Competition and Coordination of Regional Fresh Supply Chain Under Government Regulation
Abstract
1. Introduction
2. Literature Review
2.1. Competition Between Two Retailers
2.2. Supply Chain Coordination Between One Manufacturer and Two Retailers
2.3. Fresh Food Supply Chain Under Government Supervision
3. Model Formulation and Analysis
3.1. Question Description and Model Formulation
3.2. Boundary and Limitations of the Modeling Framework
3.3. Decentralized Decision-Making
3.4. Centralized Decision-Making
3.5. Introducing Cost-Sharing Contracts
4. Numerical Analysis
4.1. Analysis of the Contract
4.2. Parameters That Affect the Sales Quantity of Retailers
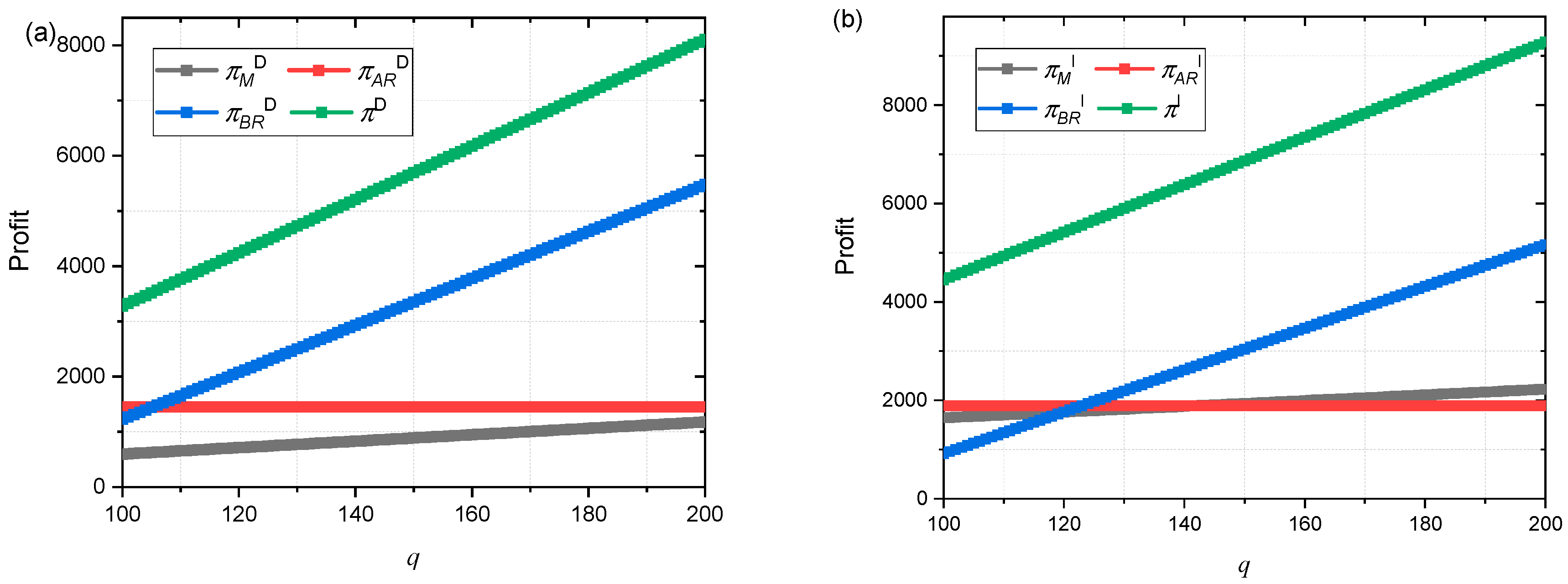
4.3. Impact of Decentralized Decisions and Contracts on Supply Chain Members
4.4. Impact of Parameter Changes on Member Decisions in Decentralized Decision-Making or Contract Introduction
4.5. Impact of Seasonality on Supply Chain
4.6. Impact of Government Regulation on Supply Chain
5. Conclusions
- When making decentralized decisions, due to the opacity of market information, improving the quality of supply chain members can enhance competitiveness and increase sales volume, but it cannot significantly increase profits and may even lead to a decrease in profits.
- After the introduction of contracts, the supply chain achieves a joint monopoly, and the profits of supply chain members increase. However, supply chain members’ unilateral quality improvement efforts have no impact on their profits.
- Under the contract, the quality efforts of supply chain members can increase Manufacturers’ profits, but the impact on the profits of the supply chain is relatively small.
- The seasonality of crops affects market demand. The larger the market demand, the greater the supply chain profit. However, in a supply chain consisting of one Manufacturer and two Retailers, due to the dominance of one Retailer, profits are mainly obtained by the dominant Retailer.
- Government regulatory penalties can increase the profits of the supply chain. Increasing the severity of punishment has increased the profits of dominant Retailers, while the profits of non-dominant Retailers have decreased, which will lead to the Matthew effect.
Author Contributions
Funding
Data Availability Statement
Conflicts of Interest
References
- Aday, S., & Aday, M. S. (2020). Impact of COVID-19 on the food supply chain. Food Quality and Safety, 4(4), 167–180. [Google Scholar] [CrossRef]
- Adeinat, H., Pazhani, S., Mendoza, A., & Ventura, J. A. (2022). Coordination of pricing and inventory replenishment decisions in a supply chain with multiple geographically dispersed retailers. International Journal of Production Economics, 248, 108461. [Google Scholar] [CrossRef]
- Alaei, S., Alaei, R., & Salimi, P. (2014). A game theoretical study of cooperative advertising in a single-manufacturer-two-retailers supply chain. The International Journal of Advanced Manufacturing Technology, 74(1), 101–111. [Google Scholar] [CrossRef]
- Aruoma, O. I. (2006). The impact of food regulation on the food supply chain. Toxicology, 221(1), 119–127. [Google Scholar] [CrossRef] [PubMed]
- Bernstein, F., Chen, F., & Federgruen, A. (2006). Coordinating supply chains with simple pricing schemes: The role of vendor-managed inventories. Management Science, 52(10), 1483–1492. [Google Scholar] [CrossRef]
- Bernstein, F., & Federgruen, A. (2005). Decentralized supply chains with competing retailers under demand uncertainty. Management Science, 51(1), 18–29. [Google Scholar] [CrossRef]
- Brumfield, R. G., Adelaja, A. O., & Lininger, K. (1993). Consumer tastes, preferences, and behavior in purchasing fresh tomatoes. Journal of the American Society for Horticultural Science, 118(3), 433–438. [Google Scholar] [CrossRef]
- Cachon, G. P. (2003). Supply chain coordination with contracts. In Handbooks in operations research and management science (Vol. 11, pp. 227–339). Elsevier. [Google Scholar] [CrossRef]
- Cachon, G. P., & Lariviere, M. A. (2005). Supply chain coordination with revenue-sharing contracts: Strengths and limitations. Management Science, 51(1), 30–44. [Google Scholar] [CrossRef]
- Cai, G. (2010). Channel selection and coordination in dual-channel supply chains. Journal of Retailing, 86(1), 22–36. [Google Scholar] [CrossRef]
- Chen, C., Zhang, J., & Delaurentis, T. (2014). Quality control in food supply chain management: An analytical model and case study of the adulterated milk incident in China. International Journal of Production Economics, 152, 188–199. [Google Scholar] [CrossRef]
- Cook, R. (2004, May 24). Supermarket challenges and opportunities for fresh fruit and vegetable producers and shippers: Lessons from the U.S. experience. Conference on Supermarkets and Agricultural Development in China-Opportunities and Challenges, Shanghai, China. Available online: http://www.agmrc.org/media/cms/supermarketchallenges_01985EE36887A.pdf (accessed on 18 September 2025).
- Dinham, B. (2003). Growing vegetables in developing countries for local urban populations and export markets: Problems confronting small-scale producers. Pest Management Science, 59(5), 575–582. [Google Scholar] [CrossRef] [PubMed]
- Fahimnia, B., Tang, C. S., Davarzani, H., & Sarkis, J. (2015). Quantitative models for managing supply chain risks: A review. European Journal of Operational Research, 247(1), 1–15. [Google Scholar] [CrossRef]
- Fjeld, C. R., & Sommer, R. (1982). Regional-seasonal patterns in produce consumption at farmers’ markets and supermarkets. Ecology of Food and Nutrition, 12(2), 109–115. [Google Scholar] [CrossRef]
- Giri, B. C., & Sharma, S. (2014). Manufacturer’s pricing strategy in a two-level supply chain with competing retailers and advertising cost dependent demand. Economic Modelling, 38, 102–111. [Google Scholar] [CrossRef]
- Gokarn, S., & Kuthambalayan, T. S. (2019). Creating sustainable fresh produce supply chains by managing uncertainties. Journal of Cleaner Production, 207, 908–919. [Google Scholar] [CrossRef]
- Hänninen, M., Kwan, S. K., & Mitronen, L. (2021). From the store to omnichannel retail: Looking back over three decades of research. The International Review of Retail, Distribution and Consumer Research, 31(1), 1–35. [Google Scholar] [CrossRef]
- Hingley, M., Sodano, V., & Lindgreen, A. (2008). Differentiation strategies in vertical channels. British Food Journal, 110(1), 42–61. [Google Scholar] [CrossRef]
- Hobbs, J. E. (2021). Food supply chain resilience and the COVID-19 pandemic: What have we learned? Canadian Journal of Agricultural Economics/Revue Canadienne D’agroeconomie, 69(2), 189–196. [Google Scholar] [CrossRef]
- Huang, S. (2004). Global trade patterns in fruits and vegetables. USDA-ERS agriculture and trade report No. WRS-04-06; USDA.
- Huang, Y.-S., Fang, C.-C., & Sun, W.-J. (2023). Capacity coordination under uncertain yield for supply chains with a single supplier and two competing retailers. International Journal of Systems Science: Operations & Logistics, 10(1), 2085341. [Google Scholar] [CrossRef]
- Jafari, H., Hejazi, S. R., & Rasti-Barzoki, M. (2016). Pricing decisions in dual-channel supply chain including monopolistic manufacturer and duopolistic retailers: A game-theoretic approach. Journal of Industry, Competition and Trade, 16(3), 323–343. [Google Scholar] [CrossRef]
- Jeuland, A. P., & Shugan, S. M. (1983). Managing channel profits. Marketing Science, 2(3), 239–272. [Google Scholar] [CrossRef]
- Jing, X., Guanxin, Y., & Panqian, D. (2020). Quality decision-making behavior of bodies participating in the agri-foods e-supply chain. Sustainability, 12(5), 1874. [Google Scholar] [CrossRef]
- Kostamis, D. (2013). A note on optimal selling to asymmetric retailers. Production and Operations Management, 22(5), 1118–1125. [Google Scholar] [CrossRef]
- Kumar, A., & Agrawal, S. (2023). Challenges and opportunities for agri-fresh food supply chain management in India. Computers and Electronics in Agriculture, 212, 108161. [Google Scholar] [CrossRef]
- Liang, G., & Gu, C. (2021). The value of target sales rebate contracts in a supply chain with downstream competition. International Journal of Production Economics, 242, 108290. [Google Scholar] [CrossRef]
- Lynn Wilkins, J. (1996). Seasonality, food origin, and food preference: A comparison between food cooperative members and nonmembers. Journal of Nutrition Education, 28(6), 329–337. [Google Scholar] [CrossRef]
- Ma, Z., Chen, J., Tian, G., Gong, Y., Guo, B., & Cheng, F. (2021). Regulations on the corporate social irresponsibility in the supply chain under the multiparty game: Taking China’s organic food supply chain as an example. Journal of Cleaner Production, 317, 128459. [Google Scholar] [CrossRef]
- Modak, N. M., Panda, S., & Sana, S. S. (2016). Two-echelon supply chain coordination among manufacturer and duopolies retailers with recycling facility. The International Journal of Advanced Manufacturing Technology, 87(5), 1531–1546. [Google Scholar] [CrossRef]
- Pasternack, B. A. (1985). Optimal pricing and return policies for perishable commodities. Marketing Science, 4(2), 166–176. [Google Scholar] [CrossRef]
- Savaskan, R. C., & Van Wassenhove, L. N. (2006). Reverse channel design: The case of competing retailers. Management Science, 52(1), 1–14. [Google Scholar] [CrossRef]
- Trienekens, J. H., Wognum, P., Beulens, A. J., & Van Der Vorst, J. G. (2012). Transparency in complex dynamic food supply chains. Advanced Engineering Informatics, 26(1), 55–65. [Google Scholar] [CrossRef]
- Trienekens, J. H., & Zuurbier, P. (2008). Quality and safety standards in the food industry, developments and challenges. International Journal of Production Economics, 113(1), 107–122. [Google Scholar] [CrossRef]
- Uyttendaele, M., Jacxsens, L., Van Boxstael, S., Kirezieva, K., & Luning, P. (2015). Food safety standards in the fresh produce supply chain: Advantages and disadvantages. In Advances in microbial food safety (pp. 379–405). Elsevier. [Google Scholar] [CrossRef]
- Wallace, C. A., Sperber, W. H., & Mortimore, S. E. (2018). Food safety for the 21st century: Managing HACCP and food safety throughout the global supply chain. John Wiley & Sons. [Google Scholar]
- Wang, S.-D., Zhou, Y.-W., Min, J., & Zhong, Y.-G. (2011). Coordination of cooperative advertising models in a one-manufacturer two-retailer supply chain system. Computers & Industrial Engineering, 61(4), 1053–1071. [Google Scholar] [CrossRef]
- Weersink, A., von Massow, M., Bannon, N., Ifft, J., Maples, J., McEwan, K., McKendree, M. G. S., Nicholson, C., Novakovic, A., Rangarajan, A., Richards, T., Rickard, B., Rude, J., Schipanski, M., Schnitkey, G., Schulz, L., Schuurman, D., Schwartzkopf-Genswein, K., Stephenson, M., … Wood, K. (2021). COVID-19 and the agri-food system in the United States and Canada. Agricultural Systems, 188, 103039. [Google Scholar] [CrossRef] [PubMed]
- Wilkins, J. L. (2002). Consumer perceptions of seasonal and local foods: A study in a U.S. community. Ecology of Food and Nutrition, 41(5), 415–439. [Google Scholar] [CrossRef]
- Xiao, T., & Qi, X. (2008). Price competition, cost and demand disruptions and coordination of a supply chain with one manufacturer and two competing retailers. Omega, 36(5), 741–753. [Google Scholar] [CrossRef]
- Yan, B., Chen, X., Cai, C., & Guan, S. (2020). Supply chain coordination of fresh agricultural products based on consumer behavior. Computers & Operations Research, 123, 105038. [Google Scholar] [CrossRef]
- Yang, S.-L., & Zhou, Y.-W. (2006). Two-echelon supply chain models: Considering duopolistic retailers’ different competitive behaviors. International Journal of Production Economics, 103(1), 104–116. [Google Scholar] [CrossRef]
- Yoshihara, R., & Matsubayashi, N. (2021). Channel coordination between manufacturers and competing retailers with fairness concerns. European Journal of Operational Research, 290(2), 546–555. [Google Scholar] [CrossRef]
- Zheng, Q., Ieromonachou, P., Fan, T., & Zhou, L. (2017). Supply chain contracting coordination for fresh products with fresh-keeping effort. Industrial Management & Data Systems, 117(3), 538–559. [Google Scholar] [CrossRef]
- Ziari, M., Ghomi-Avili, M., Pishvaee, M. S., & Jahani, H. (2022). A review on competitive pricing in supply chain management problems: Models, classification, and applications. International Transactions in Operational Research, 29(4), 2082–2115. [Google Scholar] [CrossRef]








| Literature | Is It a Fresh Product? | Is Government Regulation Considered? | Are Competitive Relationships Considered? | Is Product Quality Considered? | Is Coordination Being Studied? |
|---|---|---|---|---|---|
| Bernstein and Federgruen (2005) | √ | √ | |||
| Yang and Zhou (2006) | √ | √ | |||
| Cai (2010) | √ | √ | |||
| Modak et al. (2016) | √ | √ | |||
| Jeuland and Shugan (1983) | √ | √ | √ | ||
| Yan et al. (2020) | √ | √ | √ | √ | |
| Zheng et al. (2017) | √ | √ | √ | √ | |
| Chen et al. (2014) | √ | √ | √ | ||
| This Paper | √ | √ | √ | √ | √ |
| Parameter | Definition |
|---|---|
| l | Impact coefficient of Manufacturer’s quality |
| k | Cost of Manufacturer’s quality control efforts |
| lA | Impact coefficient of Retailer A’s quality |
| lB | Impact coefficient of Retailer B’s quality |
| θA | Cost of retailer A of quality control efforts |
| θB | Cost of retailer B of quality control efforts |
| q | Total market demand |
| qA | Retailer A’s product sales volume |
| qB | Retailer B’s product sales volume |
| α | Potential market demand |
| bA | Impact coefficient of Retailer A’s price on demand |
| pA | Retailer A’s product sales price |
| rA | Influence coefficient of Retailer A’s quality on demand |
| uA | Retailer A’s product quality |
| bB | Impact coefficient of Retailer B’s price on demand |
| pB | Retailer B’s product sales price |
| rB | Impact coefficient of retailer B’s quality on demand |
| uB | Retailer B’s product quality |
| w | Wholesale price of products |
| c | Production cost of the product |
| σ | Sensitivity coefficient of Manufacturer’s quality control efforts |
| mA | The government’s penalty coefficient for Retailer A’s quality |
| hA | The government’s penalty coefficient for Manufacturer quality |
| λA | The probability density of government fines for Retailer A |
| mB | The government’s penalty coefficient for Retailer B’s quality |
| hB | The government’s penalty coefficient for Manufacturer quality |
| λB | The probability density of government fines for Retailer B |
| ξ | Sensitivity coefficient of quality control efforts for Retailer A or B |
| πAR | Retailer A’s profit |
| πBR | Retailer B’s profit |
| πM | Manufacturer M’s profit |
| Π | Supply chain profit |
| (wm, wAr, wBr) | k | θA | θB | πM | πAR | πBR | π | |
|---|---|---|---|---|---|---|---|---|
| Centralized decision | — | 133.065 | 3.1556 | 55.2332 | — | — | — | 6420.13 |
| Decentralized decision | — | 8.9831 | 13.7509 | 344.862 | 834.579 | 1450.98 | 2961.55 | 5247.11 |
| Introduction contract | (0.0675, 4.3576, 6.2438) | 133.065 | 3.1556 | 55.2332 | 1026.19 | 1892.33 | 3501.60 | 6420.13 |
Disclaimer/Publisher’s Note: The statements, opinions and data contained in all publications are solely those of the individual author(s) and contributor(s) and not of MDPI and/or the editor(s). MDPI and/or the editor(s) disclaim responsibility for any injury to people or property resulting from any ideas, methods, instructions or products referred to in the content. |
© 2025 by the authors. Licensee MDPI, Basel, Switzerland. This article is an open access article distributed under the terms and conditions of the Creative Commons Attribution (CC BY) license (https://creativecommons.org/licenses/by/4.0/).
Share and Cite
Zhao, C.; Chi, Y.; Gao, N.; Song, J. Competition and Coordination of Regional Fresh Supply Chain Under Government Regulation. Games 2025, 16, 53. https://doi.org/10.3390/g16050053
Zhao C, Chi Y, Gao N, Song J. Competition and Coordination of Regional Fresh Supply Chain Under Government Regulation. Games. 2025; 16(5):53. https://doi.org/10.3390/g16050053
Chicago/Turabian StyleZhao, Chao, Yongmei Chi, Nini Gao, and Jixiang Song. 2025. "Competition and Coordination of Regional Fresh Supply Chain Under Government Regulation" Games 16, no. 5: 53. https://doi.org/10.3390/g16050053
APA StyleZhao, C., Chi, Y., Gao, N., & Song, J. (2025). Competition and Coordination of Regional Fresh Supply Chain Under Government Regulation. Games, 16(5), 53. https://doi.org/10.3390/g16050053
