Sign in to use this feature.

Years

Between: -

Subjects

remove_circle_outline
remove_circle_outline
remove_circle_outline
remove_circle_outline
remove_circle_outline
remove_circle_outline
remove_circle_outline
remove_circle_outline
remove_circle_outline

Journals

Article Types

Countries / Regions

Search Results (22)

Search Parameters:
Keywords = chip-holder

Order results
Result details
Results per page
Select all
Export citation of selected articles as:
17 pages, 2060 KB  
Article
Continuous Optical Biosensing of IL-8 Cancer Biomarker Using a Multimodal Platform
by A. L. Hernandez, K. Mandal, B. Santamaria, S. Quintero, M. R. Dokmeci, V. Jucaud and M. Holgado
Bioengineering 2025, 12(10), 1115; https://doi.org/10.3390/bioengineering12101115 - 17 Oct 2025
Viewed by 953
Abstract
In this work, we used a label-free biosensor that provides optical readouts to perform continuous detection of human interleukin 8 (IL-8), which is especially overexpressed in certain cancers and, thus, could be an effective biomarker for cancer prognosis estimation and therapy evaluation. For [...] Read more.
In this work, we used a label-free biosensor that provides optical readouts to perform continuous detection of human interleukin 8 (IL-8), which is especially overexpressed in certain cancers and, thus, could be an effective biomarker for cancer prognosis estimation and therapy evaluation. For this purpose, we engineered a compact, portable, and easy-to-assemble biosensing module device. It combines a fluidic chip for reagent flow, a biosensing chip for signal transduction, and an optical readout head based on fiber optics in a single module. The biosensing chip is based on independent arrays of resonant nanopillar transducer (RNP) networks. We integrated the biosensing chip with the RNPs facing down in a simple and rapidly fabricated polydimethyl siloxane (PDMS) microfluidic chip, with inlet and outlet channels for the sample flowing through the RNPs. The RNPs were vertically oriented from the backside through an optical fiber mounted on a holder head fabricated ad hoc on polytetrafluoroethylene (PTFE). The optical fiber was connected to a visible spectrometer for optical response analysis and consecutive biomolecule detection. We obtained a sensogram showing anti-IL-8 immobilization and the specific recognition of IL-8. This unique portable and easy-to-handle module can be used for biomolecule detection within minutes and is particularly suitable for in-line sensing of physiological and biomimetic organ-on-a-chip systems. Cancer biomarkers’ continuous monitoring arises as an efficient and non-invasive alternative to classical tools (imaging, immunohistology) for determining clinical prognostic factors and therapeutic responses to anticancer drugs. In addition, the multiplexed layout of the optical transducers and the simplicity of the monolithic sensing module yield potential high-throughput screening of a combination of different biomarkers, which, together with other medical exams (such as imaging and/or patient history), could become a cutting-edge technology for further and more accurate diagnosis and prediction of cancer and similar diseases. Full article
(This article belongs to the Section Biosignal Processing)
Show Figures

Figure 1

18 pages, 7963 KB  
Article
Theoretical and Experimental Study of an Electrokinetic Micromanipulator for Biological Applications
by Reza Hadjiaghaie Vafaie, Ali Fardi-Ilkhchy, Sobhan Sheykhivand and Sebelan Danishvar
Biomimetics 2025, 10(1), 56; https://doi.org/10.3390/biomimetics10010056 - 15 Jan 2025
Cited by 3 | Viewed by 1603
Abstract
The ability to control and manipulate biological fluids within microchannels is a fundamental challenge in biological diagnosis and pharmaceutical analyses, particularly when buffers with very high ionic strength are used. In this study, we investigate the numerical and experimental study of fluidic biochips [...] Read more.
The ability to control and manipulate biological fluids within microchannels is a fundamental challenge in biological diagnosis and pharmaceutical analyses, particularly when buffers with very high ionic strength are used. In this study, we investigate the numerical and experimental study of fluidic biochips driven by ac electrothermal flow for controlling and manipulating biological samples inside a microchannel, e.g., for fluid-driven and manipulation purposes such as concentrating and mixing. By appropriately switching the voltage on the electrode structures and inducing AC electrothermal forces within the channel, a fluidic network with pumping and manipulation capabilities can be achieved, enabling the control of fluid velocity/direction and also fluid rotation. By using finite element analysis, coupled physics of electrical, thermal, fluidic fields, and molecular diffusion transport were solved. AC electrothermal flow was studied for pumping and mixing applications, and the optimal model was extracted. The microfluidic chip was fabricated using two processes: electrode structure development on the chip and silicon mold fabrication in a cleanroom. PDMS was prepared as the microchannel material and bonded to the electrode structure. After implementing the chip holder and excitation circuit, a biological buffer with varying ionic strengths (0.2, 0.4, and 0.6 [S/m]) was prepared, mixed with fluorescent particles, and loaded into the microfluidic chip. Experimental results demonstrated the efficiency of the proposed chip for biological applications, showing that stronger flows were generated with increasing fluid conductivity and excitation voltage. The system behavior was characterized using an impedance analyzer. Frequency response analysis revealed that for a solution with an electrical conductivity of 0.6 [S/m], the fluid velocity remained almost constant within a frequency range of 100 kHz to 10 MHz. Overall, the experimental results showed good agreement with the simulation outcomes. Full article
(This article belongs to the Special Issue Bio-Inspired Nanochannels)
Show Figures

Figure 1

14 pages, 5473 KB  
Article
A Novel Design Method for Chip Flute of Indexable Insert Drill Used at Large Drilling Depth
by Aisheng Jiang, Zhanqiang Liu and Jinfu Zhao
Metals 2024, 14(12), 1351; https://doi.org/10.3390/met14121351 - 27 Nov 2024
Cited by 1 | Viewed by 1446
Abstract
The design of the chip flute in indexable insert drills significantly influences chip removal efficiency, drill diameter deflection, and drill deformation in the metal drilling process, which are crucial for maintaining drill stability and minimizing deviations in the diameter of the drilled hole. [...] Read more.
The design of the chip flute in indexable insert drills significantly influences chip removal efficiency, drill diameter deflection, and drill deformation in the metal drilling process, which are crucial for maintaining drill stability and minimizing deviations in the diameter of the drilled hole. However, traditional chip flute designs fail to meet production standards when drilling deep holes in 42CrMo, particularly at depths reaching up to seven times the hole diameter. This study introduces an innovative optimization method for the chip flute design of indexable insert drills specifically intended for metal deep-cutting applications, which involves refining both the cross-sectional and circumferential profiles of the chip flute. A novel combined cross-section for the chip flute was developed and tested against the conventional double U-profile in drilling experiments on 42CrMo. Based on the chip shape of the inner and outer inserts, the inner insert flute section is designed into a U-shaped section and the outer insert flute section is designed into trapezoidal section, respectively, so as to increase the proportion of the effective chip removal area in the chip flute, which reduces the chip flute section area and increases the core thickness of the tool holder. Additionally, the circumferential profile was enhanced through orthogonal simulation experiments. The findings revealed that the drill diameter deflection using the newly designed combined cross-section was reduced by 21.76% compared to the traditional double U-profile in the metal drilling process. The indexable insert drill featuring this optimized chip flute configuration exhibited significant improvements in the drill diameter deflection, drill deformation, and drilled hole diameter accuracy, outperforming the standard drill design. Full article
(This article belongs to the Special Issue Advances in Metal Cutting and Machining Processes)
Show Figures

Figure 1

16 pages, 3824 KB  
Article
Full-Thickness Perfused Skin-on-a-Chip with In Vivo-Like Drug Response for Drug and Cosmetics Testing
by Stephen Rhee, Chunguang Xia, Aditya Chandra, Morgan Hamon, Geonhui Lee, Chen Yang, Zaixun Guo and Bingjie Sun
Bioengineering 2024, 11(11), 1055; https://doi.org/10.3390/bioengineering11111055 - 23 Oct 2024
Cited by 10 | Viewed by 5112
Abstract
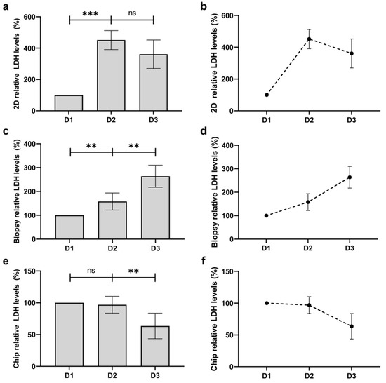
In this study, we present a novel 3D perfused skin-on-a-chip model fabricated using micro-precision 3D printing, which offers a streamlined and reproducible approach for incorporating perfusion. Perfused skin models are well-regarded for their advantages, such as improved nutrient supply, enhanced barrier function, and [...] Read more.
In this study, we present a novel 3D perfused skin-on-a-chip model fabricated using micro-precision 3D printing, which offers a streamlined and reproducible approach for incorporating perfusion. Perfused skin models are well-regarded for their advantages, such as improved nutrient supply, enhanced barrier function, and prolonged tissue viability. However, current models often require complex setups, such as self-assembled endothelial cells or sacrificial rods, which are prone to variability and time-consuming. Our model uses projection micro-stereolithography 3D printing to create precise microcapillary-like channels using a biocompatible resin, overcoming the drug-absorbing properties of PDMS. A customized chip holder allows for the simultaneous culture of six perfused chips, enabling high-throughput testing. The engineered skin-on-a-chip features distinct dermis and epidermis layers, confirmed via H&E staining and immunostaining. To evaluate drug screening capabilities, inflammation was induced using TNF-α and treated with dexamethasone, with cytokine levels compared to 2D cultures and human skin biopsies. Our 3D model exhibited drug response trends similar to human skin, while showing reduced cytotoxicity over time compared to biopsies. This perfused skin-on-a-chip provides a reliable, physiologically relevant alternative for drug and cosmetics screening, simplifying perfusion setup while preserving key benefits. Full article
(This article belongs to the Section Biomedical Engineering and Biomaterials)
Show Figures

Figure 1

13 pages, 3345 KB  
Article
Impact of Cutting Data on Cutting Forces, Surface Roughness, and Chip Type in Order to Improve the Tool Operation Reliability in Sintered Cobalt Turning
by Emilia Franczyk and Wojciech Zębala
Materials 2024, 17(10), 2210; https://doi.org/10.3390/ma17102210 - 8 May 2024
Cited by 2 | Viewed by 1543
Abstract
The authors present the results of laboratory tests analysing the impact of selected cutting data and tool geometry on surface quality, chip type and cutting forces in the process of orthogonal turning of sintered cobalt. The selected cutting data are cutting speed and [...] Read more.
The authors present the results of laboratory tests analysing the impact of selected cutting data and tool geometry on surface quality, chip type and cutting forces in the process of orthogonal turning of sintered cobalt. The selected cutting data are cutting speed and feed rate. During the experiments, the cutting speed was varied in the range of vc = 50–200 m/min and the feed rate in the range of f = 0.077–0.173 mm/rev. In order to measure and acquire cutting force values, a measuring setup was assembled. It consisted of a Kistler 2825A-02 piezoelectric dynamometer with a single-position tool holder, a Kistler 5070 signal amplifier and a PC with DynoWare software (Version 2825A, Kistler Group, Winterthur, Switzerland)). The measured surface quality parameters were Ra and Rz. The components of the cutting forces obtained in the experiment varied depending on the feed rate and cutting speed. The obtained test results will make it possible to determine the optimal parameters for machining and tool geometry in order to reduce the machine operating time and increase the life of the cutting insert during the turning of sintered cobalt, which will contribute to sustainable technology. Full article
Show Figures

Figure 1

3 pages, 396 KB  
Abstract
Microhotplate as a Platform for Calorimetry
by Rebeka Gy. Kiss, Lajos Harasztosi, István A. Szabó and Gábor Battistig
Proceedings 2024, 97(1), 175; https://doi.org/10.3390/proceedings2024097175 - 10 Apr 2024
Viewed by 3555
Abstract
Calorimetry is a powerful method for characterising materials. The heat of a reaction can be directly measured with good accuracy. The established method usually requires large amounts of materials, which is a major drawback when studying thin film reactions. A MEMS microhotplate-based microcalorimeter [...] Read more.
Calorimetry is a powerful method for characterising materials. The heat of a reaction can be directly measured with good accuracy. The established method usually requires large amounts of materials, which is a major drawback when studying thin film reactions. A MEMS microhotplate-based microcalorimeter is developed in this study; it allows us to investigate thin film reactions by using a very small amount of materials. The temperature scale is calibrated by a well-known heat method of melting of two metal films. Energy calibration is also solved, and thus real information can be extracted for various solid-phase thin film reactions. In order to study reactions taking place close to room temperature, a cooled sample holder is developed, and the measurements can be started well below 0 °C. Full article
(This article belongs to the Proceedings of XXXV EUROSENSORS Conference)
Show Figures

Figure 1

17 pages, 10482 KB  
Article
The Path from Nasal Tissue to Nasal Mucosa on Chip: Part 2—Advanced Microfluidic Nasal In Vitro Model for Drug Absorption Testing
by Eugen Viktor Koch, Sebastian Bendas, Kristina Nehlsen, Tobias May, Stephan Reichl and Andreas Dietzel
Pharmaceutics 2023, 15(10), 2439; https://doi.org/10.3390/pharmaceutics15102439 - 9 Oct 2023
Cited by 4 | Viewed by 3109
Abstract
The nasal mucosa, being accessible and highly vascularized, opens up new opportunities for the systemic administration of drugs. However, there are several protective functions like the mucociliary clearance, a physiological barrier which represents is a difficult obstacle for drug candidates to overcome. For [...] Read more.
The nasal mucosa, being accessible and highly vascularized, opens up new opportunities for the systemic administration of drugs. However, there are several protective functions like the mucociliary clearance, a physiological barrier which represents is a difficult obstacle for drug candidates to overcome. For this reason, effective testing procedures are required in the preclinical phase of pharmaceutical development. Based on a recently reported immortalized porcine nasal epithelial cell line, we developed a test platform based on a tissue-compatible microfluidic chip. In this study, a biomimetic glass chip, which was equipped with a controlled bidirectional airflow to induce a physiologically relevant wall shear stress on the epithelial cell layer, was microfabricated. By developing a membrane transfer technique, the epithelial cell layer could be pre-cultivated in a static holder prior to cultivation in a microfluidic environment. The dynamic cultivation within the chip showed a homogenous distribution of the mucus film on top of the cell layer and a significant increase in cilia formation compared to the static cultivation condition. In addition, the recording of the ciliary transport mechanism by microparticle image velocimetry was successful. Using FITC-dextran 4000 as an example, it was shown that this nasal mucosa on a chip is suitable for permeation studies. The obtained permeation coefficient was in the range of values determined by means of other established in vitro and in vivo models. This novel nasal mucosa on chip could, in future, be automated and used as a substitute for animal testing. Full article
Show Figures

Figure 1

17 pages, 6344 KB  
Article
Production of Open-Cell Metal Foams by Recycling of Aluminum Alloy Chips
by Sonja Jozić, Branimir Lela, Jure Krolo and Suzana Jakovljević
Materials 2023, 16(11), 3930; https://doi.org/10.3390/ma16113930 - 24 May 2023
Cited by 4 | Viewed by 2382
Abstract
In this paper, an innovative sustainable method of producing metal foams was presented. The base material was aluminum alloy waste in the form of chips obtained by machining process. The leachable agent, used to create pores in the metal foams, was natrium chloride, [...] Read more.
In this paper, an innovative sustainable method of producing metal foams was presented. The base material was aluminum alloy waste in the form of chips obtained by machining process. The leachable agent, used to create pores in the metal foams, was natrium chloride, which was later removed by leaching, resulting in metal foams with open cells. Open-cell metal foams were produced with three different input parameters: volume percentage of natrium chloride, compaction temperature, and force. The obtained samples were subjected to compression tests during which displacements and compression forces were measured to obtain the necessary data for further analysis. To determine the influence of the input factors on the selected response values such as relative density, stress and energy absorption at 50% deformation, an analysis of variance was performed. As expected, the volume percentage of natrium chloride was shown to be the most influential input factor because it has a direct impact on the obtained metal foam porosity and thus on the density. The optimal values of the input parameters with which the metal foams will have the “most desirable” performances are a 61.44% volume percentage of natrium chloride, a compaction temperature of 300 °C and a compaction force of 495 kN. Full article
(This article belongs to the Collection Machining and Manufacturing of Alloys and Steels)
Show Figures

Figure 1

16 pages, 2834 KB  
Article
On the Lubricity and Comparative Life Cycle of Biobased Synthetic and Mineral Oil Emulsions in Machining Titanium Ti-6Al-4V at Low Cutting Speed
by Paul Wood, Fathi Boud, Wayne Carter, Hirbod Varasteh, Urvashi Gunputh, Marzena Pawlik, Jenny Clementson, Yiling Lu, Syed Hossain, Matthew Broderick, Munusamy Raguraman, Andy Smith, Andy Mantle and Jamie McGourlay
J. Manuf. Mater. Process. 2022, 6(6), 154; https://doi.org/10.3390/jmmp6060154 - 2 Dec 2022
Cited by 6 | Viewed by 3180
Abstract
The paper discusses an instrumented tapping test method using a CNC machine tool to compare the lubricity of MWFs by cutting threads in a Ti-6Al-4V alloy at low speed. The method uses a spiral flute tap size typical of industrial practice. A soft [...] Read more.
The paper discusses an instrumented tapping test method using a CNC machine tool to compare the lubricity of MWFs by cutting threads in a Ti-6Al-4V alloy at low speed. The method uses a spiral flute tap size typical of industrial practice. A soft synchronous tap holder and spindle mounted dynamometer were incorporated on the machine to measure torque and thrust force. The tapping test method was demonstrated on three groups of MWFs that were commercially available and classified by ASTM E2523-13:2018. The method developed stable results free of chip clogging in tool flutes which could otherwise mask their comparative lubricity. The fully synthetic (FS) group displayed the best lubricity and within this group the FS from renewables (FS-bio) was the best overall. The method was shown to be effective in mitigating biasing effects on lubricity performance due to the generous tool chamfer angle tolerance and was practical and economical to implement. The significance of the results is discussed enabling an understanding of friction effects in tapping using a soft synchronous tap holder. A life cycle assessment of each MWF group found total Greenhouse Gas emitted from the FS group was 17% of the hydrocarbon group whilst FS-bio emitted just 7%. Full article
Show Figures

Figure 1

14 pages, 13233 KB  
Article
Silicon Nitride-Based Micro-Apertures Coated with Parylene for the Investigation of Pore Proteins Fused in Free-Standing Lipid Bilayers
by Tanzir Ahmed, Jayesh Arun Bafna, Roland Hemmler, Karsten Gall, Richard Wagner, Mathias Winterhalter, Michael J. Vellekoop and Sander van den Driesche
Membranes 2022, 12(3), 309; https://doi.org/10.3390/membranes12030309 - 9 Mar 2022
Cited by 3 | Viewed by 3591
Abstract
In this work, we present a microsystem setup for performing sensitive biological membrane translocation measurements. Thin free-standing synthetic bilayer lipid membranes (BLM) were constructed in microfabricated silicon nitride apertures (<100 µm in diameter), conformal coated with Parylene (Parylene-C or Parylene-AF4). Within these BLMs, [...] Read more.
In this work, we present a microsystem setup for performing sensitive biological membrane translocation measurements. Thin free-standing synthetic bilayer lipid membranes (BLM) were constructed in microfabricated silicon nitride apertures (<100 µm in diameter), conformal coated with Parylene (Parylene-C or Parylene-AF4). Within these BLMs, electrophysiological measurements were conducted to monitor the behavior of different pore proteins. Two approaches to integrate pore-forming proteins into the membrane were applied: direct reconstitution and reconstitution via outer membrane vesicles (OMVs) released from Gram-negative bacteria. The advantage of utilizing OMVs is that the pore proteins remain in their native lipid and lipopolysaccharide (LPS) environment, representing a more natural state compared to the usage of fused purified pore proteins. Multiple aperture chips can be easily assembled in the 3d-printed holder to conduct parallel membrane transport investigations. Moreover, well defined microfabricated apertures are achievable with very high reproducibility. The presented microsystem allows the investigation of fast gating events (down to 1 ms), pore blocking by an antibiotic, and gating events of small pores (amplitude of approx. 3 pA). Full article
(This article belongs to the Special Issue Characterization and Roles of Membrane Lipids)
Show Figures

Figure 1

21 pages, 6308 KB  
Article
Research on Variable Parameter Drilling Method of Ti-CFRP-Ti Laminated Stacks Based on Real-Time Sensing of Drilling Axial Force
by Zhengzhu Zhang, Ning Zhang, Fenghe Wu, Weixiang Teng, Yingbing Sun and Baosu Guo
Sensors 2022, 22(3), 1188; https://doi.org/10.3390/s22031188 - 4 Feb 2022
Cited by 10 | Viewed by 3951
Abstract
Ti-CFRP-Ti laminated stacks have been widely used in aviation, aerospace, shipbuilding and other industries, owing to its excellent physical and electrochemical properties. However, chip blockages occur easily when drilling into Ti-CFRP-Ti laminated stacks, resulting in a rapid rise of drilling temperature and an [...] Read more.
Ti-CFRP-Ti laminated stacks have been widely used in aviation, aerospace, shipbuilding and other industries, owing to its excellent physical and electrochemical properties. However, chip blockages occur easily when drilling into Ti-CFRP-Ti laminated stacks, resulting in a rapid rise of drilling temperature and an increase of axial drilling force, which may lead to the intensification of tool wear and a decline of drilling quality. Cutting force signals can effectively reflect the drilling process and tool condition, however, the traditional plate dynamometer is typically difficult in realizing the follow-up online measurement. Therefore, an intelligent tool holder system for real-time sensing of the cutting force is developed and constructed in this paper, and the variable parameter drilling method of Ti-CFRP-Ti laminated stacks is studied on this basis. Firstly, an intelligent tool holder system with high flexibility and adaptability is designed; Secondly, a cutting force signal processing method based on compressed sensing (CS) theory is proposed to solve the problem of high-frequency signal transmission; Lastly, the drilling experiment of Ti-CFRP-Ti laminated stacks is carried out based on the intelligent tool holder system, and the drilling parameters are optimized using a compromise programming approach and analytic hierarchy process (AHP). The comparison of results show that the optimized drilling parameters can effectively reduce the hole wall surface roughness and improve the drilling efficiency while ensuring a small axial force. Full article
(This article belongs to the Special Issue Instrument and Measurement Based on Sensing Technology in China)
Show Figures

Figure 1

14 pages, 29803 KB  
Article
A Nanoplasmonic-Based Biosensing Approach for Wide-Range and Highly Sensitive Detection of Chemicals
by Francesco Arcadio, Luigi Zeni, Aldo Minardo, Caterina Eramo, Stefania Di Ronza, Chiara Perri, Girolamo D’Agostino, Guido Chiaretti, Giovanni Porto and Nunzio Cennamo
Nanomaterials 2021, 11(8), 1961; https://doi.org/10.3390/nano11081961 - 30 Jul 2021
Cited by 12 | Viewed by 2688
Abstract
In a specific biosensing application, a nanoplasmonic sensor chip has been tested by an experimental setup based on an aluminum holder and two plastic optical fibers used to illuminate and collect the transmitted light. The studied plasmonic probe is based on gold nanograting, [...] Read more.
In a specific biosensing application, a nanoplasmonic sensor chip has been tested by an experimental setup based on an aluminum holder and two plastic optical fibers used to illuminate and collect the transmitted light. The studied plasmonic probe is based on gold nanograting, realized on the top of a Poly(methyl methacrylate) (PMMA) chip. The PMMA substrate could be considered as a transparent substrate and, in such a way, it has been already used in previous work. Alternatively, here it is regarded as a slab waveguide. In particular, we have deposited upon the slab surface, covered with a nanograting, a synthetic receptor specific for bovine serum albumin (BSA), to test the proposed biosensing approach. Exploiting this different experimental configuration, we have determined how the orientation of the nanostripes forming the grating pattern, with respect to the direction of the input light (longitudinal or orthogonal), influences the biosensing performances. For example, the best limit of detection (LOD) in the BSA detection that has been obtained is equal to 23 pM. Specifically, the longitudinal configuration is characterized by two observable plasmonic phenomena, each sensitive to a different BSA concentration range, ranging from pM to µM. This aspect plays a key role in several biochemical sensing applications, where a wide working range is required. Full article
Show Figures

Figure 1

20 pages, 7471 KB  
Article
Mathematical Analysis of the Process Forces Effect on Collet Chuck Holders
by Enrique Soriano-Heras, Higinio Rubio, Alejandro Bustos and Cristina Castejon
Mathematics 2021, 9(5), 492; https://doi.org/10.3390/math9050492 - 27 Feb 2021
Cited by 3 | Viewed by 5135
Abstract
Chuck holders are widely used for jobs with high precision. A chuck holder consists of a nut with a tapered surface and a thin-slotted clamping sleeve typically made of hardened steel and named a collet. Chuck holders are, essentially, wedge mechanisms. In this [...] Read more.
Chuck holders are widely used for jobs with high precision. A chuck holder consists of a nut with a tapered surface and a thin-slotted clamping sleeve typically made of hardened steel and named a collet. Chuck holders are, essentially, wedge mechanisms. In this paper, we investigated the reactions and strains due to the forces during the chip removal process in the contact elements or jaws of the collet by means of mathematical analysis. Deflections in the jaws of the collet arise with a high influence from the precision of the workpieces. The cutting or process forces cause an axial force, a radial force, a torsional moment, and a bending moment on the chuck collet, and, consequently, displacements and inclinations of the clamping system are caused. Therefore, the proposed analytical models are based on elasticity and contact theories. The mathematical model for determining the deflections of the clamping system force was developed and implemented using MATLAB. The results showed that the variation in the clamping force during rotation in a collet chuck holder mainly depends on the stiffness of the collet chuck holder and the stiffness of the workpiece. The results indicated that the collet should be vulcanized to minimize the deformations that affect the final product. The deflections of a collet chuck holder due to process forces depend strongly on the clearances, wedge angle, and stiffness of the collet. Full article
Show Figures

Figure 1

23 pages, 5515 KB  
Article
Visualization of Polymer Crystallization by In Situ Combination of Atomic Force Microscopy and Fast Scanning Calorimetry
by Rui Zhang, Evgeny Zhuravlev, René Androsch and Christoph Schick
Polymers 2019, 11(5), 890; https://doi.org/10.3390/polym11050890 - 15 May 2019
Cited by 23 | Viewed by 6476
Abstract
A chip-based fast scanning calorimeter (FSC) is used as a fast hot-stage in an atomic force microscope (AFM). This way, the morphology of materials with a resolution from micrometers to nanometers after fast thermal treatments becomes accessible. An FSC can treat the sample [...] Read more.
A chip-based fast scanning calorimeter (FSC) is used as a fast hot-stage in an atomic force microscope (AFM). This way, the morphology of materials with a resolution from micrometers to nanometers after fast thermal treatments becomes accessible. An FSC can treat the sample isothermally or at heating and cooling rates up to 1 MK/s. The short response time of the FSC in the order of milliseconds enables rapid changes from scanning to isothermal modes and vice versa. Additionally, FSC provides crystallization/melting curves of the sample just imaged by AFM. We describe a combined AFM-FSC device, where the AFM sample holder is replaced by the FSC chip-sensor. The sample can be repeatedly annealed at pre-defined temperatures and times and the AFM images can be taken from exactly the same spot of the sample. The AFM-FSC combination is used for the investigation of crystallization of polyamide 66 (PA 66), poly(ether ether ketone) (PEEK), poly(butylene terephthalate) (PBT) and poly(ε-caprolactone) (PCL). Full article
Show Figures

Graphical abstract

4 pages, 710 KB  
Proceeding Paper
Fast Formation of Lipid Bilayer Membranes for Simultaneous Analysis of Molecular Transport Using Parylene Coated Chips
by Tanzir Ahmed, Sander van den Driesche, Martin Oellers, Roland Hemmler, Karsten Gall, Satya Prathyusha Bhamidimarri, Mathias Winterhalter, Richard Wagner and Michael J. Vellekoop
Proceedings 2018, 2(13), 920; https://doi.org/10.3390/proceedings2130920 - 23 Nov 2018
Cited by 5 | Viewed by 2712
Abstract
Artificial lipid bilayers are an essential tool to investigate channel forming proteins. A particular challenge is to study antibiotic uptake through bacterial porins requiring low volume and parallelization. Here, we present a lipid bilayer silicon chip having a Parylene-C coated silicon nitride membrane [...] Read more.
Artificial lipid bilayers are an essential tool to investigate channel forming proteins. A particular challenge is to study antibiotic uptake through bacterial porins requiring low volume and parallelization. Here, we present a lipid bilayer silicon chip having a Parylene-C coated silicon nitride membrane with different aperture sizes. The Parylene-C allows very fast lipid bilayer membrane fabrication, 30 to 130 s. The realization-success is very high and an average lifetime of at least 9 h was established. Furthermore, a 3D-printed holder is realized where parallel assembly of the chips, including fluid inlets for the pipetting robot, is demonstrated. Full article
(This article belongs to the Proceedings of EUROSENSORS 2018)
Show Figures

Figure 1

Back to TopTop