Sign in to use this feature.

Years

Between: -

Subjects

remove_circle_outline
remove_circle_outline
remove_circle_outline
remove_circle_outline
remove_circle_outline
remove_circle_outline
remove_circle_outline
remove_circle_outline
remove_circle_outline

Journals

remove_circle_outline
remove_circle_outline
remove_circle_outline
remove_circle_outline

Article Types

Countries / Regions

remove_circle_outline
remove_circle_outline
remove_circle_outline
remove_circle_outline

Search Results (257)

Search Parameters:
Keywords = collaborative pricing

Order results
Result details
Results per page
Select all
Export citation of selected articles as:
42 pages, 7992 KB  
Article
Green Building Design Strategies for Residential Areas in Informal Settlements of Developing Countries
by Eric Nkurikiye and Xuan Ma
Architecture 2025, 5(4), 102; https://doi.org/10.3390/architecture5040102 (registering DOI) - 24 Oct 2025
Abstract
Informal settlements, urban areas with substandard housing conditions and inadequate infrastructure, are increasing in Africa’s sub-Saharan cities, fueled by rapid urbanization, economic challenges, and high housing prices. However, developers often ignore the green building (GB) concept when upgrading housing conditions for these communities. [...] Read more.
Informal settlements, urban areas with substandard housing conditions and inadequate infrastructure, are increasing in Africa’s sub-Saharan cities, fueled by rapid urbanization, economic challenges, and high housing prices. However, developers often ignore the green building (GB) concept when upgrading housing conditions for these communities. This study aims to investigate GB design strategies specifically for residential structures in Akabahizi to identify and propose practical strategies suitable for informal settlements such as Akabahizi and to develop sustainable housing solutions that enhance environmental quality and meet the needs of residents. Simulation software and combined qualitative and quantitative data collection techniques, including field surveys, interviews, and assessments of existing building conditions, constitute the methodology used in this study. The focus was on the influence of climatic factors, including temperature, precipitation, and wind, on design choices, particularly GB design and current residential buildings in Akabahizi. Based on the survey, 82.5% of residents support the GB concept, 87.4% recognize the importance of GB for community well-being, and 97.1% recognize the benefits of integrating energy-efficient technology for residents’ well-being. Questionnaire findings were considered in decision-making for the design of the new proposed structure to address challenges in the area. Optimized energy efficiency, daylight access, and thermal comfort resulting from courtyard design support GB design incorporating a courtyard as a robust and culturally relevant sustainable design framework tailored for Akabahizi. The courtyard provides green space that promotes social interaction, improves air quality, and delivers natural cooling elements that are essential for residential housing. The proposed new design, with green roof and renewable energy devices, improved material usage, and natural ventilation elements, outperformed the existing one in terms of lower levels of carbon emission for environmental protection. In conclusion, a collaborative effort is needed among various stakeholders, including architects, urban planners, and educational institutions, to promote and implement sustainable building practices. The study suggests that enhancing awareness, offering training opportunities, and empowering local professionals and residents alike can pave the way for improved living conditions and sustainable urban development in Akabahizi and similar informal settlements. Full article
(This article belongs to the Special Issue Advances in Green Buildings)
Show Figures

Figure 1

16 pages, 1803 KB  
Article
Determinants of the Price of Airbnb Accommodations Through a Weighted Spatial Regression Model: A Case of the Autonomous City of Buenos Aires
by Agustín Álvarez-Herranz, Edith Macedo-Ruíz and Eduardo Quiroga
Sustainability 2025, 17(21), 9364; https://doi.org/10.3390/su17219364 - 22 Oct 2025
Viewed by 41
Abstract
In the context of the global growth of the collaborative economy, Airbnb has established itself as one of the most influential players in the transformation of the tourist accommodation market, especially in the reconfiguration of urban tourist accommodation. This article examines empirically and [...] Read more.
In the context of the global growth of the collaborative economy, Airbnb has established itself as one of the most influential players in the transformation of the tourist accommodation market, especially in the reconfiguration of urban tourist accommodation. This article examines empirically and critically how this platform operates in Buenos Aires, the most visited city in Argentina and one of the main tourist hubs in South America. Based on a database of 17,249 active listings, the price formation of accommodations is analyzed using a comparative methodological approach between a general linear model (GLM) and a geographically weighted regression (GWR) model. While the GLM allows for capturing general patterns, the GWR reveals significant territorial differences, offering a detailed reading of the spatial behavior of prices in the city. The results show that variables such as the capacity of the accommodation, its type (full house), the host’s condition, the users’ ratings and the proximity to strategic points such as the subway or Plaza de Mayo have a significant influence on prices. In addition, it is shown that the influence of these variables varies by neighborhood, confirming that the pricing logic in Airbnb is deeply territorialized. This study not only provides novel empirical evidence for a Latin American city that has been little explored in the international literature, but also offers useful tools for hosts, urban planners and public decision makers. Its main contribution lies in showing that prices respond not only to accommodation attributes, but also to broader spatial inequalities, opening the debate on the effects of Airbnb on housing access and urban management in cities with strained real estate markets. By shedding light on these territorial asymmetries, the study offers valuable insights for public policy and urban governance and contributes directly to the achievement of Sustainable Cities and Communities (SDG 11), while also supporting Industry, Innovation and Infrastructure (SDG 9) and Reduced Inequalities (SDG 10), by providing practical knowledge that fosters more equitable and sustainable urban development. Full article
(This article belongs to the Section Development Goals towards Sustainability)
Show Figures

Figure 1

16 pages, 529 KB  
Perspective
Balancing Innovation and Equity: A Successful Dynamic Between Private and Public Sectors Is Essential to Ensure True Pandemic Influenza Preparedness
by Lyn Morgan Marsden and Marie Mazur
Vaccines 2025, 13(11), 1078; https://doi.org/10.3390/vaccines13111078 - 22 Oct 2025
Viewed by 59
Abstract
The COVID-19 pandemic demonstrated both the transformative capacity of vaccine innovation and the persistent inequities that accompany emergency access, underscoring the critical need for stronger collaboration between global health governance and the vaccine industry. Influenza pandemics remain inevitable threats. The continued emergence of [...] Read more.
The COVID-19 pandemic demonstrated both the transformative capacity of vaccine innovation and the persistent inequities that accompany emergency access, underscoring the critical need for stronger collaboration between global health governance and the vaccine industry. Influenza pandemics remain inevitable threats. The continued emergence of avian influenza strains such as H5N1 reinforces the necessity of robust preparedness. This perspective examines the underutilization of private sector vaccine manufacturers in current pandemic influenza frameworks and identifies three central areas where industry participation is indispensable: predictable vaccine demand through robust seasonal influenza programs, economic incentives that de-risk investments in research and development, and diversification of vaccine platforms to expand response capacity. In addition, regionalizing manufacturing, advancing collaborative regulatory models, and negotiating export waivers are presented as potential mechanisms to strengthen equity and supply security. The review highlights demand-based tiered pricing and Advance Purchase Agreements as practical tools to align commercial incentives with public health priorities. Furthermore, it makes the case for embedding private sector representation and knowledge into top-level decision-making and preparedness planning, ensuring investment in innovation is aligned with global health objectives. Ultimately, true pandemic influenza readiness depends on building a sustained seasonal influenza market, embedding private sector engagement into governance structures, and fostering mutual trust to ensure timely access and equitable protection for populations worldwide. Full article
(This article belongs to the Special Issue Pandemic Influenza Vaccination)
Show Figures

Figure 1

27 pages, 2138 KB  
Article
AI-Powered Advisory Platforms for Sustainable Marketing Innovation in SMEs: Empirical Evidence from Underserved U.S. Markets
by Carmen Cagiza, Massochi Faustino, Ilidio Cagiza and Aristoteles Cajiza
Sustainability 2025, 17(20), 9336; https://doi.org/10.3390/su17209336 - 21 Oct 2025
Viewed by 181
Abstract
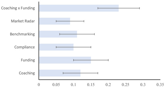
Small and medium-sized enterprises (SMEs) drive economic growth but face barriers in adopting AI for creative digital marketing, particularly in underserved U.S. markets. This study investigates an AI-driven unified advisory platform to enable strategic digital marketing in these communities. Integrating modules such as [...] Read more.
Small and medium-sized enterprises (SMEs) drive economic growth but face barriers in adopting AI for creative digital marketing, particularly in underserved U.S. markets. This study investigates an AI-driven unified advisory platform to enable strategic digital marketing in these communities. Integrating modules such as MarketRadar (customer insights, benchmarking) with StrategicCoaching and ComplianceTools, it supports data-driven campaign design, pricing, and engagement. Using mixed methods, we interviewed 13 SME owners/managers in Houston’s underserved neighborhoods and surveyed 172 platform users across three U.S. states. Results show that SMEs using multiple modules achieved higher customer acquisition and revenue than standalone users, with qualitative insights revealing creative repositioning and refinement despite limited budgets. Trust elements like PeerBenchmarks and ComplianceAlerts boosted uptake. Our study advances digital marketing literature by evidencing how AI platforms and cross-module collaboration catalyze innovation, decision-making, and sustainable growth in U.S. contexts, with caution for broader extrapolation. It offers recommendations for policymakers and SaaS providers on inclusive transformation in resource-constrained settings. Full article
Show Figures

Figure 1

29 pages, 15120 KB  
Article
Optimal Clearing Strategy for Day-Ahead Energy Markets in Distribution Networks with Multiple Virtual Power Plant Participation
by Pei Wang, Sen Tian, Qian Xiao, Tianxiang Li, Zibo Wang, Ji Qiao, Hong Zhu and Wenlu Ji
Appl. Sci. 2025, 15(20), 11197; https://doi.org/10.3390/app152011197 - 19 Oct 2025
Viewed by 251
Abstract
Constrained by current market mechanisms, small-scale virtual power plants (SS-VPPs) on the distribution network side struggle to exert their market characteristics. To address this, this paper proposes a trading framework and operational strategy for distribution-side SS-VPPs to participate in the day-ahead energy market. [...] Read more.
Constrained by current market mechanisms, small-scale virtual power plants (SS-VPPs) on the distribution network side struggle to exert their market characteristics. To address this, this paper proposes a trading framework and operational strategy for distribution-side SS-VPPs to participate in the day-ahead energy market. First, an operation and trading framework for distribution networks involving SS-VPPs is proposed. This framework comprehensively considers the clearing process of the electricity energy market, the operation mechanism of the distribution network, and the cost structures of various stakeholders, while clarifying the day-ahead market clearing mechanism at the distribution network level. Next, accounting for energy balance constraints and distribution network congestion constraints, this paper establishes a collaborative optimization model between SS-VPPs and active distribution networks. After obtaining the energy optimization results for all stakeholders, distribution locational marginal pricing (DLMP) is determined based on the dual problem solution to achieve multi-stakeholder market clearing. Finally, simulations using a modified IEEE 33-node test system demonstrate the rationality and feasibility of the proposed strategy. The framework fully exploits the market characteristics and dispatch potential of SS-VPPs, significantly reduces overall system operating costs, and ensures the economic benefits of all participants. Full article
Show Figures

Figure 1

26 pages, 5031 KB  
Article
Analysis of Price Dynamic Competition and Stability in Cross-Border E-Commerce Supply Chain Channels Empowered by Blockchain Technology
by Le-Bin Wang, Jian Chai and Lu-Ying Wen
Entropy 2025, 27(10), 1076; https://doi.org/10.3390/e27101076 - 16 Oct 2025
Viewed by 252
Abstract
Based on the perspective of multi-stage dynamic competition, this study constructs a discrete dynamic model of price competition between the “direct sales” and “resale” channels in cross-border e-commerce (CBEC) under three blockchain deployment modes. Drawing on nonlinear dynamics theory, the Nash equilibrium of [...] Read more.
Based on the perspective of multi-stage dynamic competition, this study constructs a discrete dynamic model of price competition between the “direct sales” and “resale” channels in cross-border e-commerce (CBEC) under three blockchain deployment modes. Drawing on nonlinear dynamics theory, the Nash equilibrium of the system and its stability conditions are examined. Using numerical simulations, the effects of factors such as the channel price adjustment speed, tariff rate, and commission ratio on the dynamic evolution, entropy, and stability of the system under the empowerment of blockchain technology are investigated. Furthermore, the impact of noise factors on system stability and the corresponding chaos control strategies are further analyzed. This study finds that a single-channel deployment tends to induce asymmetric system responses, whereas dual-channel collaborative deployment helps enhance strategic coordination. An increase in price adjustment speed, tariffs, and commission rates can drive the system’s pricing dynamics from a stable state into chaos, thereby raising its entropy, while the adoption of blockchain technology tends to weaken dynamic stability. Therefore, after deploying blockchain technology, each channel should make its pricing decisions more cautiously. Moderate noise can exert a stabilizing effect, whereas excessive disturbances may cause the system to diverge. Hence, enterprises should carefully assess the magnitude of disturbances and capitalize on the positive effects brought about by moderate fluctuations. In addition, the delayed feedback control method can effectively suppress chaotic fluctuations and enhance system stability, demonstrating strong adaptability across different blockchain deployment modes. Full article
(This article belongs to the Section Multidisciplinary Applications)
Show Figures

Figure 1

21 pages, 1631 KB  
Article
Competition and Coordination of Regional Fresh Supply Chain Under Government Regulation
by Chao Zhao, Yongmei Chi, Nini Gao and Jixiang Song
Games 2025, 16(5), 53; https://doi.org/10.3390/g16050053 - 10 Oct 2025
Viewed by 208
Abstract
Fresh agricultural products have significant seasonality and perishability, and their cross-regional sales often face differences in market demand, price, and sales volume. In the context of government quality regulation, competition among retailers in different regions drives supply chain members to improve product quality, [...] Read more.
Fresh agricultural products have significant seasonality and perishability, and their cross-regional sales often face differences in market demand, price, and sales volume. In the context of government quality regulation, competition among retailers in different regions drives supply chain members to improve product quality, expand sales, and reduce losses. However, conflicts of interest under decentralized decision-making may lead to overall inefficiency. This article constructs a supply chain model consisting of a single Manufacturer and two regional Retailers to study the quality competition and coordination mechanism of cross-regional fresh food supply chains under government supervision. By comparing centralized and decentralized decision-making, it is found that although quality improvement in decentralized mode helps enhance competitiveness and sales performance, it is difficult to effectively increase profits and may even lead to a decline in profits. Therefore, this article proposes a cost-sharing contract to achieve supply chain coordination. Research has shown that this contract can effectively improve the overall profit of the supply chain and achieve Pareto improvement; under high market demand and strict regulatory penalties, the total profit of the supply chain increases, but the dominant Retailer benefits more, which can easily trigger the “Matthew effect”. The research results reveal the comprehensive impact of quality investment, contract coordination, market demand fluctuations, and regulatory intensity on supply chain performance, providing theoretical basis and management insights for improving the collaborative efficiency and policy design of cross-regional fresh food supply chains. Full article
Show Figures

Figure 1

32 pages, 3312 KB  
Article
Green Investment and Emission Reduction in Supply Chains Under Dual-Carbon Regulation: A Dynamic Game Perspective on Coordination Mechanisms and Policy Insights
by Dandan Wu, Kun Li and Yang Cheng
Sustainability 2025, 17(19), 8951; https://doi.org/10.3390/su17198951 - 9 Oct 2025
Viewed by 449
Abstract
This study examines green investment and emission reduction strategies in a two-tier supply chain under dual-carbon regulation that combines a carbon tax with a cap-and-trade mechanism. A multi-stage dynamic game model is developed, in which the manufacturer reduces emissions through recycling efforts and [...] Read more.
This study examines green investment and emission reduction strategies in a two-tier supply chain under dual-carbon regulation that combines a carbon tax with a cap-and-trade mechanism. A multi-stage dynamic game model is developed, in which the manufacturer reduces emissions through recycling efforts and investments in green technology. We compare optimal decisions under centralized, decentralized, and coordinated structures, and propose an enhanced bilateral cost-sharing contract to improve collaboration. Numerical experiments validate the theoretical results, and sensitivity analyses provide further insights. The results show that while both carbon tax and permit trading increase emission reduction, the carbon tax may lower manufacturer profit, underscoring the need for coordinated policy design. Benchmarking proves more effective than grandfathering in stimulating green investment, particularly under high carbon prices and strong consumer environmental preferences. The proposed contract alleviates free riding, enhances overall supply chain profitability, and improves emission reduction performance. Policy implications highlight the importance of prioritizing benchmark allocation, promoting consumer environmental awareness, and encouraging firms to integrate carbon asset management with technological innovation. This research provides both theoretical and practical insights for designing effective carbon policies and collaborative mechanisms in green supply chains. Full article
(This article belongs to the Special Issue Sustainable Operations and Green Supply Chain)
Show Figures

Figure 1

36 pages, 39262 KB  
Article
Exploration of Differences in Housing Price Determinants Based on Street View Imagery and the Geographical-XGBoost Model: Improving Quality of Life for Residents and Through-Travelers
by Shengbei Zhou, Qian Ji, Longhao Zhang, Jun Wu, Pengbo Li and Yuqiao Zhang
ISPRS Int. J. Geo-Inf. 2025, 14(10), 391; https://doi.org/10.3390/ijgi14100391 - 9 Oct 2025
Viewed by 507
Abstract
Street design quality and socio-economic factors jointly influence housing prices, but their intertwined effects and spatial variations remain under-quantified. Housing prices not only reflect residents’ neighborhood experiences but also stem from the spillover value of public streets perceived and used by different users. [...] Read more.
Street design quality and socio-economic factors jointly influence housing prices, but their intertwined effects and spatial variations remain under-quantified. Housing prices not only reflect residents’ neighborhood experiences but also stem from the spillover value of public streets perceived and used by different users. This study takes Tianjin as a case and views the street environment as an immediate experience proxy for through-travelers, combining street view images and crowdsourced perception data to extract both subjective and objective indicators of the street environment, and integrating neighborhood and location characteristics. We use Geographical-XGBoost to evaluate the relative contributions of multiple factors to housing prices and their spatial variations. The results show that incorporating both subjective and objective street information into the Hedonic Pricing Model (HPM) improves its explanatory power, while local modeling with G-XGBoost further reveals significant heterogeneity in the strength and direction of effects across different locations. The results indicate that incorporating both subjective and objective street information into the HPM enhances explanatory power, while local modeling with G-XGBoost reveals significant heterogeneity in the strength and direction of effects across different locations. Street greening, educational resources, and transportation accessibility are consistently associated with higher housing prices, but their strength varies by location. Core urban areas exhibit a “counterproductive effect” in terms of complexity and recognizability, while peripheral areas show a “barely acceptable effect,” which may increase cognitive load and uncertainty for through-travelers. In summary, street environments and socio-economic conditions jointly influence housing prices via a “corridor-side–community-side” dual-pathway: the former (enclosure, safety, recognizability) corresponds to immediate improvements for through-travelers, while the latter (education and public services) corresponds to long-term improvements for residents. Therefore, core urban areas should control design complexity and optimize human-scale safety cues, while peripheral areas should focus on enhancing public services and transportation, and meeting basic quality thresholds with green spaces and open areas. Urban renewal within a 15 min walking radius of residential areas is expected to collaboratively improve daily travel experiences and neighborhood quality for both residents and through-travelers, supporting differentiated housing policy development and enhancing overall quality of life. Full article
Show Figures

Figure 1

30 pages, 1769 KB  
Review
Decarbonizing the Cement Industry: Technological, Economic, and Policy Barriers to CO2 Mitigation Adoption
by Oluwafemi Ezekiel Ige and Musasa Kabeya
Clean Technol. 2025, 7(4), 85; https://doi.org/10.3390/cleantechnol7040085 - 9 Oct 2025
Viewed by 1039
Abstract
The cement industry accounts for approximately 7–8% of global CO2 emissions, primarily due to energy-intensive clinker production and limestone calcination. With cement demand continuing to rise, particularly in emerging economies, decarbonization has become an urgent global challenge. The objective of this study [...] Read more.
The cement industry accounts for approximately 7–8% of global CO2 emissions, primarily due to energy-intensive clinker production and limestone calcination. With cement demand continuing to rise, particularly in emerging economies, decarbonization has become an urgent global challenge. The objective of this study is to systematically map and synthesize existing evidence on technological pathways, policy measures, and economic barriers to four core decarbonization strategies: clinker substitution, energy efficiency, alternative fuels, as well as carbon capture, utilization, and storage (CCUS) in the cement sector, with the goal of identifying practical strategies that can align industry practice with long-term climate goals. A scoping review methodology was adopted, drawing on peer-reviewed journal articles, technical reports, and policy documents to ensure a comprehensive perspective. The results demonstrate that each mitigation pathway is technically feasible but faces substantial real-world constraints. Clinker substitution delivers immediate reduction but is limited by SCM availability/quality, durability qualification, and conservative codes; LC3 is promising where clay logistics allow. Energy-efficiency measures like waste-heat recovery and advanced controls reduce fuel use but face high capital expenditure, downtime, and diminishing returns in modern plants. Alternative fuels can reduce combustion-related emissions but face challenges of supply chains, technical integration challenges, quality, weak waste-management systems, and regulatory acceptance. CCUS, the most considerable long-term potential, addresses process CO2 and enables deep reductions, but remains commercially unviable due to current economics, high costs, limited policy support, lack of large-scale deployment, and access to transport and storage. Cross-cutting economic challenges, regulatory gaps, skill shortages, and social resistance including NIMBYism further slow adoption, particularly in low-income regions. This study concludes that a single pathway is insufficient. An integrated portfolio supported by modernized standards, targeted policy incentives, expanded access to SCMs and waste fuels, scaled CCUS investment, and international collaboration is essential to bridge the gap between climate ambition and industrial implementation. Key recommendations include modernizing cement standards to support higher clinker replacement, providing incentives for energy-efficient upgrades, scaling CCUS through joint investment and carbon pricing and expanding access to biomass and waste-derived fuels. Full article
Show Figures

Figure 1

30 pages, 3457 KB  
Article
A Hybrid Recommendation System Based on Similar-Price Content in a Large-Scale E-Commerce Environment
by Youngoh Kwon, Gwiman Bak and Youngchul Bae
Appl. Sci. 2025, 15(19), 10758; https://doi.org/10.3390/app151910758 - 6 Oct 2025
Viewed by 657
Abstract
In large-scale e-commerce, recommendation systems must overcome the shortcomings of conventional models, which often struggle to convert user interest into purchases. This study proposes a revenue-driven recommendation approach that explicitly incorporates user price sensitivity. This study introduces a hybrid recommendation engine that combines [...] Read more.
In large-scale e-commerce, recommendation systems must overcome the shortcomings of conventional models, which often struggle to convert user interest into purchases. This study proposes a revenue-driven recommendation approach that explicitly incorporates user price sensitivity. This study introduces a hybrid recommendation engine that combines collaborative filtering (CF), best match 25 (BM25) for textual relevance, and a price-similarity algorithm. The system is deployed within a scalable three-tier architecture using Elasticsearch and Redis to maintain stability under high-traffic conditions. The system’s performance was evaluated through a large-scale A/B test against both a CF-only model and a popular-item baseline. Results showed that while the CF-only model reduced revenue by 5.10%, our hybrid system increased revenue by 5.55% and improved click-through rate (CTR) by 2.55%. These findings demonstrate that integrating price similarity is an effective strategy for developing commercially viable recommendation systems that enhance both user engagement and revenue growth on large online platforms. Full article
(This article belongs to the Special Issue Innovative Data Mining Techniques for Advanced Recommender Systems)
Show Figures

Figure 1

37 pages, 1604 KB  
Article
Research on Supplier Channel Encroachment Strategies Considering Retailer Fairness Concerns from a Low-Carbon Perspective
by Xiao Zou, Huidan Luo and Yingjie Yu
Sustainability 2025, 17(19), 8750; https://doi.org/10.3390/su17198750 - 29 Sep 2025
Viewed by 390
Abstract
Driven by China’s “dual carbon” strategy, concerns about channel fairness and green investment have become key frontier issues in supply chain management. This study focuses on a two-tier supply chain under a low-carbon background and innovatively incorporates both fairness concerns and green investment [...] Read more.
Driven by China’s “dual carbon” strategy, concerns about channel fairness and green investment have become key frontier issues in supply chain management. This study focuses on a two-tier supply chain under a low-carbon background and innovatively incorporates both fairness concerns and green investment perspectives. It systematically explores the impact mechanisms of fairness concern coefficients and green investment levels on channel pricing and profit distribution across four scenarios: information symmetry vs. asymmetry and the presence vs. absence of channel encroachment. The simulation results reveal the following: (1) Under information symmetry and without channel encroachment, an increase in the retailer’s fairness concern significantly enhances its bargaining power and profit margin, while the supplier actively adjusts the wholesale price to maintain cooperation stability. (2) Channel encroachment and changes in information structure intensify the nonlinearity and complexity of profit distribution. The marginal benefit of green investment for supply chain members shows a diminishing return, indicating the existence of an optimal investment range. (3) The green premium is predominantly captured by the supplier, while the retailer’s profit margin tends to be compressed, and order quantity exhibits rigidity in response to green investment. (4) The synergy between fairness concerns and green investment drives dynamic adjustments in channel strategies and the overall profit structure of the supply chain. This study not only reveals new equilibrium patterns under the interaction of multidimensional behavioral factors but also provides theoretical support for achieving both economic efficiency and sustainable development goals in supply chains. Based on these findings, it is recommended that managers optimize fairness incentives and green benefit-sharing mechanisms, improve information-sharing platforms, and promote collaborative upgrading of green supply chains to better integrate social responsibility with business performance. Full article
Show Figures

Figure 1

31 pages, 5070 KB  
Article
Crowd-Shipping: Optimized Mixed Fleet Routing for Cold Chain Distribution
by Fuqiang Lu, Yue Xi, Zhiyuan Gao, Hualing Bi and Shamim Mahreen
Symmetry 2025, 17(10), 1609; https://doi.org/10.3390/sym17101609 - 28 Sep 2025
Viewed by 510
Abstract
In fresh produce cold chain last-mile delivery, the highly dispersed customer base leads to exorbitant delivery costs, posing the greatest challenge for cold chain enterprises. Achieving a symmetrical balance between cost-efficiency, environmental sustainability, and service quality is a fundamental pursuit in logistics system [...] Read more.
In fresh produce cold chain last-mile delivery, the highly dispersed customer base leads to exorbitant delivery costs, posing the greatest challenge for cold chain enterprises. Achieving a symmetrical balance between cost-efficiency, environmental sustainability, and service quality is a fundamental pursuit in logistics system optimization. This paper proposes integrating the crowd-shipping logistics model—characterized by internet platform sharing and flexibility—into the delivery service. It incorporates and extends features such as cold chain delivery, mixed fleets using gasoline and diesel vehicles (GDVs), electric vehicles (EVs), partial charging strategies for EVs, and time-of-use electricity pricing into the crowd-shipping model. A joint delivery mode combining traditional professional delivery (using GDVs and EVs) with crowd-shipping is proposed, creating a symmetrical collaboration between centralized fleet management and distributed social resources. The challenges associated with utilizing occasional drivers (ODs) are analyzed, along with the corresponding compensation decisions and allocation-related constraints. A route optimization model is constructed with the objective of minimizing total cost. To solve this model, an Improved Whale Optimization Algorithm (IWOA) is proposed. To further enhance the algorithm’s performance, an adaptive variable neighborhood search is embedded within the proposed algorithm, and four local search operators are applied. Using a case study of 100 customer nodes, the joint delivery mode with OD participation reduces total delivery costs by an average of 24.94% compared to the traditional professional vehicle delivery mode, demonstrating a more symmetrical allocation of logistical resources. The experiments fully demonstrate the effectiveness of the joint delivery model and the proposed algorithm. Full article
(This article belongs to the Section Mathematics)
Show Figures

Figure 1

33 pages, 3814 KB  
Article
From AI Adoption to ESG in Industrial B2B Marketing: An Integrated Multi-Theory Model
by Raul Ionuț Riti, Laura Bacali and Claudiu Ioan Abrudan
Sustainability 2025, 17(19), 8595; https://doi.org/10.3390/su17198595 - 24 Sep 2025
Viewed by 856
Abstract
Artificial intelligence is transforming industrial marketing by reshaping processes, decision-making, and inter-firm relationships. However, research remains fragmented, with limited evidence on how adoption drivers create new capabilities and sustainability outcomes. This study develops and empirically validates an integrated framework that combines technology, organization, [...] Read more.
Artificial intelligence is transforming industrial marketing by reshaping processes, decision-making, and inter-firm relationships. However, research remains fragmented, with limited evidence on how adoption drivers create new capabilities and sustainability outcomes. This study develops and empirically validates an integrated framework that combines technology, organization, environment, user acceptance, resource-based perspectives, dynamic capabilities, and explainability. A convergent mixed-methods design was applied, combining survey data from industrial firms with thematic analysis of practitioner insights. The findings show that technological readiness, organizational commitment, environmental pressures, and user perceptions jointly determine adoption breadth and depth, which in turn foster marketing capabilities linked to measurable improvements. These include shorter quotation cycles, reduced energy consumption, improved forecasting accuracy, and the introduction of carbon-based pricing mechanisms. Qualitative evidence further indicates that explainability and human–machine collaboration are decisive for trust and practical use, while sustainability-oriented investments act as catalysts for long-term transformation. The study provides the first empirical integration of adoption drivers, capability building, and sustainability outcomes in industrial marketing. By demonstrating that artificial intelligence advances competitiveness and sustainability simultaneously, it positions marketing as a strategic lever in the transition toward digitally enabled and environmentally responsible industrial economies. We also provide a simplified mapping of theoretical lenses, detail B2B-specific scale adaptations, and discuss environmental trade-offs of AI use. Given the convenience/snowball design, estimates should be read as upper-bound effects for mixed-maturity populations; robustness checks (stratification and simple reweighting) confirm sign and significance. Full article
Show Figures

Figure 1

24 pages, 2782 KB  
Article
Optimization of Electricity–Carbon Coordinated Scheduling Process for Virtual Power Plants Based on an Improved Snow Ablation Optimizer Algorithm
by Haiji Wang, Ming Zeng, Xueying Lu, Zhijian Chen and Jiankun Hu
Processes 2025, 13(9), 3027; https://doi.org/10.3390/pr13093027 - 22 Sep 2025
Viewed by 316
Abstract
Given the strong coupling between electricity flow and carbon flow, promoting the low-carbon transformation of the energy sector is a crucial measure to actively responding to climate challenges. As a pivotal hub linking the electricity market with the carbon market, promoting electricity–carbon coordinated [...] Read more.
Given the strong coupling between electricity flow and carbon flow, promoting the low-carbon transformation of the energy sector is a crucial measure to actively responding to climate challenges. As a pivotal hub linking the electricity market with the carbon market, promoting electricity–carbon coordinated scheduling of Virtual Power Plants (VPPs) is of great significance in expediting the energy transition process. Based on the introduction of carbon potential, this manuscript constructs a VPP electricity–carbon coordinated scheduling model that incorporates various typical elements, including renewable energy units and demand response. Furthermore, this paper utilizes Brain Storm Optimization (BSO) to improve the Snow Ablation Optimizer (SAO) algorithm and applies the improved algorithm to solve the model developed in this manuscript. Finally, an analysis was conducted using a small-scale VPP project in eastern China, and the results are the following: Firstly, the SAO improved by BSO demonstrates a significant enhancement in solution efficiency. In particular, for the cases presented in this manuscript, the algorithm’s convergence speed increased by 42.85%. Secondly, under the multi-market conditions and with real-time carbon potential, VPPs will possess greater flexibility in scheduling optimization and stronger incentives to fully explore their emission reduction potential through collaborative electricity–carbon scheduling, thereby improving both economic and environmental performance. However, constrained by factors such as the currently low carbon price level, the extent of improvement in VPPs’ performance under real-time carbon potential, compared to fixed carbon potential, remains relatively limited, with a 1.07% increase in economic benefits and a 2.63% reduction in carbon emissions. Thirdly, an increase in carbon prices can incentivize VPPs to continuously tap into their emission reduction potential, but beyond a certain threshold (120 CNY/t in this case study), the marginal contribution of further carbon price increases to emission reductions will progressively decline. Specifically, for every 20-yuan increase in the carbon price, the carbon emission reduction rate of VPPs drops below 1%. Full article
Show Figures

Figure 1

Back to TopTop