Sign in to use this feature.

Years

Between: -

Subjects

remove_circle_outline
remove_circle_outline
remove_circle_outline
remove_circle_outline
remove_circle_outline
remove_circle_outline
remove_circle_outline
remove_circle_outline
remove_circle_outline

Journals

remove_circle_outline
remove_circle_outline
remove_circle_outline
remove_circle_outline
remove_circle_outline
remove_circle_outline
remove_circle_outline
remove_circle_outline
remove_circle_outline
remove_circle_outline
remove_circle_outline

Article Types

Countries / Regions

remove_circle_outline
remove_circle_outline
remove_circle_outline
remove_circle_outline

Search Results (1,062)

Search Parameters:
Keywords = claudin

Order results
Result details
Results per page
Select all
Export citation of selected articles as:
21 pages, 9644 KB  
Article
Brain-Derived Cystathionine β-Synthase-Generated H2S Attenuates Cerebral Ischemia–Reperfusion Injury via VEGFR2-Mediated Angiogenesis in MCAO/R Rats
by Shuai Liang, La Jiang, Yu Jiang, Shan Wang, Jia-Rong Jiang, Ji-Yue Wen, Zhi-Wu Chen and Shuo Chen
Curr. Issues Mol. Biol. 2026, 48(4), 418; https://doi.org/10.3390/cimb48040418 (registering DOI) - 18 Apr 2026
Abstract
Ischemic stroke (IS) remains a major cause of global disability and mortality. While exogenous H2S has demonstrated neuroprotective potential, the role of endogenous H2S generated by cystathionine β-synthase (CBS) in cerebral ischemia–reperfusion injury (CIRI) remains incompletely elucidated. L-Cysteine (L-Cys), [...] Read more.
Ischemic stroke (IS) remains a major cause of global disability and mortality. While exogenous H2S has demonstrated neuroprotective potential, the role of endogenous H2S generated by cystathionine β-synthase (CBS) in cerebral ischemia–reperfusion injury (CIRI) remains incompletely elucidated. L-Cysteine (L-Cys), as a substrate for CBS, serves as a key precursor for endogenous H2S. Using the established pre-clinical model of CIRI—middle cerebral artery occlusion/reperfusion (MCAO/R) in rats—we investigated the neuroprotective effects of brain-derived CBS-generated H2S through neurological function scoring, 2,3,5-triphenylchlorotetrazole (TTC) staining, enzyme-linked immunosorbent assay (ELISA), and histopathological examination. Immunofluorescence, Western blot, and laser speckle contrast imaging were utilized to analyze the protein expression of ZO-1, claudin-5, CBS, vascular endothelial growth factor receptor-2 (VEGFR2) and CD31, as well as cerebral blood flux changes. L-Cys treatment ameliorated neurological deficits, reduced cerebral infarct volume, decreased serum lactate dehydrogenase (LDH) and neuron-specific enolase (NSE) levels, attenuated histopathological damage, alleviated cerebral edema, and restored blood–brain barrier integrity via upregulation of tight junction proteins ZO-1 and claudin-5. Additionally, L-Cys improved MCAO/R-induced cognitive impairment and behavioral deficits. Furthermore, L-Cys upregulated CBS and VEGFR2 expression, enhanced endogenous H2S production, promoted post-ischemic cerebral angiogenesis, and improved cerebral blood flux recovery. CBS-derived H2S promoted post-ischemic angiogenesis mediated by VEGFR2, enhances cerebral reperfusion flux, and consequently ameliorated MCAO/R-induced CIRI in rats, providing experimental evidence for clinical translation. Full article
(This article belongs to the Section Molecular Pharmacology)
Show Figures

Figure 1

15 pages, 3961 KB  
Article
Quercetagetin Ameliorates Heat Stress-Induced Intestinal Damage via Oxidative Stress, Inflammation and Gut Microbiota in Mice
by Xiuqiong Huang, Mingcan Wang, Zhixing Qing and Jianguo Zeng
Microorganisms 2026, 14(4), 896; https://doi.org/10.3390/microorganisms14040896 - 16 Apr 2026
Viewed by 36
Abstract
Quercetagetin (QG), a principal flavonol from marigold (Tagetes erecta L.), is recognized for its potent antioxidant properties. However, its efficacy in mitigating intestinal injury under heat stress (HS) conditions remains unclear. We investigated the protective effects of QG using a mouse model [...] Read more.
Quercetagetin (QG), a principal flavonol from marigold (Tagetes erecta L.), is recognized for its potent antioxidant properties. However, its efficacy in mitigating intestinal injury under heat stress (HS) conditions remains unclear. We investigated the protective effects of QG using a mouse model of HS (41 °C, 70% humidity). Mice received oral QG (100 mg/kg/day) or saline for seven consecutive days before and during HS exposure. We assessed jejunal histopathology, oxidative stress markers, inflammatory cytokines, gene expression, and gut microbiota composition via 16S rRNA sequencing. QG supplementation significantly ameliorated HS-induced jejunal damage. It enhanced the activities of superoxide dismutase (SOD) and catalase (CAT) while reducing malondialdehyde (MDA) and pro-inflammatory cytokines (IL-1β, IL-6, TNF-α). QG downregulated the mRNA expression of heat shock proteins (Hsp70, Hsp90) and upregulated antioxidant-related genes (SOD1, GPX4, CAT, NQO1, Nrf2). Furthermore, QG preserved intestinal barrier integrity by upregulating tight junction proteins (Occludin, Zo-1, Claudin). 16S rRNA analysis revealed that QG significantly reshaped the gut microbiota, marked by an increased relative abundance of Lactobacillus and a decrease in potentially harmful taxa such as Allobaculum, Oscillibacter, and Colidextribacter. QG effectively alleviates HS-induced intestinal injury by enhancing antioxidant capacity, suppressing inflammation, and modulating the gut microbiota. These findings provide a scientific basis for the potential application of QG as a functional feed additive to improve animal health under heat stress conditions. Full article
(This article belongs to the Section Gut Microbiota)
Show Figures

Figure 1

16 pages, 4987 KB  
Article
Prognostic and Predictive Significance of Claudin-6 Expression in Advanced-Stage High-Grade Serous Ovarian Carcinoma
by Teyfik Demir, Mehmet Kefeli, Ayşe Rumeysa Aydoğan Demir, Fatma Nur Uygun, Melih Akpunar, Elif Tekce Yıldız and Güzin Demirağ
Diagnostics 2026, 16(8), 1175; https://doi.org/10.3390/diagnostics16081175 - 15 Apr 2026
Viewed by 97
Abstract
Background/Objectives: Claudin-6 (CLDN6) is an oncofetal tight junction protein that has recently emerged as a promising therapeutic target in various solid tumors. Despite this potential, the clinical significance of CLDN6 expression in advanced-stage high-grade serous ovarian carcinoma (HGSC)—specifically its role in platinum [...] Read more.
Background/Objectives: Claudin-6 (CLDN6) is an oncofetal tight junction protein that has recently emerged as a promising therapeutic target in various solid tumors. Despite this potential, the clinical significance of CLDN6 expression in advanced-stage high-grade serous ovarian carcinoma (HGSC)—specifically its role in platinum resistance—remains poorly understood. Methods: This retrospective study analyzed 119 patients with newly diagnosed FIGO stage III–IV HGSC who received platinum-based chemotherapy at a single tertiary center between 2015 and 2025. CLDN6 expression was evaluated via immunohistochemistry (IHC) on formalin-fixed paraffin-embedded (FFPE) tumor samples. High CLDN6 expression was defined as moderate-to-strong membranous staining in ≥50% of tumor cells. Clinicopathologic associations were assessed using chi-square tests, while logistic regression analysis identified predictors of platinum resistance. Finally, overall survival (OS) and progression-free survival (PFS) were evaluated using Kaplan–Meier methods and Cox proportional hazards models. Results: High CLDN6 expression was observed in 31 patients (26%). CLDN6 expression was not significantly associated with age, CA-125 level, lymph node metastasis, distant metastasis, surgical approach, or residual disease status. However, high CLDN6 expression was significantly associated with platinum resistance (61.3% vs. 28.4%, p = 0.001). In multivariable logistic regression analysis, residual disease (OR = 10.12, p > 0.001), high CLDN6 expression (OR = 4.52, p = 0.008), and elevated CA-125 levels (OR = 0.64, p = 0.041) were independently associated with platinum resistance. Median OS for the entire cohort was 43.8 months. High CLDN6 expression was associated with shorter OS (38.0 vs. 45.7 months, p = 0.042) and remained an independent predictor of mortality in multivariable Cox analysis (HR = 1.90, p = 0.026). CLDN6 expression showed a trend toward shorter PFS but did not reach statistical significance (p = 0.096). Conclusions: High CLDN6 expression is associated with platinum resistance and inferior overall survival in patients with advanced-stage HGSC. These findings suggest that CLDN6 may serve as a clinically relevant biomarker for chemoresistance and tumor aggressiveness. In the context of emerging CLDN6-targeted therapies, routine assessment of CLDN6 expression may facilitate the development of biomarker-driven therapeutic strategies for advanced ovarian cancer. Full article
(This article belongs to the Section Pathology and Molecular Diagnostics)
19 pages, 2167 KB  
Article
From Luminal to Triple Negative: 3D Spheroids Reveal Molecular and Phenotypic Differences Across Breast Cancer Subtypes
by Maria Miguel Castro, Letícia Maretti, Catarina Esquível, Bárbara Sousa, Carmen Jerónimo, Andrew J. Ewald and Joana Paredes
Int. J. Mol. Sci. 2026, 27(8), 3529; https://doi.org/10.3390/ijms27083529 - 15 Apr 2026
Viewed by 149
Abstract
Breast cancer is classified into distinct molecular subtypes, including Luminal A, Luminal B, HER2-enriched, Basal-like, and Claudin-low. While traditional studies mostly use 2D cell cultures, 3D models better mimic in vivo tumor conditions. In this study, we generated and characterized 3D spheroids from [...] Read more.
Breast cancer is classified into distinct molecular subtypes, including Luminal A, Luminal B, HER2-enriched, Basal-like, and Claudin-low. While traditional studies mostly use 2D cell cultures, 3D models better mimic in vivo tumor conditions. In this study, we generated and characterized 3D spheroids from breast cancer cell lines representing different molecular subtypes. Morphologically, spheroids were either compact (MCF-7/AZ, T47D, BT474, MDA-IBC-3, BT-20, SUM149PT) or loosely adhered (MDA-MB-468, SK-BR-3, MDA-MB-231), while retaining key parental subtype biomarkers. Cell viability decreased with increasing spheroid size, but apoptotic cCasp3 staining was restricted to Basal-like spheroids. Compact spheroids expressed E- and/or P-cadherin, indicating epithelial or epithelial–mesenchymal transition (EMT) hybrid traits, while loose spheroids showed vimentin expression linked to a mesenchymal phenotype. Overall, EMT status, rather than molecular subtype, primarily determined spheroid morphology. In conclusion, EMT-associated features, rather than intrinsic molecular subtype, may contribute to 3D spheroid architecture of breast cancer cell lines. Full article
(This article belongs to the Special Issue Recent Advances in 3D Tumor Models for Cancer Research)
17 pages, 3787 KB  
Article
Giant Panda Feces-Derived Weissella confusa BSP201703 Protects Mice Against Chronic ETEC Infection by Repairing Intestinal Barrier Function
by Yan Zeng, Lvchen Xiong, Yi Zhou, Jie Wang, Lei Liu, Ziyao Zhou, Bo Jing, Kangcheng Pan, Dong Zeng, Zhijun Zhong and Xueqin Ni
Vet. Sci. 2026, 13(4), 382; https://doi.org/10.3390/vetsci13040382 - 15 Apr 2026
Viewed by 135
Abstract
Enterotoxigenic Escherichia coli (ETEC) causes severe intestinal infections in animals and threatens public health under the One Health framework. Most conventional studies focus on acute short-term ETEC infection, while natural persistent colonization oftern induces chronic intestinal mucosal compensatory remodeling in hosts. This study [...] Read more.
Enterotoxigenic Escherichia coli (ETEC) causes severe intestinal infections in animals and threatens public health under the One Health framework. Most conventional studies focus on acute short-term ETEC infection, while natural persistent colonization oftern induces chronic intestinal mucosal compensatory remodeling in hosts. This study evaluated the protective effects of giant panda-derived Weissella confusa BSP201703 against chronic ETEC-induced intestinal damage using a giant panda fecal microbiota-associated (GPF) mouse model. Seventy-two Kunming mice were divided into six groups: blank control (C1), GPF control (C2), ETEC control (C3), and three W. confusa BSP201703 groups at low (1.0 × 107 cfu/mL, W1), medium (1.0 × 108 cfu/mL, W2), and high (1.0 × 109 cfu/mL, W3) doses. Mice were first subjected to continuous ETEC challenge for 5 days to establish stable chronic intestinal injury, followed by a subsequent 5-day intervention with probiotic or sterile PBS for repairing existing damage. Growth performance, histopathology, serum D-lactate, SIgA, tight junction genes (ZO-1, Occludin, Claudin-1), and gut microbiota were analyzed. Histomorphologically, the chronic ETEC challenge induced compensatory increases in ileal villus height and crypt depth, which differed from typical acute necrotic atrophy. W. confusa BSP201703 mitigated ETEC-induced damage, reduced serum D-lactate (p < 0.05), increased SIgA, and upregulated tight junctions (p < 0.05). Microbial results demonstrated that medium-dose W2 maximized microbial diversity, while W1/W3 selectively enriched beneficial Bacteroidetes, Clostridium cluster IV, and Clostridium cluster XIVa taxa, confirming that moderate doses yielded optimal protection. In conclusion, W. confusa BSP201703 relieves ETEC injury by enhancing intestinal barrier function and regulating gut microbiota, highlighting its potential as a wildlife probiotic for One Health applications. Full article
Show Figures

Figure 1

27 pages, 4176 KB  
Article
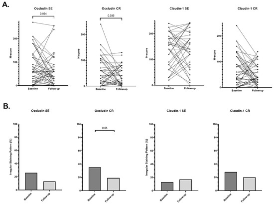
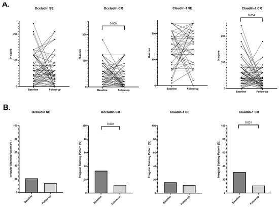
Crypt-Level Tight Junction Remodeling Is Associated with Disease Course and Clinical Outcomes in Inflammatory Bowel Disease
by Efthymios P. Tsounis, Christina Geramoutsou, Ploutarchos Pastras, Ioanna Aggeletopoulou, Pinelopi Bosgana, Theoni Lourida, Georgia Diamantopoulou, Sofia Ritsatou, Efthymios Koniaris, Gerassimos J. Mantzaris, Vasiliki Zolota, Stelios F. Assimakopoulos, Vasiliki Bravou, Konstantinos Thomopoulos, Georgios Theocharis and Christos Triantos
Cells 2026, 15(8), 695; https://doi.org/10.3390/cells15080695 - 15 Apr 2026
Viewed by 199
Abstract
Background: Intestinal barrier dysfunction is a hallmark of inflammatory bowel disease (IBD), yet the clinical significance of tight junction (TJ) remodeling remains unclear. We investigated whether alterations in the expression and localization of key TJ proteins are associated with disease activity and clinical [...] Read more.
Background: Intestinal barrier dysfunction is a hallmark of inflammatory bowel disease (IBD), yet the clinical significance of tight junction (TJ) remodeling remains unclear. We investigated whether alterations in the expression and localization of key TJ proteins are associated with disease activity and clinical outcomes in IBD. Methods: This retrospective, single-center study included patients with Crohn’s disease (CD; n = 100), ulcerative colitis (UC; n = 120), and healthy controls (n = 80). Immunohistochemistry was used to assess the expression and subcellular localization of occludin and claudin-1 separately in surface (SE) and crypt epithelium (CR), with staining classified as predominantly membranous (regular) or cytoplasmic (irregular). The primary endpoint was IBD-related hospitalization. Secondary endpoints included surgery, initiation of biologic therapy, and clinical relapse. Logistic and Cox regression models were applied, and longitudinal changes were assessed in paired biopsies. Results: Both occludin and claudin-1 were dysregulated in active disease, showing increased expression and cytoplasmic redistribution compared with remission and controls. TJ alterations were more pronounced in the CR and correlated with clinical, endoscopic, and histological activity. In CD, occludin CR overexpression was independently associated with hospitalization (aOR 1.010; p = 0.05) and surgery (aHR 1.013; p = 0.005), while irregular occludin CR staining was associated with initiation of biologic therapy (aOR 3.48; p = 0.03). In UC, increased occludin CR levels and irregular CR staining were associated with IBD-related hospitalization in multivariable analyses (aOR 1.014; p = 0.035 and aOR 2.78; p = 0.032, respectively). Higher occludin CR levels identified UC patients at increased risk of clinical relapse (aHR 1.012; p = 0.002). In paired biopsies (n = 127), TJ architecture—particularly in the CR—improved over time, with reduced expression and a shift toward membranous localization, most prominently in bio-experienced patients. Conclusions: TJ remodeling, particularly crypt-level occludin dysregulation, is associated with disease activity and clinical outcomes, capturing a clinically relevant dimension of epithelial barrier dysfunction in IBD. Full article
Show Figures

Figure 1

20 pages, 2825 KB  
Article
Dietary Supplementation with Organic Acids Improves Production Performance and Intestinal Health of Largemouth Bass
by Chaoran Ma, Yang Xiao, Shengquan Xiong, Jiao Yu, Wenyan Chen, Yuanfa He, Yongjun Chen and Shimei Lin
Animals 2026, 16(8), 1198; https://doi.org/10.3390/ani16081198 - 15 Apr 2026
Viewed by 214
Abstract
Organic acid supplementation in aquafeed plays a crucial role in enhancing fish health and performance, contributing to sustainable aquaculture practices amid growing global demand for protein sources. In a feeding trial lasting 8 weeks, 360 juvenile fish (43.5 ± 0.23 g) were randomly [...] Read more.
Organic acid supplementation in aquafeed plays a crucial role in enhancing fish health and performance, contributing to sustainable aquaculture practices amid growing global demand for protein sources. In a feeding trial lasting 8 weeks, 360 juvenile fish (43.5 ± 0.23 g) were randomly assigned to four groups (three replicates per group; 30 fish per replicate), following one of four dietary regimens: the control (CON), or the control diet supplemented with 0.3% citric acid, 0.3% fumaric acid, or 0.3% malic acid. The supplementation of diets with the three organic acids significantly promoted weight gain (WG) and specific growth rate (SGR). Additionally, a significant increase in the activities of serum antioxidant enzymes (SOD, CAT, AKP) was recorded, with concomitant decreases observed in hepatic parameters (TG, GLU, ALT, AST) and the serum lipid peroxidation product MDA. Similarly, the organic acids supplementation also enhanced the hepatic antioxidant capacity (CAT, T-AOC, GSH-PX) and their gene expression levels, and decreased hepatic lipid and glycogen levels. Additionally, dietary organic acid supplementation significantly enhanced the activities of both digestive and antioxidant enzymes in the intestine. Furthermore, it improved intestinal morphology, as evidenced by increases in villus height, villus width, and muscular thickness. Moreover, supplementation with organic acids improved intestinal permeability, mediated through the suppression of serum DAO activity and LPS levels, accompanied by upregulated intestinal expression of junction complex components (Claudin-1, ZO-1, Occludin-1) and downregulated pro-inflammatory mediators (tnf-α, il-1β). The 16S rRNA sequencing demonstrated that CA induced a significant shift in the intestinal microbiota composition, marked by an elevated relative abundance of Firmicutes (including Streptococcus) and Acinetobacter, along with a decreased abundance of Aeromonas. These findings demonstrate that organic acids may enhance fish growth performance and intestinal health through their modulating effects on gut microbiota, intestinal development, immune responses, and antioxidant capacity. Notably, the dietary CA supplementation exhibited the most pronounced efficacy. Full article
(This article belongs to the Section Aquatic Animals)
Show Figures

Figure 1

18 pages, 2725 KB  
Article
Ameliorative Effects of Liquiritin Carbomer Gel on Dinitrofluorobenzene-Induced Atopic Dermatitis in Mice
by Yun Zhang, Qiqing Tan, Sijia Li, Xiangdi Hu, Aoxiang Luo and Ming Li
Gels 2026, 12(4), 328; https://doi.org/10.3390/gels12040328 - 14 Apr 2026
Viewed by 289
Abstract
Atopic dermatitis (AD) is a chronic inflammatory skin disease characterized by dryness and itching. Steroids are the most common therapeutic agents, may induce skin atrophy, and damage the skin barrier. Therefore, we need to find a safer alternative option. Liquiritin (LQ), a flavonoid [...] Read more.
Atopic dermatitis (AD) is a chronic inflammatory skin disease characterized by dryness and itching. Steroids are the most common therapeutic agents, may induce skin atrophy, and damage the skin barrier. Therefore, we need to find a safer alternative option. Liquiritin (LQ), a flavonoid compound extracted from licorice rhizomes, possesses anticancer, anti-inflammatory, and antioxidant effects. This study aimed to investigate the therapeutic effects of LQ on AD, focusing on its potential skin barrier-protective and anti-inflammatory mechanisms. In this research, we prepared liquiritin carbomer gel (LQ-CG) and assessed its treatment effects on mice with AD triggered by 2,4-dinitrofluorobenzene (DNFB). It effectively attenuated AD progression by ameliorating skin lesions, decreasing epidermal thickness and mast cell infiltration, downregulating inflammatory cytokine levels, and restoring the expression of claudin-1, loricrin, and occludin. It also inhibited the release of TNF-α, IL-1β, and IL-6 in lipopolysaccharide (LPS)-stimulated RAW264.7 cells, and showed no significant toxicity to major organs in mice. In summary, our findings demonstrate that LQ-CG can effectively alleviate atopic symptoms by repairing the skin barrier and inhibiting inflammatory responses without causing significant changes in organ indices Full article
(This article belongs to the Special Issue Gels for Skin Treatment and Wound Healing)
Show Figures

Figure 1

23 pages, 5557 KB  
Article
Glucuronolactone Alleviates Metabolic Stress Induced by High-Fat Diet in Turbot (Scophthalmus maximus L.)
by Ping Wang, Luyao Zheng, Liping Zhu, Kecai Chen, Dongsheng He, Jingjing Zhao, Houguo Xu, Kangsen Mai and Yanjiao Zhang
Antioxidants 2026, 15(4), 472; https://doi.org/10.3390/antiox15040472 - 10 Apr 2026
Viewed by 468
Abstract
This study aimed to investigate the ameliorative effects of glucuronolactone (GL) as a dietary additive on high-fat diet (HFD)-induced growth suppression and metabolic disorders in turbot. A 10-week feeding trial was conducted using juvenile turbot (16.7 ± 0.03 g). Two diets with different [...] Read more.
This study aimed to investigate the ameliorative effects of glucuronolactone (GL) as a dietary additive on high-fat diet (HFD)-induced growth suppression and metabolic disorders in turbot. A 10-week feeding trial was conducted using juvenile turbot (16.7 ± 0.03 g). Two diets with different protein (%)/lipid (%) levels were formulated: PC (54/12) and NC (47/17). Based on the NC diet, three experimental diets were prepared by supplementing 200 (G200), 400 (G400), and 600 (G600) mg/kg of GL. The present results show that compared to the PC group, HFDs significantly inhibited the growth performance of turbot and induced severe metabolic disorders, hepatointestinal damage, and gut microbiota dysbiosis. Dietary GL supplementation effectively reversed these adverse effects. Specifically, compared to the NC group, GL supplementation significantly restored growth performance, enhanced non-specific immunity, and systematically improved metabolic health. In the liver, GL notably ameliorated tissue damage and downregulated key lipogenic genes (SREBP1, ACC, FAS, PPARγ), while upregulating genes involved in lipid oxidation and catabolism (PPARα1, CPT1, ACOX1, HSL, LPL) and lipid transport (ApoB100, MTP), thereby alleviating hepatic lipid deposition. Furthermore, GL activated the Nrf2/Keap1 antioxidant pathway, up-regulating the expression of genes such as SOD, CAT, GPX, and HO-1. It also suppressed the NF-κB-mediated inflammatory response (downregulation of IL-1β, IFN-γ and TNF-α2; upregulation of IL-10 and TGF-β2) and the mitochondrial apoptosis pathway (increased Bcl-2/Bax ratio; downregulation of Caspase3/7/9), collectively mitigating oxidative damage and cellular apoptosis. Moreover, GL restored intestinal morphology, enhanced the expression of tight junction proteins (Claudin-3, Claudin-7, ZO-1, Occludin) and MUC2, and inhibited MLCK signaling. These improvements led to a reduction in serum D-LA levels, indicating strengthened intestinal barrier function. Concurrently, GL reshaped the gut microbiota composition by enriching beneficial bacteria such as Akkermansia and suppressing potential pathogens like Listeria. In summary, GL effectively alleviated HFD-induced growth suppression and metabolic damage in turbot by improving lipid metabolism and alleviating hepatic injury, while concurrently restoring intestinal barrier integrity and microbiota homeostasis. Full article
(This article belongs to the Section Health Outcomes of Antioxidants and Oxidative Stress)
Show Figures

Figure 1

12 pages, 17529 KB  
Article
The Effect of Pediococcus Lactis and Postbiotics on Gut Health and Intestinal Metabolic Profiles
by Jintao Sun, Huaiyu Zhang, Weina Liu, Jinquan Wang, Xiumin Wang, Zhenlong Wang, Hui Tao and Bing Han
Nutrients 2026, 18(8), 1184; https://doi.org/10.3390/nu18081184 - 9 Apr 2026
Viewed by 242
Abstract
Background: To investigate the effects of probiotics and their postbiotics on mouse health, this study utilized healthy mice randomly assigned to a control group (CK, n = 6), a probiotic group (L, n = 6, oral gavage 200 μL Pediococcus lactis), and [...] Read more.
Background: To investigate the effects of probiotics and their postbiotics on mouse health, this study utilized healthy mice randomly assigned to a control group (CK, n = 6), a probiotic group (L, n = 6, oral gavage 200 μL Pediococcus lactis), and a postbiotic group (PL, n = 6, oral gavage 200 μL Pediococcus lactis postbiotic). Methods: Following 21 days of continuous intervention, changes in gut metabolic profiles, microbial community structure, tissue morphology, and tight junction protein expression were systematically analyzed using metabolomics, 16S rRNA sequencing, hematoxylin and eosin (HE) staining, and immunohistochemistry techniques. Results: The results revealed that screening for significantly altered endogenous metabolites identified core differences concentrated in metabolites related to intestinal barrier repair, anti-inflammation, and antioxidant activity (e.g., 3-indolepropionic acid, astaxanthin, hydroxybenzoic acid). 16S rRNA sequencing revealed that the overall community structure was relatively stable according to principal component analysis, although differences were detected in specific taxa. However, LEfSe analysis identified significantly enriched functional microbial groups at multiple taxonomic levels in the PL group: phylum: Actinomycetota; class: Coriobacteriia; order: Coriobacteriales, Erysipelotrichales; family: Erysipelotrichaceae, Eggerthellaceae; genus: norank_Erysipelotrichaceae, Intestinimonas. These results suggest that although the overall community structure remained relatively stable, specific taxa may have differed between groups. Hematoxylin and eosin staining revealed no pathological lesions in intestinal tissues from either group, with intact mucosal architecture. Immunohistochemistry demonstrated significantly elevated expression of intestinal tight junction proteins Claudin 1, MUC-2, Occludin, and ZO-1 in the PL group compared to the CK group (p < 0.001). Conclusions: In summary, this probiotic (Pediococcus lactis) and its postbiotic showed promising effects, which may be related to changes in specific microbiota taxa, intestinal metabolic profiles, and tight junction protein expression. Beyond maintaining gut microbiota and tissue homeostasis, it enhances intestinal barrier function, suppresses latent inflammation, and boosts antioxidant capacity. Postbiotics may exhibit superior efficacy compared to probiotics. This provides robust experimental evidence for its development and application in gut health products for healthy populations. However, these findings still require further validation in studies with longer intervention periods and in disease models. Full article
Show Figures

Figure 1

30 pages, 51650 KB  
Article
Jingangteng Capsule Attenuates Ulcerative Colitis via Maintaining the Homeostasis of Intestinal Microbiota and Metabolites, Inhibiting the PI3K-AKT-mTOR Signaling Pathway
by Jing Li, Yue Xiong, Shiyuan Cheng, Dan Liu, Qiong Wei and Xiaochuan Ye
Pharmaceuticals 2026, 19(4), 589; https://doi.org/10.3390/ph19040589 - 7 Apr 2026
Viewed by 381
Abstract
Background/Objectives: Ulcerative colitis (UC) involves inflammatory response, oxidative stress, changes in metabolites, and the gut microbiota. Jingangteng capsule (JGTC) has been utilized clinically for the treatment of inflammatory diseases for many years. However, the efficacy of JGTC in ameliorating UC remains unclear, [...] Read more.
Background/Objectives: Ulcerative colitis (UC) involves inflammatory response, oxidative stress, changes in metabolites, and the gut microbiota. Jingangteng capsule (JGTC) has been utilized clinically for the treatment of inflammatory diseases for many years. However, the efficacy of JGTC in ameliorating UC remains unclear, and the underlying mechanisms have not yet been elucidated. This study aims to investigate the effect and mechanism of JGTC on UC. Methods: The chemical compositions of JGTC were examined using ultra-high-performance liquid chromatography with quadrupole time-of-fight mass spectrometry. The anti-UC effect of JGTC was evaluated by assessing the disease activity index (DAI), colon length, intestinal barrier recovery, and inflammatory factors in a dextran sulfate sodium (DSS)-induced colitis model. Mechanisms were investigated through fecal 16S rDNA sequencing, metabolomics analysis, enzyme-linked immunosorbent assay (ELISA), Western blotting, and network pharmacology analysis. Results: JGTC significantly reduced the DAI scores in UC mice, increased their body weight and colon length (p < 0.001), repairing damaged intestinal tissue. It decreased the levels of inflammatory cytokines TNF-α, IL-6, IL-1β, and LPS (p < 0.01, p < 0.001), alleviating intestinal inflammation. It also raised the expression of tight junction proteins ZO-1, Claudin-1, and Occludin (p < 0.05, p < 0.001), thereby enhancing intestinal barrier function. Fecal metabolomic analysis revealed that the favorable alterations in amino acid and lipid metabolites were more pronounced. Heat maps showed strong correlations between pharmacological indicators and gut microbiota, as well as between the main differential metabolites and gut microbial communities. UPLC-QTOF-MS detection yielded 33 components of JGTC, and network pharmacology analysis based on these components predicted pathways of action of JGTC in UC. Functional pathways closely associated with significantly differential metabolites and metabolic pathways were also investigated. The PI3K-AKT-mTOR pathway was one of them, which is consistent with the conclusions drawn from network pharmacology. JGTC significantly modulated key factors in this pathway, inhibiting the expression of PI3K, Akt, PDK1, and mTOR, while augmenting the expression of PTEN (p < 0.05, p < 0.01, p < 0.001). It also mitigated the levels of related oxidative stress factors MDA, MPO, and D-LA, and raised SOD levels (p < 0.01, p < 0.001). Conclusions: JGTC improved the excessive inflammatory response in UC by regulating intestinal flora and metabolic disorders, affecting the PI3K-AKT-mTOR signaling pathway, restoring intestinal tissue damage and intestinal barrier, and inhibiting inflammatory and oxidative stress factors. Full article
Show Figures

Graphical abstract

37 pages, 2121 KB  
Review
Comprehensive Overview of Gastric Cancer Immunohistochemistry: Key Biomarkers, Advanced Detection Methods, and Perspectives
by Bogdan Oprea
Medicina 2026, 62(4), 683; https://doi.org/10.3390/medicina62040683 - 3 Apr 2026
Viewed by 588
Abstract
Background and Objectives: Immunohistochemistry (IHC) is a keystone in gastric cancer (GC) management, allowing treatment customization, including for advanced or metastatic diseases. This review aims to evaluate the critical role of IHC markers, analyzing their efficiency in molecular subclassification and prediction of [...] Read more.
Background and Objectives: Immunohistochemistry (IHC) is a keystone in gastric cancer (GC) management, allowing treatment customization, including for advanced or metastatic diseases. This review aims to evaluate the critical role of IHC markers, analyzing their efficiency in molecular subclassification and prediction of response to gastric cancer-targeted therapies, while also describing state-of-the-art IHC techniques and perspectives. Results: The major challenges for the GC management were structured in two main sections, as follows: (i) the current paradigm of gastric neoplasia diagnosis, which includes subsections related to the methodological and morphological foundations, the epidemiological dynamics, and risk factors, as well as differential diagnosis of poorly differentiated tumors; and (ii) the progress in 3,3′-diaminobenzidine (DAB) application and advanced reagents in gastric cancer immunohistochemistry. Discussion: Considering the role of IHC and DAB, the following topics were successively addressed in seven sections: GC key biomarkers, such as human epidermal growth factor receptor 2 (HER2), programmed death-ligand 1 (PD-L1), and DNA replication mismatch repair (MMR) system, allow direct correlation between tissue morphology and protein expression; intestinal and gastrointestinal differentiation markers; emerging and aggressive histological subtypes; epithelial–mesenchymal transition, E-cadherin, and the process of tumor budding; implementation of innovative procedures in gastric cancer immunohistochemistry; and automation, quality control, and sustainability in the pathology laboratory. Perspectives: The main directions were focused on the integration of artificial intelligence (AI) algorithms for digital quantification of the IHC signal and also on the expansion of panels to new targets, such as Claudin 18.2 (CLDN 18.2), which redefines treatment approaches in advanced stages. Conclusions: Although faced with technical and biological limitations, immunohistochemistry remains indispensable in modern gastric oncology. The evolution towards digital pathology and the refinement of scoring criteria will transform IHC from a complementary test into a visual tool that is essential for personalizing oncological treatment. Full article
(This article belongs to the Section Oncology)
Show Figures

Figure 1

21 pages, 7987 KB  
Article
Characterization of Oncogenic and Immunogenic Profiling in Patients with Breast Cancer Tumors After Radiation Therapy
by Suryakant Niture, Carlos E. Vargas, Saranya Chumsri, Jennifer M. Kachergus, Sandeepkumar Sriramanujam, Dinesh Thotala, Jerry Jaboin and Danushka Seneviratne
Int. J. Mol. Sci. 2026, 27(7), 3227; https://doi.org/10.3390/ijms27073227 - 2 Apr 2026
Viewed by 367
Abstract
Biological heterogeneity among different breast cancer (BC) subtypes results in markedly varying clinical outcomes. Identification and analysis of key gene biomarkers that are differentially regulated during radiation therapy (RT) may pose multiple clinical challenges for BC treatment. The purpose of the study is [...] Read more.
Biological heterogeneity among different breast cancer (BC) subtypes results in markedly varying clinical outcomes. Identification and analysis of key gene biomarkers that are differentially regulated during radiation therapy (RT) may pose multiple clinical challenges for BC treatment. The purpose of the study is to identify and analyze the expression of key gene biomarkers and their networks that are differentially regulated after hypofractionated RT. Patients with BC (cT0-T2, N0, M0) were treated with hypofractionated whole breast RT 25 Gy in five fractions, 4 to 8 weeks before breast conservation surgery (BCS). Biopsy (pre-RT; n = 5) and surgical (post-RT; n = 14 or 15) BC tumor samples were used for NanoString targeted sequencing. We identified 165 and 244 differentially expressed genes (DEGs; p < 0.05) in BC tumor samples from BC patients post-RT using the nCounter BC360 and IO360 panels, respectively. Gene networks and pathway analysis revealed that RT increases the gene signature of tumor inflammation (TIS), cytotoxicity, and apoptosis, while downregulating the gene signatures of tumor cell proliferation, differentiation, and cell adhesion, and increases the claudin-low gene score. RT-induced mammary stemness and enhanced infiltration of stroma, mast, and macrophage cells in the BC tumor microenvironment (TME). Further, the nCounter IO360 (immuno-oncology) panel analysis validated the findings of BC360 and demonstrated that RT increased the myeloid inflammation signature and chemokine expression, modulated B, T, NK, and DC cell activities, and enhanced residual cancer burden (RCB) in BC tumors, thus creating an immunosuppressive TME. Collectively, RT sensitized BC tumors by increasing the gene signature of TIS, cytotoxicity, apoptosis, and mammary stemness. RT facilitated an immunosuppressive environment and increased RCB, suggesting that the therapeutic potential of RT is highly individualized for each patient based on their unique tumor biology, genetic makeup, and TME. Full article
Show Figures

Figure 1

20 pages, 3955 KB  
Article
Investigation of the Enhancement Effect of Evodia rutaecarpa Volatile Oil on Transdermal Delivery of Total Glucosides of Paeony: Mechanistic Insight Based on Interactions Among Drug, Enhancer, and Skin
by Zhanghong Yao, Fei Song, Yan Liang, Yunfeng Liu, Weifeng Zhu, Yongmei Guan and Lili Liu
Pharmaceutics 2026, 18(4), 433; https://doi.org/10.3390/pharmaceutics18040433 - 31 Mar 2026
Viewed by 466
Abstract
Background: Total glycosides of peony (TGP) have therapeutic potential for immune-related and inflammatory skin diseases, but their skin absorption is not satisfactory. This study aims to investigate how Evodia rutaecarpa volatile oil (VO-ER) enhances the permeability of TGP. Methods: Safety assessment [...] Read more.
Background: Total glycosides of peony (TGP) have therapeutic potential for immune-related and inflammatory skin diseases, but their skin absorption is not satisfactory. This study aims to investigate how Evodia rutaecarpa volatile oil (VO-ER) enhances the permeability of TGP. Methods: Safety assessment was conducted through cell delivery and skin erythema tests. The chemical composition of VO-ER was identified via GC-MS. The study was conducted using modified Franz diffusion cells, microdialysis, confocal laser scanning microscopy (CLSM), attenuated total reflection–Fourier transform infrared spectroscopy (ATR-FTIR), molecular docking and molecular dynamics simulations (MD), laser Doppler flowmetry (LDF), and the western blotting method. Results: The study found that VO-ER promotes the permeation of total glycosides of peony in a concentration-dependent manner by disrupting the intercellular lipid tissue structure, downregulating the expression of claudin-1, claudin-7, and occludin, and improving local microcirculation, thereby promoting the absorption of TGP. Conclusions: VO-ER enhances the transdermal absorption of TGP through multiple mechanisms, such as disrupting the skin lipid barrier, downregulating tight junction proteins, and improving local skin microcirculation. This study provides a theoretical basis for VO-ER as a safe and effective new transdermal penetration enhancer, offering support for the development of topical preparations containing Evodia rutaecarpa and Paeonia lactiflora. Full article
(This article belongs to the Section Biopharmaceutics)
Show Figures

Graphical abstract

27 pages, 3359 KB  
Article
Effects of Dietary Lysophospholipids on Growth Performance, Hepatic Lipid Metabolism, Intestinal Health and Dietary Lipid Levels of Largemouth Bass (Micropterus salmoides)
by Xiaorui Fan, Yuqiang Wei, Jianguo Zhao, Yajun Wang, Jianhua Zhao and Qiyou Xu
Fishes 2026, 11(4), 204; https://doi.org/10.3390/fishes11040204 - 27 Mar 2026
Viewed by 433
Abstract
This study investigated the effects of dietary lysophospholipids on growth performance, hepatic lipid metabolism, intestinal health, and dietary lipid levels of largemouth bass. The 56-day experiment included five groups: CON (0% lysophospholipids), LL50 (0.05% lysophospholipids), LP50 (0.05% lysophospholipids—0.5% oil), LP100 (0.1% lysophospholipids—1.0% oil), [...] Read more.
This study investigated the effects of dietary lysophospholipids on growth performance, hepatic lipid metabolism, intestinal health, and dietary lipid levels of largemouth bass. The 56-day experiment included five groups: CON (0% lysophospholipids), LL50 (0.05% lysophospholipids), LP50 (0.05% lysophospholipids—0.5% oil), LP100 (0.1% lysophospholipids—1.0% oil), and LP200 (0.1% lysophospholipids—2.0% oil), with 3 replicates (30 fish/replicate) per group. The results showed that compared with the CON group, dietary supplementation of 0.05% lysophospholipid had no significant effect on the growth performance of largemouth bass, but increased the crude protein content and decreased the crude lipid content in the whole body. An amount of 0.05% lysophospholipid improved hepatic lipid utilization efficiency. Specifically, this supplementation level promoted serum lipid transport (increased serum HDL-C content and decreased triglyceride and LDL-C contents), and enhanced hepatic lipid metabolism by regulating the expression of lipid metabolism-related genes (fas, hsl, and acc) and the levels of lipid metabolites (phosphatidylcholine and fatty acids), thereby reducing hepatic triglyceride content. In addition, 0.05% lysophospholipid improved intestinal health by increasing lipase activity and intestinal villus height, up-regulating the expression of the anti-inflammatory gene (tgf-β1) and tight junction protein genes (claudin-1, claudin-4, and zo-1), and down-regulating the expression of the pro-inflammatory gene (tnf-α). In terms of dietary lipid reduction, supplementation with 0.1% lysophospholipid allowed a 1% reduction in dietary lipid level without affecting the growth performance of largemouth bass, whereas at the same level of lysophospholipid supplementation, a 2% reduction in dietary lipid level resulted in decreased growth performance of largemouth bass. These findings provide theoretical support for the practical application of lysophospholipids, and demonstrate that reducing dietary lipid inclusion by adding lysophospholipids helps to reduce feed costs and improve aquaculture economic benefits. Full article
Show Figures

Figure 1

Back to TopTop