Sign in to use this feature.

Years

Between: -

Subjects

remove_circle_outline
remove_circle_outline
remove_circle_outline
remove_circle_outline
remove_circle_outline
remove_circle_outline
remove_circle_outline
remove_circle_outline
remove_circle_outline

Journals

Article Types

Countries / Regions

Search Results (26)

Search Parameters:
Keywords = characteristic secant modulus

Order results
Result details
Results per page
Select all
Export citation of selected articles as:
17 pages, 5183 KB  
Article
Multi-Scale Damage Evolution of Soil-Rock Mixtures Under Freeze–Thaw Cycles: Revealed by Electrochemical Impedance Spectroscopy Testing and Fractal Theory
by Junren Deng, Lei Wang, Guanglin Tian and Hongwei Deng
Fractal Fract. 2025, 9(10), 624; https://doi.org/10.3390/fractalfract9100624 - 25 Sep 2025
Viewed by 1211
Abstract
The response of the microscopic structure and macroscopic mechanical parameters of SRM under F–T cycles is a key factor affecting the safety and stability of engineering projects in cold regions. In this study, F–T tests, EIS, and uniaxial compression tests were conducted on [...] Read more.
The response of the microscopic structure and macroscopic mechanical parameters of SRM under F–T cycles is a key factor affecting the safety and stability of engineering projects in cold regions. In this study, F–T tests, EIS, and uniaxial compression tests were conducted on SRM. The construct equivalent model of different conductive paths based on EIS was constructed. A peak strength prediction model was developed using characteristic parameters derived from the equivalent models, thereby revealing the mechanism by which F–T cycles influenced both microscopic structure and macroscopic strength. The results showed that with increasing cycles, both RCP and RCPP  exhibited an exponential decreasing trend, whereas CDSRP and Df increased exponentially. Peak strength and peak secant modulus decreased exponentially, but peak strain increased exponentially. The expansion and interconnection of pores with different radii within CPP and CP caused smaller pores to evolve into larger ones while generating new pores, which led to a decline in RCPP and RCP. Moreover, this expansion enlarged the soil–rock contact area by connecting adjacent gas-phase pores and promoted the transformation of CSRPP into DSRPP, enhancing the parallel-plate capacitance effect and resulting in an increase in CDSRP. Moreover, the interconnection increased the roughness of soil–soil and soil–rock contact surfaces, leading to a rising trend in Df. The combined influence of CDSRP and Df yielded a strength prediction model with higher correlation than a single factor, providing more accurate predictions of UCS. However, the increases in CDSRP and Df induced by F–T cycles also contributed to microscopic structure damage and strength deterioration, reducing the load-bearing capacity and ultimately causing a decline in UCS. Full article
(This article belongs to the Special Issue Applications of Fractal Analysis in Structural Geology)
Show Figures

Figure 1

17 pages, 4064 KB  
Article
Study on Multi-Scale Damage Evolution of Sandstone Under Freeze–Thaw Cycles: A Computational Perspective Based on Pore Structure and Fractal Dimension
by Jianhui Qiu, Keping Zhou, Guanglin Tian and Taoying Liu
Fractal Fract. 2025, 9(8), 534; https://doi.org/10.3390/fractalfract9080534 - 15 Aug 2025
Cited by 1 | Viewed by 970
Abstract
Understanding the intrinsic relationship between microscopic structures and macroscopic mechanical properties of rock under freeze–thaw (F-T) conditions is essential for ensuring the safety and stability of geotechnical engineering in cold regions. In this study, a series of F-T cycle tests, nuclear magnetic resonance [...] Read more.
Understanding the intrinsic relationship between microscopic structures and macroscopic mechanical properties of rock under freeze–thaw (F-T) conditions is essential for ensuring the safety and stability of geotechnical engineering in cold regions. In this study, a series of F-T cycle tests, nuclear magnetic resonance (NMR) measurements, and uniaxial compression tests were conducted on sandstone samples. The mechanisms by which F-T cycles influence pore structure and mechanical behavior were analyzed, revealing their internal correlation. A degradation model for peak strength was developed using mesopore porosity as the key influencing parameter. The results showed that with increasing F-T cycles, the total porosity and mesopore and macropore porosities all exhibited increasing trends, whereas the micropore and different fractal dimensions decreased. The compaction stage in the stress–strain curves became increasingly prominent with more F-T cycles. Meanwhile, the peak strength and secant modulus decreased, while the peak strain increased. When the frost heave pressure induced by water–ice phase transitions exceeded the ultimate bearing capacity of pore walls, smaller pores progressively evolved into larger ones, leading to an increase in the mesopores and macropores. Notably, mesopores and macropores demonstrated significant fractal characteristics. The transformation in pore size disrupted the power-law distribution of pore radii and reduced fractal dimensions. A strong correlation was observed between peak strength and both the mesopore and mesopore fractal dimensions. The increase in mesopores and macropores enhanced the compaction stage of the stress–strain curve. Moreover, the expansion and interconnection of mesopores under loading conditions degraded the deformation resistance and load-bearing capacity, thereby reducing both the secant modulus and peak strength. The degradation model for peak strength, developed based on changes in mesopore ratio, proved effective for evaluating the mechanical strength when subjected to different numbers of F-T cycles. Full article
(This article belongs to the Special Issue Applications of Fractal Dimensions in Rock Mechanics and Geomechanics)
Show Figures

Figure 1

27 pages, 5081 KB  
Article
Application of Parameter Inversion of HSS Model Based on BP Neural Network Optimized by Genetic Algorithm in Foundation Pit Engineering
by Xiaosheng Pu, Jin Huang, Tao Peng, Wenzhe Wang, Bin Li and Haitang Zhao
Buildings 2025, 15(4), 531; https://doi.org/10.3390/buildings15040531 - 9 Feb 2025
Cited by 4 | Viewed by 1067
Abstract
The hardening soil model with small-strain stiffness (HSS model) is widely applied in deep foundation pit engineering in coastal soft-soil areas, yet it is characterized by a multitude of parameters that are relatively cumbersome to acquire. In this study, we incorporate a genetic [...] Read more.
The hardening soil model with small-strain stiffness (HSS model) is widely applied in deep foundation pit engineering in coastal soft-soil areas, yet it is characterized by a multitude of parameters that are relatively cumbersome to acquire. In this study, we incorporate a genetic algorithm and a back-propagation neural network (BPNN) model into an inversion analysis for HSS model parameters, with the objective of facilitating a more streamlined and accurate determination of these parameters in practical engineering. Utilizing horizontal displacement monitoring data from retaining structures, combined with local engineering, both a BPNN model and a BPNN optimized by a genetic algorithm (GA-BPNN) model were established to invert the stiffness modulus parameters of the HSS model for typical strata. Subsequently, numerical simulations were conducted based on the inverted parameters to analyze the deformation characteristics of the retaining structures. The performances of the BPNN and GA-BPNN models were evaluated using statistical metrics, including R2, MAE, MSE, WI, VAF, RAE, RRSE, and MAPE. The results demonstrate that the GA-BPNN model achieves significantly lower prediction errors, higher fitting accuracy, and predictive performance compared to the BPNN model. Based on the parameters inverted by the GA-BPNN model, the average compression modulus Es12, the reference tangent stiffness modulus Eoedref, the reference secant stiffness modulus E50ref, and the reference unloading–reloading stiffness modulus  Eurref for gravelly cohesive soil were determined as Eoedref=0.83Es12 and Eurref=8.14E50ref; for fully weathered granite, Eoedref=1.54Es12 and Eurref=5.51E50ref. Numerical simulations conducted with these stiffness modulus parameters show excellent agreement with monitoring data, effectively describing the deformation characteristics of the retaining structures. In situations where relevant mechanical tests are unavailable, the application of the GA-BPNN model for the inversion analysis of HSS model parameters is both rational and effective, offering a reference for similar engineering projects. Full article
(This article belongs to the Special Issue Application of Experiment and Simulation Techniques in Engineering)
Show Figures

Figure 1

16 pages, 3160 KB  
Article
Medical- and Non-Medical-Grade Polycaprolactone Mesh Printing for Prolapse Repair: Establishment of Melt Electrowriting Prototype Parameters
by Maria F. R. Vaz, Joana A. P. Martins, Fábio Pinheiro, Nuno M. Ferreira, Sofia Brandão, Jorge L. Alves, António A. Fernandes, Marco P. L. Parente and Maria E. T. Silva
Appl. Sci. 2024, 14(21), 9670; https://doi.org/10.3390/app14219670 - 23 Oct 2024
Cited by 12 | Viewed by 4321
Abstract
Pelvic organ prolapse (POP) occurs due to inadequate support of female pelvic organs and is often treated with synthetic implants. However, complications like infections, mesh shrinkage, and tissue erosion can arise due to biomechanical incompatibilities with native tissue. This study aimed to optimize [...] Read more.
Pelvic organ prolapse (POP) occurs due to inadequate support of female pelvic organs and is often treated with synthetic implants. However, complications like infections, mesh shrinkage, and tissue erosion can arise due to biomechanical incompatibilities with native tissue. This study aimed to optimize the melt electrowriting process using medical-grade biodegradable Poly(ε-caprolactone) (PCL) with a pellet extruder to print meshes that mimic the mechanical properties of vaginal tissue. Square and diagonal mesh designs with filament diameters of 80 µm, 160 µm, and 240 µm were produced and evaluated through mechanical testing, comparing them to a commercial mesh and sheep vaginal tissue. The results showed that when comparing medical-grade with non-medical-grade square meshes, there was a 54% difference in the Secant modulus, with the non-medical-grade meshes falling short of matching the properties of vaginal tissue. The square-shaped medical-grade PCL mesh closely approximated vaginal tissue, showing only a 13.7% higher Secant modulus and a maximum stress of 0.29 MPa, indicating strong performance. Although the diagonal-shaped mesh exhibited a 14% stress difference, its larger Secant modulus discrepancy of 45% rendered it less suitable. In contrast, the commercial mesh was significantly stiffer, measuring 77.5% higher than vaginal tissue. The diagonal-shaped mesh may better match the stress–strain characteristics of vaginal tissue, but the square-shaped mesh offers stronger support due to its higher stress–strain curve. Overall, meshes printed with medical-grade PCL show superior performance compared to non-medical-grade meshes, suggesting that they are a promising avenue for future advancements in the field of POP repair. Full article
Show Figures

Figure 1

22 pages, 27396 KB  
Article
Mechanical Property Degradation of Entangled Metallic Wire Materials under Vibration Environment: Experiments and Prediction Models
by Yanhong Ma, Tianyu Liang, Yongfeng Wang, Zhizhou Wang and Jie Hong
Actuators 2023, 12(11), 418; https://doi.org/10.3390/act12110418 - 8 Nov 2023
Cited by 2 | Viewed by 2528
Abstract
Entangled metallic wire material (EMWM) can be utilized as a novel elastic element in vibration isolation devices for mechanical actuators. This paper presents a vibration experiment aimed at investigating the degradation behavior of mechanical performance in EMWM under a cyclic compressive environment. An [...] Read more.
Entangled metallic wire material (EMWM) can be utilized as a novel elastic element in vibration isolation devices for mechanical actuators. This paper presents a vibration experiment aimed at investigating the degradation behavior of mechanical performance in EMWM under a cyclic compressive environment. An electric vibration testing system, coupled with an isolation structure, is employed to apply compressive loads to the EMWM specimens. Through visual observations and quasi-static compression tests, the variations in geometric morphology and mechanical properties are studied, considering different relative densities and vibrational stress amplitudes. The results indicate a significant reduction in the compressed dimension of the specimens as the number of cycles increases, without any wire fractures or wear. The mechanical properties exhibit an increasing secant modulus and a decreasing loss factor. These variations ultimately lead to a gradual deviation of the vibration characteristics of the isolation structure from its design state, including resonance frequency and transmission rate. To forecast the mechanical property degradation of EMWM, prediction models are proposed, incorporating its dimensions, modulus, and damping by fitting the experiment results. This research provides valuable experimental data and presents an effective method to determine the operational lifespan of vibration isolators utilizing EMWM. Full article
(This article belongs to the Special Issue Advanced Spacecraft Structural Dynamics and Actuation Control)
Show Figures

Figure 1

17 pages, 16738 KB  
Article
Experimental Study on Macroscopic Mechanical Characteristics and Microscopic Pore Structure Evolution of Soil–Rock Mixture under Repeated Freeze–Thaw Cycles
by Hongwei Deng, Bokun Zhao, Yigai Xiao and Guanglin Tian
Appl. Sci. 2023, 13(20), 11504; https://doi.org/10.3390/app132011504 - 20 Oct 2023
Cited by 11 | Viewed by 2443
Abstract
The response characteristics of the mesostructure and macro-characteristics of the soil–rock mixture under repeated freeze–thaw action have an important influence on the safety and stability of the dump slope in low-temperature environments. In order to further understand the multi-scale response behavior of a [...] Read more.
The response characteristics of the mesostructure and macro-characteristics of the soil–rock mixture under repeated freeze–thaw action have an important influence on the safety and stability of the dump slope in low-temperature environments. In order to further understand the multi-scale response behavior of a soil–rock mixture under freeze–thaw cycles, this paper carried out indoor freeze–thaw cycles, uniaxial compression, and electrochemical impedance spectroscopy tests on a soil–rock mixture taken from a graphite mine dump in Jixi City, Heilongjiang Province, China. Combined with the simulation calculation of discrete element numerical software (PFC2D 7.0), the effects of freeze–thaw cycling on electrochemical impedance spectrometry (EIS) mesoscopic parameters, uniaxial compressive strength, and crack propagation of soil–rock mixtures were analyzed. The intrinsic relationship between mesoparameters and macroscopic mechanical properties was established. The results showed that as the number of freeze–thaw cycles increases from 0 to 15, the mesopores inside the soil–rock mixture gradually increase, and the angular similarity of distribution characteristics increases by 5.25%. The uniaxial compressive strength and the peak secant modulus increase exponentially with the increase in the number of freeze–thaw cycles, the uniaxial compressive strength decreases by 47.62%, and the peak secant modulus decreases by 75.87%. The peak strain and pore compaction stage showed an exponential increase and an increasing trend, respectively, and the peak strain increased from 2.115% to 4.608%. The failure mode was basically similar in different cycles; the failure cracks extended from the corners to the middle and lower parts before the failure finally occurred. The types of failure cracks were mainly tensile cracks, followed by tensile shear cracks and the fewest compression shear cracks. The similarity and uniaxial compressive strength conformed to a good linear relationship with the number of freeze–thaw cycles, with the uniaxial compressive strength decreasing linearly with the increase in similarity. Full article
(This article belongs to the Special Issue Structural Mechanics in Materials and Construction)
Show Figures

Figure 1

12 pages, 3200 KB  
Article
The Impact of Freeze–Thaw Cycles on the Shear and Microstructural Characteristics of Compacted Silty Clay
by Jia Jia, Hongying Wei, Dehuan Yang and Yuancheng Wu
Buildings 2023, 13(9), 2308; https://doi.org/10.3390/buildings13092308 - 11 Sep 2023
Cited by 17 | Viewed by 2412
Abstract
The shear strength characteristics and weakening effect of soils under freeze–thaw (FT) cycling are the key problems that should be solved to ensure the integrity of infrastructure construction in seasonally frozen soil areas. Thus far, however, the research on the mechanism of strength [...] Read more.
The shear strength characteristics and weakening effect of soils under freeze–thaw (FT) cycling are the key problems that should be solved to ensure the integrity of infrastructure construction in seasonally frozen soil areas. Thus far, however, the research on the mechanism of strength deterioration resulting from microstructural changes induced by FT cycles remains insufficiently comprehensive. To investigate the deterioration characteristics of the shear strength of seasonally frozen soils in FT cycles, a series of laboratory experiments were conducted using compacted silty clay subjected to a maximum of five closed-system FT cycles. The stress–strain curve, secant module, shear strength, and microscopic structure were measured for specimens before and after the FT cycles. The stress–strain curves of the unfrozen and thawed specimens demonstrated a strain-hardening behavior, indicating an increase in resistance to deformation. Moreover, the shear strength and secant modulus of the unfrozen specimen surpassed those of the thawed specimen significantly. As the number of FT cycles increased, there was a gradual decline observed in the strength, stiffness, cohesive properties, and internal friction angle of the thawed specimen. The nuclear magnetic resonance technique was employed to interpret the experimental findings. It was demonstrated that the micro-pores undergo continuous enlargement and transformation into medium-sized and large-sized pores, leading to FT deterioration. Based on the experimental results, a modified Duncan–Chang model was developed to simulate the mechanical behavior of compacted silty clay while considering the influence of FT cycles. Full article
(This article belongs to the Collection Innovation of Materials and Technologies in Civil Construction)
Show Figures

Figure 1

19 pages, 6056 KB  
Article
Mechanical Properties of Polyamide Fiber-Reinforced Lime–Cement Concrete
by Mohammad Mostafa Jafari, Soheil Jahandari, Togay Ozbakkaloglu, Haleh Rasekh, Danial Jahed Armaghani and Aida Rahmani
Sustainability 2023, 15(15), 11484; https://doi.org/10.3390/su151511484 - 25 Jul 2023
Cited by 10 | Viewed by 2504
Abstract
Lime–cement concrete (LCC) is a type of lime-based concrete in which lime and cement are utilized as the main binding agents. This type of concrete has been extensively used to construct support layers for shallow footings and road backfills in some warm regions. [...] Read more.
Lime–cement concrete (LCC) is a type of lime-based concrete in which lime and cement are utilized as the main binding agents. This type of concrete has been extensively used to construct support layers for shallow footings and road backfills in some warm regions. So far, there has been no systematic research conducted to investigate the mechanical characteristics of polyamide fiber-reinforced LCC. To address this gap, LCC specimens were prepared with 0%, 0.5%, 1%, and 2% of polyamide fibers (a synthetic textile made of petroleum-based plastic polymers). Specimens were then cured for 3, 7, and 28 days at room and oven temperatures. Then, the effects of the fibers’ contents, curing conditions, and curing periods on the mechanical characteristics of LCC, such as secant modulus, deformability index, bulk modulus, shear modulus, stiffness ratio, strain energy, failure strain, strength ratio, and failure patterns, was investigated. The results of the unconfined compressive strength (UCS) tests showed that specimens with 1% fiber had the highest UCS values. The curing condition and curing period had significant effects on the strength of the LCC specimens, and oven-cured specimens developed higher UCS values. The aforementioned mechanical properties of the LCC specimens and the ability of the material to absorb energy significantly improved when the curing period under the oven-curing condition was increased, as well as through the application of fibers in the mix design. Based on the test results, a simple mathematical model was also established to forecast the mechanical properties of fiber-reinforced LCC. It is concluded that the use of polyamide fibers in the mix design of LCC can both improve mechanical properties and perhaps address the environmental issues associated with waste polyamide fibers. Full article
Show Figures

Figure 1

20 pages, 11424 KB  
Article
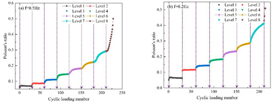
Examination of the Effects of Different Frequencies on Rock Fracturing via Laboratory-Scale Variable Amplitude Fatigue Loading Experiments
by Shaohua Gao, Huajun Meng, Yunfeng Wu, Xuebing Wang, Yu Wang, Jihuan Wu and Peng Wang
Appl. Sci. 2023, 13(8), 4908; https://doi.org/10.3390/app13084908 - 13 Apr 2023
Cited by 7 | Viewed by 3146
Abstract
In this study, the characteristics of the fracture evolution of argillaceous shale under increasing-amplitude loading were investigated. The GCTS RTR-2000 test system and in-situ acoustic emission (AE) monitoring were employed to execute the tests. The following results were observed. (1) The strength, deformation, [...] Read more.
In this study, the characteristics of the fracture evolution of argillaceous shale under increasing-amplitude loading were investigated. The GCTS RTR-2000 test system and in-situ acoustic emission (AE) monitoring were employed to execute the tests. The following results were observed. (1) The strength, deformation, and fatigue life increased with the frequency, and the morphology of the hysteresis curve changed regularly with time. (2) The cumulative damage of the rock at the location in which the stress amplitude suddenly increased exceeded that at the fatigue loading stage. The AE count and AE energy were affected by the loading frequency. (3) The secant modulus exhibited different values for different loading frequencies; the smaller the loading frequency, the fewer loading stages the samples experienced, and the faster the secant modulus decreased. The change in Poisson’s ratio over the entire process was composed of a steady growth stage and a rapid growth stage. (4) The rock exhibited two stages of damage evolution, with rapid damage accumulation occurring at the beginning of the loading and relatively smooth damage occurring thereafter. This study developed a cumulative fatigue damage model that can adequately fit the accumulated damage during the fracturing process. The experiments revealed that variable amplitude fatigue loading at different frequencies significantly influences the damage deterioration and the failure law of the rock. The results are expected to improve the understanding of the frequency effect on the fracture behavior and help predict the lifespan of rock structures. This is of great significance to the promotion of slope management, landslide disaster prevention, and mine reuse at the West Open-pit Mine. Full article
Show Figures

Figure 1

15 pages, 4098 KB  
Article
Variation of Elastic Stiffness Parameters of Granitic Rock during Loading in Uniaxial Compressive Test
by Samad Narimani, Seyed Morteza Davarpanah, László Kovács and Balázs Vásárhelyi
Appl. Mech. 2023, 4(2), 445-459; https://doi.org/10.3390/applmech4020025 - 13 Apr 2023
Cited by 6 | Viewed by 4052
Abstract
Any rock mechanics’ design inherently involves determining the deformation characteristics of the rock material. The purpose of this study is to offer equations for calculating the values of bulk modulus (K), elasticity modulus (E), and rigidity modulus (G) throughout the loading of the [...] Read more.
Any rock mechanics’ design inherently involves determining the deformation characteristics of the rock material. The purpose of this study is to offer equations for calculating the values of bulk modulus (K), elasticity modulus (E), and rigidity modulus (G) throughout the loading of the sample until failure. Also, the Poisson’s ratio, which is characterized from the stress–strain curve, has a significant effect on the rigidity and bulk moduli. The results of a uniaxial compressive (UCS) test on granitic rocks from the Morágy (Hungary) radioactive waste reservoir site were gathered and examined for this purpose. The fluctuation of E, G, and K has been the subject of new linear and nonlinear connections. The proposed equations are parabolic in all of the scenarios for the Young’s modulus and shear modulus, the study indicates. Furthermore, the suggested equations for the bulk modulus in the secant, average, and tangent instances are also nonlinear. Moreover, we achieved correlations with a high determination factor for E, G, and K in three different scenarios: secant, tangent, and average. It is particularly intriguing to observe that the elastic stiffness parameters exhibit strong correlation in the results. Full article
Show Figures

Figure 1

17 pages, 6183 KB  
Article
Nonlinear Settlement Calculation of Composite Foundation Based on Tangent Modulus Method: Two Case Studies
by Yonghua Li, Lei Yao, Gaoxiang Chen, Weijian Zhao and Xiangang Liu
Buildings 2023, 13(4), 892; https://doi.org/10.3390/buildings13040892 - 28 Mar 2023
Cited by 5 | Viewed by 2849
Abstract
The tangent modulus method of undisturbed soil is a new method in settlement calculation, which is mainly applied to hard soil with a strong structure, such as silty clay, completely weathered rock, and granite residual soil with an SPT blow count greater than [...] Read more.
The tangent modulus method of undisturbed soil is a new method in settlement calculation, which is mainly applied to hard soil with a strong structure, such as silty clay, completely weathered rock, and granite residual soil with an SPT blow count greater than 8. The tangent modulus is mainly obtained from a field plate load test, which can consider the influence of the soil stress level and reflect the nonlinear characteristics of the foundation settlement. In a multi-layer soil foundation, since the deep plate loading test is difficult, a method was proposed to determine the tangent modulus of deep soil. It is assumed that the ratio of the initial tangent modulus to the deformation modulus is equal to the ratio of the unloading–reloading modulus Eurref to the secant modulus E50ref obtained by triaxial unloading–reloading test. Since there are corresponding empirical formulae for SPT counts and the deformation modulus of different types of soils in many regions, the initial tangent modulus can be derived by the above method. In two cases of a composite foundation, the compression modulus and tangent modulus were used to calculate the settlement of the foundation, which is then compared with the measured results. The results show that the proposed method for determining the tangent modulus of deep soil is feasible in theory, and the calculating accuracy of the tangent modulus is significantly higher than that of the traditional compression modulus. Full article
(This article belongs to the Special Issue Advances in Soils and Foundations)
Show Figures

Figure 1

25 pages, 16020 KB  
Article
Fracturing Behaviors and Mechanism of Serial Coal Pillar Specimens with Different Strength
by Cheng Song, Guangming Cao, Jinwen Bai, Shanyong Wang, Guorui Feng, Xudong Shi, Kai Wang and Chun Zhu
Materials 2023, 16(7), 2690; https://doi.org/10.3390/ma16072690 - 28 Mar 2023
Cited by 2 | Viewed by 2434
Abstract
The fracturing behaviors of serial coal pillars is significant for understanding their failure mechanism. To reveal this, the bearing stress, acoustic emission, electrical resistivity, local strain, force chain distribution, and cracks evolution of serial coal pillars under uniaxial compression were evaluated by experiment [...] Read more.
The fracturing behaviors of serial coal pillars is significant for understanding their failure mechanism. To reveal this, the bearing stress, acoustic emission, electrical resistivity, local strain, force chain distribution, and cracks evolution of serial coal pillars under uniaxial compression were evaluated by experiment and numerical simulation. The results show that four bearing stages are observed during the fracturing process (i.e., nonlinear growth, linear growth, yielding growth, and weakening stages). The acoustic emission features, electrical resistivity responses, strain develops, force chain distributions, cracks evolutions, and local displacement are highly consistent to illustrate the fracturing behaviors. System fracturing of serial coal pillar specimens is appeared along with the collapse of lower uniaxial compressive strength coal pillar specimen. The limit bearing capacity of serial coal pillar specimens is almost equal to the strength of lower uniaxial compressive strength coal pillar specimen. The unbalanced deformation characteristics of serial coal pillar specimens are presented due to the strength differences. The evolution of the key deformation element is the rooted reason for the overall fracturing mechanism of serial coal pillar specimens. For serial coal pillar specimens with different strengths, the critical condition of system fracturing is that the sum of secant modulus of upper and bottom coal pillars is zero, which is expected to predict the system fracturing of serial pillars in the underground coal mining. Full article
Show Figures

Figure 1

21 pages, 5539 KB  
Article
Time Evolution of the Modulus of Elasticity of Metakaolin-Based Geopolymer
by Adelino Lopes, Sergio Lopes and Manuel Fernandes
Appl. Sci. 2023, 13(4), 2179; https://doi.org/10.3390/app13042179 - 8 Feb 2023
Cited by 6 | Viewed by 2529
Abstract
The objective of the research is to develop a new family of geopolymeric materials and to use an experimental methodology to characterize the mechanical behavior of the materials obtained by alkaline activation of metakaolin using a compound activator. The researchers also intend to [...] Read more.
The objective of the research is to develop a new family of geopolymeric materials and to use an experimental methodology to characterize the mechanical behavior of the materials obtained by alkaline activation of metakaolin using a compound activator. The researchers also intend to study the unknown time evolution of the modulus of elasticity and the influence of the composition of the aggregates on the strength of the material. Like the material’s strength, the results have a direct influence on structural safety evaluations. For the analysis of the mechanical properties of the mixtures, different types of tests were carried out: Flexural and compression tests on parallelepipeds and compression tests on cylinders were performed to assess the main strength characteristics of metakaolin-based geopolymers. Regarding the aggregate composition, the results show that the correction of the aggregate particle size line did not improve the mechanical properties. From about 400 h of curing, at ambient temperatures, the mechanical properties of the geopolymeric material are almost invariable. The highest value of the elastic modulus of elasticity occurs around 420 h, at about 18 GPa. The modulus of elasticity is independent of test load rate as per standards, and 1.7‰ strain was observed during maximum compressive stresses in the rupture tests. Also, the secant modulus values at 60% and 80% of maximum stress are within 12% of the value at 40% of maximum stress. Full article
(This article belongs to the Special Issue Smart Materials for Control of Structural Dynamics)
Show Figures

Figure 1

21 pages, 11149 KB  
Article
Effects of Cement Treatment on Mechanical Properties and Microstructure of a Granite Residual Soil
by Xinxin Dong, Xiaohua Bao, Hongzhi Cui, Changjie Xu and Xiangsheng Chen
Appl. Sci. 2022, 12(24), 12549; https://doi.org/10.3390/app122412549 - 7 Dec 2022
Cited by 16 | Viewed by 3166
Abstract
A proper treatment of granite residual soil (GRS) in geotechnical practices requires both macro and microscopic evaluations. In this study, uniaxial and oedometric compression tests were conducted to investigate the mechanical properties of the saturated untreated and cement-treated GRS. Meanwhile, XRD, SEM, and [...] Read more.
A proper treatment of granite residual soil (GRS) in geotechnical practices requires both macro and microscopic evaluations. In this study, uniaxial and oedometric compression tests were conducted to investigate the mechanical properties of the saturated untreated and cement-treated GRS. Meanwhile, XRD, SEM, and MIP tests were conducted to identify the presence and types of C–S–H and the changes in the pore structure after cement treatment. The effects of cement treatment on the uniaxial compressive strength, secant modulus, compressibility, and vertical yielding pressure were revealed and the mechanisms of the soil structure to be modified through cement treatment were clarified based on the test results. A threshold volumetric cement content of 2–3% was determined based on the mechanical properties and microstructural characteristics of the saturated cement-treated GRS. Cement contents below this threshold would produce inadequate cementation between the soil particles. In contrast, cement contents above this threshold are considered inefficient because the transformation of the soil structure from single-porosity to dual-porosity increases the total porosity and retards the strength and stiffness gains. Full article
(This article belongs to the Special Issue Mechanical Properties and Engineering Applications of Special Soils)
Show Figures

Figure 1

13 pages, 2402 KB  
Article
Simulation Study on the Size Effect of Secant Modulus of Rocks Containing Rough Joints
by Mingzhi Sun, Gaojian Hu, Jianli Hu, Huanqing Zhang, Yu Li, Weiping Wang and Guangbin Zhang
Sustainability 2022, 14(23), 15640; https://doi.org/10.3390/su142315640 - 24 Nov 2022
Cited by 2 | Viewed by 1882
Abstract
The secant modulus reflects the ability of rocks to resist deformation, and it is mostly used to evaluate rock strength and deformation evolution. Due to the existence of rough joints in rocks, the secant modulus changes according to rock size. Therefore, it is [...] Read more.
The secant modulus reflects the ability of rocks to resist deformation, and it is mostly used to evaluate rock strength and deformation evolution. Due to the existence of rough joints in rocks, the secant modulus changes according to rock size. Therefore, it is very important to effectively obtain the secant modulus to evaluate rough-jointed rock deformation. In this paper, the regression analysis method is used, and 25 sets of simulation models are set up to discuss the influence of joint roughness and rock size on the rock secant modulus. The research shows that the secant modulus increases exponentially with the increase in rock size, and it increases as a power function with the increase in joint roughness. The characteristic size of the secant modulus increases exponentially with the increase in joint roughness, also as a power function. This paper gives the specific forms of these four relationships. The establishment of these relationships enables the prediction and calculation of the secant modulus and provides guidance for rock deformation analysis. Full article
Show Figures

Figure 1

Back to TopTop