Next Article in Journal
Online English Learning Engagement among Digital Natives: The Mediating Role of Self-Regulation
Next Article in Special Issue
Study on the Prediction of the Uniaxial Compressive Strength of Rock Based on the SSA-XGBoost Model
Previous Article in Journal
The Effect of Course Characteristics and Self-Efficacy on Practical Training Course Satisfaction: Moderating Effect of the Perceived Usefulness of Wisdom Teaching
Previous Article in Special Issue
Estimation of the Mean Trace Length of Discontinuities in an Underground Drift Using Laser Scanning Point Cloud Data
 
 
Font Type:
Arial Georgia Verdana
Font Size:
Aa Aa Aa
Line Spacing:
Column Width:
Background:
Article

Simulation Study on the Size Effect of Secant Modulus of Rocks Containing Rough Joints

1
State Key Laboratory of Safety and Health for Metal Mines, Sinosteel Maanshan General Institute of Mining Research Co., Ltd., Maanshan 243000, China
2
National Engineering Research Center of Huawei High Efficiency Cyclic Utilization of Metal Mineral Resources Co., Ltd., Maanshan 243000, China
3
School of Civil Engineering, Shaoxing University, Shaoxing 312000, China
4
Shangdong Gold Design Consulting Co., Ltd., Yantai 264100, China
5
Natural Resources and Planning Bureau of Yishui County, Yishui 276400, China
6
Yantai Blue Ocean Mine Engineering Design Co., Ltd., Yantai 264100, China
*
Author to whom correspondence should be addressed.
Sustainability 2022, 14(23), 15640; https://doi.org/10.3390/su142315640
Submission received: 13 September 2022 / Revised: 29 October 2022 / Accepted: 1 November 2022 / Published: 24 November 2022

Abstract

:
The secant modulus reflects the ability of rocks to resist deformation, and it is mostly used to evaluate rock strength and deformation evolution. Due to the existence of rough joints in rocks, the secant modulus changes according to rock size. Therefore, it is very important to effectively obtain the secant modulus to evaluate rough-jointed rock deformation. In this paper, the regression analysis method is used, and 25 sets of simulation models are set up to discuss the influence of joint roughness and rock size on the rock secant modulus. The research shows that the secant modulus increases exponentially with the increase in rock size, and it increases as a power function with the increase in joint roughness. The characteristic size of the secant modulus increases exponentially with the increase in joint roughness, also as a power function. This paper gives the specific forms of these four relationships. The establishment of these relationships enables the prediction and calculation of the secant modulus and provides guidance for rock deformation analysis.

1. Introduction

Rock is a heterogeneous material that contains joints, which is the main reason for its deformation and damage. The secant modulus is one of the important parameters of rock resistance to deformation, reflecting the stiffness of the rock, and it possesses a size effect. Therefore, the in-depth study of rock deformation and failure laws is of great significance in maintaining the stability of underground engineering.
In the study of rock deformation and failure, scholars have investigated the effects of stress, strain rate, and confining pressure on the secant modulus. For stress, Dai et al. [1] proposed a new equation to characterize the variation in the secant modulus with axial stress. Jiang et al. [2] carried out conventional triaxial compression numerical experiments with rock under different deformation parameters and determined the law that as axial stress increases, the secant modulus decreases. Zhang et al. [3] studied the effect of stress on the compaction characteristics of rock mass and determined that the secant modulus increases with the increase in strain. For strain rate, Kang et al. [4] obtained the failure law of the stress–strain curve of rock by carrying out uniaxial compression tests at different strain rates. Peng et al. [5] determined that the rock secant modulus increases with increasing strain rate. For confining pressure, Zong et al. [6] determined through deformation tests of fractured sandstone that the secant modulus increases linearly with the increase in confining pressure. Kang et al. [7] determined through triaxial compression tests that confining pressure affects the secant modulus. The above studies discussed the factors affecting the secant modulus, and they obtained some rules, but they did not establish the mathematical relationships between them.
The joints and fissures existing in rock will have an impact on the secant modulus. Scholars have carried out research on the angle, length, diameter, and size of fissures. Zhu et al. [8] studied the influence of different arc fractures (γ) on the secant modulus. Yin et al. [9] determined that the reduction degree of the secant modulus is related to crack angle and length. Zhang et al. [10] obtained the variation law of the secant modulus with fracture size by studying the deformation of fractured rock. Joints also affect the secant modulus. Wu et al. [11] studied the effect of fractures’ geometric parameters on the deformation characteristics and failure mode of a rock mass. Liu et al. [12] studied the relationship between the rock secant modulus and joint dip. These studies did not consider the influence of joint roughness, nor did they establish a quantitative description between them.
In terms of the size effect of the secant modulus, scholars have carried out research from the perspectives of rock aspect ratio, particle size, and joint length. For example, Ban et al. [13] characterized mechanical properties with size effect based on the secant modulus method and the effective model reduction method. Sun et al. [14] found that the strain rate sensitivity of the secant modulus in the plastic segment of specimens with large aspect ratios was stronger than that of specimens with small aspect ratios. Zhu et al. [15] used PFC software to obtain the stress–strain curves of substitute materials at all levels and found that there was an exponential correlation between the ratio of the secant modulus and the maximum particle size (D) of the sample. Liu et al. [12] studied the effect of joint length on the secant modulus of rocks with rough joints. Hu et al. [16] established the size effect relationship between joint spacing and rock uniaxial compressive strength. The above research was carried out from different angles, and a size effect of the secant modulus of rocks was confirmed. These works show the size effect is related to many factors, but the exact relationship between size and the secant modulus has not yet been revealed. Therefore, it is particularly important in engineering to study the size effect of the secant modulus of rocks with rough joints, as well as obtain the relationship between the secant modulus and the rock size.
Due to the existence of the rock size effect, the mechanical parameters of rock will gradually stabilize and reach a constant value at a certain size, which is defined as the representative elementary volume (REV). For this research, Chen et al. [17] analyzed the size effect of the degree of rock mass block and determined the REV size of the rock mass. Wei et al. [18] obtained the rock characteristic size of a particular engineering case, which was 4 m. Loyola et al. [19] evaluated the REV of fractured rocks based on the central limit theorem (CLT). Peng et al. [20] analyzed the size effect through PFC software and obtained an REV size of 16 m. Hu et al. [21] obtained the characteristic size expression of the elastic modulus by simulating the uniaxial compression of rocks with rough joints. Zhang et al. [22] obtained the REV of deformation and strength parameters through numerical tests of rock mass samples of different sizes. Wu et al. [23] determined the REV of a fractured rock mass based on the concept of scale effect. The above studies indicate that there are relatively few investigations of the secant modulus in terms of the REV of rock mechanical parameters, especially the secant moduli of rocks with rough joints.
Therefore, this paper explores the effect of joint roughness and rock size on the secant modulus. The relationships between secant modulus and rock size/joint roughness are described quantitatively. The relationships between the characteristic size of secant modulus, characteristic secant modulus, and joint roughness are also described.

2. Numerical Simulation Plans

Numerical simulations were carried out to consider two different aspects: (i) the influence of rock size on the secant modulus (Plans 1–5), with rock sizes set to 100, 200, 300, 400, and 500 mm. (ii) The effect of joint roughness on the secant modulus of the rock (Plans 6–10), where the roughness values were set to 1.6, 2.6, 3.6, 4.6, and 5.6, as shown in Table 1. A total of 10 simulation plans were set up, and 25 numerical models were established in this simulation. The rock mechanical parameters, boundary conditions, and loading conditions in these numerical simulations were obtained by referring to Ref. [21].
The simulation software used in this paper was RFPA2D, and the 2D model was used in the article. The joint roughness was obtained through the geological survey of the slope rock of Zhang’ao Mine, which is located in Zhang’ao Village, Shengzhou City, Zhejiang Province, China. The method to obtain the roughness was as follows: first, a structural surface profile sampler was used to draw the field structural surface to obtain the roughness profile curve. Then, scanning and programming methods were used to convert the roughness profile curve into a CAD data curve, which was imported into RFPA2D. Finally, the corresponding parameters were assigned to the roughness curve in RFPA2D.
For the rock used in the numerical simulation, the elastic modulus was 8000 MPa, Poisson’s ratio was 0.25, the compressive strength was 60 MPa, the cohesion was 1.2 MPa, the friction angle was 30°, and the density was 2600 g/cm3. For the joint used in the numerical simulation, the elastic modulus was 0.01 MPa, Poisson’s ratio was 0.25, the compressive strength was 0.01 MPa, and the friction angle was 10°.
The constraint condition used in the numerical simulation was that the two sides of the model were free surfaces without force, and the upper and lower surfaces of the model bore the load. The numerical simulation adopted the displacement loading method, where the displacement on both sides of the model was 0 mm, and that on the upper and lower surfaces of the model was 0.01 mm.

3. Numerical Simulation Results and Analysis

3.1. Stress–Strain Curve Analysis

The stress–strain curves of rock failure under different sizes in research content (i) are shown in Figure 1, where Figure 1a–e represent different roughnesses. The stress–strain curves of rock failure corresponding to joint roughness in research content (ii) are shown in Figure 2, where Figure 2a–e represent different rock sizes.
Figure 1 shows that when the axial strain was in the range of 0–0.001, the rock with rough joints was in the linear elastic stage. In this stage, the rocks experienced two conditions: tight compaction and micro-crack expansion. As the axial stress increased gradually, the deformation increased, and the microcracks expanded.
Figure 1 also shows that when the rock stress reached its peak strength, the rock began to undergo brittle failure, and the strength decreased rapidly. The peak strength decreased gradually with the increase in rock size, but it would not decrease when the strength decreased to a certain value, indicating that the peak strength has an obvious size effect. The elastic stage of the stress–strain curves of the rock was mostly linear, and its slope was characterized by the elastic modulus. When the rock size increased, the slope of the stress–strain curves gradually decreased, indicating that the rock size affects the elastic modulus, and that they are negatively correlated.
The laws of stress–strain curves for rock failure in Figure 2a–e are basically similar. Taking Figure 2e as an example, the rock failure law when the joint roughness changes was analyzed. When the joint roughness increased from 1.6 to 5.6, the peak strength gradually increased accordingly, which indicates that the joint roughness has a certain influence on the rock strength, and the two are positively correlated.
The slope of the curve in Figure 2e decreased gradually with the increase in joint roughness, which indicates that the elastic modulus of the rock is affected by the joint roughness, as the former decreased when the latter increased.

3.2. Influence of the Size Effect of Secant Modulus

To study the size effect of the rock secant modulus, first, according to Figure 1, the secant modulus of the rock was determined by selecting the slope of the 50% stress peak point and the origin according to the curves of the linear elastic part of the stress–strain curves. The secant modulus values are shown in Table 2.
Table 2 shows that changes in rock size influence the secant modulus. From Table 2, a scatter diagram of secant modulus and rock size was drawn, and the corresponding curve was fitted, as shown in Figure 3.
Combined with Figure 3 and Table 2, the curve and data for a joint roughness of 1.6 were analyzed. When the rock size increased from 100 mm to 500 mm, the secant modulus of the rock decreased from 21.67 GPa to 5.45 GPa, which indicated that as the rock size increases, the secant modulus decreases, and they are negatively correlated. As the rock size increased further, the secant modulus changed less, and the curve gradually tended to be stable, showing an exponential decay trend.
To better illustrate this relationship, the formulas of the fitting curves are listed in Table 3. The coefficients of determination were all greater than 0.9, which proves that the secant modulus has a good correlation with rock size.
Table 3 shows that the fitting relationship between secant modulus and rock size conforms to an exponential function, and their relationship is proposed as follows:
E 50 ( l ) = a + b e l / c
where E 50 ( l ) is the secant modulus, unit: GPa; l is the rock size, unit: mm; a, b, and c are parameters.
The parameters a, b, and c are summarized in Table 4, and the relationships between the parameters and joint roughness are plotted in Figure 4.
According to Figure 4, the relationships between parameters and joint roughness are expressed as follows:
a = 5.38 0.01 e J R C / 0.96
b = 34.08 J R C 0.18
c = 63.43 + 35.68 e J R C / 3.23
Subsequently, a special relationship between the secant modulus and rock size is obtained:
E 50 ( l ) = 6.73 0.78 e J R C / 3.69 + ( 34.08 J R C 0.18 ) e l / ( 63.43 + 35.68 J R C / 3.23 )
where E 50 ( l ) is the secant modulus, unit: GPa; l is the rock size, unit: mm; JRC is the joint roughness.
Equation (5) quantitatively gives the relationship between rock size and the secant modulus. At construction sites, when the joint roughness coefficient is measured, the corresponding secant modulus under any rock size can be obtained, which is beneficial for engineering applications.

3.3. Size Effect of Joint Roughness on Rock Secant Modulus

Combined with the analysis of the stress–strain curves in Figure 2, the rock secant modulus values under each working condition are given in Table 5.
Table 5 shows that the joint roughness affects the secant modulus. From Table 5, a scatter diagram of secant modulus and joint roughness was drawn, and the corresponding curve was fitted, as shown in Figure 5.
Combining Table 5 and Figure 5, the effect of joint roughness on the secant modulus of rock was analyzed. Under a rock size of 500 mm, when the joint roughness was 1.6, the secant modulus was 5.45 GPa, and when the joint roughness increased to 5.6, the rock secant modulus increased to 9.41 GPa. Therefore, the secant modulus increases with the increase in joint roughness, and they are positively correlated. The larger the rock size, the greater the variation in the secant modulus, showing an increasing trend. The formulas of the regression curves under each condition are listed in Table 6.
Table 6 shows that the secant modulus and joint roughness conform to a power function relationship, which is proposed as follows:
E 50 ( J R C ) = d J R C f
where E 50 ( J R C ) is the secant modulus, unit: GPa; JRC is the joint roughness; d and f are parameters.
The parameters d and f in Table 6 are summarized in Table 7. Then, the relationships between parameters and rock size are fitted, as shown in Figure 6.
According to Figure 6, the relationships between parameters d and f and rock size are obtained as follows:
d = 713.24 l 0.8 ,
f = 0.34 + ( 6.5 E - 4 ) l ,
where d and f are parameters; l is the rock size, unit: mm.
Subsequently, a special relationship between the secant modulus and joint roughness is obtained:
E 50 ( J R C ) = ( 713.24 l 0.8 ) J R C 0.34 + ( 6.5 E - 4 ) l ,
where E50(JRC) is the secant modulus under different joint roughnesses, unit: GPa; JRC is the joint roughness; l is the rock size, unit: mm.
Equation (9) quantitatively describes the relationship between the secant modulus and joint roughness. When the rock size is determined, the corresponding secant modulus under any kind of joint roughness can be obtained, which provides certain theoretical support for the evaluation of rock engineering safety and stability.

3.4. Mathematical Model of the Characteristic Size of Secant Modulus and Characteristic Secant Modulus

3.4.1. Mathematical Model of Secant Modulus Characteristic Size

In practical engineering, the rock size is usually relatively large, and the REV can generally be reached. The mechanical parameters of the rock tend to gradually become stable with the increase in rock size. Therefore, when the rock size reaches the REV, the deformation parameters obtained by the test are more conducive to meeting the needs of practical engineering or theoretical research. The characteristic size of the secant modulus can be used to characterize the size effect of the secant modulus. Liang [24] provided a quantitative calculation method for the characteristic size of the secant modulus; the formulas are as follows:
k = b e ( l / c ) c ,
k r ,
l [ ln ( b c ) ln r ] c ,
where r is the absolute value of the acceptable slope.

3.4.2. Relationship between Characteristic Size of the Secant Modulus and Joint Roughness

The characteristic size of the secant modulus under joint roughnesses of 1.6, 2.6, 3.6, 4.6, and 5.6 is solved and summarized in Table 8; the two parameters are plotted and fitted in Figure 7.
Figure 7 shows that when the joint roughness increases, the characteristic size of the secant modulus increases gradually; the fitting relationship is an exponential function. Therefore, the following special relation is obtained:
L = 46.53 + 282.43 e J R C / 6.07 ,
where L is the characteristic size of the secant modulus, unit: mm; JRC is the joint roughness.

3.4.3. Mathematical Model of Characteristic Secant Modulus and Joint Roughness

To calculate the characteristic secant modulus, we substituted the characteristic size of the secant modulus in Table 8 in Section 3.4.2 into Equation (5), and the characteristic secant moduli under different characteristic sizes could be obtained. The calculation results are listed in Table 9. The obtained results were fitted, and the curve of the rock’s characteristic secant modulus and joint roughness is shown in Figure 8.
Figure 8 shows that that the characteristic secant modulus increases with the decreases i joint roughness, and the two parameters have a power function relationship. Therefore, the following special relation is obtained:
E ( J R C ) = 7.22 J R C 0.11 ,
where E(JRC) is the characteristic secant modulus, unit: GPa; JRC is the joint roughness.

3.5. Experimental Comparison and Verification Analysis

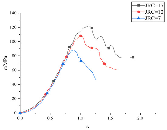
To verify the general applicability of Equation (6), Shen [25] were cited, and the rock size selected for the laboratory test was 80 mm, as shown in Figure 9. According to Figure 9, the peak strength of the stress–strain curve was taken as the compressive strength of the rock, and the slope of the curve connecting 50% of the stress peak to the origin was taken as the secant modulus of the rock, as shown in Table 10.
The data in Table 10 are combined with the scatter plot of secant modulus and joint roughness, and their fitted curves are drawn, as shown in Figure 10.
The relationship between secant modulus and joint roughness is obtained in Figure 10 as follows:
E 50 ( J R C ) = 43.87 J R C 0.26 ,
where E50(JRC) is the secant modulus of the rock, unit: MPa; JRC is the joint roughness.
The functional type of Equation (15) conforms to the mathematical model proposed in Equation (6). Therefore, the numerical simulations are consistent with the experimental conclusion. The verification proves the reliability of the mathematical model proposed in Section 3.3 (Equation (6)) to determine the corresponding secant modulus under different joint roughnesses.

4. Discussion

This work established the following four relationships: (1) the secant modulus and rock size; (2) the secant modulus and joint roughness; (3) the characteristic size of the secant modulus and joint roughness; (4) the characteristic secant modulus and joint roughness.
(1) Relationship between secant modulus and rock size
Rock size affects the secant modulus of rock. Here, the changes in the secant modulus under different rock sizes were analyzed, and a general mathematical formula for the relationship between secant modulus and rock size was put forward. The parameter value in the general formula is related to the change in joint roughness.
In the existing research on the influence of the secant modulus and rock size, most consider the aspect ratio effect [14] and changes in fracture size [10], where the main discussion is on the effect of an increase in the aspect ratio or a change in the fracture size on the secant modulus. However, these papers rarely establish the relationship between the secant modulus and rock size, and they rarely consider the effect of roughness changes on the size effect of the secant modulus.
(2) Relationship between secant modulus and joint roughness
Here, the changes in the secant modulus with different joint roughnesses were analyzed, and a general formula for the functional relationship between secant modulus and joint roughness was proposed. The parameter value in the general formula is related to the change of rock size. Some scholars have carried out research on the inclination angle of rough joints [12] and the roughness coefficient [26]. For example, Ref. [12] obtained the trend of an increasing secant modulus with the increase in roughness. This conclusion is consistent with the results shown in Figure 6 of this article. However, Su [26] did not establish the relationship between the secant modulus and roughness.
At the same time, according to the relationship between the rock secant modulus and roughness obtained in this paper, a verification study was also performed based on laboratory test results [25]. The accuracy of the formula derivation and the applicability of the formula in this paper were proved, and a solid verification foundation was provided for the popularization and application of the subsequent formula.
(3) The relationship between characteristic size of the secant modulus, characteristic secant modulus, and joint roughness
Based on Equation (1), the relationships between the characteristic size of the secant modulus, characteristic secant modulus, and joint roughness were established. According to the current research, no scholars have studied the relationships between these factors.
The four relationships established in this study reveal the size effect of the secant modulus, which has important engineering application value; to a certain extent, it enriches the theoretical basis of the rock size effect.

5. Conclusions

Based on the numerical simulations and regression analysis, this paper studied the influence of joint roughness and rock size on the rock secant modulus and the characteristic secant modulus. The results are as follows:
(1) With the increase in rock size, the secant modulus of rock increases exponentially.
(2) With the increase in joint roughness, the secant modulus of rock increases as a power function.
(3) With the increase in joint roughness, the characteristic size of the secant modulus increases exponentially.
(4) With the increase in joint roughness, the characteristic secant modulus of rock increases as a power function.
We also established the relationships between the secant modulus and rock size, joint roughness, and the relationships between the characteristic size of the secant modulus, the characteristic secant modulus, and joint roughness. These relationships take into account the influence of the rock size effect and joint roughness, and they realize the prediction and calculation of the rock secant modulus, providing guidance for rock deformation analyses.

Author Contributions

M.S.: Investigation, data curation, writing and original draft preparation. J.H.: Data curation, investigation. H.Z.: Methodology, formal analysis. G.H.: Methodology, funding acquisition, software, writing, and original draft preparation. Y.L.: Software, data curation. W.W.: Formal analysis, methodology. G.Z.: Investigation, data curation. All authors have read and agreed to the published version of the manuscript.

Funding

This work was supported as follows: Large parameter continuous mining technology for deep thick and large orebody (2022YFC2904101), Yantai Blue Ocean Mine Engineering Design Co., Ltd. entrusted project (K22-01430000-011), Shenyang Research Institute of China Coal Technology and Engineering Group entrusted project (K22-01430000-002), Zhejiang Collaborative Innovation Center for Prevention and Control of Mountain Geological Hazards (PCMGH-2017-Y-05), Key Laboratory of Rock Mechanics and Geohazards of Zhejiang Province (ZGRMG-2019-07).

Data Availability Statement

The data that support the findings of this study are available from the corresponding author upon reasonable request.

Conflicts of Interest

The authors declare that there is no conflict of interest regarding the publication of this paper.

References

  1. Bing, D.; Guoyan, Z.; Konietzky, H.; Wasantha, P.L.P. Experimental investigation on damage evolution behavior of a granitic rock under loading and unloading. J. Cent. South Univ. 2018, 25, 1213–1225. [Google Scholar]
  2. Jiang, Z.M.; Qin, S.Z.; Tang, D.; Hu, W. Rock damage characteristics based on triaxial compression numerical test. J. Changsha Univ. Sci. Technol. 2018, 15, 73–79. [Google Scholar]
  3. Zhang, T.J.; Liu, N.; Pang, M.; Zhang, X.; Wang, X.; Zhang, X. Effects of temperature and stress on compaction and deformation characteristics of broken coal and rock mass. Coal Mine Saf. 2021, 52, 58–64, 71. [Google Scholar]
  4. Kang, P.; Zhaopeng, L.; Quanle, Z.; Zhenyu, Z.; Jiaqi, Z. Static and dynamic mechanical properties of granite from various burial depths. Rock Mech. Rock Eng. 2019, 52, 3545–3566. [Google Scholar] [CrossRef]
  5. Peng, S.; Wang, Z.; Xu, J.; Chen, C.; Ma, T. Experimental investigations on strain rate effect and energy evolution characteristics of rock under uniaxial tension. Mining Res. Dev. 2018, 38, 77–83. [Google Scholar]
  6. Zong, Y.; Han, L.; Zhu, D.; Jin, Y.; Tian, M. Experimental investigation on post-peak strength and deformation behavior of cracked sandstone. Arab. J. Geosci. 2020, 13, 353. [Google Scholar] [CrossRef]
  7. Kang, Y.; Chen, J.; Niu, C.; Luo, Y. Evolution characteristics of secant modulus and its post peak damage in three axial compression for sandstone. J. Inn. Mong. Univ. Technol. 2018, 37, 35–42. [Google Scholar]
  8. Zhu, D.; Jing, H.W.; Yin, Q.; Zong, Y.J.; Tao, X.L. Mechanical characteristics of sandstone containing arc prefabricated fissures. J. China Coal Soc. 2018, 11, 637. [Google Scholar]
  9. Yin, Q.; Jing, H.; Su, H. Investigation on mechanical behavior and crack coalescence of sandstone specimens containing fissure-hole combined flaws under uniaxial compression. Geosci. J. 2018, 22, 825–842. [Google Scholar] [CrossRef]
  10. Zhang, W.Q. Experimental Study on Mechanical Properties of Rock Mass With Internal Fracture Defects. Ph.D. Thesis, China University of Mining and Technology, Beijing, China, 2020. [Google Scholar]
  11. Wu, N.; Liang, Z.; Tao, Y.; Ai, T.; Li, G. Sensitivity analysis of fracture geometric parameters on mechanical behaviors of rock mass with embedded three-dimensional fracture network. Appl. Sci. 2022, 12, 9284. [Google Scholar] [CrossRef]
  12. Liu, J.; Su, H.; Jing, H.; Hu, C.; Yin, Q. Experimental study on the fracture evolution process of rock-like specimens containing a closed rough joint based on 3d-printing technology. Adv. Civ. Eng. 2020, 2020, 8889606. [Google Scholar]
  13. Ban, H.; Yao, Y.; Chen, S.; Fang, D. A new constitutive model of micro-particle reinforced metal matrix composites with damage effects. Int. J. Mech. Sci. 2019, 152, 524–534. [Google Scholar] [CrossRef]
  14. Sun, Z.; Wu, Y.; Sun, J.; Chen, J.; Fu, Y.; Shan, S. Aspect ratio effect of dynamic deformation modulus of coal under three-dimensional dynamic and static loading [J/OL]. Chin. J. Min. Rock Form. Control. Eng. 2022, 4, 1–11. [Google Scholar]
  15. Zhu, X. Experimental Study on Constitutive Model Parameters of Hardened Soil in Typical Sand and Pebble Strata in Beijing Area. Ph.D. Thesis, Beijing Jiaotong University, Beijing, China, 2021. [Google Scholar]
  16. Hu, G.; Ma, G. Size effect of parallel-joint spacing on uniaxial compressive strength of rock. PLoS ONE 2021, 16, e0257245. [Google Scholar] [CrossRef]
  17. Chen, Q.; Zheng, W.; Niu, W.; Yin, T.; Fan, Q. Correlation of the geometrical and mechanical size effects of fractured rock masses. Chin. J. Rock Mech. Eng. 2019, 38 (Suppl. S1), 2857–2870. [Google Scholar]
  18. Wei, J.; Men, Y.; Sun, S.; Wang, Y.; Qian, W.; Shi, W. Numerical tests research on mechanical parameters of rock mass considering structural plane combination characteristics. Adv. Civ. Eng. 2018, 2018 Pt 7, 2318063. [Google Scholar]
  19. Loyola, A.C.; Pereira, J.M.; Neto, M. General statistics-based methodology for the determination of the geometrical and mechanical representative elementary volumes of fractured media. Rock Mech. Rock Eng. 2021, 54, 1841–1861. [Google Scholar] [CrossRef]
  20. Peng, C.; Guo, Q.; Yan, Z.; Wang, M.; Pan, J. Investigating the failure mechanism of jointed rock slopes based on discrete element method. Adv. Civ. Eng. 2020, 2020, 8820158. [Google Scholar] [CrossRef]
  21. Hu, G.; Li, Y.; Ma, G. Research on the size effect of roughness on rock uniaxial compressive strength and characteristic strength. Sci. Eng. Compos. Mater. 2021, 28, 613–627. [Google Scholar] [CrossRef]
  22. Zhang, T. Research on the Anisotropy of Rock Mass Mechanical Parameter REV in Underground Cavern Storage. Ph.D. Thesis, China University of Geosciences, Wuhan, China, 2013. [Google Scholar]
  23. Wu, N.; Liang, Z.; Zhang, Z.; Li, S.; Lang, Y. Development and verification of three-dimensional equivalent discrete fracture network modeling based on finite element method. Eng. Geol. 2022, 306, 106759. [Google Scholar] [CrossRef]
  24. Liang, Z.Z.; Zhang, Y.B.; Tang, S.B.; Li, L.C.; Tang, C.N. Rock mass size effect and calculation of its characteristic parameters. Chin. J. Rock Mech. Eng. 2013, 32, 1157–1166. [Google Scholar]
  25. Shen, C. Strength Test and Numerical Application of Rocks with Different Roughness. Ph.D. Thesis, Chengdu University of Technology, Chengdu, China, 2020. [Google Scholar]
  26. Su, H.; Guo, Q.; Jing, H.; Hu, C. Research on mechanical properties of rock mass with built-in rough joints based on 3D printing. Chin. J. Min. Saf. Eng. 2021, 38, 7. [Google Scholar]
Figure 1. The stress–strain curves corresponding to different joint roughness coefficients.
Figure 1. The stress–strain curves corresponding to different joint roughness coefficients.
Sustainability 14 15640 g001
Figure 2. The stress–strain curves corresponding to different rock sizes.
Figure 2. The stress–strain curves corresponding to different rock sizes.
Sustainability 14 15640 g002
Figure 3. Fitting curves of secant modulus and rock size with different joint roughness coefficients.
Figure 3. Fitting curves of secant modulus and rock size with different joint roughness coefficients.
Sustainability 14 15640 g003
Figure 4. Fitting curve of parameters and joint roughness coefficient.
Figure 4. Fitting curve of parameters and joint roughness coefficient.
Sustainability 14 15640 g004
Figure 5. Fitting curves of secant modulus of different rock sizes and roughnesses.
Figure 5. Fitting curves of secant modulus of different rock sizes and roughnesses.
Sustainability 14 15640 g005
Figure 6. Fitting curve of parameters.
Figure 6. Fitting curve of parameters.
Sustainability 14 15640 g006
Figure 7. Fitting curve between the characteristic size of the secant modulus and joint roughness coefficient.
Figure 7. Fitting curve between the characteristic size of the secant modulus and joint roughness coefficient.
Sustainability 14 15640 g007
Figure 8. Fitting curve of characteristic secant modulus and joint roughness coefficient.
Figure 8. Fitting curve of characteristic secant modulus and joint roughness coefficient.
Sustainability 14 15640 g008
Figure 9. Stress–strain curves under different joint roughnesses.
Figure 9. Stress–strain curves under different joint roughnesses.
Sustainability 14 15640 g009
Figure 10. Fitting curves of secant modulus and joint roughness.
Figure 10. Fitting curves of secant modulus and joint roughness.
Sustainability 14 15640 g010
Table 1. Summary of joint roughness coefficient and rock size.
Table 1. Summary of joint roughness coefficient and rock size.
Simulation PlansJRCabcde
Size 100 mmSize 200 mmSize 300 mmSize 400 mmSize 500 mm
11.61.6 × 1001.6 × 2001.6 × 3001.6 × 4001.6 × 500
22.62.6 × 1002.6 × 2002.6 × 3002.6 × 4002.6 × 500
33.63.6 × 1003.6 × 2003.6 × 3003.6 × 4003.6 × 500
44.64.6 × 1004.6 × 2004.6 × 3004.6 × 4004.6 × 500
55.65.6 × 1005.6 × 2005.6 × 3005.6 × 4005.6 × 500
Table 2. Secant modulus values.
Table 2. Secant modulus values.
Simulation PlansJRCSecant Modulus (GPa)
abcde
Size 100 mmSize 200 mmSize 300 mmSize 400 mmSize 500 mm
11.621.6714.387.926.795.45
22.623.6217.799.228.355.59
33.629.5517.8811.518.886.38
44.630.6822.3116.379.989.10
55.631.8823.8816.9811.999.41
Table 3. Fitting formulas between secant modulus and rock sizes.
Table 3. Fitting formulas between secant modulus and rock sizes.
RoughnessFitting FormulaR2
1.6 E 50 ( l ) = 5.51 + 37.52 e l / 120.17 0.978
2.6 E 50 ( l ) = 5.2 + 38.91 e l / 146.54 0.942
3.6 E 50 ( l ) = 4.95 + 45.02 e l / 171.18 0.998
4.6 E 50 ( l ) = 4.75 + 45.5 e l / 210.34 0.981
5.6 E 50 ( l ) = 3.19 + 46.07 e l / 265.83 0.996
Table 4. Parameters a, b, and c.
Table 4. Parameters a, b, and c.
Roughness1.62.63.64.65.6
Parameter
a5.515.24.954.753.19
b37.5238.9145.0245.546.07
c120.17146.54171.18210.34265.83
Table 5. Secant modulus under different rock roughnesses.
Table 5. Secant modulus under different rock roughnesses.
Numerical PlansSize/mmSecant Modulus/GPa
Plan 1Plan 2Plan 3Plan4Plan 5
JRC = 1.6JRC = 2.6JRC = 3.6JRC = 4.6JRC = 5.6
a10021.6723.6229.5530.6831.88
b20014.3817.7917.8822.3123.88
c3007.929.2211.5116.3716.98
d4006.798.358.889.9811.99
e5005.455.596.389.109.41
Table 6. Fitting formulas between secant modulus and joint roughness coefficient.
Table 6. Fitting formulas between secant modulus and joint roughness coefficient.
Size l/mmFitting FormulaR2
100 E 50 ( J R C ) = 17 J R C 0.38 0.917
200 E 50 ( J R C ) = 12.73 J R C 0.48 0.908
300 E 50 ( J R C ) = 5.93 J R C 0.6 0.912
400 E 50 ( J R C ) = 5.35 J R C 0.51 0.918
500 E 50 ( J R C ) = 4.37 J R C 0.41 0.800
Table 7. Values of parameters d and f.
Table 7. Values of parameters d and f.
Size/mm100200300400500
Parameter
d1712.735.935.354.37
f0.380.480.60.510.41
Table 8. Characteristic size of the secant modulus and joint roughness coefficient.
Table 8. Characteristic size of the secant modulus and joint roughness coefficient.
Roughness1.62.63.64.65.6
Characteristic size/mm413.52480.52559.68646.62758.27
Table 9. Joint roughness coefficient and characteristic secant modulus.
Table 9. Joint roughness coefficient and characteristic secant modulus.
Roughness1.62.63.64.65.6
Characteristic secant modulus (GPa)6.786.576.326.135.84
Table 10. Secant modulus with different joint roughness coefficients.
Table 10. Secant modulus with different joint roughness coefficients.
Joint roughness71217
Compressive strength/KPa88.16107.9122.27
Secant modulus/KPa72.9385.6492.23
Publisher’s Note: MDPI stays neutral with regard to jurisdictional claims in published maps and institutional affiliations.

Share and Cite

MDPI and ACS Style

Sun, M.; Hu, G.; Hu, J.; Zhang, H.; Li, Y.; Wang, W.; Zhang, G. Simulation Study on the Size Effect of Secant Modulus of Rocks Containing Rough Joints. Sustainability 2022, 14, 15640. https://doi.org/10.3390/su142315640

AMA Style

Sun M, Hu G, Hu J, Zhang H, Li Y, Wang W, Zhang G. Simulation Study on the Size Effect of Secant Modulus of Rocks Containing Rough Joints. Sustainability. 2022; 14(23):15640. https://doi.org/10.3390/su142315640

Chicago/Turabian Style

Sun, Mingzhi, Gaojian Hu, Jianli Hu, Huanqing Zhang, Yu Li, Weiping Wang, and Guangbin Zhang. 2022. "Simulation Study on the Size Effect of Secant Modulus of Rocks Containing Rough Joints" Sustainability 14, no. 23: 15640. https://doi.org/10.3390/su142315640

APA Style

Sun, M., Hu, G., Hu, J., Zhang, H., Li, Y., Wang, W., & Zhang, G. (2022). Simulation Study on the Size Effect of Secant Modulus of Rocks Containing Rough Joints. Sustainability, 14(23), 15640. https://doi.org/10.3390/su142315640

Note that from the first issue of 2016, this journal uses article numbers instead of page numbers. See further details here.

Article Metrics

Back to TopTop