Sign in to use this feature.

Years

Between: -

Subjects

remove_circle_outline
remove_circle_outline
remove_circle_outline
remove_circle_outline
remove_circle_outline
remove_circle_outline
remove_circle_outline
remove_circle_outline
remove_circle_outline

Journals

Article Types

Countries / Regions

Search Results (213)

Search Parameters:
Keywords = co-inhibitory signals

Order results
Result details
Results per page
Select all
Export citation of selected articles as:
20 pages, 8968 KB  
Article
Methyl Protodioscin Promotes Ferroptosis of Prostate Cancer Cells by Facilitating Dissociation of RB1CC1 from the Detergent-Resistant Membranes and Its Nuclear Translocation
by Ruonan Wang, Chaoyu Hu, Yi Zhao, Shuhan Wu, Shujuan Cao, Leiming Xu, Dengke Yin and Song Tan
Biomolecules 2026, 16(1), 38; https://doi.org/10.3390/biom16010038 - 25 Dec 2025
Viewed by 134
Abstract
Methyl protodioscin (MPD), a furostanol saponin found in the rhizomes of Dioscorea plants, has been shown to effectively inhibit proliferation of prostate cancer cells in vitro and in vivo. However, the mechanism underlying this inhibitory action remains unclear. To elucidate the mechanism, we [...] Read more.
Methyl protodioscin (MPD), a furostanol saponin found in the rhizomes of Dioscorea plants, has been shown to effectively inhibit proliferation of prostate cancer cells in vitro and in vivo. However, the mechanism underlying this inhibitory action remains unclear. To elucidate the mechanism, we used mass spectrometry to analyze protein rearrangements in detergent-resistant membranes (DRMs). Ferroptosis-related factors were identified in cells in vitro and in vivo. MPD induced the expression of acyl-CoA synthetase long chain family member 4 and reduced expression levels of glutathione peroxidase 4 and solute carrier family 7 member 11. Following MPD treatment, RB1-inducible coiled-coil 1 (RB1CC1) dissociated from DRMs and translocated from the cytoplasm to the nucleus. This translocation induced the expression of ferroptosis-related protein coiled-coil-helix-coiled-coil-helix domain containing 3, promoting ferroptosis in prostate cancer cells. As the nuclear translocation of RB1CC1 was promoted by the JNK signaling pathway, SP600125, a JNK inhibitor, prevented the MPD-induced RB1CC1 nuclear translocation. In summary, MPD induced the dissociation of RB1CC1 from DRMs and its subsequent nuclear translocation, contributing to ferroptosis of prostate cancer cells. Full article
(This article belongs to the Special Issue Cellular Signaling in Cancer)
Show Figures

Figure 1

20 pages, 1666 KB  
Article
Analyses of Antioxidative Response in Tomato (Solanum lycopersicum L.) Grown with Biochar and PGPMs
by Silvia Carlo, Marta Trazza, Luca Pagano and Marta Marmiroli
Antioxidants 2025, 14(12), 1482; https://doi.org/10.3390/antiox14121482 - 10 Dec 2025
Viewed by 352
Abstract
Solanum lycopersicum plants were grown in pots amended with biochar and PGPMs (plant growth-promoting microorganisms: Pseudomonas fluorescens and Azotobacter chroococcum), applied singularly and in combination, for three months, after which plants and soils were collected, divided into treatment groups based on organs, [...] Read more.
Solanum lycopersicum plants were grown in pots amended with biochar and PGPMs (plant growth-promoting microorganisms: Pseudomonas fluorescens and Azotobacter chroococcum), applied singularly and in combination, for three months, after which plants and soils were collected, divided into treatment groups based on organs, and analyzed. The following biochemical markers were studied: cellular respiration, shoot fresh and dry weight, root fresh weight, photosynthetic pigments (chlorophyll a, chlorophyll b, and carotenoids), membrane lipid peroxidation, proline content, total antioxidant capacity (DPPH and ABTS assay), hydrogen peroxide, ascorbic acid, total phenolic content, enzymatic activity (SOD, POD, CAT, and APX), total soluble sugar content, and total protein content. Also, soil parameters, such as pH, EC, total enzymatic activity, active carbon, and respiration, were measured. While biochar alone induced root H2O2 accumulation, its co-application with PGPMs turned this signal into a systemic trigger for defense, enhancing the antioxidant capacity and the production of proline, phenolics, and ascorbic acid without causing oxidative damage. At the soil level, microorganisms counteracted biochar’s inhibitory effects on enzymatic activity and intensified labile carbon use, indicating a more dynamic rhizosphere. Multivariate analysis confirmed that the combined treatment remodulated the plant–soil system, converting a stress factor into a resilience enhancer. This synergy underscores the role of biochar as an effective microbial carrier and PGPM consortia as bioactivators, together providing a powerful tool to prime crops against climate stress while preserving soil health. Full article
(This article belongs to the Special Issue Oxidative Stress and Antioxidant Defense in Crop Plants, 2nd Edition)
Show Figures

Figure 1

26 pages, 3289 KB  
Review
BTLA: An Emerging Immune Checkpoint Target in Cancer Immunotherapy
by Ming-Cheng Chang, Wan-Chi Lee, Yi-Jou Tai and Ying-Cheng Chiang
Pharmaceuticals 2025, 18(12), 1784; https://doi.org/10.3390/ph18121784 - 24 Nov 2025
Viewed by 826
Abstract
B and T lymphocyte attenuator (BTLA) is a unique co-inhibitory receptor of the CD28 immunoglobulin superfamily that exhibits dual regulatory functions in immune activation and tolerance. Unlike PD-1 or CTLA-4, BTLA interacts bidirectionally with its ligand HVEM, forming a complex signaling network that [...] Read more.
B and T lymphocyte attenuator (BTLA) is a unique co-inhibitory receptor of the CD28 immunoglobulin superfamily that exhibits dual regulatory functions in immune activation and tolerance. Unlike PD-1 or CTLA-4, BTLA interacts bidirectionally with its ligand HVEM, forming a complex signaling network that shapes immune homeostasis within the tumor microenvironment. Dysregulated BTLA expression has been associated with tumor immune evasion and poor prognosis in several cancers. Owing to its distinctive molecular features and multifaceted immunoregulatory roles, BTLA represents an emerging therapeutic target, particularly in tumors unresponsive to conventional immune checkpoint inhibitors. This review provides a comprehensive overview of BTLA’s structure, signaling mechanisms, and functional implications in tumor immunity and discusses current advances and challenges in BTLA-targeted therapy. Finally, we outline future perspectives on leveraging BTLA modulation to enhance cancer immunotherapy outcomes. Full article
(This article belongs to the Special Issue Comprehensive Strategies in Cancer Immunotherapy)
Show Figures

Figure 1

21 pages, 6806 KB  
Article
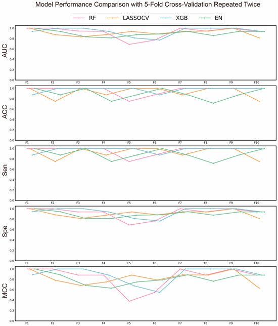
Elucidating the Mechanisms of Chrysanthemum Action on Atopic Dermatitis via Network Pharmacology and Machine Learning
by Shiying Li, Yongxin Jiang, Chengxiang Hu, Yiyao Ding, Xueqi Fu, Shu Xing and Linlin Zeng
Int. J. Mol. Sci. 2025, 26(23), 11262; https://doi.org/10.3390/ijms262311262 - 21 Nov 2025
Viewed by 658
Abstract
Chrysanthemum (Chrysanthemum morifolium Ramat.) has been recognized as both a food and medicinal substance in China since 2002 and possesses antioxidant, anti-inflammatory, antibacterial, and immunomodulatory activities. Previous studies suggest that Chrysanthemum may alleviate skin lesions resembling atopic dermatitis (AD); however, its underlying [...] Read more.
Chrysanthemum (Chrysanthemum morifolium Ramat.) has been recognized as both a food and medicinal substance in China since 2002 and possesses antioxidant, anti-inflammatory, antibacterial, and immunomodulatory activities. Previous studies suggest that Chrysanthemum may alleviate skin lesions resembling atopic dermatitis (AD); however, its underlying mechanisms remain unclear. In this study, we integrated network pharmacology and machine learning to systematically explore the potential mechanisms of Chrysanthemum in AD treatment. Four algorithms—Random Forest (RF), Lasso regression with cross-validation (LassoCV), Elastic Net (EN), and Extreme Gradient Boosting (XGB)—were compared, among which the XGB model achieved the best performance (accuracy = 0.9393). Further analysis identified 15 optimal features, two core targets (PTGS2 and MMP9), and one critical pathway (NF-κB signaling). To experimentally validate these findings, HaCaT keratinocytes were co-stimulated with TNF-α and IFN-γ to establish an in vitro inflammatory model, and co-treatment with three major flavonoids from Chrysanthemum—Acacetin, Diosmetin, and Chryseriol—significantly suppressed cytokine-induced COX-2 overexpression and reduced NF-κB p65 phosphorylation, confirming their inhibitory effects on NF-κB activation. These results were consistent with molecular docking and dynamics simulations, which demonstrated that these flavonoids, along with celecoxib, could stably bind to COX-2, thereby enhancing system stability and reducing residue fluctuations at the binding interface, revealing the molecular basis by which Chrysanthemum alleviates AD and supporting its modernization and therapeutic potential. Full article
Show Figures

Figure 1

27 pages, 5449 KB  
Article
Integrated Experimental and Bioinformatic Analysis Reveals Synergistic Apoptotic, Antioxidant, and Immunomodulatory Effects of Hesperidin and Adriamycin in SKOV3 Ovarian Cancer Cells
by Aşkın Evren Güler, Mehmet Cudi Tuncer and İlhan Özdemir
Biomedicines 2025, 13(11), 2798; https://doi.org/10.3390/biomedicines13112798 - 17 Nov 2025
Viewed by 498
Abstract
Background/Objectives: Ovarian cancer remains one of the most lethal gynecologic malignancies, primarily due to late diagnosis and the development of chemoresistance. Adriamycin (ADR) is effective but limited by systemic toxicity. Natural bioflavonoids such as hesperidin (Hes) may enhance chemotherapy efficacy through oxidative, apoptotic, [...] Read more.
Background/Objectives: Ovarian cancer remains one of the most lethal gynecologic malignancies, primarily due to late diagnosis and the development of chemoresistance. Adriamycin (ADR) is effective but limited by systemic toxicity. Natural bioflavonoids such as hesperidin (Hes) may enhance chemotherapy efficacy through oxidative, apoptotic, and immune modulation. This study investigated the antiproliferative, pro-apoptotic, and immunomodulatory effects of Hes and ADR in human ovarian adenocarcinoma cells (SKOV3), focusing on Forkhead box P3 (FOXP3) and epidermal growth factor receptor (EGFR) signaling pathways. Methods: SKOV3 were treated with increasing concentrations of Hes (10–400 µM) and ADR (0.01–0.4 µM), either individually or in combination at their half-maximal inhibitory concentration (IC50) ratios. Cell viability (MTT assay), gene expression (qRT-PCR), cytokine levels (ELISA), and total antioxidant capacity (TAC) were assessed to evaluate treatment responses. Results: Both agents reduced cell viability in a dose- and time-dependent manner, with the combination exhibiting synergistic cytotoxicity after 48 h. Co-treatment markedly upregulated Caspase-3 and Bax while downregulating FOXP3 and EGFR. Antioxidant capacity was significantly enhanced in the Hes-treated and combination groups (p < 0.001). Conclusions: Hes and ADR synergistically suppressed proliferation, induced apoptosis, and modulated cytokine balance by inhibiting FOXP3- and EGFR-mediated oncogenic signaling. This combination demonstrates strong potential as an adjuvant therapeutic strategy for ovarian cancer. Full article
(This article belongs to the Special Issue New Advances in Ovarian Cancer)
Show Figures

Figure 1

18 pages, 3441 KB  
Article
Dendritic Inhibition Effects in Memory Retrieval of a Neuromorphic Microcircuit Model of the Rat Hippocampus
by Nikolaos Andreakos and Vassilis Cutsuridis
Brain Sci. 2025, 15(11), 1219; https://doi.org/10.3390/brainsci15111219 - 13 Nov 2025
Viewed by 481
Abstract
Background: Studies have shown that input comparison in the hippocampus between the Schaffer collateral (SC) input in apical dendrites and the perforant path (PP) input in the apical tufts dramatically changes the activity of pyramidal cells (PCs). Equally, dendritic inhibition was shown to [...] Read more.
Background: Studies have shown that input comparison in the hippocampus between the Schaffer collateral (SC) input in apical dendrites and the perforant path (PP) input in the apical tufts dramatically changes the activity of pyramidal cells (PCs). Equally, dendritic inhibition was shown to control PC activity by minimizing the depolarizing signals in their dendritic trees, controlling the synaptic integration time window, and ensuring temporal firing precision. Objectives: We computationally investigated the diverse roles of inhibitory synapses on the PC dendritic arbors of a CA1 microcircuit model in mnemonic retrieval during the co-occurrence of SC and PP inputs. Results: Our study showed inhibition in the apical PC dendrites mediated thresholding of firing during memory retrieval by restricting the depolarizing signals in the dendrites of non-engram cells, thus preventing them from firing, and ensuring perfect memory retrieval (only engram cells fire). On the other hand, inhibition in the apical dendritic tuft removed interference from spurious EC during recall. When EC drove only the engram cells of the SC input cue, recall was perfect under all conditions. Removal of apical tuft inhibition had no effect on recall quality. When EC drove 40% of engram cells and 60% of non-engram cells of the SC input cue, recall was disrupted, and this disruption was worse when the apical tuft inhibition was removed. When EC drove only the non-engram cells of the cue, then recall was perfect again but only when the population of engram cells was small. Removal of the apical tuft inhibition disrupted recall performance when the population of engram cells was large. Conclusions: Our study deciphers the diverse roles of dendritic inhibition in mnemonic processing in the CA1 microcircuit of the rat hippocampus. Full article
Show Figures

Figure 1

24 pages, 2524 KB  
Article
Phenotype-First Diagnostic Framework for Tracking Fluoroquinolone Resistance in Escherichia coli
by Eman Marzouk and Abdulaziz M. Almuzaini
Diagnostics 2025, 15(22), 2831; https://doi.org/10.3390/diagnostics15222831 - 7 Nov 2025
Viewed by 644
Abstract
Background: Fluoroquinolone (FQ) resistance in Escherichia coli (E. coli) undermines empiric therapy and often coincides with multidrug resistance (MDR). Because sequencing is not routinely available in many laboratories, we evaluated a phenotype-first, sequencing-independent diagnostic framework deployable on standard platforms. Methods: We [...] Read more.
Background: Fluoroquinolone (FQ) resistance in Escherichia coli (E. coli) undermines empiric therapy and often coincides with multidrug resistance (MDR). Because sequencing is not routinely available in many laboratories, we evaluated a phenotype-first, sequencing-independent diagnostic framework deployable on standard platforms. Methods: We profiled 45 archived E. coli isolates for susceptibility (Clinical and Laboratory Standards Institute [CLSI]-guided), extended-spectrum β-lactamase (ESBL) and AmpC β-lactamase (AmpC) phenotypes, MDR, and multiple-antibiotic resistance (MAR) indices. Ten founders (five FQ-susceptible [FQ-S], five low-level resistant [LLR]) seeded 20 parallel lineages exposed to stepwise ciprofloxacin. We tracked minimum inhibitory concentrations (MICs), collateral resistance, growth kinetics, and biofilm biomass using matrix-assisted laser desorption/ionization time-of-flight mass spectrometry (MALDI-TOF MS) for identification, automated and reference antimicrobial susceptibility testing (AST), growth-curve analysis, and crystal violet microtiter assays. The intended use is a sequencing-independent workflow for routine laboratories—especially where whole-genome sequencing is not readily available—working with archived or prospective clinical E. coli. This workflow is best applied when local FQ nonsusceptibility threatens empiric reliability; inputs include standard ID/AST with simple growth and biofilm assays. Primary outputs include: (i) MIC trajectories with time to high-level resistance (HLR), (ii) ΔMAR-summarized collateral resistance with class-level susceptible-to-resistant conversions, and (iii) concise fitness/biofilm summaries to guide empiric-policy refresh and early de-escalation. Results: At baseline, ciprofloxacin nonsusceptibility was 40.0%; ESBL and AmpC phenotypes were confirmed in 28.9% and 15.6%, respectively; 46.7% met the MDR definition; and the median MAR index was 0.29. During evolution, 70% of lineages reached HLR (MIC ≥ 4 μg/mL), with earlier conversion from LLR versus FQ-S founders (median 7 vs. 11 passages). Collateral resistance emerged most often to third-generation cephalosporins (3GCs), trimethoprim–sulfamethoxazole, and tetracyclines, while carbapenem activity was preserved. MAR increased in parallel with rising MICs. Resistance acquisition imposed modest fitness costs (slightly reduced growth rates and longer lag phases) that were partly offset under subinhibitory ciprofloxacin, whereas biofilm biomass changed little. Conclusions: this phenotype-first, routine-laboratory workflow rapidly maps FQ resistance and clinically relevant co-selection in E. coli. In high-resistance settings, empiric FQ use is difficult to justify, and MAR trends provide practical co-selection signals for stewardship. This reproducible framework complements genomic surveillance and is directly applicable where sequencing is unavailable. Full article
Show Figures

Figure 1

22 pages, 4804 KB  
Article
Inhibition of Quorum Sensing-Mediated Biofilm Formation and Spoilage Factors in Pseudomonas fluorescens by Plasma-Activated Water
by Yi-Ming Zhao, Qing-Yun Zhang, Lin Zhang, Yu-Long Bao, Yi-Ting Guo, Liu-Rong Huang, Rong-Hai He, Hai-Le Ma and Da-Wen Sun
Foods 2025, 14(21), 3773; https://doi.org/10.3390/foods14213773 - 4 Nov 2025
Viewed by 1044
Abstract
Plasma-activated water (PAW) is an emerging disinfectant; however, its potential as a quorum sensing inhibitor (QSI) for biofilm control remains underexplored, and its action mechanisms have not been elucidated. This study investigated the effects of PAW on biofilm formation and spoilage factors secretion [...] Read more.
Plasma-activated water (PAW) is an emerging disinfectant; however, its potential as a quorum sensing inhibitor (QSI) for biofilm control remains underexplored, and its action mechanisms have not been elucidated. This study investigated the effects of PAW on biofilm formation and spoilage factors secretion in Pseudomonas fluorescens under sub-inhibitory conditions. PAW generated by treating water for 60 s (PAW-60) reduced biofilm biomass by up to 1.29 log CFU/mL after 12 h incubation. It also completely inhibited protease production (100%) and decreased siderophore production by 31.87%. N-butyryl-homoserine lactone (C4-HSL) was identified as the dominant signaling molecule, with its production decreasing by 34.34–84.07% following PAW treatments. Meanwhile, C4-HSL activity was significantly suppressed by 42.58–65.38%. An FTIR analysis revealed the formation of a new C=O group, indicating oxidative degradation of acyl homoserine lactones (AHLs). Exogenous C4-HSL progressively restored the biofilm biomass, spoilage factors production, and QS-related gene expression levels, with no significant difference observed compared with the control at 0.05 µg/mL (p < 0.05). The results suggest that the inhibitory effects of PAW are primarily due to the disruption of AHLs transduction in the QS pathway. Molecular docking showed that the long-lived reactive species in PAW could bind to AHLs’ synthetic protein (FadD1) and receptor protein (LuxR) via hydrogen bonding. PAW-60 reduced the spoilage activity of P. fluorescens inoculated into fish muscle juice and extended its shelf life from 8 to 10 days during storage at 4 °C. A strong positive correlation was observed between AHLs accumulation and the spoilage process. These findings demonstrate that PAW mitigates biofilm formation and food spoilage by blocking signaling transduction, which involves suppression of AHLs production, oxidative degradation of AHLs molecules, and disruption of AHLs recognition. Full article
Show Figures

Figure 1

15 pages, 7711 KB  
Article
Trem2-MICAL1-P-ERK Axis in Macrophages Confers Protection Against Toxoplasma gondii-Induced Adverse Pregnancy Outcomes
by Xiaoyu Geng, Haochen Yang, Zihan Wang, Ziqian Chen, Jinling Chen and Mei Yang
Pathogens 2025, 14(11), 1105; https://doi.org/10.3390/pathogens14111105 - 30 Oct 2025
Viewed by 542
Abstract
Toxoplasma gondii (T. gondii) infection during pregnancy can cause severe placental damage and fetal impairment. Although triggering the receptor expressed on myeloid cells 2 (Trem2) confers protection against T. gondii infection, the precise molecular mechanisms underlying this immunoregulatory role remain incompletely understood. [...] Read more.
Toxoplasma gondii (T. gondii) infection during pregnancy can cause severe placental damage and fetal impairment. Although triggering the receptor expressed on myeloid cells 2 (Trem2) confers protection against T. gondii infection, the precise molecular mechanisms underlying this immunoregulatory role remain incompletely understood. Using a mouse model, this study identifies a novel Trem2-MICAL1-P-ERK axis in macrophages that protects against T. gondii-induced adverse pregnancy outcomes (APO). RNA-seq of Trem2-overexpressing macrophages revealed significant upregulation of 1857 genes, with MICAL1 among the most markedly altered, highlighting its potential role in Trem2-mediated signaling. Mechanistically, correlation analysis, molecular docking, fluorescence co-localization, and immunoprecipitation assays demonstrate that Trem2 directly interacts with MICAL1, which modulates downstream phosphorylated ERK (P-ERK) signaling. In a T. gondii-infected murine pregnancy model, genetic ablation of Trem2 exacerbated pathogen-induced suppression of MICAL1 and P-ERK, whereas macrophage-specific overexpression of Trem2-DAP12 restored this signaling axis. Conversely, MICAL1 overexpression rescued P-ERK activation but failed to regulate Trem2 expression. Further studies in bone marrow-derived macrophages (BMDMs) revealed that Trem2 deficiency potentiated the inhibitory effects of soluble T. gondii antigens (TgAg) on MICAL1 and P-ERK. These findings elucidate how T. gondii disrupts placental immunity through targeted suppression of Trem2-mediated signaling and establish the Trem2-MICAL1-P-ERK cascade as a core regulatory pathway in immune homeostasis during pregnancy. Full article
Show Figures

Graphical abstract

18 pages, 741 KB  
Review
Immunopathogenesis and Therapeutic Implications in Basal Cell Carcinoma: Current Concepts and Future Directions
by Helen C. Steel, Theresa M. Rossouw, Ronald Anderson, Lindsay Anderson, Daniel van Tonder, Teresa Smit and Bernardo Leon Rapoport
Medicina 2025, 61(11), 1914; https://doi.org/10.3390/medicina61111914 - 25 Oct 2025
Viewed by 680
Abstract
This review is focused on understanding the reasons why basal cell carcinoma (BCC), the most common, increasingly prevalent cancer, is classified as an “immune excluded” malignancy. It is, despite manifesting one of the highest tumor mutational burdens of any solid human malignancy, considered [...] Read more.
This review is focused on understanding the reasons why basal cell carcinoma (BCC), the most common, increasingly prevalent cancer, is classified as an “immune excluded” malignancy. It is, despite manifesting one of the highest tumor mutational burdens of any solid human malignancy, considered to be a biomarker of enhanced tumor immunogenicity and efficacy of tumor-targeted immunotherapy. Following a brief clinical overview, the balance of the review addresses important translational issues based on recent insights into the mechanisms underpinning immune exclusion/evasion in BCC. These include, firstly, the role of infectious agents and non-infectious potential causes of predisposition for and/or exacerbation of disease development and progression. Secondly, an overview of existing and emerging novel therapeutic strategies to ameliorate immune exclusion in BCC based on targeting several key immunosuppressive mechanisms. These are (i) inappropriate activation of the hedgehog signaling pathway (HHSP) due to formation of key driver mutations; (ii) interference with the presentation of tumor-specific antigens/neoantigens to cytotoxic T-cells; (iii) attenuation of the influx of anti-tumor natural killer cells; (iv) the recruitment and activation of immune suppressive regulatory T-cells; and (v) localized and systemic immune dysfunction achieved via elevated levels of soluble co-inhibitory immune checkpoint proteins (ICPs). The final section is focused on current and emerging pharmacologic and immune-based therapies. Full article
Show Figures

Figure 1

12 pages, 5513 KB  
Article
Sustainable Cyanobacterial Bloom Control: Inhibitory Effects of Nano Zero-Valent Iron on Microcystis aeruginosa and Metabolic Disruption
by Guoming Zeng, Zilong Ma, Xiaoling Lei, Yong Xiao, Da Sun and Yuanyuan Huang
Toxics 2025, 13(11), 915; https://doi.org/10.3390/toxics13110915 - 24 Oct 2025
Viewed by 527
Abstract
The bloom of cyanobacteria has severely disrupted ecological balances, posing significant risks to human health and safety. However, there is currently a lack of environmentally friendly methods that can sustainably suppress these blooms over the long term. This study integrates untargeted metabolomics, Fourier-transform [...] Read more.
The bloom of cyanobacteria has severely disrupted ecological balances, posing significant risks to human health and safety. However, there is currently a lack of environmentally friendly methods that can sustainably suppress these blooms over the long term. This study integrates untargeted metabolomics, Fourier-transform infrared spectroscopy (FTIR), and scanning electron microscopy (SEM) to systematically characterize the responses of Microcystis aeruginosa to nano zero-valent iron (nZVI). Exposure to nZVI reprograms lipid and amino acid metabolism, coincides with the suppression of protein biosynthesis, and perturbs central pathways—including the tricarboxylic acid (TCA) cycle, photosynthesis, and carbohydrate metabolism—leading to disruptions in energy balance and metabolic homeostasis. FTIR and SEM provide complementary evidence of membrane compromise, with attenuation of -OH, -C-H, and C=O functional group signals, abnormal cell morphology, and progressive oxidative injury culminating in cell lysis and solute leakage. Together, these results support the inhibitory effect of nZVI on M. aeruginosa and provide insights to guide metabolomics studies of M. aeruginosa using nZVI. Full article
Show Figures

Graphical abstract

20 pages, 4371 KB  
Article
Inhibitory Effects of Syringic Acid on Endometrial Cancer Cell Growth and Migration and Its Synergistic Suppression with Doxorubicin
by Yi-Ting Kuo, Chi-Chang Chang, Yu Chang, Chin-Feng Hsuan, Tzu-Hsien Chang, Ya-Ling Chen, Hsin-Ya Houng, Yu-Chieh Su and Jer-Yiing Houng
Pharmaceuticals 2025, 18(11), 1596; https://doi.org/10.3390/ph18111596 - 22 Oct 2025
Viewed by 651
Abstract
Background/Objectives: Endometrial cancer (EC), a malignancy arising from the uterine lining, is a leading gynecological cancer in developed countries. Syringic acid (SA), a naturally occurring phenolic compound, possesses various bioactivities including antioxidant, anti-inflammatory, chemoprotective, and anti-angiogenic properties. This study aimed to investigate [...] Read more.
Background/Objectives: Endometrial cancer (EC), a malignancy arising from the uterine lining, is a leading gynecological cancer in developed countries. Syringic acid (SA), a naturally occurring phenolic compound, possesses various bioactivities including antioxidant, anti-inflammatory, chemoprotective, and anti-angiogenic properties. This study aimed to investigate the effects of SA on the proliferation and migration of RL95-2 EC cells, its protective role in normal endometrial stromal cells (HESCs), and the underlying molecular mechanisms. Furthermore, the potential synergistic anticancer effects of SA in combination with chemotherapeutic agents against EC were evaluated. Methods: Cell viability was assessed using nuclear fluorescence staining, the MTT assay, and clonogenic survival assay. Cell migration was evaluated through wound closure and Transwell migration assays. Gene expression levels were analyzed by the RT-PCR method. Results: SA significantly inhibited the proliferation of RL95-2 EC cells, with an IC50 value of 27.22 μM. Co-treatment with SA and the chemotherapeutic agent doxorubicin (Dox) demonstrated an additive inhibitory effect. Mechanistically, both SA and the SA-Dox combination induced apoptosis by upregulating the expression of caspases-3, -8, and -9, increasing the expression of pro-apoptotic genes (Bax and Bad), and downregulating anti-apoptotic genes (Bcl-XL and Bcl-2). Cell cycle analysis revealed the downregulation of cyclin D and the upregulation of tumor suppressors p21 and p27, contributing to growth arrest. In addition, both SA and the combination treatment effectively suppressed cell migration by downregulating matrix metalloproteinases (MMPs) and β-catenin. SA treatment also induced the expression of pro-inflammatory cytokines (TNF-α, IL-6, IL-1β) and activated NF-κB signaling, leading to an elevated expression of inflammatory mediators such as COX-2 and iNOS. Furthermore, SA promoted oxidative stress in RL95-2 cells by inhibiting the Nrf2 pathway and reducing the expression and activities of antioxidant enzymes including catalase, glutathione peroxidase, and superoxide dismutase, thereby enhancing reactive oxygen species (ROS) accumulation. In contrast, in lipopolysaccharide-stimulated HESC cells, SA attenuated inflammation and ROS generation, indicating its selective cytoprotective role in normal endometrial cells. Conclusions: SA may serve as a promising adjuvant candidate to enhance chemotherapeutic efficacy while protecting normal cells by mitigating inflammation and oxidative stress. Full article
(This article belongs to the Topic Advances in Anti-Cancer Drugs: 2nd Edition)
Show Figures

Graphical abstract

20 pages, 2809 KB  
Article
Evaluation of TAM Receptor Targeting in Pathophysiology of Idiopathic Pulmonary Fibrosis
by Nicole Vercellino, Luciana L. Ferreira, Elisa Zoppis, Alice Di Tizio, Zohre Sabihi Ahvaz, Rosalba Minisini, Francesco Gavelli, Pier Paolo Sainaghi, Filippo Patrucco and Mattia Bellan
Medicina 2025, 61(10), 1837; https://doi.org/10.3390/medicina61101837 - 14 Oct 2025
Viewed by 924
Abstract
Background and Objectives: TAM receptors—Tyro3, Axl, and Mer—and their ligand Growth Arrest-Specific 6 (Gas6) represent a pleiotropic system implicated in fibrosis. Increased Gas6 and Axl expression have previously been observed in lung samples and fibroblast cultures from Idiopathic Pulmonary Fibrosis (IPF) patients. [...] Read more.
Background and Objectives: TAM receptors—Tyro3, Axl, and Mer—and their ligand Growth Arrest-Specific 6 (Gas6) represent a pleiotropic system implicated in fibrosis. Increased Gas6 and Axl expression have previously been observed in lung samples and fibroblast cultures from Idiopathic Pulmonary Fibrosis (IPF) patients. The study explored the contribution of Gas6/TAM system in fibrosis development and the impact of its pharmacological inhibition in fibroblasts. Materials and Methods: IPF fibroblasts (IPF FBs) and control human pulmonary fibroblasts (HPFs) were treated with R428 (Axl-specific inhibitor), LDC1267 (TAM inhibitor), or Nintedanib (an IPF-approved drug) to evaluate the influence of these drugs on cell proliferation, migration, and the expression of pro-inflammatory and pro-fibrotic genes. Fibroblast-to-myofibroblast differentiation was induced by TGF-β. The impact of IPF FBs and HPF on macrophage polarization was investigated through a co-culture of fibroblasts with monocyte-derived macrophages, with the further gene expression analysis of markers of the M1 (pro-inflammatory) or M2 (pro-fibrotic) polarization forms. Results: Cell proliferation was monitored in fibroblasts treated with TGF-β, the drugs, and their combination. In the presence of LDC1267 and Nintedanib, minor differences in cell confluence were detected between IPF FBs and HPFs; R428 (1 μM) seemed to have a higher inhibitory impact on IPF FBs. Regarding cell migration, the fibroblasts treated with LDC1267 exhibited slower wound closure. R428 treatment led to a relative wound closure of 76% in HPFs but only 56% in IPF FBs (60 h). R428 (1 μM) significantly reduced the expression of the pro-fibrotic markers ACTA2, COL1A1, and FN1 in HPFs and IPF FBs compared to TGF-β treatment. HPFs and IPF FBs co-cultured with monocyte-derived macrophages demonstrated a significantly increased expression of MRC1 while the expression of FN1, TNFα, and CXCL10 was moderately increased. Conclusions: These findings suggest that R428 and LDC1267 modulate the proliferation, migration, and gene expression of activated fibroblasts via TAM signaling. Fibroblast-mediated effects on macrophage polarization underscore the relevance of intercellular crosstalk in fibrotic disease. Full article
(This article belongs to the Section Pulmonology)
Show Figures

Figure 1

20 pages, 1667 KB  
Review
The Two-Pore Channel 2 in Human Physiology and Diseases: Functional Characterisation and Pharmacology
by Laura Lagostena, Velia Minicozzi, Martina Meucci, Antonella Gradogna, Stefan Milenkovic, Fioretta Palombi, Matteo Ceccarelli, Antonio Filippini and Armando Carpaneto
Int. J. Mol. Sci. 2025, 26(19), 9708; https://doi.org/10.3390/ijms26199708 - 6 Oct 2025
Viewed by 1134
Abstract
Two-pore channel 2 (TPC2) is a member of the endolysosomal ion channel family, playing critical roles in intracellular calcium signaling and endomembrane dynamics. This review provides an in-depth analysis of TPC2, covering its structural and functional properties, physiological roles, and involvement in human [...] Read more.
Two-pore channel 2 (TPC2) is a member of the endolysosomal ion channel family, playing critical roles in intracellular calcium signaling and endomembrane dynamics. This review provides an in-depth analysis of TPC2, covering its structural and functional properties, physiological roles, and involvement in human diseases. We discuss current experimental approaches to studying TPC2, including heterologous expression in plant vacuoles and computational modeling strategies. Particular emphasis is placed on the structural determinants of ion permeation, with a focus on the selectivity filter and the central cavity’s influence on channel kinetics. Furthermore, we explore emerging roles of TPC2 in viral infections, particularly SARS-CoV-2, and in cancer, including melanoma progression and neoangiogenesis. The inhibitory potential of natural compounds, such as naringenin, is also examined. By offering a comprehensive overview of current knowledge and methodologies, this review underscores the potential of TPC2 as a promising pharmacological target in both infectious and neoplastic diseases. Full article
Show Figures

Figure 1

29 pages, 15230 KB  
Article
Harpagide Confers Protection Against Acute Lung Injury Through Multi-Omics Dissection of Immune–Microenvironmental Crosstalk and Convergent Therapeutic Mechanisms
by Hong Wang, Jicheng Yang, Yusheng Zhang, Jie Wang, Shaoqi Song, Longhui Gao, Mei Liu, Zhiliang Chen and Xianyu Li
Pharmaceuticals 2025, 18(10), 1494; https://doi.org/10.3390/ph18101494 - 4 Oct 2025
Cited by 1 | Viewed by 984
Abstract
Background: Acute lung injury (ALI) and its severe form, acute respiratory distress syndrome (ARDS), remain major causes of morbidity and mortality, yet no targeted pharmacological therapy is available. Excessive neutrophil and macrophage infiltration drives reactive oxygen species (ROS) production and cytokine release, leading [...] Read more.
Background: Acute lung injury (ALI) and its severe form, acute respiratory distress syndrome (ARDS), remain major causes of morbidity and mortality, yet no targeted pharmacological therapy is available. Excessive neutrophil and macrophage infiltration drives reactive oxygen species (ROS) production and cytokine release, leading to alveolar–capillary barrier disruption and fatal respiratory failure. Methods: We applied an integrative multi-omics strategy combining single-cell transcriptomics, peripheral blood proteomics, and lung tissue proteomics in a lipopolysaccharide (LPS, 10 mg/kg)-induced mouse ALI model to identify key signaling pathways. Harpagide, an iridoid glycoside identified from our natural compound screen, was evaluated in vivo (40 and 80 mg/kg) and in vitro (0.1–1 mg/mL). Histopathology, oxidative stress markers (SOD, GSH, and MDA), cytokine levels (IL-6 and IL-1β), and signaling proteins (HIF-1α, p-PI3K, p-AKT, Nrf2, and HO-1) were quantitatively assessed. Direct target engagement was probed using surface plasmon resonance (SPR), the cellular thermal shift assay (CETSA), and 100 ns molecular dynamics (MD) simulations. Results: Multi-omics profiling revealed robust activation of HIF-1, PI3K/AKT, and glutathione-metabolism pathways following the LPS challenge, with HIF-1α, VEGFA, and AKT as core regulators. Harpagide treatment significantly reduced lung injury scores by ~45% (p < 0.01), collagen deposition by ~50%, and ROS accumulation by >60% relative to LPS (n = 6). The pro-inflammatory cytokines IL-6 and IL-1β were reduced by 55–70% at the protein level (p < 0.01). Harpagide dose-dependently suppressed HIF-1α and p-AKT expression while enhancing Nrf2 and HO-1 levels (p < 0.05). SPR confirmed direct binding of Harpagide to HIF-1α (KD = 8.73 µM), and the CETSA demonstrated enhanced thermal stability of HIF-1α. MD simulations revealed a stable binding conformation within the inhibitory/C-TAD region after 50 ns. Conclusions: This study reveals convergent immune–microenvironmental regulatory mechanisms across cellular and tissue levels in ALI and demonstrates the protective effects of Harpagide through multi-pathway modulation. These findings offer new insights into the pathogenesis of ALI and support the development of “one-drug, multilayer co-regulation” strategies for systemic inflammatory diseases. Full article
(This article belongs to the Section Pharmacology)
Show Figures

Graphical abstract

Back to TopTop