Analysis of Spatial and Temporal Criteria for Altimeter Collocation of Significant Wave Height and Wind Speed Data in Deep Waters
Abstract
1. Introduction
2. Materials and Methods
2.1. Buoy Data
2.2. Altimeter Data
2.3. Data Processing and Altimeter–Buoy Collocation
3. Results
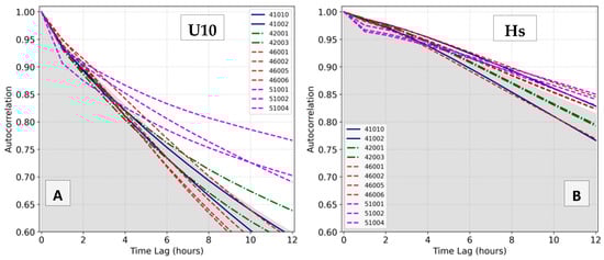
3.1. Temporal Analysis Using Buoy Data
3.2. Spatial Analysis Using Altimeter Data
3.3. Spatial Averaging Method and Altimeter Validation
4. Discussion
5. Conclusions
Funding
Data Availability Statement
Acknowledgments
Conflicts of Interest
References
- Wimmer, W.; Challenor, P.; Retzler, C. Extreme wave heights in the North Atlantic from Altimeter Data. Renew. Energy 2006, 31, 241–248. [Google Scholar] [CrossRef]
- Alves, J.H.G.M.; Young, I.R. On estimating extreme wave heights using combined Geosat, Topex/Poseidon and ERS-1 altimeter data. Appl. Ocean Res. 2004, 25, 167–186. [Google Scholar] [CrossRef]
- Ozbahceci, B.O. Extreme value statistics of wind speed and wave height of the Marmara Sea based on combined radar altimeter data. Adv. Space Res. 2020, 66, 2302–2318. [Google Scholar] [CrossRef]
- Young, I.R.; Zieger, S.; Babanin, A.V. Global trends in wind speed and wave height. Science 2011, 332, 451–455. [Google Scholar] [CrossRef]
- Hochet, A.; Dodet, G.; Ardhuin, F.; Hemer, M.; Young, I.R. Sea State Decadal Variability in the North Atlantic: A Review. Climate 2021, 9, 173. [Google Scholar] [CrossRef]
- Stopa, J.E. Seasonality of wind speeds and wave heights from 30 years of satellite altimetry. Adv. Space Res. 2021, 68, 787–801. [Google Scholar] [CrossRef]
- Young, I.R.; Ribal, A. Can Multi-Mission Altimeter Datasets Accurately Measure Long-Term Trends in Wave Height? Remote Sens. 2022, 14, 974. [Google Scholar] [CrossRef]
- Erikson, L.; Morim, J.; Hemer, M.; Young, I.R.; Wang, X.L.; Mentaschi, L.; Mori, N.; Semedo, A.; Stopa, J.; Grigorieva, V.; et al. Global ocean wave fields show consistent regional trends between 1980 and 2014 in a multi-product ensemble. Commun. Earth Environ. 2022, 3, 320. [Google Scholar] [CrossRef]
- Stopa, J.E.; Cheung, K.F. Intercomparison of wind and wave data from the ECMWF Reanalysis Interim and the NCEP Climate Forecast System Reanalysis. Ocean Model. 2014, 75, 65–83. [Google Scholar] [CrossRef]
- Shi, J.; Zheng, J.; Zhang, C.; Joly, A.; Zhang, W.; Xu, P.; Sui, T.; Chen, T. A 39-year high resolution wave hindcast for the Chinese coast: Model validation and wave climate analysis. Ocean Eng. 2019, 183, 224–235. [Google Scholar] [CrossRef]
- Campos, R.M.; Gramcianinov, C.B.; Camargo, R.; Dias, P.L.S. Assessment and Calibration of ERA5 Severe Winds in the Atlantic Ocean Using Satellite Data. Remote Sens. 2022, 14, 4918. [Google Scholar] [CrossRef]
- Janssen, P.A.E.M.; Hansen, B.; Bidlot, J.-R. Verification of the ECMWF Wave Forecasting System against Buoy and Altimeter Data. Weather Forecast. 1997, 12, 763–784. [Google Scholar] [CrossRef]
- Campos, R.M.; Alves, J.H.G.M.; Penny, S.G.; Krasnopolsky, V. Global assessments of the NCEP Ensemble Forecast System using altimeter data. Ocean Dynam. 2020, 70, 405–419. [Google Scholar] [CrossRef]
- Campos, R.M.; Bernardino, M.; Gonçalves, M.; Guedes Soares, C. Assessment of metocean forecasts for Hurricane Lorenzo in the Azores Archipelago. Ocean Eng. 2022, 243, 110292. [Google Scholar] [CrossRef]
- Esteva, D.C. Evaluation of preliminary experiments assimilating Seasat significant wave heights into a spectral wave model. J. Geophys. Res. 1988, 93, 14099–14105. [Google Scholar] [CrossRef]
- Young, I.R.; Glowacki, T.J. Assimilation of altimeter wave height data into a spectral wave model using statistical interpolation. Ocean Eng. 1996, 23, 667–689. [Google Scholar] [CrossRef]
- Yu, H.; Li, J.; Wu, K.; Wang, Z.; Yu, H.; Zhang, S.; Hou, Y.; Kelly, R.M. A global high-resolution ocean wave model improved by assimilating the satellite altimeter significant wave height. Int. J. Appl. Earth Obs. Geoinf. 2018, 70, 43–50. [Google Scholar] [CrossRef]
- Toledano, C.; Ghantous, M.; Lorente, P.; Dalphinet, A.; Aouf, L.; Sotillo, M.G. Impacts of an Altimetric Wave Data Assimilation Scheme and Currents-Wave Coupling in an Operational Wave System: The New Copernicus Marine IBI Wave Forecast Service. J. Mar. Sci. Eng. 2022, 10, 457. [Google Scholar] [CrossRef]
- Campos, R.M.; Krasnopolsky, V.; Alves, J.-H.; Penny, S.G. Improving NCEP’s global-scale wave ensemble averages using neural networks. Ocean Model. 2020, 149, 101617. [Google Scholar] [CrossRef]
- Dobson, E.; Monaldo, F.; Goldhirsh, J.; Wilkerson, J. Validation of Geosat altimeter-derived wind speeds and significant wave heights using buoy data. J. Geophys. Res. 1987, 92, 10719–10731. [Google Scholar] [CrossRef]
- Durrant, T.H.; Greenslade, D.J.M.; Simmonds, I. Validation of Jason-1 and Envisat Remotely Sensed Wave Heights. J. Atmos. Ocean. Technol. 2009, 26, 123–134. [Google Scholar] [CrossRef]
- GlobWaveTeam. Deliverable D30. GlobWave Final Report. 2013. Available online: http://due.esrin.esa.int/page_project102.php (accessed on 1 July 2022).
- Ribal, A.; Young, I.R. 33 years of globally calibrated wave height and wind speed data based on altimeter observations. Sci. Data 2019, 6, 77. [Google Scholar] [CrossRef] [PubMed]
- Dodet, G.; Piolle, J.-F.; Quilfen, Y.; Abdalla, S.; Accensi, M.; Ardhuin, F.; Ash, E.; Bidlot, J.-R.; Gommenginger, C.; Marechal, G.; et al. The Sea State CCI dataset v1: Towards a sea state climate data record based on satellite observations. Earth Syst. Sci. Data 2020, 12, 1929–1951. [Google Scholar] [CrossRef]
- Zieger, S.; Vinoth, J.; Young, I.R. Joint calibration of multi-platform altimeter measurements of wind speed and wave height over the past 20 years. J. Atmos. Ocean. Tech. 2009, 26, 2549–2564. [Google Scholar] [CrossRef]
- Cooper, C.K.; Forristall, G.Z. The use of satellite altimeter data to estimate extreme wave climate. J. Atmosph. Oceanic Technol. 1997, 14, 254–266. [Google Scholar] [CrossRef]
- Jason-3 Products Handbook. 2018; CNES: SALP-MU-M-OP-16118-CN. Available online: https://www.ospo.noaa.gov/Products/documents/hdbk_j3.pdf (accessed on 1 July 2022).
- Monaldo, F. Expected differences between buoy and radar altimeter estimates of wind speed and significant wave height and their implications on buoy-altimeter comparisons. J. Geophys. Res. 1988, 93, 2285–2302. [Google Scholar] [CrossRef]
- Gower, J.F.R. Intercalibration of wave and wind data from TOPEX/POSEIDON and moored buoys off the west coast of Canada. J. Geophys. Res. 1996, 101, 3817–3829. [Google Scholar] [CrossRef]
- Young, I.R.; Holland, G.J. Atlas of the Oceans: Wind and Wave Climate; Pergamon Press: New York, NY, USA, 1996; p. 241. [Google Scholar]
- Queffeulou, P. Validation of ENVISAT RA-2 and JASON-1 altimeter wind and wave measurements. In Proceedings of the 2003 IEEE International Geoscience and Remote Sensing Symposium IGARSS, Toulouse, France, 21–25 July 2003; Volume 5, pp. 2987–2989. [Google Scholar] [CrossRef]
- Queffeulou, P. Long-term validation of wave height measurements from altimeters. Mar. Geod. 2004, 27, 495–510. [Google Scholar] [CrossRef]
- Queffeulou, P.; Bentamy, A.; Guyader, J. Satellite wave height validation over the Mediterranean Sea. In Proceedings of the 2004 Envisat & ERS Symposium, Salzburg, Austria, 6–10 September 2004; European Space Agency: Paris, France, 2004; p. 208.1. [Google Scholar]
- Young, I.R.; Sanina, E.; Babanin, A.V. Calibration and cross-validation of a global wind and wave database of altimeter, radiometer, and scatterometer measurements. J. Atmos. Ocean. Technol. 2017, 34, 1285–1306. [Google Scholar] [CrossRef]
- Young, I.R.; Donelan, M.A. On the determination of global ocean wind and wave climate from satellite observations. Remote Sens. Environ. 2018, 215, 228–241. [Google Scholar] [CrossRef]
- Campos, R.M.; D’Agostini, A.; França, B.R.L.; Damião, A.L.A.; Guedes Soares, C. Implementation of a multi-grid operational wave forecast in the South Atlantic Ocean. Ocean Eng. 2022, 243, 110173. [Google Scholar] [CrossRef]
- National Data Buoy Center. NDBC Web Data Guide. 2015; 14p. Available online: https://www.ndbc.noaa.gov/docs/ndbc_web_data_guide.pdf (accessed on 1 July 2022).
- NDBC Technical Document 09-02, Handbook of Automated Data Quality Control Checks and Procedures. 2009. Available online: https://www.ndbc.noaa.gov/NDBCHandbookofAutomatedDataQualityControl2009.pdf (accessed on 1 July 2022).
- Evans, D.; Conrad, C.L.; Paul, F.M. Handbook of Automated Data Quality Control Checks and Procedures of the National Data Buoy Center; Document 03–02; NOAA National Data Buoy Center Tech: Hancock County, MS, USA, 2003; 44p. [Google Scholar]
- Det Norske Veritas/DNV-RP-C205 Recommended Practice, Environmental Conditions and Environmental Loads, April. 2007. Available online: https://www.dnv.com/oilgas/download/dnv-rp-c205-environmental-conditions-and-environmental-loads.html (accessed on 1 July 2022).
- Hsu, S.A.; Meindl, E.A.; Gilhousen, D.B. Determining the power-law wind-profile exponent under near-neutral stability conditions at sea. J. Appl. Meteor. 1994, 33, 757–765. [Google Scholar] [CrossRef]
- Jung, C.; Schindler, D. The role of the power law exponent in wind energy assessment: A global analysis. Int. J. Energy Res. 2021, 45, 8484–8496. [Google Scholar] [CrossRef]
- Bowler, N.E. Explicitly accounting for observation error in categorical verification of forecasts. Mon. Weather Rev. 2006, 134, 1600–1606. [Google Scholar] [CrossRef]
- Liu, Q.; Lewis, T.; Zhang, Y.; Sheng, W. Performance assessment of wave measurements of wave buoys. Int. J. Mar. Energy 2015, 12, 63–76. [Google Scholar] [CrossRef]
- Lawrence, J.; Coauthors, D. 2.1 Wave Instrumentation Database. Work Package 2: Standards and Best Practice. Revision: 05. 2012 Marine Renewables Infrastructure Network, European Union Seventh Framework Programme. 2012, 55p. Available online: https://www.marinet2.eu/wp-content/uploads/2017/04/D2.01-Wave-Instrumentation-Database.pdf (accessed on 1 July 2022).
- Ashton, I.G.C.; Johanning, L. On errors in low frequency wave measurements from wave buoys. Ocean Eng. 2015, 95, 11–22. [Google Scholar] [CrossRef]
- Bender, L.C.; Guinasso, N.L., Jr.; Walpertert, J.R.; Howden, S.D. A comparison of methods for determining significant wave heights—Applied to a 3-m discus buoy during Hurricane Katrina. J. Atmos. Ocean. Technol. 2010, 27, 1012–1028. [Google Scholar] [CrossRef]
- Donelan, M.; Pierson, W.J. The sampling variability of estimates of spectra of wind-generated gravity waves. J. Geophys. Res. 1983, 88, 4381–4392. [Google Scholar] [CrossRef]
- Thomas, J. Wave data analysis and quality control challenges. In Proceedings of the Oceans 2016 MTS/IEEE Monterey, Monterey, CA, USA, 19–23 September 2016. [Google Scholar] [CrossRef]
- Feng, H.; Vandemark, D.; Quilfen, Y.; Chapron, B.; Beckley, B. Assessment of wind-forcing impact on a global wind-wave model using the TOPEX altimeter. Ocean Eng. 2006, 33, 1431–1461. [Google Scholar] [CrossRef]
- Young, I.R.; Vinoth, J. An “extended fetch” model for the spatial distribution of tropical cyclone wind–waves as observed by altimeter. Ocean Eng. 2013, 70, 14–24. [Google Scholar] [CrossRef]
- Cotton, P.D.; Carter, D.J.T. Cross calibration of TOPEX, ERS-1, and Geosat wave heights. J. Geophys. Res. 1994, 99, 25025–25033. [Google Scholar] [CrossRef]
- Young, I.R. An intercomparison of GEOSAT, TOPEX and ERS1 measurements of wind speed and wave height. Ocean Eng. 1999, 26, 67–81. [Google Scholar] [CrossRef]
- Cancet, M.; Bijac, S.; Chimot, J.; Bonnefond, P.; Jeansou, E.; Laurain, O.; Lyard, F.; Bronner, E.; Féménias, P. Regional in situ validation of satellite altimeters: Calibration and cross-calibration results at the Corsican sites. Adv. Space Res. 2013, 51, 1400–1417. [Google Scholar] [CrossRef]
- Bao, L.; Gao, P.; Peng, H.; Jia, Y.; Shum, C.K.; Lin, M.; Guo, Q. First accuracy assessment of the HY-2A altimeter sea surface height observations: Cross-calibration results. Adv. Space Res. 2015, 55, 90–105. [Google Scholar] [CrossRef]
- Abdalla, S.; Dinardo, S.; Benveniste, J.; Janssen, P.A.E.M. Assessment of CryoSat-2 SAR mode wind and wave data. Adv. Space Res. 2018, 62, 1421–1433. [Google Scholar] [CrossRef]
- Kong, Y.; Zhang, X.; Sheng, L.; Chen, B. Validation and application of multi-source altimeter wave data in China’s offshore areas. Acta Oceanol. Sin. 2016, 35, 86–96. [Google Scholar] [CrossRef]
- Sepulveda, H.H.; Queffeulou, P.; Ardhuin, F. Assessment of SARAL AltiKa wave height measurements relative to buoy, Jason-2 and Cryosat-2 data. Mar. Geod. 2015, 38, 449–465. [Google Scholar] [CrossRef]
- Queffeulou, P.; Croizé-Fillon, D. Global Altimeter SWH Data Set. Laboratoire d’Océanographie Physique et Spatiale IFREMER. 2017. Available online: ftp://ftp.ifremer.fr/ifremer/cersat/products/swath/altimeters/waves/documentation/altimeter_wave_merge__11.4.pdf (accessed on 1 July 2022).
- GLOBWAVE Product User Guide. GlobWave/DD/PUGIssue 1.0. SatOC, Ifremer, NOC, CLS. Report No.: 21891/08/I-EC. 2010. Available online: http://globwave.ifremer.fr/download/ (accessed on 1 July 2022).
- Takbash, A.; Young, I.R.; Breivik, Ø. Global Wind Speed and Wave Height Extremes Derived from Long-Duration Satellite Records. J. Clim. 2019, 32, 109–126. [Google Scholar] [CrossRef]
- Willmott, C.J.; Ackleson, S.G.; Davis, R.E.; Feddema, J.J.; Klink, K.M.; Legates, D.R.; O’Donnell, J.; Rowe, C.M. Statistics for the evaluation and comparison of models. J. Geophys. Res. 1985, 90, 8995–9005. [Google Scholar] [CrossRef]
- Wilks, D.S. Statistical Methods in the Atmospheric Sciences, 3rd ed.; Elsevier: Amsterdam, The Netherlands, 2011; ISBN 9780123850225. [Google Scholar]
- Mentaschi, L.; Besio, G.; Cassola, F.; Mazzino, A. Problems in RMSE-based wave model validations. Ocean Model. 2013, 72, 53–58. [Google Scholar] [CrossRef]
- Chai, T.; Draxler, R.R. Root mean square error (RMSE) or mean absolute error (MAE)?—Arguments against avoiding RMSE in the literature. Geosci. Model Dev. 2014, 7, 1247–1250. [Google Scholar] [CrossRef]
- Jolliff, J.K.; Kindle, J.C.; Shulman, I.; Penta, B.; Friedrichs, M.A.M.; Helber, R.; Arnone, R.A. Summary diagrams for coupled hydrodynamic-ecosystem model skill assessment. J. Mar. Syst. 2009, 76, 64–82. [Google Scholar] [CrossRef]
- Hwang, P.A.; Teague, W.J.; Jacobs, G.A.; Wang, D.W. A statistical comparison of wind speed, wave height, and wave period derived from satellite altimeters and ocean buoys in the Gulf of Mexico region. JGR 1998, 103, 10451–10468. Available online: https://agupubs.onlinelibrary.wiley.com/doi/pdf/10.1029/98JC00197 (accessed on 1 July 2022). [CrossRef]
- Nielsen, E.S. Pyresample Documentation Release 1.9.0. 2018. Available online: https://buildmedia.readthedocs.org/media/pdf/pyresample/develop/pyresample.pdf (accessed on 1 July 2022).
- Campos, R.M.; Alves, J.-H.G.M.; Penny, S.G.; Krasnopolsky, V. Assessments of Surface Winds and Waves from the NCEP Ensemble Forecast System. Weather Forecast. 2018, 33, 1533–1546. [Google Scholar] [CrossRef]
- Kaiser, J.; Nogueira, I.C.M.; Campos, R.M.; Parente, C.E.; Martins, R.P.; Belo, W.C. Evaluation of wave model performance in the South Atlantic Ocean: A study about physical parameterization and wind forcing calibration. Ocean Dyn. 2022, 72, 137–150. [Google Scholar] [CrossRef]
- Welch, P.D. The use of Fast Fourier Transform for the estimation of power spectra: A method based on time averaging over short, modified periodograms. IEEE Trans. Audio Electroacoust. 1967, 15, 70–73. [Google Scholar] [CrossRef]
- Quartly, G.D.; Kurekin, A.A. Sensitivity of Altimeter Wave Height Assessment to Data Selection. Remote Sens. 2020, 12, 2608. [Google Scholar] [CrossRef]












| BuoyID | Latitude | Longitude | DepthNDBC (m) | DepthETOPO (m) | Dcoast (Km) | WCR (Km) | Start Date | N Records |
|---|---|---|---|---|---|---|---|---|
| 41010 | 28.90 | 281.54 | 890 | 901 | 182 | 1.20 | 11/1988 | 242,828 |
| 41002 | 31.76 | 285.16 | 3975 | 3993 | 353 | 3.66 | 11/1975 | 247,865 |
| 42001 | 25.90 | 270.33 | 3194 | 3211 | 335 | 2.88 | 01/1976 | 301,003 |
| 42003 | 26.01 | 274.35 | 3265 | 3279 | 315 | 3.05 | 07/1977 | 299,134 |
| 46001 | 56.30 | 212.08 | 4054 | 4093 | 290 | 3.94 | 12/1974 | 300,617 |
| 46002 | 42.61 | 229.51 | 3413 | 3442 | 486 | 3.30 | 09/1975 | 255,324 |
| 46005 | 45.96 | 229.00 | 2852 | 2742 | 509 | 2.74 | 09/1976 | 253,326 |
| 46006 | 40.78 | 222.60 | 4378 | 4370 | 1088 | 4.06 | 04/1977 | 212,907 |
| 51001 | 24.42 | 197.90 | 4895 | 4912 | 152 | 4.63 | 02/1981 | 242,062 |
| 51002 | 17.04 | 202.30 | 4948 | 5023 | 295 | 4.66 | 09/1984 | 238,635 |
| 51004 | 17.60 | 207.61 | 4998 | 5077 | 330 | 4.93 | 11/1984 | 248,525 |
| tlag (h) | RMSD (m) | SI 1 | CC | |
|---|---|---|---|---|
| Hs | 1 | 0.18 (0.11,0.25) | 0.077 (0.065,0.083) | 0.982 (0.964,0.989) |
| 2 | 0.22 (0.14,0.32) | 0.097 (0.071,0.113) | 0.974 (0.958,0.979) | |
| 3 | 0.27 (0.18,0.41) | 0.118 (0.078,0.144) | 0.963 (0.950,0.970) | |
| 6 | 0.40 (0.24,0.62) | 0.175 (0.099,0.225) | 0.920 (0.903,0.934) | |
| 12 | 0.59 (0.33,0.93) | 0.261 (0.136,0.343) | 0.825 (0.784,0.858) | |
| tlag (h) | RMSD (m/s) | SI 1 | CC | |
| U10 | 1 | 1.02 (0.82,1.10) | 0.138 (0.102,0.163) | 0.938 (0.908,0.955) |
| 2 | 1.29 (0.96,1.44) | 0.175 (0.120,0.207) | 0.902 (0.876,0.922) | |
| 3 | 1.51 (1.07,1.79) | 0.204 (0.132,0.243) | 0.868 (0.851,0.889) | |
| 6 | 2.02 (1.30,2.57) | 0.271 (0.161,0.320) | 0.769 (0.737,0.836) | |
| 12 | 2.63 (1.54,3.49) | 0.353 (0.190,0.423) | 0.613 (0.516,0.771) |
| Dist (km) | Bias | RMSD | SI | CC | |
|---|---|---|---|---|---|
| Hs | 25 | −0.008 | 0.090 | 0.089 | 0.991 |
| 50 | −0.014 | 0.115 | 0.114 | 0.986 | |
| 100 | −0.022 | 0.149 | 0.147 | 0.976 | |
| 200 | −0.060 | 0.201 | 0.191 | 0.960 | |
| U10 | 25 | 0.004 | 0.133 | 0.024 | 0.998 |
| 50 | 0.008 | 0.275 | 0.050 | 0.993 | |
| 100 | 0.052 | 0.447 | 0.081 | 0.981 | |
| 200 | 0.095 | 0.634 | 0.114 | 0.963 |
| Dist (km) | Method | Bias | RMSE | SI | CC | |
|---|---|---|---|---|---|---|
| Hs | 25 | Nearest | 0.036 | 0.259 | 0.110 | 0.977 |
| Mean | 0.038 | 0.226 | 0.096 | 0.983 | ||
| LIDW | 0.038 | 0.228 | 0.096 | 0.982 | ||
| GF | 0.038 | 0.228 | 0.097 | 0.982 | ||
| 50 | Nearest | 0.024 | 0.273 | 0.112 | 0.974 | |
| Mean | 0.024 | 0.236 | 0.096 | 0.981 | ||
| LIDW | 0.024 | 0.236 | 0.096 | 0.981 | ||
| GF | 0.024 | 0.235 | 0.096 | 0.981 | ||
| Hsc | 25 | Nearest | 0.013 | 0.247 | 0.106 | 0.979 |
| Mean | 0.015 | 0.210 | 0.090 | 0.985 | ||
| LIDW | 0.015 | 0.212 | 0.091 | 0.984 | ||
| GF | 0.015 | 0.213 | 0.092 | 0.984 | ||
| 50 | Nearest | 0.013 | 0.259 | 0.106 | 0.977 | |
| Mean | 0.014 | 0.218 | 0.089 | 0.983 | ||
| LIDW | 0.014 | 0.218 | 0.089 | 0.983 | ||
| GF | 0.014 | 0.218 | 0.089 | 0.984 |
| Dist (km) | Method | Bias | RMSE | SI | CC | |
|---|---|---|---|---|---|---|
| U10 | 25 | Nearest | −0.356 | 1.956 | 0.270 | 0.809 |
| Mean | −0.356 | 1.936 | 0.268 | 0.811 | ||
| LIDW | −0.356 | 1.940 | 0.268 | 0.811 | ||
| GF | −0.356 | 1.941 | 0.268 | 0.811 | ||
| 50 | Nearest | −0.490 | 2.040 | 0.277 | 0.792 | |
| Mean | −0.489 | 2.016 | 0.274 | 0.794 | ||
| LIDW | −0.490 | 2.017 | 0.274 | 0.795 | ||
| GF | −0.490 | 2.018 | 0.275 | 0.795 | ||
| U10c | 25 | Nearest | 0.739 | 1.701 | 0.186 | 0.893 |
| Mean | 0.739 | 1.669 | 0.182 | 0.896 | ||
| LIDW | 0.739 | 1.676 | 0.183 | 0.895 | ||
| GF | 0.739 | 1.677 | 0.183 | 0.895 | ||
| 50 | Nearest | 0.760 | 1.721 | 0.184 | 0.888 | |
| Mean | 0.761 | 1.681 | 0.179 | 0.892 | ||
| LIDW | 0.760 | 1.684 | 0.179 | 0.892 | ||
| GF | 0.760 | 1.685 | 0.180 | 0.892 |
| Time/Dist | 10 | 25 | 50 | 100 |
|---|---|---|---|---|
| 15 | 294 | 567 | 1134 | |
| 30 | 930 | 1836 | 3672 | 7344 |
| 60 | 2226 | 4389 | 8781 | 17,553 |
| 120 | 12,714 | 25,323 | 50,583 |
Disclaimer/Publisher’s Note: The statements, opinions and data contained in all publications are solely those of the individual author(s) and contributor(s) and not of MDPI and/or the editor(s). MDPI and/or the editor(s) disclaim responsibility for any injury to people or property resulting from any ideas, methods, instructions or products referred to in the content. |
© 2023 by the author. Licensee MDPI, Basel, Switzerland. This article is an open access article distributed under the terms and conditions of the Creative Commons Attribution (CC BY) license (https://creativecommons.org/licenses/by/4.0/).
Share and Cite
Campos, R.M. Analysis of Spatial and Temporal Criteria for Altimeter Collocation of Significant Wave Height and Wind Speed Data in Deep Waters. Remote Sens. 2023, 15, 2203. https://doi.org/10.3390/rs15082203
Campos RM. Analysis of Spatial and Temporal Criteria for Altimeter Collocation of Significant Wave Height and Wind Speed Data in Deep Waters. Remote Sensing. 2023; 15(8):2203. https://doi.org/10.3390/rs15082203
Chicago/Turabian StyleCampos, Ricardo M. 2023. "Analysis of Spatial and Temporal Criteria for Altimeter Collocation of Significant Wave Height and Wind Speed Data in Deep Waters" Remote Sensing 15, no. 8: 2203. https://doi.org/10.3390/rs15082203
APA StyleCampos, R. M. (2023). Analysis of Spatial and Temporal Criteria for Altimeter Collocation of Significant Wave Height and Wind Speed Data in Deep Waters. Remote Sensing, 15(8), 2203. https://doi.org/10.3390/rs15082203

