Sign in to use this feature.

Years

Between: -

Subjects

remove_circle_outline
remove_circle_outline
remove_circle_outline
remove_circle_outline
remove_circle_outline
remove_circle_outline
remove_circle_outline
remove_circle_outline
remove_circle_outline

Journals

remove_circle_outline
remove_circle_outline
remove_circle_outline
remove_circle_outline
remove_circle_outline
remove_circle_outline
remove_circle_outline
remove_circle_outline
remove_circle_outline
remove_circle_outline
remove_circle_outline

Article Types

Countries / Regions

remove_circle_outline
remove_circle_outline
remove_circle_outline
remove_circle_outline

Search Results (318)

Search Parameters:
Keywords = collaborative mission

Order results
Result details
Results per page
Select all
Export citation of selected articles as:
10 pages, 704 KB  
Article
Strengthening Reconstructive Urology with an Aim for Capacity-Building in a Low-Middle-Income Country: A Multi-Institutional Global Surgery Collaboration Initial Report
by Michael E. Chua, R. Christopher Doiron, Kurt McCammon, Ellen C. Chong, Marie Carmela Lapitan, Joel Patrick Aldana, Diosdado Limjoco, Josefino Castillo, Dennis Serrano and Manuel See
Soc. Int. Urol. J. 2025, 6(6), 72; https://doi.org/10.3390/siuj6060072 - 18 Dec 2025
Abstract
Background/Objectives: Reconstructive urology is critically underrepresented in global surgery initiatives, despite its essential role in managing congenital and acquired urogenital conditions. In response, a multinational Global Surgery Collaborative was launched in 2022 by a faculty from the University of Toronto, aiming to enhance [...] Read more.
Background/Objectives: Reconstructive urology is critically underrepresented in global surgery initiatives, despite its essential role in managing congenital and acquired urogenital conditions. In response, a multinational Global Surgery Collaborative was launched in 2022 by a faculty from the University of Toronto, aiming to enhance reconstructive urology capacity in the Philippines, among other low- to low-middle-income countries through longitudinal mentorship and skills transfer. This report presents early experience from 2022 to 2024. Methods: This collaboration delivered annual in-person surgical missions from 2022 to 2024 at two major Philippine healthcare institutions. Training focused on pediatric and adult reconstructive urologic procedures. Local mentees participated in structured preoperative planning, intraoperative teaching, and postoperative debriefing. We conducted a prospective service evaluation comprising a prospective registry of consecutive cases and paired pre/post trainee surveys. Data were collected on patient demographics and surgical metrics. Primary clinical endpoints included operative time, length of stay, and complications (Clavien–Dindo), with standardized follow-up windows. Mentee educational outcomes were assessed through pre- and post-training trainee-reported (Likert) measures, evaluating comfort and technical understanding. Statistical analysis used the Wilcoxon signed-rank test to assess changes. Results: Over three years, 33 surgical cases were performed with 45 surgical resident mentees (Post-graduate year (PGY)4–PGY6) engaged. The median patient age was 23 (inter-quartile range [IQR] 12.5–41.5) years, with 33.3% pediatric and 84.8% of cases classified as major. The complication rate was 15.1%, with only one major event (3%). Across 45 mentees, comfort increased from a median 4.0 (IQR 2.5–5.0) to 7.0 (5.5–8.0) and technique understanding from 5.0 (4.0–6.5) to 9.0 (8.0–10.0), with large Wilcoxon effects (r = 0.877 and r = 0.875; both p < 0.001). Year-by-year analyses showed the same pattern with large effects. Conclusions: In this early three-year experience (33 cases, 84.8% major), this multi-institutional collaboration longitudinal mentorship model was feasible and safe, and was associated with significant trainee-reported improvements in comfort and technical understanding. This demonstrates a replicable model for global surgery in reconstructive urology, successfully enhancing surgical skills and fostering sustainable capacity in low- and middle-income countries (LMIC) settings. Full article
Show Figures

Figure A1

12 pages, 1048 KB  
Article
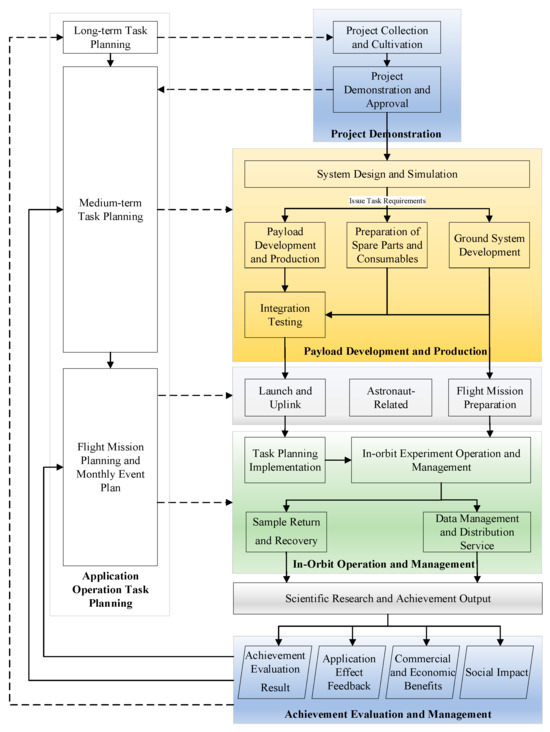
Reflections and Perspectives on the In-Orbit Operational Management of Space Station Space Application System
by Chenchen Zhang, Yifeng Wang, Hongfei Wang, Jingfei Zhang, Shan Jin, Xiaoxiao Guo, Mingfang Wang and Lu Zhang
Aerospace 2025, 12(12), 1103; https://doi.org/10.3390/aerospace12121103 - 12 Dec 2025
Viewed by 137
Abstract
With the advancement of China’s space sector, the China Space Station has transitioned from the research and construction phase to the application and development phase. This evolution signifies that payload missions in orbit are now being comprehensively executed. As a result, the management [...] Read more.
With the advancement of China’s space sector, the China Space Station has transitioned from the research and construction phase to the application and development phase. This evolution signifies that payload missions in orbit are now being comprehensively executed. As a result, the management and control of payload operations face numerous challenges, including substantial workloads, extended timelines, complex operational requirements, multifaceted collaborations, and dynamic conditions. To ensure the safe and efficient implementation of extensive space science missions under the China Manned Space Program, as well as to optimize the utilization of space resources and enhance application outcomes, it is imperative to systematically assess and synthesize the requirements for in-orbit management of space applications. Employing a task-oriented framework, this study compares the organizational structures of both domestic and international space stations, providing a comprehensive overview of the operational management model for space application systems. It delineates strategies for in-orbit operation management encompassing task planning, operational supervision, anomaly detection, data analysis, and personnel coordination. Furthermore, the article evaluates the current status of in-orbit operation management and highlights significant scientific achievements. Finally, it addresses the challenges and future prospects, with particular emphasis on digitization, intelligent systems, and space–ground collaborative mechanism. Full article
(This article belongs to the Section Astronautics & Space Science)
Show Figures

Figure 1

31 pages, 4849 KB  
Article
Cooperative Multi-UAV Search for Prioritized Targets Under Constrained Communications
by Wenying Dou, Peng Yang, Zhiwei Zhang and Zihao Wang
Drones 2025, 9(12), 855; https://doi.org/10.3390/drones9120855 - 12 Dec 2025
Viewed by 146
Abstract
Multi-UAV search missions for prioritized targets under constrained communications suffer from weak communication-decision integration, limited global perception synchronization, and delayed mission response. This paper formulates multi-UAV collaboration search as a multi-objective optimization problem to balance communication overhead and search performance. A Cooperative Hierarchical [...] Read more.
Multi-UAV search missions for prioritized targets under constrained communications suffer from weak communication-decision integration, limited global perception synchronization, and delayed mission response. This paper formulates multi-UAV collaboration search as a multi-objective optimization problem to balance communication overhead and search performance. A Cooperative Hierarchical Target Search under Constrained Communications (CHTS-CC) algorithm is proposed to address the problem. The algorithm incorporates a Cluster-Consistent Information Fusion with Event Trigger (CCIF-ET) method, which enables intra-cluster information fusion. When clusters connect, a single merge that applies joint weighting by cluster scale and uncertainty reduces communication overhead. Furthermore, a Dynamic Preemptive Task Allocation (DPTA) mechanism reallocates UAV resources based on target priority and estimated time of arrival (ETA), enhancing responsiveness to high-priority targets. Simulation results show that when all UAVs and communication links operate normally, CCIF-ET reduces total confirmation time by 8.73% compared to the uncoordinated baseline and maintains a 24.43% advantage during single-UAV failures. In scenarios with obstacles, failures, and dynamic targets, CHTS-CC reduced mission completion steps by 34.78%, 32.35%, and 55.45% compared to the non-allocation baseline. The average detection time for high-priority targets decreased by 28.48%, 29.41%, and 58.82%, respectively, demonstrating the effectiveness of the proposed algorithm. Full article
Show Figures

Figure 1

19 pages, 1271 KB  
Article
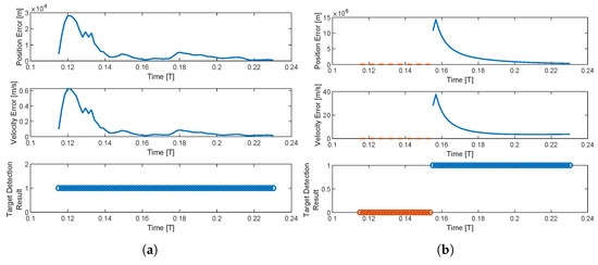
Efficient Reachable Domain Search-Tracking for Cislunar Non-Cooperative Targets via Designed Quadrature
by Kaige Li, Yidi Wang and Wei Zheng
Aerospace 2025, 12(12), 1056; https://doi.org/10.3390/aerospace12121056 - 27 Nov 2025
Viewed by 324
Abstract
To address the triple challenges of data sparsity, highly nonlinear dynamics, and maneuver uncertainty in tracking non-cooperative targets in cislunar space, we propose a collaborative framework combining Particle Filter (PF) and Unscented Kalman Filter (UKF). This framework optimizes search efficiency through a two-phase [...] Read more.
To address the triple challenges of data sparsity, highly nonlinear dynamics, and maneuver uncertainty in tracking non-cooperative targets in cislunar space, we propose a collaborative framework combining Particle Filter (PF) and Unscented Kalman Filter (UKF). This framework optimizes search efficiency through a two-phase strategy: in the search phase, PF constructs the target reachable domain and leverages undetected information to dynamically shrink the search scope; upon target detection, the framework switches to UKF for high-precision and low-overhead tracking. To overcome the computational bottleneck in high-dimensional reachable domain integration, we integrate a non-product-type Designed Quadrature (DQ) method—one that generates minimal quadrature point sets to replace traditional Monte Carlo sampling by matching the moment conditions of mixed distributions via Gauss–Newton optimization. Distinct from existing single-filter or reachability modeling approaches, the key novelties of this work lie in a two-phase PF-UKF switching framework tailored to the unique cislunar environment resolving the trade-off between search capability and computational efficiency and integration of the non-product DQ method to break the dimensionality curse in high-dimensional reachable domain computation ensuring both moment-matching accuracy and real-time performance. This work holds potential to support space domain awareness and cislunar mission safety: reliable tracking of non-cooperative targets is a key prerequisite for avoiding collisions, safeguarding space assets, and enabling effective space defense, and the proposed framework provides a feasible technical path for this goal through simulation validation. Simulations demonstrate that on a three-dimensional Distant Retrograde Orbit (DRO) observation platform, successful recapture of cislunar transfer orbit targets can be achieved. Under fifth-order accuracy conditions, the system exhibits a position error of 3.745×101km and a velocity tracking error of 9.703×103m/s for target search-and-tracking tasks, with a system response time of 1.8343 h. Compared with the traditional PF + numerical integration method, our proposed PF-UKF framework achieves an 86.7% reduction in time cost and a 24.1% reduction in position error. Full article
(This article belongs to the Special Issue New Perspective on Flight Guidance, Control and Dynamics)
Show Figures

Figure 1

19 pages, 875 KB  
Article
CogMUS: A Soar-Based Cognitive Framework for Mission Understanding in Multi-UAV Cooperative Operation
by Jiaxin Hu, Tao Wang, Hongrun Wang and Jingshuai Cao
Drones 2025, 9(12), 813; https://doi.org/10.3390/drones9120813 - 24 Nov 2025
Viewed by 378
Abstract
The cooperative operation of multiple Unmanned Aerial Vehicles (multi-UAV) is emerging as a pivotal trend in future complex autonomous systems. To enable accurate mission understanding and efficient collaboration among UAVs in complex, dynamic, and uncertain operational environments, this paper introduces CogMUS, a novel [...] Read more.
The cooperative operation of multiple Unmanned Aerial Vehicles (multi-UAV) is emerging as a pivotal trend in future complex autonomous systems. To enable accurate mission understanding and efficient collaboration among UAVs in complex, dynamic, and uncertain operational environments, this paper introduces CogMUS, a novel cooperative mission understanding framework based on the Soar cognitive architecture. We first construct a mission understanding framework for UAV operations centered around five typical mission categories. Building on this foundation, we design a distributed cognitive model where each UAV is equipped with a Soar agent. This model leverages the synergy of working memory (WM), long-term memory (LTM), and the decision cycle (DC) to achieve key functionalities, including hierarchical mission decomposition, dynamic task allocation, and proactive airspace conflict detection and resolution. Through comprehensive simulation experiments, we validate the performance of the proposed CogMUS framework across key metrics, including task understanding accuracy, cooperative efficiency, and overall task completion rate. The results demonstrate that CogMUS exhibits superior adaptability to diverse scenarios, as well as remarkable scalability and robustness. Full article
Show Figures

Figure 1

17 pages, 355 KB  
Article
Strategies to Facilitate Interorganizational Collaboration in County-Level Opioid Overdose Prevention and Response: A Qualitative Analysis
by Julia Dickson-Gomez, Sarah Krechel, Jessica Ohlrich, Jennifer Hernandez-Meier and Constance Kostelac
Int. J. Environ. Res. Public Health 2025, 22(12), 1765; https://doi.org/10.3390/ijerph22121765 - 21 Nov 2025
Viewed by 330
Abstract
Community-level overdose prevention interventions often require collaboration among organizations from various sectors including emergency medicine, criminal justice, harm reduction, and drug treatment organizations, yet little is known about ways to foster interorganizational collaboration among organizations with very different missions and in different socio-political [...] Read more.
Community-level overdose prevention interventions often require collaboration among organizations from various sectors including emergency medicine, criminal justice, harm reduction, and drug treatment organizations, yet little is known about ways to foster interorganizational collaboration among organizations with very different missions and in different socio-political contexts. This paper presents results from interviews with key informants involved in overdose prevention coalitions in two counties in Wisconsin (n = 45). Key informants were purposively selected from 31 different organizations in sectors including harm reduction, drug treatment, emergency medicine, and law enforcement. Interviews asked participants to describe the overdose crisis in their communities and the work they do, including any partnerships or coalitions formed with other organizations. We conducted thematic analysis using inductive and deductive coding. Participants’ experiences illuminate strategies and actions that facilitated coalitions’ work (interorganizational processes) and changed the context in which they worked to be more accepting of harm reduction efforts and less stigmatizing and punitive toward people who use opioids (PWUO). These included getting the word out in community-facing events to educate the public and destigmatize harm reduction, working with representatives across the CoC in various sectors, and actively working with them to create shared missions. Key people acted as bridges while others had the power to convene multiple agencies to a common cause. Overdose Fatality Reviews (OFRs) were found to be particularly helpful in identifying gaps in the current Opioid CoC and developing programs in collaboration with other organizations to address them. Organizational empowerment offers a useful framework for understanding how to facilitate IOC at the intra- (e.g., community education to reduce stigma, inter- (bridging roles by key actors), and extra-organizational levels (e.g., policy changes supporting naloxone access). These strategies can be used by coalition members and tested in future community-level overdose responses. Full article
(This article belongs to the Section Behavioral and Mental Health)
Show Figures

Figure 1

18 pages, 1590 KB  
Review
Crop Safeguarding Activities by the Mediterranean Germplasm Gene Bank Hosted by the CNR-IBBR in Bari (Italy)
by Gaetano Laghetti and Mariano Zonna
Sustainability 2025, 17(22), 10296; https://doi.org/10.3390/su172210296 - 18 Nov 2025
Viewed by 316
Abstract
The Mediterranean Germplasm Gene Bank (MGG) of the CNR-IBBR in Bari (Italy) is the oldest gene bank of the Mediterranean area. Thanks to Vavilov, this area is considered an important gene centre. The first safeguarding activities of the MGG began in 1969 and [...] Read more.
The Mediterranean Germplasm Gene Bank (MGG) of the CNR-IBBR in Bari (Italy) is the oldest gene bank of the Mediterranean area. Thanks to Vavilov, this area is considered an important gene centre. The first safeguarding activities of the MGG began in 1969 and continue today following traditional and innovative approaches. The strategy followed by the MGG for safeguarding plant genetic resources of Mediterranean origin and of agricultural interest is described in detail together with the activities and methods used. Some examples of rare agrobiodiversity discovered in the area are reported and described. The MGG seed collection (as ex situ conservation) contains about 59,000 accessions from 34 families, 208 genera and 872 species. Over 13,000 samples have been directly collected over time by exploration teams, while others have been acquired from 314 donor institutions through a seed exchange. MGG studies in the Mediterranean region show a severe genetic erosion of about 75%. The approach adopted by the CNR-IBBR research group to combat this phenomenon can be broken down into two main areas. Firstly, new collecting missions could secure still available valuable material as old landraces cultivated in the fields and gardens of less anthropized areas; the considerable experience and knowledge acquired over the span of five decades, accumulated through this endeavour, undoubtedly plays a pivotal role. Moreover, the integration of conservation methods, ex situ and on farm, for cultivated material, and predominantly in situ for wild species, is necessary for the sustainable development and use of Mediterranean plant genetics resources. In pursuit of this objective, the international standing of the MGG and its extensive network of collaborations represent a foundational element. Full article
(This article belongs to the Topic Mediterranean Biodiversity, 2nd Edition)
Show Figures

Figure 1

19 pages, 418 KB  
Article
Accessibility as a Shared Cultural Responsibility: The Entre Luces Project at the Pablo Gargallo Museum
by Joanna Molek, Ruben Castells Vela, Gianluca Olcese and Anna Siri
Heritage 2025, 8(11), 475; https://doi.org/10.3390/heritage8110475 - 13 Nov 2025
Viewed by 300
Abstract
In the context of museums’ transformation into active social agents, the Entre Luces (Between Lights) project, developed at the Pablo Gargallo Museum in Zaragoza, serves as a compelling example of accessibility understood as a shared cultural responsibility. Implemented within a listed [...] Read more.
In the context of museums’ transformation into active social agents, the Entre Luces (Between Lights) project, developed at the Pablo Gargallo Museum in Zaragoza, serves as a compelling example of accessibility understood as a shared cultural responsibility. Implemented within a listed heritage building, where structural modifications were not possible, the project deliberately shifted the focus from architectural accessibility to communicative, cognitive, and sensory dimensions, placing the quality of the cultural experience at the centre. The study employed a qualitative case study design based on document analysis, participant observation, and semi-structured interviews with museum staff, educators, and members of disability organisations. Through a participatory and iterative co-design process, curators, educators, vocational students, and disability organisations collaborated to develop inclusive solutions. People with disabilities were not regarded as passive users but as co-authors of the process: they contributed to the creation of tactile replicas, audio descriptions, sign language resources, braille, pictograms, and motion-activated audio systems. The project generated three main outcomes. It expanded cultural participation among people with diverse disabilities, enriched the sensory and emotional experience of all visitors, and initiated an institutional transformation that reshaped staff training, interpretive approaches, and the museum’s mission towards inclusivity. Entre Luces demonstrates that even small and medium-sized museums can overcome heritage constraints and promote cultural equity and social innovation through inclusive and sensory-based approaches. Full article
Show Figures

Figure 1

30 pages, 14021 KB  
Article
LLM-LCSA: LLM for Collaborative Control and Decision Optimization in UAV Cluster Security
by Hua Song, Zheng Yang, Haitao Du, Yuting Zhang, Jie Zeng and Xinxin He
Drones 2025, 9(11), 779; https://doi.org/10.3390/drones9110779 - 9 Nov 2025
Viewed by 2600
Abstract
With the development of unmanned aerial vehicle (UAV) technology, multimachine collaborative operations have become the core model for increasing mission effectiveness. However, large-scale UAV clusters face challenges such as dynamic security threats, heterogeneous data fusion difficulties, and resource-constrained decision-making delays. Traditional single-machine intelligent [...] Read more.
With the development of unmanned aerial vehicle (UAV) technology, multimachine collaborative operations have become the core model for increasing mission effectiveness. However, large-scale UAV clusters face challenges such as dynamic security threats, heterogeneous data fusion difficulties, and resource-constrained decision-making delays. Traditional single-machine intelligent architectures have limitations when addressing new threats, such as insufficient real-time response capabilities. To address these issues, this paper presnts an LLM-layered collaborative security architecture (LLM-LCSA) for multimachine collaborative security. This architecture optimizes the spatiotemporal fusion efficiency of multisource asynchronous data through cloud–edge–end collaborative deployment, combining an end lightweight LLM, an edge medium LLM, and a cloud-based foundation LLM. Additionally, a Mixture of Experts (MoEs) intelligent algorithm that dynamically activates the most relevant expert models by leveraging a threat–expert association matrix is introduced, thereby increasing the accuracy of complex threat identification and dynamic adaptability. Moreover, a resource-aware multi-objective optimization model is constructed to generate optimal decisions under resource constraints. Simulation results indicate that compared with traditional methods, LLM-LCSA achieves an average 7.92% improvement in the threat detection accuracy, reduces the system’s total response time by 44.52%, and enables resource scheduling during off-peak periods. This architecture provides an efficient, intelligent, and scalable solution for secure collaboration among UAV swarms. Future research should further explore its application potential in 6G network integration and large-scale swarm environments. Full article
(This article belongs to the Special Issue Advances in AI Large Models for Unmanned Aerial Vehicles)
Show Figures

Figure 1

28 pages, 44537 KB  
Article
Multi-UAV Cooperative Pursuit Planning via Communication-Aware Multi-Agent Reinforcement Learning
by Haojie Ren, Chunlei Han, Hao Pan, Jianjun Sun, Shuanglin Li, Dou An and Kunhao Hu
Aerospace 2025, 12(11), 993; https://doi.org/10.3390/aerospace12110993 - 6 Nov 2025
Viewed by 1216
Abstract
Cooperative pursuit using multi-UAV systems presents significant challenges in dynamic task allocation, real-time coordination, and trajectory optimization within complex environments. To address these issues, this paper proposes a reinforcement learning-based task planning framework that employs a distributed Actor–Critic architecture enhanced with bidirectional recurrent [...] Read more.
Cooperative pursuit using multi-UAV systems presents significant challenges in dynamic task allocation, real-time coordination, and trajectory optimization within complex environments. To address these issues, this paper proposes a reinforcement learning-based task planning framework that employs a distributed Actor–Critic architecture enhanced with bidirectional recurrent neural networks (BRNN). The pursuit–evasion scenario is modeled as a multi-agent Markov decision process, enabling each UAV to make informed decisions based on shared observations and coordinated strategies. A multi-stage reward function and a BRNN-driven communication mechanism are introduced to improve inter-agent collaboration and learning stability. Extensive simulations across various deployment scenarios, including 3-vs-1 and 5-vs-2 configurations, demonstrate that the proposed method achieves a success rate of at least 90% and reduces the average capture time by at least 19% compared to rule-based baselines, confirming its superior effectiveness, robustness, and scalability in cooperative pursuit missions. Full article
(This article belongs to the Special Issue Guidance and Control Systems of Aerospace Vehicles)
Show Figures

Figure 1

22 pages, 864 KB  
Article
Design and Implementation of a Gamified Math Game for Learning Whole Numbers in Secondary Education Using Genially
by Cristian Uchima-Marin, Julián Ospina, Víctor Ospina, Luis Salvador-Acosta and Patricia Acosta-Vargas
Sustainability 2025, 17(21), 9759; https://doi.org/10.3390/su17219759 - 1 Nov 2025
Viewed by 1424
Abstract
This study explores the implementation of gamification as an instructional strategy to support the learning of whole numbers in a rural Colombian school with limited technological resources. The intervention involved 23 sixth-grade students who participated in a Genially based digital escape room titled [...] Read more.
This study explores the implementation of gamification as an instructional strategy to support the learning of whole numbers in a rural Colombian school with limited technological resources. The intervention involved 23 sixth-grade students who participated in a Genially based digital escape room titled “Agent 00+7.” The activity was structured around five missions designed to foster motivation, collaboration, and active participation. A survey instrument encompassing five dimensions—motivation, role performance, task completion, learning/interaction, and gro integration—was administered across all missions, producing 180 valid responses. The instrument demonstrated strong internal consistency (Cronbach’s α = 0.872). Data were analyzed using one-way ANOVA, revealing significant mission-level variations in students’ perceived motivation, role performance, task completion, and integration, while learning/interaction remained stable. These outcomes suggest that gamified digital environments may shape students’ perceptions of engagement and teamwork, even in resource-constrained settings. Although the results are exploratory and descriptive, given the absence of a control group or pre–post comparison, they provide preliminary evidence of the feasibility and pedagogical promise of gamification in rural educational contexts, contributing to the advancement of Sustainable Development Goals (SDGs) 4, 9, and 10. Full article
(This article belongs to the Special Issue Innovative Learning Environments and Sustainable Development)
Show Figures

Figure 1

22 pages, 1722 KB  
Article
A Hierarchical Framework and Marginal Return Optimization for Dynamic Task Allocation in Heterogeneous UAV Networks
by Anxin Guo, Zhenxing Zhang, Ao Wu, Qi Li, Leyan Li and Rennong Yang
Sensors 2025, 25(21), 6676; https://doi.org/10.3390/s25216676 - 1 Nov 2025
Viewed by 888
Abstract
The coordination of heterogeneous Unmanned Aerial Vehicles (UAVs) for complex, multi-stage tasks presents a significant challenge in robotics and autonomous systems. Traditional linear models often fail to capture the emergent synergistic effects and dynamic nature of multi-agent collaboration. To address these limitations, this [...] Read more.
The coordination of heterogeneous Unmanned Aerial Vehicles (UAVs) for complex, multi-stage tasks presents a significant challenge in robotics and autonomous systems. Traditional linear models often fail to capture the emergent synergistic effects and dynamic nature of multi-agent collaboration. To address these limitations, this paper proposes a novel hierarchical framework based on a Mission Chain (MC) concept. We systematically define and model key elements of multi-agent collaboration, including Mission Chains (MCs), Execution Paths (EPs), Task Networks (TNs), and Solution Spaces (SSs), creating an integrated theoretical structure. Based on this framework, we formulate the problem as a Sensor–Effector–Target Assignment challenge and propose a Marginal Return-Based Heuristic Algorithm (MRBHA) for efficient dynamic task allocation. Simulations demonstrate that our proposed MRBHA achieves a substantially higher total expected mission value—outperforming standard greedy and random assignment strategies by 14% and 77%, respectively. This validates the framework’s ability to effectively capitalize on synergistic opportunities within the UAV network. The proposed system provides a robust and scalable solution for managing complex missions in dynamic environments, with potential applications in search-and-rescue, environmental monitoring, and intelligent logistics. Full article
(This article belongs to the Section Sensor Networks)
Show Figures

Figure 1

22 pages, 4151 KB  
Article
A Scheduling Model for Optimizing Joint UAV-Truck Operations in Last-Mile Logistics Distribution
by Xiaocheng Liu, Yuhan Wang, Meilong Le, Zhongye Wang and Honghai Zhang
Aerospace 2025, 12(11), 967; https://doi.org/10.3390/aerospace12110967 - 29 Oct 2025
Viewed by 489
Abstract
This paper investigates the joint scheduling problem of unmanned aerial vehicles (UAVs) and trucks for community logistics, where UAVs act as service providers for last-mile delivery and trucks serve as mobile storage platforms for drone deployment. To address the complexity of decision variables, [...] Read more.
This paper investigates the joint scheduling problem of unmanned aerial vehicles (UAVs) and trucks for community logistics, where UAVs act as service providers for last-mile delivery and trucks serve as mobile storage platforms for drone deployment. To address the complexity of decision variables, this paper proposes a three-stage solution scheme that divides the problem into the following: (1) UAV mission set generation via clustering, (2) truck-drone route planning, and (3) collaborative scheduling via a Mixed-Integer Linear Programming (MILP) model. The MILP model, solved exactly using Gurobi, optimizes truck movements and drone operations to minimize total delivery time, representing the core contribution. In the experimental section, to verify the correctness and effectiveness of the proposed Mixed-Integer Linear Programming (MILP) model, comparative experiments were conducted against a heuristic algorithm based on empirical intuitive decision-making. The solution results of experiments with different scales indicate that the joint scheduling model outperforms the scheduling strategies based on empirical experience across various scenario sizes. Additionally, multiple experiments conducted under different parameter settings within the same scenario successfully demonstrated that the model can stably be solved without deteriorating results when parameters change. Furthermore, this study observed that the relationship between the increase in the number of drones and the decrease in the total consumed time is not a simple linear relationship. This phenomenon is speculated to be due to the periodic patterns exhibited by the drone scheduling sequence, which align with the average duration of individual tasks. Full article
(This article belongs to the Section Air Traffic and Transportation)
Show Figures

Figure 1

24 pages, 826 KB  
Article
Leveraging Entrepreneurship Education in Italy’s Inner Areas: Implications for Regional Planning
by Mita Marra
Sustainability 2025, 17(21), 9363; https://doi.org/10.3390/su17219363 - 22 Oct 2025
Viewed by 836
Abstract
This paper examines how place-sensitive, transdisciplinary entrepreneurship education can catalyze inclusive innovation in peripheral regions. Drawing on the Pathways to Innovation and Entrepreneurship initiative—implemented in Southern Italy through a collaboration between the University of Naples Federico II and Cornell Tech with the support [...] Read more.
This paper examines how place-sensitive, transdisciplinary entrepreneurship education can catalyze inclusive innovation in peripheral regions. Drawing on the Pathways to Innovation and Entrepreneurship initiative—implemented in Southern Italy through a collaboration between the University of Naples Federico II and Cornell Tech with the support of the US Diplomatic Mission to Italy—this study explores the role of universities as active agents in regional innovation ecosystems. Adopting an action research methodology across inner and peri-urban territories, the initiative combined transdisciplinary learning, international knowledge exchange, and applied innovation to support regional planning. Findings highlight three interdependent causal pathways: (1) experiental learning and the development of transversal competencies, (2) network formation across scales, and (3) context-sensitive innovation practices. The results show how a locally embedded yet globally networked approach contributes to innovation capacity building of peripheral regions, aligning global knowledge flows with territorial strengths. The paper concludes with implications for embedding EE into regional innovation strategies, fostering diverse network management, and promoting sustainable, place-based development in left-behind places. Full article
(This article belongs to the Special Issue Sustainable Urban Planning and Regional Development)
Show Figures

Figure 1

25 pages, 6498 KB  
Article
SCPL-TD3: An Intelligent Evasion Strategy for High-Speed UAVs in Coordinated Pursuit-Evasion
by Xiaoyan Zhang, Tian Yan, Tong Li, Can Liu, Zijian Jiang and Jie Yan
Drones 2025, 9(10), 685; https://doi.org/10.3390/drones9100685 - 2 Oct 2025
Viewed by 547
Abstract
The rapid advancement of kinetic pursuit technologies has significantly increased the difficulty of evasion for high-speed UAVs (HSUAVs), particularly in scenarios where two collaboratively operating pursuers approach from the same direction with optimized initial space intervals. This paper begins by deriving an optimal [...] Read more.
The rapid advancement of kinetic pursuit technologies has significantly increased the difficulty of evasion for high-speed UAVs (HSUAVs), particularly in scenarios where two collaboratively operating pursuers approach from the same direction with optimized initial space intervals. This paper begins by deriving an optimal initial space interval to enhance cooperative pursuit effectiveness and introduces an evasion difficulty classification framework, thereby providing a structured approach for evaluating and optimizing evasion strategies. Based on this, an intelligent maneuver evasion strategy using semantic classification progressive learning with twin delayed deep deterministic policy gradient (SCPL-TD3) is proposed to address the challenging scenarios identified through the analysis. Training efficiency is enhanced by the proposed SCPL-TD3 algorithm through the employment of progressive learning to dynamically adjust training complexity and the integration of semantic classification to guide the learning process via meaningful state-action pattern recognition. Built upon the twin delayed deep deterministic policy gradient framework, the algorithm further enhances both stability and efficiency in complex environments. A specially designed reward function is incorporated to balance evasion performance with mission constraints, ensuring the fulfillment of HSUAV’s operational objectives. Simulation results demonstrate that the proposed approach significantly improves training stability and evasion effectiveness, achieving a 97.04% success rate and a 7.10–14.85% improvement in decision-making speed. Full article
Show Figures

Figure 1

Back to TopTop