Sign in to use this feature.

Years

Between: -

Subjects

remove_circle_outline
remove_circle_outline
remove_circle_outline
remove_circle_outline
remove_circle_outline
remove_circle_outline

Journals

Article Types

Countries / Regions

Search Results (146)

Search Parameters:
Keywords = chiral solids

Order results
Result details
Results per page
Select all
Export citation of selected articles as:
22 pages, 4948 KB  
Article
Synthesis of Hydroxyaromatic Carboxylic Acids via Homogeneous Kolbe-Schmitt Carboxylation of Phenoxides
by Dmitriy A. Merzliakov, Michael S. Alexeev, Maxim A. Topchiy, Dmitry G. Yakhvarov, Nikolai Yu. Kuznetsov, Anton L. Maximov and Irina P. Beletskaya
Molecules 2026, 31(2), 239; https://doi.org/10.3390/molecules31020239 - 10 Jan 2026
Viewed by 229
Abstract
Homogeneous Kolbe-Schmitt carboxylation of phenoxides offers a mild and effective alternative to the classical high-temperature solid-phase Kolbe-Schmitt reaction. To develop this into a practical synthetic approach, we investigated several fundamental dependencies, particularly the impact of cations (Na, K, Li, Cs, and Rb), phenoxide [...] Read more.
Homogeneous Kolbe-Schmitt carboxylation of phenoxides offers a mild and effective alternative to the classical high-temperature solid-phase Kolbe-Schmitt reaction. To develop this into a practical synthetic approach, we investigated several fundamental dependencies, particularly the impact of cations (Na, K, Li, Cs, and Rb), phenoxide concentration, and solvents (DMSO or DMF) on the yield and regioisomeric ratio of hydroxyaromatic carboxylic acids (HACAs). We identified optimal conditions for the effective carboxylation of different phenoxides, including a chiral Ellman’s sulfinamide derived from ortho-vanillin. Both solvents and cations were found to be crucial in the carboxylation of phenoxides. Due to solvation effects, DMSO directs CO2 attack to the para-position of phenoxide, while DMF, although less selective, generally affords higher HACA yields. The addition of equiv. amounts of mesitolate salt to phenoxide in either DMSO or DMF solution often drives the reaction to completion, resulting in yields of up to 98%. Phenoxides containing several EWG groups, such as halogens or alkyl groups, adjacent to the reaction center show considerably lower reactivity in carboxylation; however, by carefully adjusting parameters, acceptable conversions (>70%) can be achieved. Using the gasometry, we assessed the stability of phenoxide and mesitolate carbonate complexes in DMSO. These experiments revealed distinct stages for the onset of decomposition and carboxylation at atmospheric pressure, indicating a lower energy barrier in the homogeneous process. Further insight into carbonate complex behavior was obtained through DOSY and 13C NMR experiments, which support increased molecular association in solution and correlate with enhanced reactivity. Full article
(This article belongs to the Special Issue Chemical Conversion and Utilization of CO2)
Show Figures

Graphical abstract

22 pages, 6766 KB  
Article
Zn–IMP 3D Coordination Polymers for Drug Delivery: Crystal Structure and Computational Studies
by Hafiz Zeshan Aqil, Yanhong Zhu, Masooma Hyder Khan, Yaqoot Khan, Beenish Sandhu, Muhammad Irfan and Hui Li
Polymers 2026, 18(1), 119; https://doi.org/10.3390/polym18010119 - 31 Dec 2025
Viewed by 377
Abstract
Coordination polymers (CPs) are garnering attention in the field of medicine day by day. The goal is to develop a CP with biosafe and environment-friendly characteristics. Herein, we report two such novel 3D coordination polymers of zinc-inosine-5′-monophosphate (Zn-IMP) and bpe/azpy (as linkers) which [...] Read more.
Coordination polymers (CPs) are garnering attention in the field of medicine day by day. The goal is to develop a CP with biosafe and environment-friendly characteristics. Herein, we report two such novel 3D coordination polymers of zinc-inosine-5′-monophosphate (Zn-IMP) and bpe/azpy (as linkers) which were engineered as metal–organic frameworks that can be used as drug carriers for hydroxyurea (HU). We employed SCXRD, PXRD, solid-state CD, FTIR and TGA for crystal structure characterizations; the results achieved 3D coordination polymers which contain a P21 space group with chiral distorted tetrahedral geometry. Solution phase studies like UV–vis and CD were carried out to understand mechanistic pathways for interaction and chirality, respectively. We have also performed computational studies to evaluate the drug delivery capacity of both 3D CPs. Molecular docking and multi-pH molecular dynamics (MD) quantify that HU binds more strongly with CP−1 (ΔG =−10.87 ± 0.12) as compared to CP−2 (ΔG = −7.59 ± 0.26 kcal·mol−1), at normal and basic pH. MD simulation analysis indicated that a more compact and rigid cavity is observed by CP−1 as compared to CP−2 at physiological pH. Across acidic pH, for CP−1 the ligand RMSD increases markedly and U becomes slightly less negative, which indicated partial loss of contacts, thus releasing drugs in a tumor-like environment more easily. These result showed that CP−1 offers stronger binding, higher structural stability and a more pronounced pH-responsive release profile than CP−2, making CP-1 more promising candidate for targeted HU drug delivery, while CP−2 may serve as a weaker-binding, faster-release complement. Full article
Show Figures

Figure 1

54 pages, 4904 KB  
Review
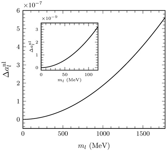
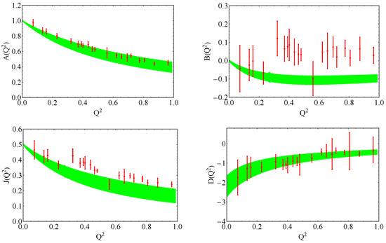
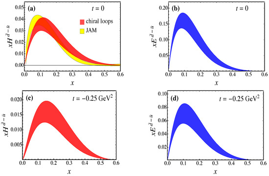
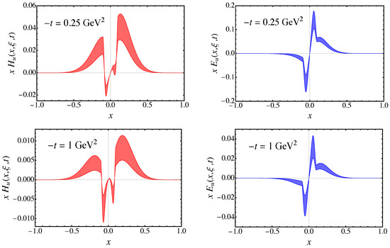
Nonlocal Effective Field Theory and Its Applications
by Ping Wang, Zhengyang Gao, Fangcheng He, Chueng-Ryong Ji, Wally Melnitchouk and Yusupujiang Salamu
Symmetry 2026, 18(1), 31; https://doi.org/10.3390/sym18010031 - 23 Dec 2025
Viewed by 314
Abstract
We review recent applications of nonlocal effective field theory, particularly focusing on nonlocal chiral effective theory and nonlocal quantum electrodynamics (QED), as well as an extension of nonlocal effective theory to curved spacetime. For the chiral effective theory, we discuss the calculation of [...] Read more.
We review recent applications of nonlocal effective field theory, particularly focusing on nonlocal chiral effective theory and nonlocal quantum electrodynamics (QED), as well as an extension of nonlocal effective theory to curved spacetime. For the chiral effective theory, we discuss the calculation of generalized parton distributions (GPDs) of the nucleon at nonzero skewness, along with the corresponding gravitational (or mechanical) form factors, within the convolution framework. In the QED application, we extend the nonlocal formulation to construct the most general nonlocal QED interaction, in which both the propagator and fundamental QED vertex are modified due to the nonlocal Lagrangian, while preserving the Ward–Green–Takahashi identities. For consistency with the modified propagator, a solid quantization is proposed, and the nonlocal QED is applied to explain the lepton g2 anomalies without the introduction of new particles beyond the standard model. Finally, with an extension of the chiral effective action to curved spacetime, we investigate the nonlocal energy–momentum tensor and gravitational form factors of the nucleon with a nonlocal pion–nucleon interaction. Full article
(This article belongs to the Special Issue Chiral Symmetry, and Restoration in Nuclear Dense Matter)
Show Figures

Figure 1

13 pages, 1649 KB  
Article
Vibrational Spectra of R and S Methyl Para Tolyl Sulfoxide and Their Racemic Mixture in the Solid–Liquid State and in Water Solution
by Flaminia Rondino, Mauro Falconieri, Serena Gagliardi, Mauro Satta, Susanna Piccirillo and Enrico Bodo
Symmetry 2026, 18(1), 17; https://doi.org/10.3390/sym18010017 - 21 Dec 2025
Viewed by 279
Abstract
The vibrational properties of the chiral sulfoxide methyl-p-tolyl-sulfoxide (Metoso) were investigated by infrared and Raman spectroscopy in the solid, liquid and aqueous solution phases, for both the enantiopure compounds and their racemic mixture. Experimental data were complemented by DFT calculations on the isolated [...] Read more.
The vibrational properties of the chiral sulfoxide methyl-p-tolyl-sulfoxide (Metoso) were investigated by infrared and Raman spectroscopy in the solid, liquid and aqueous solution phases, for both the enantiopure compounds and their racemic mixture. Experimental data were complemented by DFT calculations on the isolated enantiomer and on the two RR and RS dimeric conformers to support spectral interpretation and mode assignment. The IR and Raman spectra of the crystalline enantiomer and racemic mixture are similar, indicating comparable molecular organization and intermolecular interactions in the solid state. Upon melting, band broadening and frequency shifts are observed, consistent with molecular disorder and the breaking of weak intramolecular interactions, accompanied by changes in the S-O, S-CH3 and C-H stretching frequencies. In aqueous solution, further broadening and opposite shifts in these bands reflect the formation of Metoso-H2O complexes through hydrogen bonds. Theoretical spectra reproduce the observed trends and confirm that either solvent or phase transitions control the balance between intra- and intermolecular interactions thus influencing the vibrational degrees of freedom of the model chiral sulfoxide. Full article
(This article belongs to the Section Chemistry: Symmetry/Asymmetry)
Show Figures

Figure 1

16 pages, 1304 KB  
Article
Stereo-Control in Zn(II) and Cd(II) Complexes of Tetraamines with Azacyclic Cores
by Hanan A. A. Althobaiti, Benson M. Kariuki, Grace Lancey, James A. Platts, Olivia Ann Westland and Paul David Newman
Inorganics 2025, 13(12), 393; https://doi.org/10.3390/inorganics13120393 - 28 Nov 2025
Viewed by 508
Abstract
Halide-dictated stereoselective formation of octahedral Δ-cis-α-[Zn(L)Cl2] or trigonal bipyramidal Λ-[Zn(L)I]I, where L is a chiral tetramine with a pyrrolidine or piperidine core, has been observed in both the solid state and in solution through a combination of [...] Read more.
Halide-dictated stereoselective formation of octahedral Δ-cis-α-[Zn(L)Cl2] or trigonal bipyramidal Λ-[Zn(L)I]I, where L is a chiral tetramine with a pyrrolidine or piperidine core, has been observed in both the solid state and in solution through a combination of SCXRD analysis, NMR spectroscopy, and theoretical calculations. Chameleonic behaviour is exhibited by the bromido compounds which form five- or six-coordinate complexes depending on the nature of the tetramine ligand. Only six-coordinate Δ-cis-α-[Cd(L)X2] complexes are observed for Cd(II), irrespective of L or X. Full article
(This article belongs to the Section Coordination Chemistry)
Show Figures

Graphical abstract

36 pages, 4531 KB  
Review
Fascinating Frontier, Nanoarchitectonics, as Method for Everything in Materials Science
by Katsuhiko Ariga
Materials 2025, 18(22), 5196; https://doi.org/10.3390/ma18225196 - 15 Nov 2025
Cited by 2 | Viewed by 851
Abstract
Methodological fusion of materials chemistry, which enables us to create materials, with nanotechnology, which enables us to control nanostructures, could enable us to create advanced functional materials with well controlled nanostructures. Positioned as a post-nanotechnology concept, nanoarchitectonics will enable this purpose. This review [...] Read more.
Methodological fusion of materials chemistry, which enables us to create materials, with nanotechnology, which enables us to control nanostructures, could enable us to create advanced functional materials with well controlled nanostructures. Positioned as a post-nanotechnology concept, nanoarchitectonics will enable this purpose. This review paper highlights the broad scope of applications of the new concept of nanoarchitectonics, selecting and discussing recent papers that contain the term ‘nanoarchitectonics’ in their titles. Topics include controls of dopant atoms in solid electrolytes, transforming the framework of carbon materials, single-atom catalysts, nanorobots and microrobots, functional nanoparticles, nanotubular materials, 2D-organic nanosheets and MXene nanosheets, nanosheet assemblies, nitrogen-doped carbon, nanoporous and mesoporous materials, nanozymes, polymeric materials, covalent organic frameworks, vesicle structures from synthetic polymers, chirality- and topology-controlled structures, chiral helices, Langmuir monolayers, LB films, LbL assembly, nanocellulose, DNA, peptides bacterial cell components, biomimetic nanoparticles, lipid membranes of protocells, organization of living cells, and the encapsulation of living cells with exogenous substances. Not limited to these examples selected in this review article, the concept of nanoarchitectonics is applicable to diverse materials systems. Nanoarchitectonics represents a conceptual framework for creating materials at all levels and can be likened to a method for everything in materials science. Developing technology that can universally create materials with unexpected functions could represent the final frontier of materials science. Nanoarchitectonics will play a significant part in achieving this final frontier in materials science. Full article
(This article belongs to the Special Issue Nanoarchitectonics in Materials Science, Second Edition)
Show Figures

Graphical abstract

8 pages, 1559 KB  
Proceeding Paper
Chiral DPP Thin Films: Unlocking Circularly Polarized Light for Next-Gen Optoelectronics
by Alessia Arrigoni, Simone Molinaro, Federico Turco, Eleonora Sofia Cama, Chiara Botta, Umberto Giovanella, Benedetta Maria Squeo and Mariacecilia Pasini
Chem. Proc. 2025, 18(1), 31; https://doi.org/10.3390/ecsoc-29-26916 - 13 Nov 2025
Viewed by 294
Abstract
We report the synthesis and characterization of the two enantiomeric forms of a thienyl-substituted diketopyrrolopyrrole (DPP) derivative bearing chiral alkyl chains. Thin films were prepared either by spin-coating and drop-casting and analyzed by UV–Visible absorption, electronic circular dichroism (ECD), and circularly polarized (CP) [...] Read more.
We report the synthesis and characterization of the two enantiomeric forms of a thienyl-substituted diketopyrrolopyrrole (DPP) derivative bearing chiral alkyl chains. Thin films were prepared either by spin-coating and drop-casting and analyzed by UV–Visible absorption, electronic circular dichroism (ECD), and circularly polarized (CP) luminescence (CPL). ECD spectra confirmed the opposite chirality of the (R) and (S) isomers, while CPL measurements of the S enantiomer demonstrated solid-state chiroptical activity. Preliminary device tests showed promising optoelectronic behavior, highlighting these chiral DPP materials as potential candidates for CP organic light-emitting diodes (CP-OLEDs) applications, combining strong chiroptical response with good film quality. Full article
Show Figures

Figure 1

13 pages, 3616 KB  
Article
Bis- and Azabis(oxazoline)–Copper–Tungstophosphate Immobilized on Mesoporous Silica: Preparation and Use as Catalyst in Enantioselective Cyclopropanation
by Daniela S. Mansilla, Luis R. Pizzio, José A. Mayoral, José M. Fraile and M. Rosario Torviso
Reactions 2025, 6(4), 59; https://doi.org/10.3390/reactions6040059 - 3 Nov 2025
Viewed by 615
Abstract
Tungstophosphoric acid (TPA) has been supported on mesoporous silicas prepared using urea as the pore forming agent. The amount of urea (20, 30, or 40% w/w) influences the silica specific surface area (SBET), total pore volume (Vp), and [...] Read more.
Tungstophosphoric acid (TPA) has been supported on mesoporous silicas prepared using urea as the pore forming agent. The amount of urea (20, 30, or 40% w/w) influences the silica specific surface area (SBET), total pore volume (Vp), and average pore diameter (Dp). The materials synthetized using 20% w/w (SiU20) display mainly mesoporous structures, with the highest Vp and Dp values being chosen to be used as TPA support. The SiU20-TPA solids with different TPA loadings (10, 20, or 30% w/w) have been used as supports for chiral copper catalysts with bis(oxazoline) or azabis(oxazoline) ligands. The catalytic efficiency of enantioselective cyclopropanation strongly depends on support morphology and TPA loading. SiU-TPA20 has been shown to be the optimal one. The stability of the complex is also a very important parameter, and the best results are obtained with an excess of chiral ligand to ensure the correct formation of the complex on the solid. In this way, with azabox-Cu/SiU20-TPA20 it is possible to obtain a highly selective (90% ee for the trans-cyclopropanes) and recoverable catalyst. Full article
Show Figures

Figure 1

13 pages, 1882 KB  
Article
Crystallization of Four Troglitazone Isomers: Selectivity and Structural Considerations
by Shinji Matsuura, Koichi Igarashi, Masayuki Azuma and Hiroshi Ooshima
Crystals 2025, 15(10), 866; https://doi.org/10.3390/cryst15100866 - 30 Sep 2025
Viewed by 571
Abstract
The control of crystal form in chiral active pharmaceutical ingredients (APIs) is a critical challenge in pharmaceutical development, as differences in solid-state structure can significantly influence physical properties and manufacturing performance. Troglitazone, a molecule with two chiral centers, exists as four stereoisomers (RR, [...] Read more.
The control of crystal form in chiral active pharmaceutical ingredients (APIs) is a critical challenge in pharmaceutical development, as differences in solid-state structure can significantly influence physical properties and manufacturing performance. Troglitazone, a molecule with two chiral centers, exists as four stereoisomers (RR, SS, RS, SR) that crystallize as two enantiomeric pairs: RR/SS and RS/SR. This study aims to elucidate the relationship between solution-state molecular interactions and crystallization behavior of these diastereomeric pairs. Antisolvent crystallization experiments were conducted for both mixed solutions containing all four isomers and solutions of individual pairs. Crystallization kinetics were monitored by HPLC, and the resulting solids were characterized by PXRD, DSC, TG, and microscopic observation. Nucleation induction times were determined over a range of supersaturation levels. To probe intermolecular interactions in solution, NOESY and targeted NOE NMR experiments were performed, and the results were compared with crystallographic data. The RS/SR crystals(H-form) consistently exhibited shorter induction times and faster crystallization rates than the RR/SS crystals (L-form), even under conditions where RR/SS solutions were more supersaturated. In mixed solutions, H-form crystallized preferentially, with L-form either remaining in solution or being incorporated into H-form crystals as a solid solution. NOESY and NOE analyses revealed intermolecular proximities between protons that are distant in the molecular structure, indicating the presence of ordered aggregates in solution. These aggregates were more structurally compatible with the H-form than with the L-form crystal lattice, as supported by crystallographic distance analysis. The results demonstrate that differences in nucleation kinetics between troglitazone diastereomers are closely linked to solution-state molecular arrangements. Understanding these relationships provides a molecular-level basis for the rational design of selective crystallization processes for chiral APIs. Full article
(This article belongs to the Section Crystal Engineering)
Show Figures

Figure 1

19 pages, 3146 KB  
Article
Polymorph Selection and Derivatization in Enantiomerically Pure Medicarpin: Crystallographic and Computational Insights
by Santiago José Guevara-Martínez, Rafael Herrera-Bucio, Marco Antonio Pérez-Cisneros, Gilberto Velázquez-Juárez, Fredy Geovannini Morales-Palacios and Stephanie García-Zavala
Molecules 2025, 30(17), 3652; https://doi.org/10.3390/molecules30173652 - 8 Sep 2025
Viewed by 1484
Abstract
Polymorphism critically influences the solid-state properties of organic molecules, affecting stability, solubility, and functionality. We investigated the polymorphic behavior of enantiomerically pure (+)-(6aS,11aS)-medicarpin through combined experimental and computational analyses. Single-crystal X-ray diffraction revealed two distinct chiral polymorphs: the previously reported monoclinic P21 [...] Read more.
Polymorphism critically influences the solid-state properties of organic molecules, affecting stability, solubility, and functionality. We investigated the polymorphic behavior of enantiomerically pure (+)-(6aS,11aS)-medicarpin through combined experimental and computational analyses. Single-crystal X-ray diffraction revealed two distinct chiral polymorphs: the previously reported monoclinic P21 form and a newly identified orthorhombic P212121 form with a fully chiral packing arrangement. The discovery of this previously unreported polymorph underscores the subtle yet decisive effects of solvent and conformational flexibility in directing crystallization. Detailed structural analysis reveals that, whereas the P21 form is only stabilized by a single dominant electrostatic interaction, the P212121 form features a more complex network comprising C-H···π contacts, bifurcated C-H···O hydrogen bonds, and aromatic edge-to-face interactions. Further investigation of a functionalized p-nitrobenzoate derivative corroborates the critical influence of molecular substituents and crystallization conditions on packing motifs. Lattice energy DFT calculations confirm that each polymorph is stabilized by distinct electrostatic and dispersive interaction patterns, illustrating the complex energetic landscape of polymorph selection. Altogether, this work provides a framework for understanding and anticipating which polymorph is likely to form under specific solvent and crystallization conditions, offering insights for future strategies in materials design and guiding the pursuit of patentable crystalline forms in pharmaceutical applications. Full article
Show Figures

Figure 1

19 pages, 4094 KB  
Article
Precision Molecular Engineering of Alternating Donor–Acceptor Cycloparaphenylenes: Multidimensional Optoelectronic Response and Chirality Modulation via Polarization-Driven Charge Transfer
by Danmei Zhu, Xinwen Gai, Yi Zou, Ying Jin and Jingang Wang
Molecules 2025, 30(15), 3127; https://doi.org/10.3390/molecules30153127 - 25 Jul 2025
Viewed by 859
Abstract
In this study, three alternating donor–acceptor (D–A) type [12]cycloparaphenylene ([12]CPP) derivatives ([12]CPP 1a, 2a, and 3a) were designed through precise molecular engineering, and their multidimensional photophysical responses and chiroptical properties were systematically investigated. The effects of the alternating D–A architecture on electronic structure, [...] Read more.
In this study, three alternating donor–acceptor (D–A) type [12]cycloparaphenylene ([12]CPP) derivatives ([12]CPP 1a, 2a, and 3a) were designed through precise molecular engineering, and their multidimensional photophysical responses and chiroptical properties were systematically investigated. The effects of the alternating D–A architecture on electronic structure, excited-state dynamics, and optical behavior were elucidated through density functional theory (DFT) and time-dependent DFT (TD-DFT) calculations. The results show that the alternating D–A design significantly reduced the HOMO–LUMO energy gap (e.g., 3.11 eV for [12]CPP 2a), enhanced charge transfer characteristics, and induced pronounced red-shifted absorption. The introduction of an imide-based acceptor ([12]CPP 2a) further strengthened the electron push-pull interaction, exhibiting superior performance in two-photon absorption, while the symmetrically multifunctionalized structure ([12]CPP 3a) predominantly exhibited localized excitation with the highest absorption intensity but lacked charge transfer features. Chiral analysis reveals that the alternating D–A architecture modulated the distribution of chiral signals, with [12]CPP 1a displaying a strong Cotton effect in the low-wavelength region. These findings not only provide a theoretical basis for the molecular design of functionalized CPP derivatives, but also lay a solid theoretical foundation for expanding their application potential in optoelectronic devices and chiral functional materials. Full article
(This article belongs to the Section Computational and Theoretical Chemistry)
Show Figures

Figure 1

26 pages, 7006 KB  
Article
Extended Family of Thiophosphoryl-Appended Pd(II) Pincer Complexes with a Deprotonated Amide Core: Synthesis and Biological Evaluation
by Diana V. Aleksanyan, Svetlana G. Churusova, Aleksandr V. Konovalov, Ekaterina Yu. Rybalkina, Lidia A. Laletina, Yana V. Ryzhmanova, Yulia V. Nelyubina, Svetlana A. Soloveva, Sergey E. Lyubimov, Alexander S. Peregudov, Zinaida S. Klemenkova and Vladimir A. Kozlov
Int. J. Mol. Sci. 2025, 26(10), 4536; https://doi.org/10.3390/ijms26104536 - 9 May 2025
Cited by 1 | Viewed by 1036
Abstract
The development of new, more effective, and selective anticancer agents is one of the most important tasks of modern medicinal chemistry. Recently, we have found that non-classical Pd(II) pincer complexes derived from thiophosphoryl-appended picolinamides exhibit promising cytotoxic properties. In this work, the potential [...] Read more.
The development of new, more effective, and selective anticancer agents is one of the most important tasks of modern medicinal chemistry. Recently, we have found that non-classical Pd(II) pincer complexes derived from thiophosphoryl-appended picolinamides exhibit promising cytotoxic properties. In this work, the potential of this class of metal-based derivatives was studied on an extended family of Pd(II) complexes with a deprotonated amide core featuring thiophosphoryl pendant arms, readily obtained by the direct cyclopalladation of new functionalized amide ligands upon interaction with PdCl2(NCPh)2 under mild conditions. The ligands, in turn, were obtained by conventional amide coupling methods using (aminobenzyl)- and (aminomethyl)diphenylphosphine sulfides as the key precursors and different N- and S-donor-substituted carboxylic acids. The effect of an acid component and carbon chirality in the ligand framework on the bioactivity of the resulting Pd(II) pincer complexes was elucidated by evaluating their cytotoxicity against different solid and blood cancer cell lines, apoptosis induction ability, and P-glycoprotein (P-gp) affinity, which revealed the high anticancer potential of some of them, and in particular, the potential to overcome drug resistance associated with P-gp overexpression. The representative palladocycle was also shown to possess moderate antibacterial activity. Full article
(This article belongs to the Section Molecular Pharmacology)
Show Figures

Graphical abstract

18 pages, 2446 KB  
Article
Stereoselectivity of In Vivo Processes and Bioactivity of Farrerol Enantiomers
by Lirong Chen, Tang Yan, Dongting Huang, Wei Xu, Yongjing Liu, Xiaoying Wang and Hua Li
Molecules 2025, 30(9), 2038; https://doi.org/10.3390/molecules30092038 - 3 May 2025
Cited by 1 | Viewed by 1089
Abstract
Farrerol, a bioactive compound found in Folium Rhododendri daurici, demonstrates various biological and pharmacological effects. Nevertheless, the stereoselectivity of in vivo processes and bioactivity between its enantiomers have not been thoroughly investigated. This study aimed to explore the stereoselectivity and pharmacological activity variations [...] Read more.
Farrerol, a bioactive compound found in Folium Rhododendri daurici, demonstrates various biological and pharmacological effects. Nevertheless, the stereoselectivity of in vivo processes and bioactivity between its enantiomers have not been thoroughly investigated. This study aimed to explore the stereoselectivity and pharmacological activity variations in farrerol enantiomers, focusing on stereoselective pharmacokinetics, tissue distribution, in vitro metabolism using liver microsomes, in vivo intestinal absorption, molecular simulations of binding affinity with antiproliferative target, and cell viability assessed through the CCK-8 assay. The findings indicated that the pharmacokinetic characteristics of farrerol in rats’ plasma, liver, and kidney tissues displayed enantioselectivity after intragastric administration. Then, no chiral transformation between farrerol enantiomers was observed in the rat plasma when (+)-farrerol and (−)-farrerol were orally administered. Additionally, there are notable stereoselective differences in the inhibition of CYP 1A2, CYP 2C9, CYP 2C19, and CYP 3A4/5 enzymes by (+)-farrerol and (−)-farrerol (p < 0.01). These differences may contribute to the stereoselectivity observed in the hepatic metabolism of the two enantiomers of farrerol. In addition, there were selective differences in the binding of farrerol enantiomers to anti-proliferative targets, including UCHL3, STAT3β, PTP1B, and GSK3β. Farrerol enantiomers exhibited similar growth inhibitory effects in HT-29 cell. Overall, our work will provide a solid theoretical basis and experimental reference for the further development and utilization of farrerol enantiomers. Full article
Show Figures

Figure 1

12 pages, 3812 KB  
Article
Hydroxyamide-Functionalized Azolium Anchored on Merrifield Resin for Enantioselective Ir-Catalyzed Reduction of Ketones with Silane
by Satoshi Sakaguchi, Masamune Koyabu and Kazuki Inui
Catalysts 2025, 15(4), 303; https://doi.org/10.3390/catal15040303 - 24 Mar 2025
Viewed by 744
Abstract
Polystyrene-supported chiral hydroxyamide-functionalized benzimidazolium chloride was synthesized by reacting Merrifield resin with a substituted-azole derived from (S)-leucinol. The combination of [IrCl(cod)]2 and the resulting polymer-supported N-heterocyclic carbene (NHC) ligand precursor catalyzed the enantioselective reduction of ketones using (EtO)2 [...] Read more.
Polystyrene-supported chiral hydroxyamide-functionalized benzimidazolium chloride was synthesized by reacting Merrifield resin with a substituted-azole derived from (S)-leucinol. The combination of [IrCl(cod)]2 and the resulting polymer-supported N-heterocyclic carbene (NHC) ligand precursor catalyzed the enantioselective reduction of ketones using (EtO)2MeSiH under heterogeneous reaction conditions via a pre-mixing reaction procedure. Additionally, the solid-state resin could be easily recovered through simple filtration and the catalyst system’s reusability was evaluated. Full article
(This article belongs to the Special Issue Heterogeneous Catalysis Towards a Sustainable Future)
Show Figures

Graphical abstract

18 pages, 3447 KB  
Article
A Geometric Berry Phase Angle Induced in Im-3m H3S at 200 GPa by Ultra-Fast Laser Pulses
by Genwei Hong, Xinjie Zhou, Huan He, Tianlv Xu, Herbert Früchtl, Tanja van Mourik, Yaxin Zhai, Steven R. Kirk and Samantha Jenkins
Symmetry 2025, 17(2), 299; https://doi.org/10.3390/sym17020299 - 16 Feb 2025
Cited by 1 | Viewed by 1471
Abstract
We investigated Im-3m H3S at 200 GPa, a pressure regime where crystalline H3S is widely considered to be a superconductor. Simulated circularly polarized 10 femtosecond (fs) laser pulses were applied and we quantified the effects on the electron dynamics [...] Read more.
We investigated Im-3m H3S at 200 GPa, a pressure regime where crystalline H3S is widely considered to be a superconductor. Simulated circularly polarized 10 femtosecond (fs) laser pulses were applied and we quantified the effects on the electron dynamics both during the application of the ultra-fast laser pulse and 5.0 fs after the pulse was switched off. In addition, the carrier-envelope phase (CEP) angle ϕ, which quantifies the relationship between the time-varying direction of electric (E)-field and the amplitude envelope, is employed to control the time evolution of the wavefunction ψ(r). This is undertaken for the first application of Next Generation Quantum Theory of Atoms in Molecules (NG-QTAIM) to the solid state. Ultra-fast phenomena related to superconductivity are discovered in the form of a geometric Berry phase angle associated with the H--H bonding in addition to very high values of the chirality–helicity function that correspond to values normally found in chiral molecules. Future applications are discussed, including chiral spin selective phenomena in addition to high-temperature superconductivity and organic superconductors where phonons do not play a significant role. Full article
(This article belongs to the Section Chemistry: Symmetry/Asymmetry)
Show Figures

Figure 1

Back to TopTop