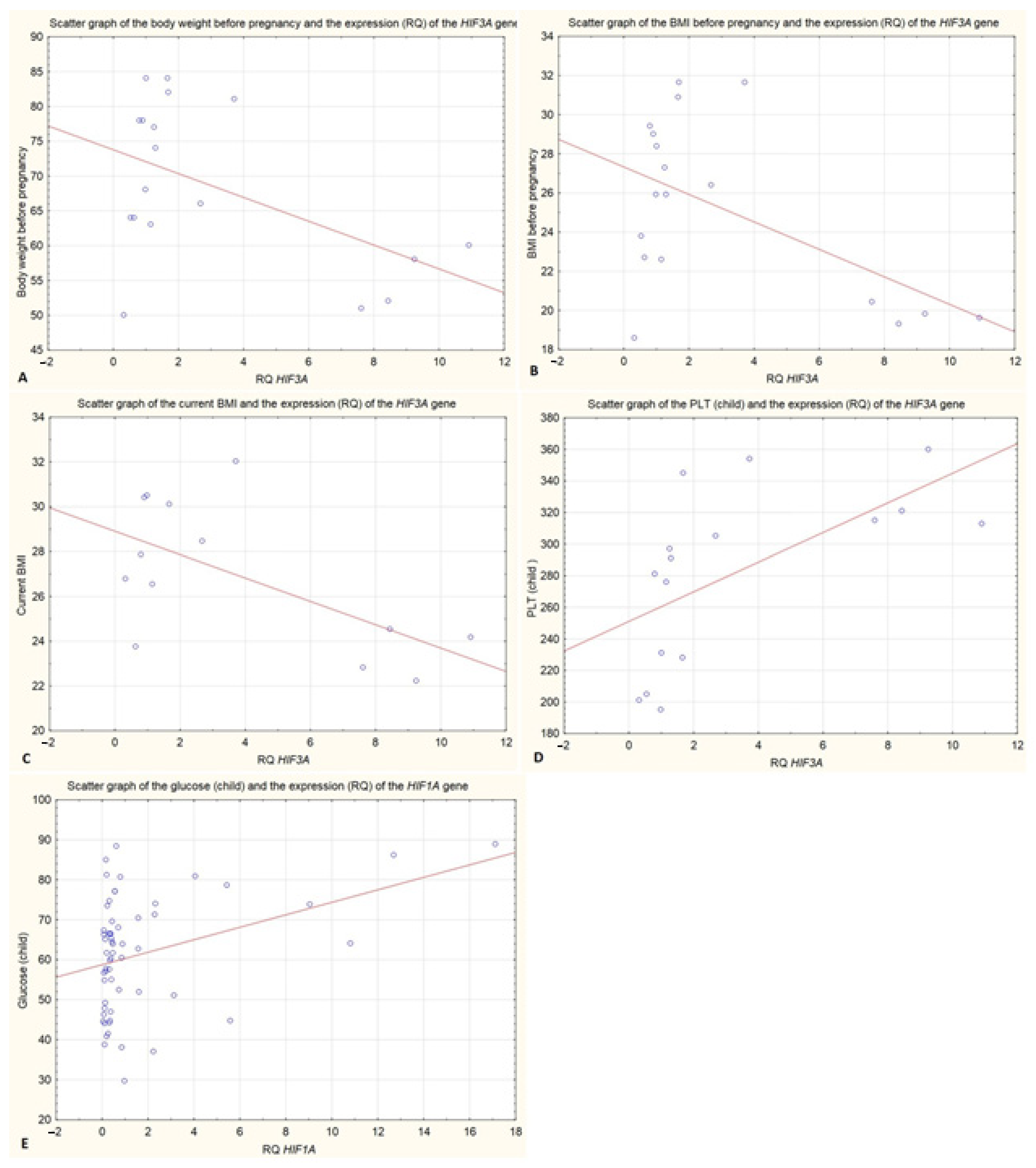
2.5. Influence of the BMI Level before Pregnancy
2.6. Influence of the BMI Level at the Moment of Delivery
2.7. Influence of the Presence of Hypertension during Pregnancy
2.8. Influence of the Presence of E. coli in Vaginal Culture
2.9. Influence of the Iron Supplement Intake during Pregnancy
2.10. Influence of the Heparin Intake during Pregnancy
3. Discussion
3.1. The Method of Delivery Affects HIF3A Gene Expression
3.2. The Occurrence of Stillbirths Affects EPAS1 Gene Expression
3.3. The BMI Level Affects HIF3A Gene Expression
3.4. The Occurrence of Hypertension during Pregnancy Affects EPAS1 Gene Expression
3.5. The Presence of E. coli in Vaginal Culture Influences HIF1A Gene Expression
3.6. EPAS1 Gene Expression Is Affected by Iron Supplement Intake during Pregnancy
3.7. HIF1A Gene Expression Is Affected by Heparin Intake during Pregnancy
4. Materials and Methods
4.1. Ethics Approval and Sample Collection
4.2. Sample Size
4.3. Isolation of Total Cellular Ribonucleic Acid (RNA) from Breast Milk Samples
4.4. Complementary DNA (cDNA) Synthesis in Reverse Transcription Reaction
4.5. Real-Time Polymerase Chain Reaction (PCR)
- TaqMan HIF1A: Hs00153153_m1 NM_001243084.1
- TaqMan HIF3A: Hs00541709_m1; NM_022462.4;
- TaqMan EPAS1: Hs01026149_m1; NM_001430.4;
- GAPDH (Hs99999905_m1; NM_001289746.1) (Applied Biosystems by Thermo fisher Scientific, Pleasanton, CA, USA) was used as an endogenous control.
4.6. Evaluation of the Expression Level of the Studied Genes
4.7. Statistical Analysis
4.8. Evaluation of Clinical Data
5. Conclusions
Supplementary Materials
Author Contributions
Funding
Institutional Review Board Statement
Informed Consent Statement
Data Availability Statement
Conflicts of Interest
References
- Yfantis, A.; Mylonis, I.; Chachami, G.; Nikolaidis, M.; Amoutzias, G.D.; Paraskeva, E.; Simos, G. Transcriptional Response to Hypoxia: The Role of HIF-1-Associated Co-Regulators. Cells 2023, 12, 798. [Google Scholar] [CrossRef] [PubMed]
- Semenza, G.L.; Wang, G.L. A nuclear factor induced by hypoxia via de novo protein synthesis binds to the human erythropoietin gene enhancer at a site required for transcriptional activation. Mol. Cell. Biol. 1992, 12, 5447–5454. [Google Scholar] [PubMed]
- Jaśkiewicz, M.; Moszyńska, A.; Króliczewski, J.; Cabaj, A.; Bartoszewska, S.; Charzyńska, A.; Gebert, M.; Dąbrowski, M.; Collawn, J.F.; Bartoszewski, R. The transition from HIF-1 to HIF-2 during prolonged hypoxia results from reactivation of PHDs and HIF1A mRNA instability. Cell. Mol. Biol. Lett. 2022, 27, 109. [Google Scholar] [CrossRef]
- Lee, J.W.; Bae, S.H.; Jeong, J.W.; Kim, S.H.; Kim, K.W. Hypoxia-inducible factor (HIF-1)alpha: Its protein stability and biological functions. Exp. Mol. Med. 2004, 36, 1–12. [Google Scholar] [CrossRef] [PubMed]
- Kong, Y.; Liu, P.K.; Li, Y.; Nolan, N.D.; Quinn, P.M.J.; Hsu, C.W.; Jenny, L.A.; Zhao, J.; Cui, X.; Chang, Y.J.; et al. HIF2α activation and mitochondrial deficit due to iron chelation cause retinal atrophy. EMBO Mol. Med. 2023, 15, e16525. [Google Scholar] [CrossRef] [PubMed]
- Zhao, J.; Du, F.; Shen, G.; Zheng, F.; Xu, B. The role of hypoxia-inducible factor-2 in digestive system cancers. Cell Death Dis. 2015, 6, e1600. [Google Scholar] [CrossRef] [PubMed]
- Keith, B.; Johnson, R.S.; Simon, M.C. HIF1α and HIF2α: Sibling rivalry in hypoxic tumour growth and progression. Nat. Rev. Cancer 2011, 12, 9–22. [Google Scholar] [CrossRef]
- Yang, S.L.; Wu, C.; Xiong, Z.F.; Fang, X. Progress on hypoxia-inducible factor-3: Its structure, gene regulation and biological function (Review). Mol. Med. Rep. 2015, 12, 2411–2416. [Google Scholar] [CrossRef]
- Duan, C. Hypoxia-inducible factor 3 biology: Complexities and emerging themes. Am. J. Physiol. Cell Physiol. 2016, 310, C260–C269. [Google Scholar] [CrossRef]
- Thompson, L.P.; Srimmins, S.; Telugu, B.P.; Turan, S. Intrauterine hypoxia: Clinical consequences and therapeutic perspectives. Res. Rep. Neonatol. 2015, 5, 79–89. [Google Scholar] [CrossRef]
- Chang, C.W.; Wakeland, A.K.; Parast, M.M. Trophoblast lineage specification, differentiation and their regulation by oxygen tension. J. Endocrinol. 2018, 236, R43–R56. [Google Scholar] [CrossRef] [PubMed]
- Pringle, K.G.; Kind, K.L.; Sferruzzi-Perri, A.N.; Thompson, J.G.; Roberts, C.T. Beyond oxygen: Complex regulation and activity of hypoxia inducible factors in pregnancy. Hum. Reprod. Update 2010, 16, 415–431. [Google Scholar] [CrossRef] [PubMed]
- Ietta, F.; Wu, Y.; Winter, J.; Xu, J.; Wang, J.; Post, M.; Caniggia, I. Dynamic HIF1A regulation during human placental development. Biol. Reprod. 2006, 75, 112–121. [Google Scholar] [CrossRef] [PubMed]
- Colson, A.; Depoix, C.L.; Baldin, P.; Hubinont, C.; Sonveaux, P.; Debiève, F. Hypoxia-inducible factor 2 alpha impairs human cytotrophoblast syncytialization: New insights into placental dysfunction and fetal growth restriction. FASEB J. 2020, 34, 15222–15235. [Google Scholar] [CrossRef]
- Seagroves, T.N.; Hadsell, D.; McManaman, J.; Palmer, C.; Liao, D.; McNulty, W.; Welm, B.; Wagner, K.U.; Neville, M.; Johnson, R.S. HIF1alpha is a critical regulator of secretory differentiation and activation, but not vascular expansion, in the mouse mammary gland. Development 2003, 130, 1713–1724. [Google Scholar] [CrossRef] [PubMed][Green Version]
- Riskin, A.; Mond, Y. Prolactin-induced Subcellular Targeting of GLUT1 Glucose Transporter in Living Mammary Epithelial Cells. Rambam Maimonides Med. J. 2015, 6, e0038. [Google Scholar] [CrossRef]
- Shao, Y.; Wellman, T.L.; Lounsbury, K.M.; Zhao, F.Q. Differential regulation of GLUT1 and GLUT8 expression by hypoxia in mammary epithelial cells. Am. J. Physiol. Regul. Integr. Comp. Physiol. 2014, 307, R237–R247. [Google Scholar] [CrossRef]
- Hu, Z.; Lu, Y.; Cai, J.; Liu, J.; Wang, D. Cross-Oxygen Gradients Transcriptomic Comparison Revealed the Central Role of MAPK and Hippo in Hypoxia-Mediated Mammary Proliferation Inhibition. Antioxidants 2024, 13, 288. [Google Scholar] [CrossRef]
- Mattmiller, S.A.; Corl, C.M.; Gandy, J.C.; Loor, J.J.; Sordillo, L.M. Glucose transporter and hypoxia-associated gene expression in the mammary gland of transition dairy cattle. J. Dairy. Sci. 2011, 94, 2912–2922. [Google Scholar] [CrossRef]
- Påhlman, S.; Lund, L.R.; Jögi, A. Differential HIF-1α and HIF-2α Expression in Mammary Epithelial Cells during Fat Pad Invasion, Lactation, and Involution. PLoS ONE 2015, 10, e0125771. [Google Scholar] [CrossRef]
- Helczynska, K.; Larsson, A.M.; Holmquist Mengelbier, L.; Bridges, E.; Fredlund, E.; Borgquist, S.; Landberg, G.; Påhlman, S.; Jirström, K. Hypoxia-inducible factor-2alpha correlates to distant recurrence and poor outcome in invasive breast cancer. Cancer Res. 2008, 68, 9212–9220. [Google Scholar] [CrossRef] [PubMed]
- Bos, R.; Zhong, H.; Hanrahan, C.F.; Mommers, E.C.; Semenza, G.L.; Pinedo, H.M.; Abeloff, M.D.; Simons, J.W.; van Diest, P.J.; van der Wall, E. Levels of hypoxia-inducible factor-1 alpha during breast carcinogenesis. J. Natl. Cancer Inst. 2001, 93, 309–314. [Google Scholar] [CrossRef] [PubMed]
- Liu, X.; Xie, P.; Hao, N.; Zhang, M.; Liu, Y.; Liu, P.; Semenza, G.L.; He, J.; Zhang, H. HIF-1-regulated expression of calreticulin promotes breast tumorigenesis and progression through Wnt/β-catenin pathway activation. Proc. Natl. Acad. Sci. USA 2021, 118, e2109144118. [Google Scholar] [CrossRef] [PubMed]
- Lyu, Y.; Chen, Y. Digested Human Colostrum Reduces Interleukin-8 Production in Induced Human Intestinal Epithelial Cells. Nutrients 2022, 14, 2787. [Google Scholar] [CrossRef] [PubMed]
- Prasanphanich, N.S.; Gregory, E.J.; Erickson, J.J.; Miller-Handley, H.; Kinder, J.M.; Way, S.S. Preconceptual priming overrides susceptibility to escherichia coli systemic infection during pregnancy. mBio 2021, 12, e00002-21. [Google Scholar] [CrossRef]
- Apgar, V. A proposal for a new method of evaluation of the newborn infant. Curr. Res. Anesth. Analg. 1953, 32, 260–267. [Google Scholar] [CrossRef]
- Quenby, S.; Pierce, S.J.; Brigham, S.; Wray, S. Dysfunctional labor and myometrial lactic acidosis. Obstet. Gynecol. 2004, 103, 718–723. [Google Scholar] [CrossRef] [PubMed]
- Bugg, G.J.; Riley, M.J.; Johnston, T.A.; Baker, P.N.; Taggart, M.J. Hypoxic inhibition of human myometrial contractions in vitro: Implications for the regulation of parturition. Eur. J. Clin. Investig. 2006, 36, 133–140. [Google Scholar] [CrossRef]
- Wen, B.; Zheng, Z.; Wang, L.; Qian, X.; Wang, X.; Chen, Y.; Bao, J.; Jiang, Y.; Ji, K.; Liu, H. HIF-1α is essential for the augmentation of myometrial contractility during labor. Biol. Reprod. 2022, 107, 1540–1550. [Google Scholar] [CrossRef]
- Wang, X.; Chen, L.; Wen, B.; Wang, L.; Yang, F.; Bao, J.; Pan, X.; Zhang, G.; Ji, K.; Liu, H. Serpin family E member 1 enhances myometrium contractility by increasing ATP production during labor. FASEB J. 2024, 38, e23368. [Google Scholar] [CrossRef] [PubMed]
- Liang, L.; Yang, Y.; Yang, L.; Zhang, X.; Xu, S.; Liu, Y.; Wu, X.; Chao, L. HIF-1α is positively associated with endometrial receptivity by regulating PKM2. J. Obstet. Gynaecol. Res. 2023, 49, 2734–2745. [Google Scholar] [CrossRef] [PubMed]
- Maybin, J.A.; Murray, A.A.; Saunders, P.T.K.; Hirani, N.; Carmeliet, P.; Critchley, H.O.D. Hypoxia and hypoxia inducible factor-1α are required for normal endometrial repair during menstruation. Nat. Commun. 2018, 9, 295. [Google Scholar] [CrossRef] [PubMed]
- Patterson, A.L.; Zhang, L.; Arango, N.A.; Teixeira, J.; Pru, J.K. Mesenchymal-to-epithelial transition contributes to endometrial regeneration following natural and artificial decidualization. Stem Cells Dev. 2013, 22, 964–974. [Google Scholar] [CrossRef]
- Graham, N.; Heazell, A.E.P. When the Fetus Goes Still and the Birth Is Tragic: The Role of the Placenta in Stillbirths. Obstet. Gynecol. Clin. N. Am. 2020, 47, 183–196. [Google Scholar] [CrossRef] [PubMed]
- Hsiao, E.Y.; Patterson, P.H. Placental regulation of maternal-fetal interactions and brain development. Dev. Neurobiol. 2012, 72, 1317–1326. [Google Scholar] [CrossRef]
- Gou, J.; Jia, J.; Feng, J.; Zhao, X.; Yi, T.; Cui, T.; Li, Z. Stathmin 1 plays a role in endometrial decidualisation by regulating hypoxia inducible factor-1α and vascular endothelial growth factor during embryo implantation. Reprod. Fertil. Dev. 2017, 29, 1530–1537. [Google Scholar] [CrossRef] [PubMed]
- Matsumoto, L.; Hirota, Y.; Saito-Fujita, T.; Takeda, N.; Tanaka, T.; Hiraoka, T.; Akaeda, S.; Fujita, H.; Shimizu-Hirota, R.; Igaue, S.; et al. HIF2α in the uterine stroma permits embryo invasion and luminal epithelium detachment. J. Clin. Investig. 2018, 128, 3186–3197. [Google Scholar] [CrossRef] [PubMed]
- Köstlin-Gille, N.; Dietz, S.; Schwarz, J.; Spring, B.; Pauluschke-Fröhlich, J.; Poets, C.F.; Gille, C. HIF-1α-Deficiency in Myeloid Cells Leads to a Disturbed Accumulation of Myeloid Derived Suppressor Cells (MDSC) During Pregnancy and to an Increased Abortion Rate in Mice. Front. Immunol. 2019, 10, 161. [Google Scholar] [CrossRef]
- Flenady, V.; Koopmans, L.; Middleton, P.; Frøen, J.F.; Smith, G.C.; Gibbons, K.; Coory, M.; Gordon, A.; Ellwood, D.; McIntyre, H.D.; et al. Major risk factors for stillbirth in high-income countries: A systematic review and meta-analysis. Lancet 2011, 377, 1331–1340. [Google Scholar] [CrossRef]
- UNICEF Data. Stillbirth. Available online: https://data.unicef.org/topic/child-survival/stillbirths/ (accessed on 28 January 2024).
- WHO Europe. Fact Sheets. A Healthy Lifestyle—WHO Recommendations. Available online: https://www.who.int/europe/news-room/fact-sheets/item/a-healthy-lifestyle---who-recommendations (accessed on 28 January 2024).
- Wallace, J.G.; Bellissimo, C.J.; Yeo, E.; Fei Xia, Y.; Petrik, J.J.; Surette, M.G.; Bowdish, D.M.E.; Sloboda, D.M. Obesity during pregnancy results in maternal intestinal inflammation, placental hypoxia, and alters fetal glucose metabolism at mid-gestation. Sci. Rep. 2019, 9, 17621. [Google Scholar] [CrossRef]
- Monaco-Brown, M.; Lawrence, D.A. Obesity and Maternal-Placental-Fetal Immunology and Health. Front. Pediatr. 2022, 10, 859885. [Google Scholar] [CrossRef] [PubMed]
- Aimukhametova, G.; Ukybasova, T.; Hamidullina, Z.; Zhubanysheva, K.; Harun-Or-Rashid, M.; Yoshida, Y.; Kasuya, H.; Sakamoto, J. The impact of maternal obesity on mother and neonatal health: Study in a tertiary hospital of Astana, Kazakhstan. Nagoya J. Med. Sci. 2012, 74, 83–92. [Google Scholar] [PubMed]
- Lee, Y.S.; Kim, J.W.; Osborne, O.; Oh, D.Y.; Sasik, R.; Schenk, S.; Chen, A.; Chung, H.; Murphy, A.; Watkins, S.M.; et al. Increased adipocyte O2 consumption triggers HIF-1α, causing inflammation and insulin resistance in obesity. Cell 2014, 157, 1339–1352. [Google Scholar] [CrossRef] [PubMed]
- Heidbreder, M.; Qadri, F.; Jöhren, O.; Dendorfer, A.; Depping, R.; Fröhlich, F.; Wagner, K.F.; Dominiak, P. Non-hypoxic induction of HIF-3alpha by 2-deoxy-D-glucose and insulin. Biochem. Biophys. Res. Commun. 2007, 352, 437–443. [Google Scholar] [CrossRef] [PubMed]
- Catrina, S.B.; Zheng, X. Hypoxia and hypoxia-inducible factors in diabetes and its complications. Diabetologia. 2021, 64, 709–716. [Google Scholar] [CrossRef]
- Zhang, Y.; Chen, Y.; Qu, H.; Wang, Y. Methylation of HIF3A promoter CpG islands contributes to insulin resistance in gestational diabetes mellitus. Mol. Genet. Genomic Med. 2019, 7, e00583. [Google Scholar] [CrossRef]
- Dick, K.J.; Nelson, C.P.; Tsaprouni, L.; Sandling, J.K.; Aïssi, D.; Wahl, S.; Meduri, E.; Morange, P.E.; Gagnon, F.; Grallert, H.; et al. DNA methylation and body-mass index: A genome-wide analysis. Lancet 2014, 383, 1990–1998. [Google Scholar] [CrossRef] [PubMed]
- Diao, X.; Ye, F.; Zhang, M.; Ren, X.; Tian, X.; Lu, J.; Sun, X.; Hou, Z.; Chen, X.; Li, F.; et al. Identification of oleoylethanolamide as an endogenous ligand for HIF-3α. Nat. Commun. 2022, 13, 2529. [Google Scholar] [CrossRef] [PubMed]
- Mansell, T.; Burgner, D.; Ponsonby, A.L.; Collier, F.; Pezic, A.; Vuillermin, P.; Juonala, M.; Ryan, J.; Saffery, R. HIF3A cord blood methylation and systolic blood pressure at 4 years—A population-based cohort study. Epigenetics 2020, 15, 1361–1369. [Google Scholar] [CrossRef]
- Hu, C.J.; Poth, J.M.; Zhang, H.; Flockton, A.; Laux, A.; Kumar, S.; McKeon, B.; Mouradian, G.; Li, M.; Riddle, S.; et al. Suppression of HIF2 signalling attenuates the initiation of hypoxia-induced pulmonary hypertension. Eur. Respir. J. 2019, 54, 1900378. [Google Scholar] [CrossRef]
- Ghosh, M.C.; Zhang, D.L.; Ollivierre, W.H.; Noguchi, A.; Springer, D.A.; Linehan, W.M.; Rouault, T.A. Therapeutic inhibition of HIF-2α reverses polycythemia and pulmonary hypertension in murine models of human diseases. Blood 2021, 137, 2509–2519. [Google Scholar] [CrossRef] [PubMed]
- Chan, X.Y.; Volkova, E.; Eoh, J.; Black, R.; Fang, L.; Gorashi, R.; Song, J.; Wang, J.; Elliott, M.B.; Barreto-Ortiz, S.F.; et al. HIF2A gain-of-function mutation modulates the stiffness of smooth muscle cells and compromises vascular mechanics. iScience 2021, 24, 102246. [Google Scholar] [CrossRef] [PubMed]
- Cain, A.E.; Khalil, R.A. Pathophysiology of essential hypertension: Role of the pump, the vessel, and the kidney. Semin. Nephrol. 2002, 22, 3–16. [Google Scholar] [CrossRef]
- Taylor, C.T.; Colgan, S.P. Regulation of immunity and inflammation by hypoxia in immunological niches. Nat. Rev. Immunol. 2017, 17, 774–785. [Google Scholar] [CrossRef] [PubMed]
- Matak, P.; Heinis, M.; Mathieu, J.R.; Corriden, R.; Cuvellier, S.; Delga, S.; Mounier, R.; Rouquette, A.; Raymond, J.; Lamarque, D.; et al. Myeloid HIF-1 is protective in Helicobacter pylori-mediated gastritis. J. Immunol. 2015, 194, 3259–3266. [Google Scholar] [CrossRef] [PubMed]
- Resende, M.; Ferreira, C.M.; Barbosa, A.M.; Cardoso, M.S.; Sousa, J.; Saraiva, M.; Castro, A.G.; Appelberg, R.; Torrado, E. Myeloid HIF-1α regulates pulmonary inflammation during experimental Mycobacterium tuberculosis infection. Immunology 2020, 159, 121–129. [Google Scholar] [CrossRef] [PubMed]
- Lin, A.E.; Beasley, F.C.; Olson, J.; Keller, N.; Shalwitz, R.A.; Hannan, T.J.; Hultgren, S.J.; Nizet, V. Role of Hypoxia Inducible Factor-1α (HIF-1α) in Innate Defense against Uropathogenic Escherichia coli Infection. PLoS Pathog. 2015, 11, e1004818. [Google Scholar] [CrossRef]
- Mimouna, S.; Bazin, M.; Mograbi, B.; Darfeuille-Michaud, A.; Brest, P.; Hofman, P.; Vouret-Craviari, V. HIF1A regulates xenophagic degradation of adherent and invasive Escherichia coli (AIEC). Autophagy 2014, 10, 2333–2345. [Google Scholar] [CrossRef]
- Mimouna, S.; Gonçalvès, D.; Barnich, N.; Darfeuille-Michaud, A.; Hofman, P.; Vouret-Craviari, V. Crohn disease-associated Escherichia coli promote gastrointestinal inflammatory disorders by activation of HIF-dependent responses. Gut Microbes 2011, 2, 335–346. [Google Scholar] [CrossRef]
- Cane, G.; Ginouvès, A.; Marchetti, S.; Buscà, R.; Pouysségur, J.; Berra, E.; Hofman, P.; Vouret-Craviari, V. HIF-1alpha mediates the induction of IL-8 and VEGF expression on infection with Afa/Dr diffusely adhering E. coli and promotes EMT-like behaviour. Cell. Microbiol. 2010, 12, 640–653. [Google Scholar] [CrossRef]
- Peng, H.; Purkerson, J.M.; Freeman, R.S.; Schwaderer, A.L.; Schwartz, G.J. Acidosis induces antimicrobial peptide expression and resistance to uropathogenic E. coli infection in kidney collecting duct cells via HIF-1α. Am. J. Physiol. Renal Physiol. 2020, 318, F468–F474. [Google Scholar] [CrossRef]
- Yang, X.; Cai, X.; Lin, J.; Zheng, Y.; Liao, Z.; Lin, W.; He, X.; Zhang, Y.; Ren, X.; Liu, C. E. coli LPS-induced calcium signaling regulates the expression of hypoxia-inducible factor 1α in periodontal ligament fibroblasts in a non-hypoxia-dependent manner. Int. Immunopharmacol. 2024, 128, 111418. [Google Scholar] [CrossRef] [PubMed]
- Bandarra, D.; Biddlestone, J.; Mudie, S.; Müller, H.A.; Rocha, S. HIF-1α restricts NF-κB-dependent gene expression to control innate immunity signals. Dis. Model. Mech. 2015, 8, 169–181. [Google Scholar] [CrossRef] [PubMed]
- Xu, W.; Yang, H.; Liu, Y.; Yang, Y.; Wang, P.; Kim, S.H.; Ito, S.; Yang, C.; Wang, P.; Xiao, M.T.; et al. Oncometabolite 2-hydroxyglutarate is a competitive inhibitor of α-ketoglutarate-dependent dioxygenases. Cancer Cell 2011, 19, 17–30. [Google Scholar] [CrossRef] [PubMed]
- Downes, N.L.; Laham-Karam, N.; Kaikkonen, M.U.; Ylä-Herttuala, S. Differential but Complementary HIF1α and HIF2α Transcriptional Regulation. Mol. Ther. 2018, 26, 1735–1745. [Google Scholar] [CrossRef]
- Gao, Z.; Wang, D.; Yang, J.; Li, M.; Ling, C.; Lv, D.; Cao, Y.; Chen, Z.; Shi, C.; Shen, H.; et al. Iron deficiency in hepatocellular carcinoma cells induced sorafenib resistance by upregulating HIF-1α to inhibit apoptosis. Biomed. Pharmacother. 2023, 163, 114750. [Google Scholar] [CrossRef] [PubMed]
- Fehsel, K. Why Is Iron Deficiency/Anemia Linked to Alzheimer’s Disease and Its Comorbidities, and How Is It Prevented? Biomedicines 2023, 11, 2421. [Google Scholar] [CrossRef]
- Miles, A.L.; Burr, S.P.; Grice, G.L.; Nathan, J.A. The vacuolar-ATPase complex and assembly factors, TMEM199 and CCDC115, control HIF1α prolyl hydroxylation by regulating cellular iron levels. eLife 2017, 6, e22693. [Google Scholar] [CrossRef]
- Xu, C.; Dong, C.; Xu, C.; Han, T.; Bao, S.; Gao, X. Effect of iron supplementation on the expression of hypoxia-inducible factor and antioxidant status in rats exposed to high-altitude hypoxia environment. Biol. Trace Elem. Res. 2014, 162, 142–152. [Google Scholar] [CrossRef]
- Oshima, K.; Ikeda, Y.; Horinouchi, Y.; Watanabe, H.; Hamano, H.; Kihira, Y.; Kishi, S.; Izawa-Ishizawa, Y.; Miyamoto, L.; Hirayama, T.; et al. Iron suppresses erythropoietin expression via oxidative stress-dependent hypoxia-inducible factor-2 alpha inactivation. Lab. Investig. 2017, 97, 555–566. [Google Scholar] [CrossRef]
- Jacobson, B.; Rambiritch, V.; Paek, D.; Sayre, T.; Naidoo, P.; Shan, J.; Leisegang, R. Safety and Efficacy of Enoxaparin in Pregnancy: A Systematic Review and Meta-Analysis. Adv. Ther. 2020, 37, 27–40. [Google Scholar] [CrossRef] [PubMed]
- Lim, C.S.; Kiriakidis, S.; Sandison, A.; Paleolog, E.M.; Davies, A.H. Hypoxia-inducible factor pathway and diseases of the vascular wall. J. Vasc. Surg. 2013, 58, 219–230. [Google Scholar] [CrossRef] [PubMed]
- Evans, C.E.; Humphries, J.; Waltham, M.; Saha, P.; Mattock, K.; Patel, A.; Ahmad, A.; Wadoodi, A.; Modarai, B.; Burnand, K.; et al. Upregulation of hypoxia-inducible factor 1 alpha in local vein wall is associated with enhanced venous thrombus resolution. Thromb. Res. 2011, 128, 346–351. [Google Scholar] [CrossRef] [PubMed]
- Evans, C.E.; Wadoodi, A.; Humphries, J.; Lu, X.; Grover, S.P.; Saha, P.; Smith, A. Local accumulation of hypoxia-inducible factor 2 alpha during venous thrombus resolution. Thromb. Res. 2014, 134, 757–760. [Google Scholar] [CrossRef] [PubMed]
- Zhang, Q.; Zhang, X.; Zhang, J.; Wang, B.; Tian, Q.; Meng, X.; Zhang, J.; Jiang, M.; Zhang, Y.; Zheng, D.; et al. Vascular endothelial growth factor and the risk of venous thromboembolism: A genetic correlation and two-sample Mendelian randomization study. Thromb. J. 2022, 20, 67. [Google Scholar] [CrossRef]
- Hu, K.; Babapoor-Farrokhran, S.; Rodrigues, M.; Deshpande, M.; Puchner, B.; Kashiwabuchi, F.; Hassan, S.J.; Asnaghi, L.; Handa, J.T.; Merbs, S.; et al. Hypoxia-inducible factor 1 upregulation of both VEGF and ANGPTL4 is required to promote the angiogenic phenotype in uveal melanoma. Oncotarget. 2016, 7, 7816–7828. [Google Scholar] [CrossRef] [PubMed]
- Cangul, H. Hypoxia upregulates the expression of the NDRG1 gene leading to its overexpression in various human cancers. BMC Genet. 2004, 5, 27. [Google Scholar] [CrossRef]
- Pratamawati, T.M.; Alwi, I.; Asmarinah. Summary of Known Genetic and Epigenetic Modification Contributed to Hypertension. Int. J. Hypertens. 2023, 2023, 5872362. [Google Scholar] [CrossRef] [PubMed]
- Koza, R.A.; Nikonova, L.; Hogan, J.; Rim, J.S.; Mendoza, T.; Faulk, C.; Skaf, J.; Kozak, L.P. Changes in gene expression foreshadow diet-induced obesity in genetically identical mice. PLoS Genet. 2006, 2, e81. [Google Scholar] [CrossRef]
- Ozygała, A.; Wojciechowska, G.; Traczyk, K.; Przywara, D.; Petniak, A.; Szymanowski, R.; Wilińska, A.; Krzyżanowski, A.; Kwaśniewska, A.; Płachno, B.J.; et al. Influence of Umbilical Cord Blood Biochemical Parameters and Disease Condition on the Expression of the TSG-6 Gene in Umbilical Mesenchymal Stem Cells. Med. Sci. Monit. 2023, 29, e939716. [Google Scholar] [CrossRef]
- Gil-Kulik, P.; Leśniewski, M.; Bieńko, K.; Wójcik, M.; Więckowska, M.; Przywara, D.; Petniak, A.; Kondracka, A.; Świstowska, M.; Szymanowski, R.; et al. Influence of Perinatal Factors on Gene Expression of IAPs Family and Main Factors of Pluripotency: OCT4 and SOX2 in Human Breast Milk Stem Cells-A Preliminary Report. Int. J. Mol. Sci. 2023, 24, 2476. [Google Scholar] [CrossRef] [PubMed]
- Gil-Kulik, P.; Świstowska, M.; Krzyżanowski, A.; Petniak, A.; Kwaśniewska, A.; Płachno, B.J.; Galkowski, D.; Bogucka-Kocka, A.; Kocki, J. Evaluation of the Impact of Pregnancy-Associated Factors on the Quality of Wharton’s Jelly-Derived Stem Cells Using SOX2 Gene Expression as a Marker. Int. J. Mol. Sci. 2022, 23, 7630. [Google Scholar] [CrossRef] [PubMed]
- Livak, K.J.; Schmittgen, T.D. Analysis of relative gene expression data using real-time quantitative PCR and the 2−ΔΔCT Method. Methods 2001, 25, 402–408. [Google Scholar] [CrossRef] [PubMed]
- Safarpoor Dehkordi, F.; Tavakoli-Far, B.; Jafariaskari, S.; Momtaz, H.; Esmaeilzadeh, S.; Ranjbar, R.; Rabiei, M. Uropathogenic Escherichia coli in the high vaginal swab samples of fertile and infertile women: Virulence factors, O-serogroups, and phenotyping and genotyping characterization of antibiotic resistance. New Microbes New Infect. 2020, 38, 100824. [Google Scholar] [CrossRef] [PubMed] [PubMed Central]
- Ghartey, J.P.; Carpenter, C.; Gialanella, P.; Rising, C.; McAndrew, T.C.; Mhatre, M.; Tugetman, J.; Einstein, M.H.; Chazotte, C.; Herold, B.C. Association of bactericidal activity of genital tract secretions with Escherichia coli colonization in pregnancy. Am. J. Obstet Gynecol. 2012, 207, 297.e1–297.e8. [Google Scholar] [CrossRef] [PubMed] [PubMed Central]
- Tsekouras, N.; Meletis, E.; Kostoulas, P.; Labronikou, G.; Athanasakopoulou, Z.; Christodoulopoulos, G.; Billinis, C.; Papatsiros, V.G. Detection of Enterotoxigenic Escherichia coli and Clostridia in the Aetiology of Neonatal Piglet Diarrhoea: Important Factors for Their Prevention. Life 2023, 13, 1092. [Google Scholar] [CrossRef] [PubMed] [PubMed Central]


| Parameter | RQ EPAS1 | RQ HIF1A | RQ HIF3A |
|---|---|---|---|
| RQ EPAS1 | 1.000 | 0.681 * | 0.483 * |
| RQHIF1A | 0.681 * | 1.000 | −0.090 |
| RQ HIF3A | 0.483 * | −0.090 | 1.000 |
| Apgar score | 0.002 | 0.086 | −0.382 |
| PLT (mother) | −0.095 | 0.132 | 0.077 |
| HGB (mother) | −0.198 | −0.038 | 0.190 |
| WBC (mother) | −0.067 | −0.010 | 0.204 |
| Glucose (mother) | −0.069 | 0.264 | 0.111 |
| CRP (mother) | −0.178 | −0.180 | – |
| Body weight of the newborn | −0.033 | −0.088 | −0.356 |
| PLT (child) | 0.134 | −0.168 | 0.608 * |
| HGB (child) | −0.182 | −0.014 | 0.100 |
| WBC (child) | −0.076 | −0.192 | 0.144 |
| Total bilirubin (child) | −0.099 | 0.007 | −0.328 |
| Glucose (child) | 0.019 | 0.356 * | 0.231 |
| CRP (child) | −0.064 | −0.054 | −0.054 |
| Pregnancy—order | −0.045 | 0.009 | 0.186 |
| Number of miscarriages | 0.053 | 0.100 | 0.201 |
| Number of children alive | −0.014 | −0.015 | 0.050 |
| Week of gestation | −0.076 | −0.066 | 0.110 |
| Age | −0.220 | 0.059 | 0.166 |
| Height | −0.125 | 0.122 | 0.230 |
| Body weight before pregnancy | −0.029 | −0.127 | −0.509 * |
| BMI before pregnancy | 0.028 | −0.180 | −0.540 * |
| Current body weight | 0.198 | 0.029 | −0.500 |
| Difference in body weight | −0.214 | 0.098 | 0.235 |
| Current BMI | 0.095 | −0.096 | −0.615 * |
Disclaimer/Publisher’s Note: The statements, opinions and data contained in all publications are solely those of the individual author(s) and contributor(s) and not of MDPI and/or the editor(s). MDPI and/or the editor(s) disclaim responsibility for any injury to people or property resulting from any ideas, methods, instructions or products referred to in the content. |
© 2024 by the authors. Licensee MDPI, Basel, Switzerland. This article is an open access article distributed under the terms and conditions of the Creative Commons Attribution (CC BY) license (https://creativecommons.org/licenses/by/4.0/).
Share and Cite
Zarychta, J.; Kowalczyk, A.; Słowik, K.; Przywara, D.; Petniak, A.; Kondracka, A.; Wójtowicz-Marzec, M.; Słyk-Gulewska, P.; Kwaśniewska, A.; Kocki, J.; et al. Pilot Study on the Effect of Patient Condition and Clinical Parameters on Hypoxia-Induced Factor Expression: HIF1A, EPAS1 and HIF3A in Human Colostrum Cells. Int. J. Mol. Sci. 2024, 25, 11042. https://doi.org/10.3390/ijms252011042
Zarychta J, Kowalczyk A, Słowik K, Przywara D, Petniak A, Kondracka A, Wójtowicz-Marzec M, Słyk-Gulewska P, Kwaśniewska A, Kocki J, et al. Pilot Study on the Effect of Patient Condition and Clinical Parameters on Hypoxia-Induced Factor Expression: HIF1A, EPAS1 and HIF3A in Human Colostrum Cells. International Journal of Molecular Sciences. 2024; 25(20):11042. https://doi.org/10.3390/ijms252011042
Chicago/Turabian StyleZarychta, Julia, Adrian Kowalczyk, Karolina Słowik, Dominika Przywara, Alicja Petniak, Adrianna Kondracka, Monika Wójtowicz-Marzec, Patrycja Słyk-Gulewska, Anna Kwaśniewska, Janusz Kocki, and et al. 2024. "Pilot Study on the Effect of Patient Condition and Clinical Parameters on Hypoxia-Induced Factor Expression: HIF1A, EPAS1 and HIF3A in Human Colostrum Cells" International Journal of Molecular Sciences 25, no. 20: 11042. https://doi.org/10.3390/ijms252011042
APA StyleZarychta, J., Kowalczyk, A., Słowik, K., Przywara, D., Petniak, A., Kondracka, A., Wójtowicz-Marzec, M., Słyk-Gulewska, P., Kwaśniewska, A., Kocki, J., & Gil-Kulik, P. (2024). Pilot Study on the Effect of Patient Condition and Clinical Parameters on Hypoxia-Induced Factor Expression: HIF1A, EPAS1 and HIF3A in Human Colostrum Cells. International Journal of Molecular Sciences, 25(20), 11042. https://doi.org/10.3390/ijms252011042

