Sign in to use this feature.

Years

Between: -

Subjects

remove_circle_outline
remove_circle_outline
remove_circle_outline
remove_circle_outline
remove_circle_outline
remove_circle_outline
remove_circle_outline
remove_circle_outline
remove_circle_outline

Journals

Article Types

Countries / Regions

Search Results (18)

Search Parameters:
Keywords = collocation criteria

Order results
Result details
Results per page
Select all
Export citation of selected articles as:
45 pages, 1998 KB  
Article
Operator Spectral Stability Theory and Chebyshev Spectral Collocation Method for Time-Varying Bilateral Quaternion Dynamical Systems
by Xiang Si and Jianwen Zhou
Symmetry 2026, 18(4), 578; https://doi.org/10.3390/sym18040578 (registering DOI) - 28 Mar 2026
Viewed by 86
Abstract
This paper develops a structured analytical framework and a robust numerical methodology for the spectral stability of time-varying bilateral quaternion differential equations of the form q˙=A(t)q+qB(t). By systematically extending [...] Read more.
This paper develops a structured analytical framework and a robust numerical methodology for the spectral stability of time-varying bilateral quaternion differential equations of the form q˙=A(t)q+qB(t). By systematically extending classical real matrix theory to non-commutative dynamical systems via exact isometric real representations, this study utilizes the Kronecker product of real adjoint matrices to rigorously elucidate the underlying tensor structure of the bilateral evolution operator. This tensor-based reformulation proves that the Floquet multipliers of the bilaterally coupled system can be strictly decoupled into the product of the spectra corresponding to the left and right unilateral subsystems. Second, a “Scalar-Vector Stability Separation Principle” based on logarithmic norms is proposed, demonstrating that the transient energy evolution of the system is governed exclusively by the Hermitian real parts of the coefficient matrices, remaining entirely independent of the anti-Hermitian imaginary parts (rotation terms). Furthermore, for constant-coefficient and slowly varying systems, the Riesz projection from holomorphic functional calculus is introduced to establish algebraic criteria for exponential dichotomies, thereby revealing a cubic scaling law that relates the robustness threshold to the spectral gap (ε0β3). Numerically, a Quaternion Chebyshev Spectral Collocation Method (Q-CSCM) is embedded within this exact vectorization framework to ensure that the algebraic symmetries of the bilateral system are strictly preserved through the isomorphic mapping. By explicitly constructing the fully discrete Kronecker product matrix via the exact real vectorization isomorphism, discrete energy estimates are utilized to rigorously prove that the numerical scheme successfully inherits the intrinsic spectral accuracy of the Chebyshev approximation. Comprehensive numerical experiments demonstrate that, within the low-dimensional regime, this methodology exhibits substantial temporal approximation efficiency advantages and superior numerical robustness compared to an alternative Legendre spectral baseline, as well as traditional explicit and state-of-the-art implicit symplectic Runge–Kutta methods, particularly when solving stiff and critically stable problems such as nonlinear Riccati oscillators. Full article
(This article belongs to the Special Issue Symmetry in Numerical Analysis and Applied Mathematics)
18 pages, 1287 KB  
Article
Soil-Dependent Optimization of TMD- and Inerter-Based Devices for Seismic Retrofit of Multi-Story Structures
by Konstantinos Kapasakalis, Georgios Florakis, Maria Spanea and Evangelos Sapountzakis
Appl. Sci. 2026, 16(6), 2745; https://doi.org/10.3390/app16062745 - 13 Mar 2026
Viewed by 196
Abstract
Distributed passive vibration control systems (VCSs) offer an attractive solution for improving the seismic response of multi-story buildings, particularly in seismic retrofit applications and when soil–structure interaction (SSI) effects are explicitly considered. This study presents a soil-dependent optimization framework of distributed Tuned Mass [...] Read more.
Distributed passive vibration control systems (VCSs) offer an attractive solution for improving the seismic response of multi-story buildings, particularly in seismic retrofit applications and when soil–structure interaction (SSI) effects are explicitly considered. This study presents a soil-dependent optimization framework of distributed Tuned Mass Damper (TMD) and Tuned Mass Damper Inerter (TMDI) systems applied to a ten-story building. The proposed framework determines the optimal number, tuning, damping and spatial distribution of these VCS, including non-collocated inerter configurations for TMDI layouts, while also examining different auxiliary mass ratios. Soil–structure interaction effects are explicitly incorporated by considering four soil classes (A–D) in accordance with Eurocode 8, enabling a systematic evaluation of soil-dependent vibration control effectiveness. Structural performance is evaluated using normalized performance criteria associated with peak absolute floor displacements, floor accelerations and inter-story drifts. The results indicate that distributing control devices along the height of the structure enhances seismic mitigation for both TMD and TMDI configurations, with performance improvements becoming more pronounced as the number of devices increases. Moreover, TMDI systems consistently achieve superior response reduction compared to TMDs across all soil classes, highlighting their potential as a robust, efficient, and lightweight passive vibration control solution for seismic retrofit applications involving SSI effects. Full article
(This article belongs to the Special Issue Advances in Earthquake Engineering and Seismic Resilience)
Show Figures

Figure 1

26 pages, 1126 KB  
Article
Numerical Study of Fractional Order Burgers’-Huxley Equation Using Modified Cubic Splines Approximation
by Anita Devi, Archna Kumari, N. Parumasur, P. Singh and V. K. Kukreja
Fractal Fract. 2025, 9(12), 780; https://doi.org/10.3390/fractalfract9120780 - 1 Dec 2025
Viewed by 562
Abstract
This paper aims to explore the numerical solution of non-linear fractional-order Burgers’-Huxley equation based on Caputo’s formulation of fractional derivatives. The equation serves as a versatile tool for analyzing a wide range of physical, biological, and engineering systems, facilitating valuable insights into nonlinear [...] Read more.
This paper aims to explore the numerical solution of non-linear fractional-order Burgers’-Huxley equation based on Caputo’s formulation of fractional derivatives. The equation serves as a versatile tool for analyzing a wide range of physical, biological, and engineering systems, facilitating valuable insights into nonlinear dynamic phenomena. The fractional operator provides a comprehensive mathematical framework that effectively captures the non-locality, hereditary characteristics, and memory effects of various complex systems. The approximation of temporal differential operator is carried out through finite difference based L1 scheme, while spatial discretization is performed using modified cubic B-spline basis functions. The stability as well as convergence analysis of the approach are also presented. Additionally, some numerical test experiments are conducted to evaluate the computational efficiency of a modified fourth-order cubic B-spline (M43BS) approach. Finally, the results presented in the form of tables and graphs highlight the applicability and robustness of M43BS technique in solving fractional-order differential equations. The proposed methodology is preferred for its flexible nature, high accuracy, ease of implementation and the fact that it does not require unnecessary integration of weight functions, unlike other numerical methods such as Galerkin and spectral methods. Full article
Show Figures

Figure 1

21 pages, 8968 KB  
Article
Lightning Detection Using GEO-KOMPSAT-2A/Advanced Meteorological Imager and Ground-Based Lightning Observation Sensor LINET Data
by Seung-Hee Lee and Myoung-Seok Suh
Remote Sens. 2024, 16(22), 4243; https://doi.org/10.3390/rs16224243 - 14 Nov 2024
Cited by 1 | Viewed by 2914
Abstract
In this study, GEO-KOMPSAT-2A/Advanced Meteorological Imager (GK2A/AMI) and Lightning NETwork (LINET) data were used for lightning detection. A total of 20 lightning cases from the summer of 2020–2021 were selected, with 14 cases for training and 6 for validation to develop lightning detection [...] Read more.
In this study, GEO-KOMPSAT-2A/Advanced Meteorological Imager (GK2A/AMI) and Lightning NETwork (LINET) data were used for lightning detection. A total of 20 lightning cases from the summer of 2020–2021 were selected, with 14 cases for training and 6 for validation to develop lightning detection algorithms. Since these two datasets have different spatiotemporal resolutions, spatiotemporal matching was performed to use them together. To find the optimal lightning detection algorithm, we designed 25 experiments and selected the best experiment by evaluating the detection level. Although the best experiment had a high POD (>0.9) before post-processing, it also showed over-detection of lightning. To minimize the over-detection problem, statistical and Region-Growing post-processing methods were applied, improving the detection performance (FAR: −19.14~−24.32%; HSS: +76.92~+86.41%; Bias: −59.3~−66.9%). Also, a sensitivity analysis of the collocation criterion between the two datasets showed that the detection level improved when the spatial criterion was relaxed. These results suggest that detecting lightning in mid-latitude regions, including the Korean Peninsula, is possible by using GK2A/AMI data. However, reducing the variability in detection performance and the high FAR associated with anvil clouds and addressing the parallax problem of thunderstorms in mid-latitude regions are necessary to improve the detection performance. Full article
(This article belongs to the Section Atmospheric Remote Sensing)
Show Figures

Graphical abstract

18 pages, 393 KB  
Article
Chiropractors in Multidisciplinary Teams: Enablers of Colocation Integration in GP-Led Primary Healthcare
by Shauna Dawn Fjaagesund, Wayne Graham, Evan Jones, Andrew Ladhams, Mark Sayers, Gary Campbell, Xiang-Yu Hou, Marius-Ionut Ungureanu and Florin Oprescu
Healthcare 2024, 12(9), 926; https://doi.org/10.3390/healthcare12090926 - 30 Apr 2024
Cited by 1 | Viewed by 3115
Abstract
The aim of this study was to explore and document the enablers and barriers of chiropractic care colocation in general practice at a large-scale private primary care centre in Australia. This study focused on the perceptions of healthcare professionals regarding this integration. The [...] Read more.
The aim of this study was to explore and document the enablers and barriers of chiropractic care colocation in general practice at a large-scale private primary care centre in Australia. This study focused on the perceptions of healthcare professionals regarding this integration. The research setting was a large integrated primary care centre located in an outer metro, low-socioeconomic area in the City of Moreton Bay, Queensland, Australia. Participant inclusion criteria included general medical practitioners, practice nurses, and medical managers who self-reported interactions with the physically collocated and integrated chiropractic practice. Data was collected from 22 participants using face-to-face, qualitative, semi-structured interviews with an average duration of 32 min. The data collected included perceptions of chiropractic treatment, enablers to patient referral pathways, and views of the integrated chiropractic care model. A reflexive thematic analysis was conducted on the data set. All participants reported that this was their first exposure to the colocation of a chiropractor within a general medical practice. Four key enablers of chiropractic care integration were identified: (1) the practitioner [chiropractor], (2) the organisation [general practice], (3) consumer flow, and (4) the environment [shared spaces and tenant ecosystem]. The chiropractic integration enhanced knowledge sharing and interprofessional trust among healthcare providers. The formal reporting of patient outcomes and understanding of the chiropractor’s scope of practice further enabled referrals to the service. Shared administrative and business processes, including patient records, booking systems, and clinical meetings, facilitated relationship development between the chiropractor and referring health providers. Colocation as part of a larger primary care centre created proximity and convenience for health providers in terms of interprofessional communication, and for patients, in terms of access to chiropractic services. Existing governance structures supported communication, professional education, and shared values related to the delivery of patient-centred care. Identified barriers included limited public funding for chiropractic services resulting in reduced access for patients of low-socioeconomic status. Additionally, scepticism or negativity towards the discipline of chiropractic care was identified as an initial barrier to refer patients. In most cases, this view towards the chiropractor was overcome by regular patient reporting of positive treatment outcomes to their GP, the delivery of education sessions by the chiropractor for the health providers, and the development of interprofessional trust between the chiropractor and referring health providers. This study provides preliminary evidence and a conceptual framework of factors influencing the successful integration of chiropractic care within an Australian large primary care centre. The data collected indicated that integration of chiropractic care into a primary care centre serving a low-socioeconomic region can be achieved with a high degree of health provider satisfaction. Full article
Show Figures

Figure 1

22 pages, 8284 KB  
Article
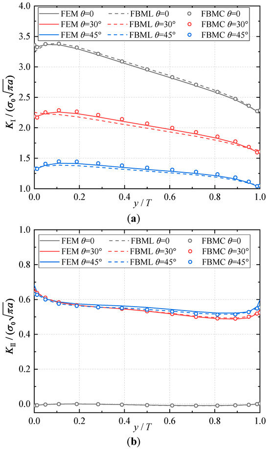
Three-Dimensional Fracture Analysis in Functionally Graded Materials Using the Finite Block Method in Strong Form
by C. Y. Fu, Y. Yang, Y. R. Zhou, C. Z. Shi and P. H. Wen
Materials 2023, 16(23), 7301; https://doi.org/10.3390/ma16237301 - 24 Nov 2023
Cited by 2 | Viewed by 1731
Abstract
In this paper, the application of the strong-form finite block method (FBM) to three-dimensional fracture analysis with functionally graded materials is presented. The main idea of the strong-form FBM is that it transforms the arbitrary physical domain into a normalized domain and utilizes [...] Read more.
In this paper, the application of the strong-form finite block method (FBM) to three-dimensional fracture analysis with functionally graded materials is presented. The main idea of the strong-form FBM is that it transforms the arbitrary physical domain into a normalized domain and utilizes the direct collocation method to form a linear system. Using the mapping technique, partial differential matrices of any order can be constructed directly. Frameworks of the strong-form FBM for three-dimensional problems based on Lagrange polynomial interpolation and Chebyshev polynomial interpolation were developed. As the dominant parameters in linear elastic fracture mechanics, the stress intensity factors with functionally graded materials (FGMs) were determined according to the crack opening displacement criteria. Several numerical examples are presented using a few blocks to demonstrate the accuracy and efficiency of the strong-form FBM. Full article
Show Figures

Figure 1

18 pages, 4723 KB  
Article
Spectral and Spatial Dependencies in the Validation of Satellite-Based Aerosol Optical Depth from the Geostationary Ocean Color Imager Using the Aerosol Robotic Network
by Mijeong Kim, Kyunghwa Lee and Myungje Choi
Remote Sens. 2023, 15(14), 3621; https://doi.org/10.3390/rs15143621 - 20 Jul 2023
Cited by 3 | Viewed by 2188
Abstract
The regional and global scale of aerosols in the atmosphere can be quantified using the aerosol optical depth (AOD) retrieved from satellite observations. To obtain reliable satellite AODs, conducting consistent validations and refining retrieval algorithms are crucial. AODs and Ångström exponents (AEs) measured [...] Read more.
The regional and global scale of aerosols in the atmosphere can be quantified using the aerosol optical depth (AOD) retrieved from satellite observations. To obtain reliable satellite AODs, conducting consistent validations and refining retrieval algorithms are crucial. AODs and Ångström exponents (AEs) measured with the aerosol robotic network (AERONET) are considered as the ground truth for satellite validations. AERONET AEs are used to collocate the wavelength of the AERONET AODs to those of the satellite AODs when there is a discordancy in their wavelengths. However, numerous validation studies have proposed different strategies by applying the AERONET AODs and AEs, and spatiotemporal collocation criteria. This study examined the impact of the wavelength and spatial collocation radius variations by comparing AODs at 550 nm derived from the geostationary ocean color imager (GOCI) with those obtained from the AERONET for the year 2016. The estimated AERONET AODs at 550 nm varied from 5.18% to 11.73% depending on the selection of AOD and AE, and the spatial collocation radii from 0 to 40 km, respectively. The longer the collocation radius and the higher the AODs, the greater the variability observed in the validation results. Overall, the selection of the spatial collocation radius had a stronger impact on the variability in the validation results obtained compared to the selection of the wavelength. The variability was also found in seasonal analysis. Therefore, it is recommended to carefully select the data wavelength and spatial collocation radius, consider seasonal effects, and provide this information when validating satellite AODs using AERONET. Full article
(This article belongs to the Section Atmospheric Remote Sensing)
Show Figures

Figure 1

20 pages, 8340 KB  
Article
Analysis of Spatial and Temporal Criteria for Altimeter Collocation of Significant Wave Height and Wind Speed Data in Deep Waters
by Ricardo M. Campos
Remote Sens. 2023, 15(8), 2203; https://doi.org/10.3390/rs15082203 - 21 Apr 2023
Cited by 8 | Viewed by 3180
Abstract
This paper investigates the spatial and temporal variability of significant wave height (Hs) and wind speed (U10) using altimeter data from the Australian Ocean Data Network (AODN) and buoy data from the National Data Buoy Center (NDBC). The main goal is to evaluate [...] Read more.
This paper investigates the spatial and temporal variability of significant wave height (Hs) and wind speed (U10) using altimeter data from the Australian Ocean Data Network (AODN) and buoy data from the National Data Buoy Center (NDBC). The main goal is to evaluate spatial and temporal criteria for collocating altimeter data to fixed-point positions and to provide practical guidance on altimeter collocation in deep waters. The results show that a temporal criterion of 30 min and a spatial criterion between 25 km and 50 km produce the best results for altimeter collocation, in close agreement with buoy data. Applying a 25 km criterion leads to slightly better error metrics but at the cost of fewer matchups, whereas using 50 km augments the resulting collocated dataset while keeping the differences to buoy measurements very low. Furthermore, the study demonstrates that using the single closest altimeter record to the buoy position leads to worse results compared to the collocation method based on temporal and spatial averaging. The final validation of altimeter data against buoy observations shows an RMSD of 0.21 m, scatter index of 0.09, and correlation coefficient of 0.98 for Hs, confirming the optimal choice of temporal and spatial criteria employed and the high quality of the calibrated AODN altimeter dataset. Full article
Show Figures

Figure 1

13 pages, 632 KB  
Systematic Review
Systematic Review of Psychological Interventions for Quality of Life, Mental Health, and Hair Growth in Alopecia Areata and Scarring Alopecia
by Jessica Maloh, Tess Engel, Nicole Natarelli, Yvonne Nong, Alina Zufall and Raja K. Sivamani
J. Clin. Med. 2023, 12(3), 964; https://doi.org/10.3390/jcm12030964 - 26 Jan 2023
Cited by 33 | Viewed by 8787
Abstract
Alopecia is associated with significant psychological burden. There is limited evidence on the use of psychological interventions in conditions of hair loss. This manuscript systematically reviews the current state of literature on psychological treatments for quality of life, mental health, and hair growth [...] Read more.
Alopecia is associated with significant psychological burden. There is limited evidence on the use of psychological interventions in conditions of hair loss. This manuscript systematically reviews the current state of literature on psychological treatments for quality of life, mental health, and hair growth in various forms of alopecia. PubMed and Embase were searched with predefined inclusion and exclusion criteria. Reference lists were also examined for relevant studies. Nine articles met our criteria and are included in this review. Eight of the articles related to alopecia areata and one related to scarring alopecia. Mindfulness-based stress reduction (MBSR) was found to improve quality of life-related subjective symptoms, relationship impacts, anxiety, phobia, distress, and psychological symptom intensity. Alopecia-specific collocated behavioral health (CLBH) treatment showed a trend for psychosocial improvement in areas such as appearance shame, activity avoidance, negative emotions, and coping. Hypnotherapy was found to improve anxiety and depression, quality of life measures, and alexithymia. There was also some evidence for significant hair growth with hypnosis, but the data are mixed. Psychotherapy combined with immunotherapy led to more hair growth, and supported self-confidence. Finally, coping strategies modulated the subjective burden of alopecia, and were associated with disease improvement. Further research will be necessary to better establish the efficacy and optimal administration of these interventions in alopecia. Full article
(This article belongs to the Section Dermatology)
Show Figures

Figure 1

23 pages, 7411 KB  
Article
Assessment of the Consistency and Stability of CrIS Infrared Observations Using COSMIC-2 Radio Occultation Data over Ocean
by Yong Chen, Changyong Cao, Xi Shao and Shu-Peng Ho
Remote Sens. 2022, 14(11), 2721; https://doi.org/10.3390/rs14112721 - 6 Jun 2022
Cited by 4 | Viewed by 3178
Abstract
The accuracy of brightness temperature (BT) from the Cross-track Infrared Sounder (CrIS) onboard the Suomi National Polar-orbiting Partnership (S-NPP) satellite and NOAA-20 is estimated using the Constellation Observing System for Meteorology, Ionosphere, and Climate 2 (COSMIC-2) radio occultation (RO) wet retrievals (temperature and [...] Read more.
The accuracy of brightness temperature (BT) from the Cross-track Infrared Sounder (CrIS) onboard the Suomi National Polar-orbiting Partnership (S-NPP) satellite and NOAA-20 is estimated using the Constellation Observing System for Meteorology, Ionosphere, and Climate 2 (COSMIC-2) radio occultation (RO) wet retrievals (temperature and water vapor profiles) as input to the Community Radiative Transfer Model (CRTM). The matchup criteria between RO and CrIS observations are time less than 30 min, a distance less than 50 km, and over oceans to reduce the collocation and simulation uncertainty. Based on the information provided in the CrIS and RO observations, only upper temperature sounding channels with weighting function peak height (WFPH) above 200 hPa (~12 km) from the CrIS longwave infrared (LWIR) and shortwave infrared (SWIR) bands and water vapor channels from the CrIS mid-wave infrared (MWIR) band with WFPH above 500 hPa (~6.3 km) are selected for comparison to minimize the impacts from the surface emission, cloud absorption/scattering, and atmospheric gaseous absorption. The absolute differences between CrIS observations and their CRTM simulations using RO data as input are less than 1.0 K for the majority of those selected channels. The double differences between CrIS observations on NOAA-20 and S-NPP using CRTM simulations as transfer references are very stable. They range from −0.05 K to 0.15 K for LWIR channels and −0.20 K to 0.10 K for SWIR channels during the two years from 1 October 2019 to 30 September 2021. For MWIR channels, the double differences range from −0.15 K to 0.25 K but have significant variations in both daily mean and monthly mean time series. The results provide ways to understand the qualities of RO retrieval and CrIS measurements: RO data can be used to assess the consistency and stability of CrIS observations quantitatively, and CrIS measurements have the quality to assess the quality and stability of RO retrievals. Full article
Show Figures

Graphical abstract

28 pages, 13819 KB  
Article
Considerations and Multi-Criteria Decision Analysis for the Installation of Collocated Permanent GNSS and SAR Infrastructures for Continuous Space-Based Monitoring of Natural Hazards
by Dimitris Kakoullis, Kyriaki Fotiou, George Melillos and Chris Danezis
Remote Sens. 2022, 14(4), 1020; https://doi.org/10.3390/rs14041020 - 20 Feb 2022
Cited by 9 | Viewed by 4128
Abstract
Over the past few decades, the global population and the built environment’s vulnerability to natural hazards have risen dramatically. As a result, decisive actions, such as the SENDAI framework, have emerged to foster a global culture of successful disaster risk reduction policies, including [...] Read more.
Over the past few decades, the global population and the built environment’s vulnerability to natural hazards have risen dramatically. As a result, decisive actions, such as the SENDAI framework, have emerged to foster a global culture of successful disaster risk reduction policies, including actions to mitigate the social and economic impact of geohazards. The effective study of natural disasters requires meticulous and precise monitoring of their triggering factors, with ground- and space-based techniques. The integration of GNSS and SAR observations through the establishment of permanent infrastructures, i.e., Continuously Operating Reference Stations (CORS) networks and arrays of Corner Reflectors (CRs), may form a seamless ground displacement monitoring system. The current research literature provides fragmented guidelines, regarding the co-location of SAR and GNSS permanent infrastructures. Furthermore, there exist no guidelines for the determination of the most suitable locations using a holistic approach, in terms of criteria and required data. The purpose of this paper is to present a semi-automatic multicriteria site suitability analysis and evaluation of candidate sites for the installation of a permanent CORS and two CRs; one for each pass, taking into account various parameters and criteria. The first results demonstrate that the collocation of SAR and GNSS permanent infrastructures, utilizing a holistic criteria-based approach, is successful and complies with all the literature’s requirements. Full article
(This article belongs to the Special Issue European Remote Sensing-New Solutions for Science and Practice)
Show Figures

Figure 1

37 pages, 11793 KB  
Article
The Salinity Pilot-Mission Exploitation Platform (Pi-MEP): A Hub for Validation and Exploitation of Satellite Sea Surface Salinity Data
by Sébastien Guimbard, Nicolas Reul, Roberto Sabia, Sylvain Herlédan, Ziad El Khoury Hanna, Jean-Francois Piollé, Frédéric Paul, Tong Lee, Julian J. Schanze, Frederick M. Bingham, David Le Vine, Nadya Vinogradova-Shiffer, Susanne Mecklenburg, Klaus Scipal and Henri Laur
Remote Sens. 2021, 13(22), 4600; https://doi.org/10.3390/rs13224600 - 16 Nov 2021
Cited by 15 | Viewed by 4341
Abstract
The Pilot-Mission Exploitation Platform (Pi-MEP) for salinity is an ESA initiative originally meant to support and widen the uptake of Soil Moisture and Ocean Salinity (SMOS) mission data over the ocean. Starting in 2017, the project aims at setting up a computational web-based [...] Read more.
The Pilot-Mission Exploitation Platform (Pi-MEP) for salinity is an ESA initiative originally meant to support and widen the uptake of Soil Moisture and Ocean Salinity (SMOS) mission data over the ocean. Starting in 2017, the project aims at setting up a computational web-based platform focusing on satellite sea surface salinity data, supporting studies on enhanced validation and scientific process over the ocean. It has been designed in close collaboration with a dedicated science advisory group in order to achieve three main objectives: gathering all the data required to exploit satellite sea surface salinity data, systematically producing a wide range of metrics for comparing and monitoring sea surface salinity products’ quality, and providing user-friendly tools to explore, visualize and exploit both the collected products and the results of the automated analyses. The Salinity Pi-MEP is becoming a reference hub for the validation of satellite sea surface salinity missions by providing valuable information on satellite products (SMOS, Aquarius, SMAP), an extensive in situ database (e.g., Argo, thermosalinographs, moorings, drifters) and additional thematic datasets (precipitation, evaporation, currents, sea level anomalies, sea surface temperature, etc.). Co-localized databases between satellite products and in situ datasets are systematically generated together with validation analysis reports for 30 predefined regions. The data and reports are made fully accessible through the web interface of the platform. The datasets, validation metrics and tools (automatic, user-driven) of the platform are described in detail in this paper. Several dedicated scienctific case studies involving satellite SSS data are also systematically monitored by the platform, including major river plumes, mesoscale signatures in boundary currents, high latitudes, semi-enclosed seas, and the high-precipitation region of the eastern tropical Pacific. Since 2019, a partnership in the Salinity Pi-MEP project has been agreed between ESA and NASA to enlarge focus to encompass the entire set of satellite salinity sensors. The two agencies are now working together to widen the platform features on several technical aspects, such as triple-collocation software implementation, additional match-up collocation criteria and sustained exploitation of data from the SPURS campaigns. Full article
Show Figures

Figure 1

12 pages, 869 KB  
Review
Genetic Environments of Plasmid-Mediated blaCTXM-15 Beta-Lactamase Gene in Enterobacteriaceae from Africa
by Babafela B. Awosile and Michael Agbaje
Microbiol. Res. 2021, 12(2), 383-394; https://doi.org/10.3390/microbiolres12020026 - 21 Apr 2021
Cited by 20 | Viewed by 6646
Abstract
The most widely distributed blaCTX-M gene on a global scale is blaCTX-M-15. The dissemination has been associated with clonal spread and different types of mobile genetic elements. The objective of this review was to describe the genetic environments of the [...] Read more.
The most widely distributed blaCTX-M gene on a global scale is blaCTX-M-15. The dissemination has been associated with clonal spread and different types of mobile genetic elements. The objective of this review was to describe the genetic environments of the blaCTX-M-15 gene detected from Enterobacteriaceae in published literature from Africa. A literature search for relevant articles was performed through PubMed, AJOL, and Google Scholar electronic databases; 43 articles from 17 African countries were included in the review based on the eligibility criteria. Insertion sequences were reported as part of the genetic environment of blaCTX-M-15 gene in 32 studies, integrons in 13 studies, and plasmids in 23 studies. In this review, five insertion sequences including ISEcp1, IS26, orf447, IS903, and IS3 have been detected which are associated with the genetic environment of blaCTX-M-15 in Africa. Seven different genetic patterns were seen in the blaCTX-M-15 genetic environment. Insertion sequence ISEcp1 was commonly located upstream of the end of the blaCTX-M-15 gene, while the insertion sequence orf477 was located downstream. In some studies, ISEcp1 was truncated upstream of blaCTX-M-15 by insertion sequences IS26 and IS3. The class 1 integron (Intl1) was most commonly reported to be associated with blaCTX-M-15 (13 studies), with Intl1/dfrA17–aadA5 being the most common gene cassette array. IncFIA-FIB-FII multi-replicons and IncHI2 replicon types were the most common plasmid replicon types that horizontally transferred the blaCTX-M-15 gene. Aminoglycoside-modifying enzymes, and plasmid-mediated quinolone resistance genes were commonly collocated with the blaCTX-M-15 gene on plasmids. This review revealed the predominant role of ISEcp1, Intl1 and IncF plasmids in the mobilization and continental dissemination of the blaCTX-M-15 gene in Africa. Full article
Show Figures

Figure 1

33 pages, 1533 KB  
Article
Renewable Energy-Aware Sustainable Cellular Networks with Load Balancing and Energy-Sharing Technique
by Md. Sanwar Hossain, Khondoker Ziaul Islam, Abu Jahid, Khondokar Mizanur Rahman, Sarwar Ahmed and Mohammed H. Alsharif
Sustainability 2020, 12(22), 9340; https://doi.org/10.3390/su12229340 - 10 Nov 2020
Cited by 21 | Viewed by 5123
Abstract
With the proliferation of cellular networks, the ubiquitous availability of new-generation multimedia devices, and their wide-ranging data applications, telecom network operators are increasingly deploying the number of cellular base stations (BSs) to deal with unprecedented service demand. The rapid and radical deployment of [...] Read more.
With the proliferation of cellular networks, the ubiquitous availability of new-generation multimedia devices, and their wide-ranging data applications, telecom network operators are increasingly deploying the number of cellular base stations (BSs) to deal with unprecedented service demand. The rapid and radical deployment of the cellular network significantly exerts energy consumption and carbon footprints to the atmosphere. The ultimate objective of this work is to develop a sustainable and environmentally-friendly cellular infrastructure through compelling utilization of the locally available renewable energy sources (RES) namely solar photovoltaic (PV), wind turbine (WT), and biomass generator (BG). This article addresses the key challenges of envisioning the hybrid solar PV/WT/BG powered macro BSs in Bangladesh considering the dynamic profile of the RES and traffic intensity in the tempo-spatial domain. The optimal system architecture and technical criteria of the proposed system are critically evaluated with the help of HOMER optimization software for both on-grid and off-grid conditions to downsize the electricity generation cost and waste outflows while ensuring the desired quality of experience (QoE) over 20 years duration. Besides, the green energy-sharing mechanism under the off-grid condition and the grid-tied condition has been critically analyzed for optimal use of green energy. Moreover, the heuristic algorithm of the load balancing technique among collocated BSs has been incorporated for elevating the throughput and energy efficiency (EE) as well. The spectral efficiency (SE), energy efficiency, and outage probability performance of the contemplated wireless network are substantially examined using Matlab based Monte–Carlo simulation under a wide range of network configurations. Simulation results reveal that the proper load balancing technique pledges zero outage probability with expected system performance whereas energy cooperation policy offers an attractive solution for developing green mobile communications employing better utilization of renewable energy under the proposed hybrid solar PV/WT/BG scheme. Full article
(This article belongs to the Special Issue Sustainable Waste Technology and Management)
Show Figures

Figure 1

9 pages, 639 KB  
Article
Total Least-Squares Collocation: An Optimal Estimation Technique for the EIV-Model with Prior Information
by Burkhard Schaffrin
Mathematics 2020, 8(6), 971; https://doi.org/10.3390/math8060971 - 13 Jun 2020
Cited by 4 | Viewed by 2675
Abstract
In regression analysis, oftentimes a linear (or linearized) Gauss-Markov Model (GMM) is used to describe the relationship between certain unknown parameters and measurements taken to learn about them. As soon as there are more than enough data collected to determine a unique solution [...] Read more.
In regression analysis, oftentimes a linear (or linearized) Gauss-Markov Model (GMM) is used to describe the relationship between certain unknown parameters and measurements taken to learn about them. As soon as there are more than enough data collected to determine a unique solution for the parameters, an estimation technique needs to be applied such as ‘Least-Squares adjustment’, for instance, which turns out to be optimal under a wide range of criteria. In this context, the matrix connecting the parameters with the observations is considered fully known, and the parameter vector is considered fully unknown. This, however, is not always the reality. Therefore, two modifications of the GMM have been considered, in particular. First, ‘stochastic prior information’ (p. i.) was added on the parameters, thereby creating the – still linear – Random Effects Model (REM) where the optimal determination of the parameters (random effects) is based on ‘Least Squares collocation’, showing higher precision as long as the p. i. was adequate (Wallace test). Secondly, the coefficient matrix was allowed to contain observed elements, thus leading to the – now nonlinear – Errors-In-Variables (EIV) Model. If not using iterative linearization, the optimal estimates for the parameters would be obtained by ‘Total Least Squares adjustment’ and with generally lower, but perhaps more realistic precision. Here the two concepts are combined, thus leading to the (nonlinear) ’EIV-Model with p. i.’, where an optimal estimation (resp. prediction) technique is developed under the name of ‘Total Least-Squares collocation’. At this stage, however, the covariance matrix of the data matrix – in vector form – is still being assumed to show a Kronecker product structure. Full article
(This article belongs to the Special Issue Stochastic Models for Geodesy and Geoinformation Science)
Show Figures

Figure 1

Back to TopTop