Sign in to use this feature.

Years

Between: -

Subjects

remove_circle_outline
remove_circle_outline
remove_circle_outline
remove_circle_outline
remove_circle_outline
remove_circle_outline

Journals

Article Types

Countries / Regions

Search Results (17)

Search Parameters:
Keywords = coexistence of humans and birds

Order results
Result details
Results per page
Select all
Export citation of selected articles as:
17 pages, 4094 KB  
Article
Comparative Analysis of Perceived Threat Threshold from Various Drivers to Cranes Along Indus Flyway, Punjab, Pakistan
by Ayesha Zulfiqar, Xueying Sun, Qingming Wu, Abdul Rehman, Nasrullah Khan and Mah Noor Khan
Biology 2025, 14(9), 1275; https://doi.org/10.3390/biology14091275 - 16 Sep 2025
Viewed by 776
Abstract
Migratory birds globally face escalating anthropogenic threats, with crane species being particularly vulnerable. This study assessed human-perceived threats to cranes (Grus virgo & Grus grus) along Pakistan’s vital Indus Flyway using 400 stakeholder questionnaires across eight districts (2021–2024). We quantified perceived [...] Read more.
Migratory birds globally face escalating anthropogenic threats, with crane species being particularly vulnerable. This study assessed human-perceived threats to cranes (Grus virgo & Grus grus) along Pakistan’s vital Indus Flyway using 400 stakeholder questionnaires across eight districts (2021–2024). We quantified perceived threat based on frequency (1 = Very Rare; 5 = Very Frequent) and severity (1 = Not Severe; 5 = Extremely Severe), revealing poaching (illegal killing) as the dominant threat (frequency = 4.9; severity = 4.8), followed by illegal wildlife trade (4.7; 4.5) and taming (4.6; 4.3). Spatial analysis showed strikingly higher perceived threats in southern Pakistan (Rajanpur: frequency = 4.88, severity = 4.82) versus central regions (Khushab: 3.76, 4.02; p < 0.001), with riverbanks identified as high-risk poaching zones (42 incidents). Cluster analysis also confirmed Rajanpur as a critical hotspot within three distinct threat tiers. Critically, analysis of socio-demographic drivers revealed threat type (frequency: F = 104.92, p < 0.001; severity: F = 153.64, p < 0.001) and poaching method (frequency: F = 10.14, p < 0.001; severity: F = 15.43, p < 0.001) as significant perception-shapers, while education, occupation, and crane species preference (frequency: F = 1.17, p = 0.310) exerted a non-significant influence. These results highlight that individual backgrounds minimally modulate threat perceptions. The study aligns with global evidence of uniform crane threats demanding the following urgent conservation action: region-specific enforcement (especially southern hotspots), community-led anti-poaching initiatives, and targeted awareness programs to shift high-threat communities toward crane-friendly coexistence practices. Full article
(This article belongs to the Special Issue Bird Biology and Conservation)
Show Figures

Figure 1

18 pages, 2023 KB  
Article
Interactions Between People and Birds of Prey in Semi-Arid Regions of Brazil: Ethno-Ornithology and Conservation
by Hyago Keslley de Lucena Soares, Vanessa Moura dos Santos, Suellen da Silva Santos and Reinaldo Farias Paiva de Lucena
Birds 2025, 6(3), 35; https://doi.org/10.3390/birds6030035 - 25 Jun 2025
Viewed by 1443
Abstract
How humans perceive and interact with other animal species is critical in enhancing conservation initiatives. The study recorded and analyzed people’s knowledge and perceptions of birds of prey and their interactions in three rural communities in Paraíba, Brazil. The data were collected by [...] Read more.
How humans perceive and interact with other animal species is critical in enhancing conservation initiatives. The study recorded and analyzed people’s knowledge and perceptions of birds of prey and their interactions in three rural communities in Paraíba, Brazil. The data were collected by face-to-face interviews using semi-structured questionnaires. One hundred ninety-one people were interviewed, and 19 species were recorded. Based on the answers to the questionnaires, the species are considered omens of climatic/ecological and supernatural events. They are important in the maintenance of ecosystems (predation of rodents and snakes and feeding on dead animals). However, most birds of prey are killed because they cause damage by preying upon domestic animals or for being associated with bad omens. The diversity of information listed here shows the need for complex and interdisciplinary studies to understand the human dimensions of knowledge and relationships between people and birds, contributing to species conservation and encouraging coexistence between people and birds of prey. Full article
Show Figures

Figure 1

16 pages, 2983 KB  
Article
Birds as Biodiversity Beacons: Identifying Conservation Priority Areas Through Multi-Dimensional Diversity in China
by Fei Duan, Shuyi Zhu, Xiaoyun Shi, Xiaoli Shen and Sheng Li
Diversity 2025, 17(7), 442; https://doi.org/10.3390/d17070442 - 21 Jun 2025
Viewed by 1285
Abstract
Biodiversity conservation plays a pivotal role in achieving sustainable development and fostering harmonious coexistence between humans and nature. This study identifies avian conservation priority areas across China by analyzing multi-dimensional biodiversity, incorporating species diversity, functional diversity, and phylogenetic diversity. Through systematic conservation planning [...] Read more.
Biodiversity conservation plays a pivotal role in achieving sustainable development and fostering harmonious coexistence between humans and nature. This study identifies avian conservation priority areas across China by analyzing multi-dimensional biodiversity, incorporating species diversity, functional diversity, and phylogenetic diversity. Through systematic conservation planning using Zonation version 4 software, we delineated priority areas across these diversity dimensions. Our results demonstrate a distinct south-to-north diversity gradient in China’s avifauna, with functional and phylogenetic diversity hotspots concentrated in Yunnan Province, the Hengduan Mountains, Hainan Island, Taiwan Island, and southeastern coastal regions. The identified priority conservation areas cover 14.6% of China’s terrestrial territory, protecting 89.8% of the country’s bird species—including 93.5% of endemic species and 88.9% of critically endangered species. Notably, existing nature reserves encompass merely 8.1% of these priority areas, revealing substantial conservation gaps within the current protection framework. Building upon China’s 3C Zoning Framework (Cities and farms, Shared landscapes, and Large wild areas), we propose zone-specific conservation strategies, with particular emphasis on strengthening protected area networks in the eastern coastal regions and the middle-lower Yangtze River basin, where urbanization pressures are most acute. These findings highlight the critical importance of incorporating multi-dimensional diversity in conservation planning and offer novel perspectives for optimizing China’s protected area system. Full article
(This article belongs to the Section Biodiversity Conservation)
Show Figures

Figure 1

15 pages, 10516 KB  
Article
The Spatial Relationship Between Two Sympatric Pheasant Species and Various Human Disturbance Activities
by Lanrong Wang, Yuting Lu, Yinfan Cai, Liling Ji, Dapeng Pang, Meisheng Zhou, Yang Cheng, Faguang Pu and Baowei Zhang
Animals 2025, 15(1), 95; https://doi.org/10.3390/ani15010095 - 3 Jan 2025
Cited by 3 | Viewed by 1705
Abstract
Establishing and managing nature reserves to mitigate wildlife habitat loss and fragmentation is challenging, particularly in the face of increasing human activity. To understand how wildlife coexists in environments affected by anthropogenic disturbances, we conducted a 19-month survey examining the Reeves’s pheasant ( [...] Read more.
Establishing and managing nature reserves to mitigate wildlife habitat loss and fragmentation is challenging, particularly in the face of increasing human activity. To understand how wildlife coexists in environments affected by anthropogenic disturbances, we conducted a 19-month survey examining the Reeves’s pheasant (Syrmaticus reevesii) and Koklass pheasant (Pucrasia macrolopha) in the Anhui Tianma National Nature Reserve, China. Previous studies of large terrestrial birds focused primarily on livestock impacts, with less attention given to other human activities. We used occupancy models and performed daytime activity rhythm analysis based on camera trap data to examine the spatiotemporal responses of these species to human activities, livestock, and domestic dogs. The results showed that human disturbance activities within the reserve impact the distribution patterns of Reeves’s pheasant and Koklass pheasant, but the effect was not significant. In high-disturbance environments, both species adjusted their activity times to avoid direct or indirect interactions with humans, livestock, and dogs. These findings provide insights for replanning core and creation of buffer zones within the reserve and have broader implications for conservation strategies in similar habitats. Our study suggests that well-designed conservation objectives can balance species protection with sustainable human presence. Full article
Show Figures

Figure 1

14 pages, 5885 KB  
Review
Rewilding Landscape Creation in Country Parks Based on Wilderness Thinking—Taking Shanghai Heqing Country Park as an Example
by Jing Li, Yi Zhu, Haoran Yu and Lang Zhang
Land 2024, 13(12), 2254; https://doi.org/10.3390/land13122254 - 23 Dec 2024
Cited by 2 | Viewed by 1768
Abstract
In recent years, rapid urbanization in China has driven cities to expand uncontrollably into surrounding rural areas. Within the global context of ecological restoration, protecting and rehabilitating natural spaces have become key issues in landscape design. The concept of rewilding, rooted in wilderness [...] Read more.
In recent years, rapid urbanization in China has driven cities to expand uncontrollably into surrounding rural areas. Within the global context of ecological restoration, protecting and rehabilitating natural spaces have become key issues in landscape design. The concept of rewilding, rooted in wilderness philosophy, has gained significant attention. This article explores the background, significance, and theoretical foundations of rewilding urban ecological spaces using the woodland area of Heqing Country Park in Shanghai as a case study. It examines the feasibility, methods, and strategies for implementing rewilding in urban settings, considering both natural and human-influenced activities, with a focus on minimizing human intervention. This approach enhances biodiversity, promotes the sustainable development of ecosystems, and helps the park maintain its rural character despite its tourist appeal. Four years after the project’s implementation, research data show that the richness of native plant species, the diversity of bird species, and insect populations have exceeded those of the previously maintained forest. Moreover, the rewilding landscapes have supported the natural succession of habitat communities, leading to a stable and revitalized ecosystem. The landscape improvements and visitor experiences have been highly positive. The reconstruction strategy developed in this project is expected to inform future ecological initiatives, such as country parks, promoting the harmonious development of human and natural environments and serving as a model for creating urban ecosystems where both can coexist sustainably. Full article
Show Figures

Figure 1

15 pages, 1728 KB  
Perspective
PANoptosis Regulation in Reservoir Hosts of Zoonotic Viruses
by Anantika Chandra and Sannula Kesavardhana
Viruses 2024, 16(11), 1733; https://doi.org/10.3390/v16111733 - 4 Nov 2024
Cited by 1 | Viewed by 2751
Abstract
Zoonotic viruses originating from reservoir hosts, such as bats and birds, often cause severe illness and outbreaks amongst humans. Upon zoonotic virus transmission, infected cells mount innate immune responses that include the activation of programmed cell death pathways to recruit innate immune cells [...] Read more.
Zoonotic viruses originating from reservoir hosts, such as bats and birds, often cause severe illness and outbreaks amongst humans. Upon zoonotic virus transmission, infected cells mount innate immune responses that include the activation of programmed cell death pathways to recruit innate immune cells to the site of infection and eliminate viral replication niches. Different inflammatory and non-inflammatory cell death pathways, such as pyroptosis, apoptosis, necroptosis, and PANoptosis can undergo concurrent activation in humans leading to mortality and morbidity during zoonosis. While controlled activation of PANoptosis is vital for viral clearance during infection and restoring tissue homeostasis, uncontrolled PANoptosis activation results in immunopathology during zoonotic virus infections. Intriguingly, animal reservoirs of zoonotic viruses, such as bats and birds, appear to have a unique immune tolerance adaptation, allowing them to host viruses without succumbing to disease. The mechanisms facilitating high viral tolerance in bats and birds are poorly understood. In this perspective review, we discuss the regulation of PANoptotic pathways in bats and birds and indicate how they co-exist with viruses with mild clinical signs and no immunopathology. Understanding the PANoptotic machinery of bats and birds may thus assist us in devising strategies to contain zoonotic outbreaks amongst humans. Full article
(This article belongs to the Special Issue PANoptosis in Viral Infection)
Show Figures

Figure 1

24 pages, 12619 KB  
Article
Quantifying the Ecological Performance of Migratory Bird Conservation: Evidence from Poyang Lake Wetlands in China
by Zhenjiang Song, Shichao Gao, Mingni Leng, Bo Zhou and Baoshu Wu
Biology 2024, 13(10), 786; https://doi.org/10.3390/biology13100786 - 30 Sep 2024
Cited by 5 | Viewed by 3173
Abstract
Protected areas are essential for the conservation of biodiversity. However, the rapid expansion of urbanization and the intensification of human activities have significantly disrupted environmental integrity, leading to a continuous deterioration in both the quantity and quality of large ecological patches. This has [...] Read more.
Protected areas are essential for the conservation of biodiversity. However, the rapid expansion of urbanization and the intensification of human activities have significantly disrupted environmental integrity, leading to a continuous deterioration in both the quantity and quality of large ecological patches. This has further diminished the connectivity among ecological patches, leading to significant consequences for regional biodiversity conservation. Taking Poyang Lake as a case study, which serves as a crucial wintering habitat for migratory birds along the East Asia–Australasia flyway, this research employs ArcMap technology. It considers various factors including land use type, slope, and elevation to evaluate habitat quality and degradation through the application of the InVEST model. Additionally, the study utilizes the minimum cumulative resistance (MCR) model alongside circuit theory to delineate ecological corridors within the area and to establish a comprehensive ecological network system. The research results in this paper are as follows. (i) During the period from 2000 to 2020, there was an overall decline in habitat quality within the study area, indicating a clear trend of habitat degradation. However, it is worth noting that there was an increase in habitat quality in certain local areas within the protected area. (ii) The ecological resistance values in the core area of the migratory bird reserve in Poyang Lake are generally low. However, the ecological resistance values of the habitats have shown a consistent increase from 2000 to 2020. Additionally, there has been a significant decrease in the density of ecological corridors during this time period. (iii) Over the period from 2000 to 2020, both the number and connectivity of ecological corridors decreased and their integrity and functionality degraded. Consequently, this weakened role of the ecological network has had implications for maintaining regional biodiversity and ecosystem service functions. The findings indicate two conclusions. (i) Ecological connectivity is essential for the conservation of migratory bird habitats. Strengthening control measures aimed at expanding ecological corridors can effectively safeguard flagship and umbrella species, thereby promoting biodiversity conservation. (ii) The establishment of ecological corridors can help reconcile conflicts between conservation efforts and development objectives. This reconciliation carries significant theoretical implications for fostering a harmonious coexistence between humans and birds in Poyang Lake’s migratory bird sanctuary. Full article
(This article belongs to the Special Issue Bird Biology and Conservation)
Show Figures

Figure 1

16 pages, 8676 KB  
Article
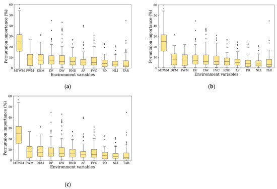
Maximum Entropy Analysis of Bird Diversity and Environmental Variables in Nanjing Megapolis, China
by Jingcheng Lai, Yong Wang, Tengjie Huang, Yanyan Lyu, Yuhui Zhao and Jishuang Liu
Sustainability 2024, 16(5), 2139; https://doi.org/10.3390/su16052139 - 5 Mar 2024
Cited by 8 | Viewed by 2728
Abstract
Against the background of global climate change and urbanization, the biodiversity of birds is facing unprecedented threats. In this paper, taking the Nanjing megapolis as an example, based on the distribution sites of 79 bird species and 17 environmental variables, the MaxEnt model [...] Read more.
Against the background of global climate change and urbanization, the biodiversity of birds is facing unprecedented threats. In this paper, taking the Nanjing megapolis as an example, based on the distribution sites of 79 bird species and 17 environmental variables, the MaxEnt model was used to simulate the distribution of bird diversity, and the most important environmental variables were analyzed. The results show that (1) the MaxEnt model is suitable for simulation of the potential distribution of bird diversity in the Nanjing megapolis; (2) the areas with the highest bird diversity in the Nanjing megapolis were mainly distributed in the mountains and hills where the forests are located; (3) the five most important environmental variables affecting bird distribution were ranked as maximum temperature of the warmest month (MTWM) > Digital Elevation Model (DEM) > precipitation of the wettest month (PWM) > distance to the nearest forest (DF) > Fractional Vegetation Cover index (FVC), with MTWM, PWM, and DF being negatively correlated with bird diversity, whereas FVC and DEM exhibited positive correlations with bird diversity; and (4) the contribution rates of the three types of environmental variables were ranked as follows: habitat environmental variables > meteorological environmental variables > disturbance environmental variables. Sufficient bird habitats should be maintained in cities, and disturbances from human activities should be reduced to achieve the harmonious coexistence of humans and animals in the context of climate change and urbanization, thereby promoting sustainable development. Full article
(This article belongs to the Section Sustainability, Biodiversity and Conservation)
Show Figures

Figure 1

28 pages, 4184 KB  
Article
Ecological Restoration of Habitats Based on Avian Diversity and Landscape Patterns—A Case Study of Haining Mining Pit Park in Zhejiang, China
by Yu Shi, Xiaoxiao Fan, Xiaoying Ding and Meiqi Sun
Sustainability 2024, 16(4), 1445; https://doi.org/10.3390/su16041445 - 8 Feb 2024
Cited by 5 | Viewed by 3692
Abstract
The development of the mining park has impacted the richness of bird diversity. Coordinating the harmonious coexistence of humans and birds is a core issue for the sustainable development of the mining park. This study aims to investigate the relationship between landscape patterns [...] Read more.
The development of the mining park has impacted the richness of bird diversity. Coordinating the harmonious coexistence of humans and birds is a core issue for the sustainable development of the mining park. This study aims to investigate the relationship between landscape patterns and bird diversity and propose ecological restoration strategies for the mining park. Through field surveys and fixed-transect methods, the existing dominant bird species in the mining park were surveyed. The Shannon index was used to analyze the level of bird diversity in the mining park. A site plan of the mining park was drawn, and ArcGIS 10.8 and Fragstats 4.2 software were used to statistically analyze the landscape patterns of the mining park. The results of the two data sets were compared and analyzed to determine the relationship between landscape patterns and bird diversity. A total of eight landscape types were identified, and diversity indices, including the H (Shannon diversity index), F (species richness index), G (genus richness index), and G-F indices, were calculated. Existing issues in the site include diverse aquatic landscape types but poor connectivity, heterogeneous rocky landscape, bird habitat degradation, and frequent human interference. Proposed solutions include building ecological floating islands (habitat-type floating islands, restoration-type floating islands) to connect patches; comprehensive restoration combining full and partial restoration to restore bird habitats and increase vegetation coverage of rocky patches; low human interference design through ecological protection control zones, landscape functional zones, and park road design to create an environment for bird habitats and a mining park landscape suitable for leisure recreation, creating a new home for cohabitation between humans and birds. The research results indicate that landscape pattern diversity, heterogeneity, fragmentation, and human interference affect the richness of bird diversity. Ecological restoration, plant cultivation, and zoning planning can transform the site, enhance the landscape, and provide theoretical support and practical guidance for the creation of habitats for similar bird species. Full article
Show Figures

Figure 1

15 pages, 2733 KB  
Article
Birds’ Flight Initiation Distance in Residential Areas of Beijing Are Lower than in Pristine Environments: Implications for the Conservation of Urban Bird Diversity
by Luqin Yin, Cheng Wang, Wenjing Han and Chang Zhang
Sustainability 2023, 15(6), 4994; https://doi.org/10.3390/su15064994 - 10 Mar 2023
Cited by 12 | Viewed by 3047
Abstract
(1) Background: With rapid urbanization, birds are facing a variety of challenges. Evaluating bird behaviour changes in response to urbanization can help us understand how to make them coexist sustainably with humans. We aimed to investigate whether birds inhabiting residential areas differed in [...] Read more.
(1) Background: With rapid urbanization, birds are facing a variety of challenges. Evaluating bird behaviour changes in response to urbanization can help us understand how to make them coexist sustainably with humans. We aimed to investigate whether birds inhabiting residential areas differed in their escape behaviour and their influencing factors. (2) Methods: We used the flight initiation distance (FID), the horizontal distance between the observer and the target bird when it escapes, to measure the escape behaviour of birds. We chose 40 urban residential areas within the 5th ring road in Beijing and conducted surveys each month for one year. We applied Generalized Linear Mixed Models (GLMMs) separately to evaluate the response variable of FID for the total species, the most common species, and the other species. (3) Results: Birds that appear more frequently in residential areas or as ground foragers, insectivores, and omnivores are better adapted to human interference and have shorter FIDs. Individual initial conditions affect bird FID, and environmental characteristics can be used as predictors for the most common birds. Tree canopy coverage was found to positively affect FID, while floor area ratio (FAR) is negatively correlated with FID. (4) Conclusions: Our results demonstrated that birds in residential areas have been adapting to the human environment, and urban tree canopies can provide refuge for birds to avoid human interference. Our study focused on the response of bird FIDs to human interference and urban trees under high urbanization, which has substantial practical implications for urban managers to improve habitat quality to ensure that birds coexist with human beings. Full article
(This article belongs to the Special Issue Wildlife Conservation: Managing Resources for a Sustainable World)
Show Figures

Figure 1

21 pages, 2665 KB  
Article
The Relationship between Landscape Construction and Bird Diversity: A Bibliometric Analysis
by Yanqin Zhang, Enming Ye, Fan Liu, Ningjing Lai, Xianli You, Jianwen Dong and Jiaying Dong
Int. J. Environ. Res. Public Health 2023, 20(5), 4551; https://doi.org/10.3390/ijerph20054551 - 3 Mar 2023
Cited by 7 | Viewed by 5382
Abstract
Urbanization development is the main cause of drastic habitat changes and biodiversity loss, and urban green space construction is one of the effective ways to mitigate biodiversity decay. The proper construction of urban green space landscapes can maintain or increase the resources provided [...] Read more.
Urbanization development is the main cause of drastic habitat changes and biodiversity loss, and urban green space construction is one of the effective ways to mitigate biodiversity decay. The proper construction of urban green space landscapes can maintain or increase the resources provided by urban biodiversity, especially bird diversity. This paper is based on 4112 papers published in this research area between 2002 and 2022, and CiteSpace was used to conduct a bibliometric analysis of the research area in terms of the number of articles published, the country or region of publication, core authors, and academic development. The paper systematically reviews the hotspots, history, and frontiers of research on landscape architecture and bird diversity. At the same time, the relationship between landscape construction and bird diversity is discussed in the context of landscape features, vegetation characteristics, and human behavioral activities. The results revealed: (1) research on the association between landscape camping and bird diversity received high priority from 2002 to 2022. Moreover, this research area has become a mature discipline. (2) Throughout the research history, there are four research hotspots (fundamental research on bird communities, influencing factors related to changes in bird community characteristics, research on bird activity rhythms, and ecological and ornamental values of birds), four development stages (2002–2004, 2005–2009, 2010–2015, and 2016–2022), and several research frontiers. (3) Our aim was to reasonably consider the activity characteristics of birds in future landscape construction, and to thoroughly study the landscape construction strategies and management principles for the harmonious coexistence of humans and birds. Full article
Show Figures

Figure 1

18 pages, 5422 KB  
Article
The Construction and Optimization of Habitat Networks for Urban–Natural Symbiosis: A Case Study of the Main Urban Area of Nanjing
by Zhenhui Ding, Jiajie Cao and Yan Wang
Forests 2023, 14(1), 133; https://doi.org/10.3390/f14010133 - 11 Jan 2023
Cited by 8 | Viewed by 3461
Abstract
Maintaining ecological balance relies on biodiversity, and habitat network construction plays an imperative role in preserving biodiversity in regional areas. Nevertheless, there is a problem with the current habitat network construction, which focuses exclusively on ecological benefits without taking other benefits into account [...] Read more.
Maintaining ecological balance relies on biodiversity, and habitat network construction plays an imperative role in preserving biodiversity in regional areas. Nevertheless, there is a problem with the current habitat network construction, which focuses exclusively on ecological benefits without taking other benefits into account as well. In this paper, six species of birds with varying habitat types and varying adaptabilities to city life are selected as target species to build a habitat network based on the InVEST model, Circuit Theory, and Linkage Mapper, focusing on nuclei, patches, corridors, and islands for the harmonious coexistence of human-green space-birds in the most densely populated area of Nanjing, and to refine landscape design techniques for habitat creation. Below is a summary of the main results. Firstly, there is a direct relationship between species distribution and migration capabilities and the urbanization adaptation capabilities of species. Meanwhile, habitat quality has a significant impact on bird species distribution. Furthermore, the habitat network in Nanjing’s main urban area has a distributed and partially degraded core area, a single connectivity structure with poor functionality, and significant fragmentation of habitat patches. Finally, as a result of the above results, two perspectives of ecological landscape planning and design are proposed to optimize the relevant green space landscape in Nanjing’s central urban areas based on biodiversity and satisfying the tripartite symbiosis of humans, green space, and birds in the city. By planning and implementing habitat networks, it is possible to enhance the habitat quality of urban green spaces to a certain extent and provide new ideas for the overall planning of urban–natural systems. Full article
(This article belongs to the Section Urban Forestry)
Show Figures

Figure 1

12 pages, 1065 KB  
Article
Ecological and Hydrological Indicators of Climate Change Observed by Dryland Communities of Malipati in Chiredzi, Zimbabwe
by Nelson Chanza and Walter Musakwa
Diversity 2022, 14(7), 541; https://doi.org/10.3390/d14070541 - 5 Jul 2022
Cited by 11 | Viewed by 3758
Abstract
Existing evidence about climate change in Zimbabwe has tended to focus more on elements and events of the climate system, marginalizing changes in the hydrological and ecological system. To contribute to the improved understanding of climate change, this study captured the observations of [...] Read more.
Existing evidence about climate change in Zimbabwe has tended to focus more on elements and events of the climate system, marginalizing changes in the hydrological and ecological system. To contribute to the improved understanding of climate change, this study captured the observations of climate change in Malipati, a remote agrarian dryland area in the Chiredzi District, Zimbabwe. The aim of the study was to gather detailed insights about perceived environmental changes using the evidence drawn from local and indigenous populations who have close interactions with their natural environment. A household questionnaire-based survey with randomly chosen farmers (n = 116) revealed that participants’ observations of changes in hydrological and ecological system were consistent with available evidence of increasing temperatures and little rainfall recorded in the district. Results also showed high sensitivity of the area to climate change that manifest in various indicators: hydrological changes in rivers, streams, swamps, and ground water; and ecological changes through the behaviour of trees, insects, birds, and wild animals. Sex and age of the participants did not influence the way they perceived most of these changes (p > 0.05). However, education and the period of stay in the area were related to the respondents’ perceived changes in river flows and siltation, and the conditions of swamps (p < 0.05). Our study also revealed deeper insights about the human-biodiversity interactions in the face of climate change in unique areas where communities live alongside wildlife. The evidence drawn from local and indigenous populations can be used to inform local-based solutions to the growing problems of climate change and biodiversity loss. Future studies would need to further examine such areas to understand the mitigation and adaptation practices that would promote the sustainable co-existence of humans and wildlife. Full article
(This article belongs to the Special Issue The Human Dimension of Biodiversity Protection)
Show Figures

Figure 1

16 pages, 2172 KB  
Article
Does Bird Diversity Affect Public Mental Health in Urban Mountain Parks?—A Case Study in Fuzhou City, China
by Weizhen Xu, Dulai Zheng, Peilin Huang, Jiao Yu, Ziru Chen, Zhipeng Zhu, Jianwen Dong and Weicong Fu
Int. J. Environ. Res. Public Health 2022, 19(12), 7029; https://doi.org/10.3390/ijerph19127029 - 8 Jun 2022
Cited by 6 | Viewed by 3639
Abstract
Intensified urbanization has caused a linear decline in the quality of urban biodiversity and indirectly harms our current human settlement environment. Urban mountain parks provide a refuge for the animals and plants and play a vital role in satisfying residents’ lives. At present, [...] Read more.
Intensified urbanization has caused a linear decline in the quality of urban biodiversity and indirectly harms our current human settlement environment. Urban mountain parks provide a refuge for the animals and plants and play a vital role in satisfying residents’ lives. At present, few studies are focusing on the impact of biodiversity on human mental health benefits of urban mountain parks in high-density construction areas along the coast of the Eastern Hemisphere. Here, we examined the relationship between bird abundance, Shannon diversity, Simpson diversity, and Richness and momentary mental health (positive, negative, and anxiety) in urban mountain parks. The timed species counts method was used to conduct three surveys of birds in urban mountain parks, and linear regression was performed on the relationship between bird diversity and mental health among sites. According to the regression model results, we found no significant correlation in any disturbance levels. As urban mountain parks are an essential part of the human settlement environment, how to improve the biodiversity and mental health of urban mountain parks is one of the focuses of research on biodiversity well-being in the future. Urban planning authorities and public mental health researchers should pay attention to the importance of biodiversity in urban development and consider how to realize the beautiful vision of the harmonious coexistence of humans, animals, plants, and the environment in which we live. Full article
Show Figures

Figure 1

15 pages, 4573 KB  
Article
High Prevalence of Genogroup I and Genogroup II Picobirnaviruses in Dromedary Camels
by Jade L. L. Teng, Ulrich Wernery, Po Chun Wong, Elaine Chan, Hwei Huih Lee, Sunitha Joseph, Ru Bai, Ying Tang, Emily Y. M. Wong, Susanna K. P. Lau and Patrick C. Y. Woo
Viruses 2021, 13(3), 430; https://doi.org/10.3390/v13030430 - 8 Mar 2021
Cited by 3 | Viewed by 2501
Abstract
Picobirnaviruses (PBVs) are small non-enveloped bisegmented double-stranded RNA viruses found in humans, mammals, and birds. Increasing molecular epidemiology studies suggest a high sequence diversity of PBVs in numerous hosts and the environment. In this study, using 229 fecal samples from dromedary camels in [...] Read more.
Picobirnaviruses (PBVs) are small non-enveloped bisegmented double-stranded RNA viruses found in humans, mammals, and birds. Increasing molecular epidemiology studies suggest a high sequence diversity of PBVs in numerous hosts and the environment. In this study, using 229 fecal samples from dromedary camels in Dubai, 52.8% were positive for PBVs, of which 77.7% and 41.3% were positive for genogroup I and II, respectively, and 19.0% were positive for both genotypes. Phylogenetic analysis showed high diversity among the sequences of genogroup I and II dromedary PBVs. Marked nucleotide polymorphisms were observed in 75.5% and 46.0% of genogroup I and II RNA-dependent RNA polymerase (RdRp) sequences, respectively, suggesting the co-existence of multiple strains in the same specimen. Both high genetic diversity and prevalence of genogroup I and II PBV in dromedaries were observed. In fact, the prevalence of genogroup II PBV in dromedaries is the highest among all animals to date. The complete/near-complete core genomes of five genogroup I and one genogroup II dromedary PBVs and partial segment 1 and 2 of both genotypes were also sequenced. The dromedary PBV genome organizations were similar to those of other animals. Genetic reassortment and mutation are both important in the ecology and evolution of PBVs. Full article
(This article belongs to the Special Issue Proactive Study of Future Viral Infectious Diseases)
Show Figures

Figure 1

Back to TopTop