error_outline You can access the new MDPI.com website here. Explore and share your feedback with us.
 
 
Sign in to use this feature.

Years

Between: -

Subjects

remove_circle_outline
remove_circle_outline
remove_circle_outline
remove_circle_outline
remove_circle_outline
remove_circle_outline
remove_circle_outline
remove_circle_outline
remove_circle_outline

Journals

Article Types

Countries / Regions

Search Results (31)

Search Parameters:
Keywords = channel imbalance estimation

Order results
Result details
Results per page
Select all
Export citation of selected articles as:
37 pages, 26723 KB  
Article
Investigation of the Hydrodynamic Characteristics of a Wandering Reach with Multiple Mid-Channel Shoals in the Upper Yellow River
by Hefang Jing, Haoqian Li, Weihong Wang, Yongxia Liu and Jianping Lv
Sustainability 2026, 18(1), 264; https://doi.org/10.3390/su18010264 - 26 Dec 2025
Viewed by 160
Abstract
Sustainable management of sediment-laden rivers is essential for balancing flood control, ecological protection, and socioeconomic development. The Upper Yellow River, supporting 160 million people, faces escalating challenges in maintaining channel stability under intensified water–sediment imbalances. This study investigates the Sipaikou reach in Ningxia—a [...] Read more.
Sustainable management of sediment-laden rivers is essential for balancing flood control, ecological protection, and socioeconomic development. The Upper Yellow River, supporting 160 million people, faces escalating challenges in maintaining channel stability under intensified water–sediment imbalances. This study investigates the Sipaikou reach in Ningxia—a representative wandering channel with multiple mid-channel shoals—through integrated UAV-USV-GNSS RTK field measurements and hydrodynamic and sediment transport modeling. Field measurements reveal that mid-channel shoal morphology coupled with bend circulation governs flow division patterns, with discharge ratios of 44.16% and 86.31% at the primary and secondary shoals, respectively. Gaussian kernel density estimation demonstrates velocity distributions evolving from right-skewed to left-skewed around shoals, while spur dike regions display strong left skewness with concentrated main flow. Numerical simulations under six discharge scenarios indicate: (1) Head loss exhibits diminishing marginal effects at the primary shoal, an inflection point at a critical discharge at the secondary shoal, and superlinear growth in the spur dike region. (2) The normal-flow period represents the critical threshold for erosion–deposition regime transition. (3) Spur dike series achieve bank protection through main flow constriction and inter-dike low-velocity zone creation. These findings provide scientific foundations for sustainable flood risk management and ecological restoration in wandering rivers. The integrated measurement–simulation framework offers a transferable methodology for adaptive river management under changing hydrological conditions. Full article
(This article belongs to the Section Sustainable Water Management)
Show Figures

Figure 1

23 pages, 714 KB  
Article
Unlocking Green Growth: How Digital Finance Fosters Urban Sustainability via Innovation and Policy Synergy
by Zhiqing Yan, Wen Zhong and Shan Yan
Sustainability 2025, 17(20), 9163; https://doi.org/10.3390/su17209163 - 16 Oct 2025
Viewed by 616
Abstract
The rapid advancement of digital finance profoundly impacts urban development by expanding and deepening financial services for the real economy, with significant ecological and economic implications. This study hypothesizes that digital finance significantly enhances urban green development by simultaneously promoting ecological and economic [...] Read more.
The rapid advancement of digital finance profoundly impacts urban development by expanding and deepening financial services for the real economy, with significant ecological and economic implications. This study hypothesizes that digital finance significantly enhances urban green development by simultaneously promoting ecological and economic objectives. To test this hypothesis, we investigate the influence of digital finance on urban green development from theoretical and empirical perspectives. Utilizing panel data from 265 prefecture-level and above cities in China (2011–2023), we comprehensively analyze the impact, underlying mechanisms, and the moderating role of environmental policies. Empirical results confirm our main hypothesis: digital finance significantly enhances urban green development. Robustness checks, including variable substitution, difference-in-differences, and instrumental variable estimations, confirm the results’ stability. Heterogeneity analysis reveals that the positive effect is more pronounced in peripheral cities (vs. core cities), central and western regions (vs. eastern region), and resource-based cities (vs. non-resource-based), highlighting digital finance’s role in mitigating regional development imbalances. Mechanism analysis indicates that green technology innovation is the primary channel through which digital finance fosters green development. Furthermore, the beneficial impact of digital finance is significantly amplified in cities with stringent environmental regulations, underscoring the critical importance of well-designed environmental policy. Overall, the evidence robustly supports the hypothesis that digital finance promotes urban green development. This research provides robust empirical evidence and valuable policy insights for leveraging digital finance to advance sustainable urban development. Full article
Show Figures

Figure 1

23 pages, 4009 KB  
Article
Remaining Life Prediction Modeling Method for Rotating Components of Complex Intelligent Equipment
by Yaohua Deng, Zilin Zhang, Hao Huang and Xiali Liu
Electronics 2025, 14(1), 136; https://doi.org/10.3390/electronics14010136 - 31 Dec 2024
Viewed by 1231
Abstract
This paper aims to address the challenges of significant data distribution differences and extreme data imbalances in the remaining useful life prediction modeling of rotating components of complex intelligent equipment under various working conditions. Grounded in deep learning modeling, it considers the multi-dimensional [...] Read more.
This paper aims to address the challenges of significant data distribution differences and extreme data imbalances in the remaining useful life prediction modeling of rotating components of complex intelligent equipment under various working conditions. Grounded in deep learning modeling, it considers the multi-dimensional extraction method for degraded data features in the data feature extraction stage, proposes a network structure with multiple attention data extraction channels, and explores the extraction method for valuable data segments in the channel and time series dimensions. This paper also proposes a domain feature fusion network based on feature migration and examines methods that leverage abundant labeled data from the source domain to assist in target domain learning. Finally, in combination with a long short-term memory neural network (LSTM), this paper constructs an intelligent model to estimate the remaining lifespan of rotating components. Experiments demonstrate that, when integrating the foundational deep convolution network with the domain feature fusion network, the comprehensive loss error for life prediction on the target domain test set can be reduced by up to 6.63%. Furthermore, when adding the dual attention feature extraction network, the maximum reduction in the comprehensive loss error is 3.22%. This model can effectively enhance the precision of life prediction in various operating conditions; thus, it provides a certain theoretical basis and technical support for the operation and maintenance management of complex intelligent equipment. It has certain practical value and application prospects in the remaining life prediction of rotating components under multiple working conditions. Full article
(This article belongs to the Section Artificial Intelligence)
Show Figures

Figure 1

17 pages, 10792 KB  
Article
Precipitation Retrieval from FY-3G/MWRI-RM Based on SMOTE-LGBM
by Yanfang Lv, Lanjie Zhang, Wen Fan and Yibo Zhang
Atmosphere 2024, 15(11), 1268; https://doi.org/10.3390/atmos15111268 - 23 Oct 2024
Viewed by 1401
Abstract
Using the FY-3G/MWRI-RM observations, this paper proposes a precipitation retrieval method that combines the Synthetic Minority Over-sampling Technique with Light Gradient Boosting Machine (SMOTE-LGBM) and analyzes the impact of MWRI-RM channel settings on precipitation retrieval. The SMOTE-LGBM-based model consists of two LGBM models [...] Read more.
Using the FY-3G/MWRI-RM observations, this paper proposes a precipitation retrieval method that combines the Synthetic Minority Over-sampling Technique with Light Gradient Boosting Machine (SMOTE-LGBM) and analyzes the impact of MWRI-RM channel settings on precipitation retrieval. The SMOTE-LGBM-based model consists of two LGBM models for precipitation identification and estimation, respectively. The SMOTE method is used to address the imbalance between precipitation and non-precipitation samples. Using the Integrated Multi-Satellite Retrievals for the Global Precipitation Measurement (IMERG) product as a reference, we validate the retrieved precipitation by the SMOTE-LGBM-based model with an independent testing dataset. The critical success indexes are 0.483 and 0.526, and the Pearson correlation coefficients are 0.611 and 0.645 for the ocean and land regions, respectively. The spatial distributions of the retrieved and IMERG accumulated precipitation in the testing dataset are similar. In addition, we visualize and analyze the cases of Meiyu and two typhoons. The results indicate that the SMOTE-LGBM-based model effectively represents the spatial distribution characteristics of precipitation and achieves high agreement with IMERG precipitation products. Overall, the SMOTE-LGBM-based model successfully retrieves precipitation from MWRI-RM and provides accurate precipitation products for FY-3G/MWRI-RM for the first time. Full article
(This article belongs to the Special Issue Precipitation Monitoring and Databases)
Show Figures

Figure 1

22 pages, 7635 KB  
Article
Phase Noise Compensation Algorithm for Space-Borne Azimuth Multi-Channel SAR
by Lu Bai, Wei Xu, Pingping Huang, Weixian Tan, Yaolong Qi, Yuejuan Chen and Zhiqi Gao
Sensors 2024, 24(14), 4494; https://doi.org/10.3390/s24144494 - 11 Jul 2024
Cited by 1 | Viewed by 1407
Abstract
Azimuth multi-channel synthetic aperture radar (SAR) has always been an important technical means to achieve high-resolution wide-swath (HRWS) SAR imaging. However, in the space-borne azimuth multi-channel SAR system, random phase noise will be produced during the operation of each channel receiver. The phase [...] Read more.
Azimuth multi-channel synthetic aperture radar (SAR) has always been an important technical means to achieve high-resolution wide-swath (HRWS) SAR imaging. However, in the space-borne azimuth multi-channel SAR system, random phase noise will be produced during the operation of each channel receiver. The phase noise of each channel is superimposed on the SAR echo signal of the corresponding channel, which will cause the phase imbalance between the channels and lead to the generation of false targets. In view of the above problems, this paper proposes a random phase noise compensation method for space-borne azimuth multi-channel SAR. This method performs feature decomposition by calculating the covariance matrix of the echo signal and converts the random phase noise estimation into the optimal solution of the cost function. Considering that the phase noise in the receiver has frequency-dependent and time-varying characteristics, this method calculates the phase noise estimation value corresponding to each range-frequency point in the range direction and obtains the phase noise estimation value by expectation in the azimuth direction. The proposed random phase noise compensation method can suppress false targets well and make the radar present a well-focused SAR image. Finally, the usefulness of the suggested method is verified by simulation experiments. Full article
(This article belongs to the Collection Computational Imaging and Sensing)
Show Figures

Figure 1

26 pages, 6691 KB  
Article
Calibration of SAR Polarimetric Images by Covariance Matching Estimation Technique with Initial Search
by Jingke Liu, Lin Liu and Xiaojie Zhou
Remote Sens. 2024, 16(13), 2400; https://doi.org/10.3390/rs16132400 - 29 Jun 2024
Cited by 2 | Viewed by 2086
Abstract
To date, various methods have been proposed for calibrating polarimetric synthetic aperture radar (SAR) using distributed targets. Some studies have utilized the covariance matching estimation technique (Comet) for SAR data calibration. However, practical applications have revealed issues stemming from ill-conditioned problems due to [...] Read more.
To date, various methods have been proposed for calibrating polarimetric synthetic aperture radar (SAR) using distributed targets. Some studies have utilized the covariance matching estimation technique (Comet) for SAR data calibration. However, practical applications have revealed issues stemming from ill-conditioned problems due to the analytical solution in the iterative process. To tackle this challenge, an improved method called Comet IS is introduced. Firstly, we introduce an outlier detection mechanism which is based on the Quegan algorithm’s results. Next, we incorporate an initial search approach which is based on the interior point method for recalibration. With the outlier detection mechanism in place, the algorithm can recalibrate iteratively until the results are correct. Simulation experiments reveal that the improved algorithm outperforms the original one. Furthermore, we compare the improved method with Quegan and Ainsworth algorithms, demonstrating its superior performance in calibration. Furthermore, we validate our method’s advancement using real data and corner reflectors. Compared with the other two algorithms, the improved performance in crosstalk isolation and channel imbalance is significant. This research provides a more reliable and effective approach for polarimetric SAR calibration, which is significant for enhancing SAR imaging quality. Full article
Show Figures

Figure 1

21 pages, 3327 KB  
Article
Application of Oversampling Techniques for Enhanced Transverse Dispersion Coefficient Estimation Performance Using Machine Learning Regression
by Sunmi Lee and Inhwan Park
Water 2024, 16(10), 1359; https://doi.org/10.3390/w16101359 - 10 May 2024
Cited by 2 | Viewed by 1755
Abstract
The advection–dispersion equation has been widely used to analyze the intermediate field mixing of pollutants in natural streams. The dispersion coefficient, manipulating the dispersion term of the advection–dispersion equation, is a crucial parameter in predicting the transport distance and contaminated area in the [...] Read more.
The advection–dispersion equation has been widely used to analyze the intermediate field mixing of pollutants in natural streams. The dispersion coefficient, manipulating the dispersion term of the advection–dispersion equation, is a crucial parameter in predicting the transport distance and contaminated area in the water body. In this study, the transverse dispersion coefficient was estimated using machine learning regression methods applied to oversampled datasets. Previous research datasets used for this estimation were biased toward width-to-depth ratio (W/H) values ≤ 50, potentially leading to inaccuracies in estimating the transverse dispersion coefficient for datasets with W/H > 50. To address this issue, four oversampling techniques were employed to augment the dataset with W/H > 50, thereby mitigating the dataset’s imbalance. The estimation results obtained from data resampling with nonlinear regression method demonstrated improved prediction accuracy compared to the pre-oversampling results. Notably, the combination of adaptive synthetic sampling (ADASYN) and eXtreme Gradient Boosting regression (XGBoost) exhibited improved accuracy compared to other combinations of oversampling techniques and nonlinear regression methods. Through the combined ADASYN–XGBoost approach, it is possible to enhance the transverse dispersion coefficient estimation performance using only two variables, W/H and bed friction effects (U/U*), without adding channel sinuosity; this represents the effects of secondary currents. Full article
(This article belongs to the Special Issue Contaminant Transport Modeling in Aquatic Environments)
Show Figures

Figure 1

20 pages, 3985 KB  
Article
A Space-Borne SAR Azimuth Multi-Channel Quantization Method
by Wei Xu, Lu Bai, Pingping Huang, Weixian Tan and Yifan Dong
Electronics 2024, 13(6), 1102; https://doi.org/10.3390/electronics13061102 - 17 Mar 2024
Viewed by 1507
Abstract
The space-borne synthetic aperture radar (SAR) azimuth multi-channel system has extensive applications because it can achieve high-resolution and wide-swath radar imaging. The thermal noise generated by the radar receiver of each channel during operation will cause an imbalance between channels. If the echoes [...] Read more.
The space-borne synthetic aperture radar (SAR) azimuth multi-channel system has extensive applications because it can achieve high-resolution and wide-swath radar imaging. The thermal noise generated by the radar receiver of each channel during operation will cause an imbalance between channels. If the echoes of each channel are quantized with the same number of bits without considering the influence of thermal noise, false targets will appear in the imaging consequences. Considering that the thermal noise generated in the receiver will affect the quantization process of the space-borne SAR azimuth multi-channel system, a new space-borne SAR azimuth multi-channel quantization method is proposed to improve this problem. Firstly, the pure noise power of the receiver is calculated without transmitting the radar signal. The signal power is estimated by subtracting the pure noise power from the total power. Then, the average value of the radar echo signal minus k times the standard deviation is used as the left endpoint of the original data amplitude range, and the average value of the radar echo signal plus k times the standard deviation is used as the right endpoint of the original data amplitude range. The original echo data after adjusting the amplitude range is quantified. This method can effectively reduce the influence of thermal noise and random outliers in the receiver on quantization and suppress the appearance of false targets. Finally, simulation is used to confirm the viability of the suggested quantization approach. Full article
(This article belongs to the Special Issue SAR Image and Signal Processing)
Show Figures

Figure 1

25 pages, 1335 KB  
Article
An Efficient Transmitter Feature Extraction Scheme with IQ Imbalance and Nonlinearity in TDD OFDM Systems
by Yi Huang, Aiqun Hu, Jiayi Fan, Huifeng Tian, Xuebao Li and Yanfang Zheng
Electronics 2023, 12(19), 4108; https://doi.org/10.3390/electronics12194108 - 30 Sep 2023
Cited by 1 | Viewed by 1684
Abstract
Radio frequency (RF) fingerprints have been an emerging research topic for the last decade. Numerous algorithms for recognition have been proposed. However, very few algorithms for the accurate extraction of IQI and PA nonlinearity are available, especially when multiple paths are considered. In [...] Read more.
Radio frequency (RF) fingerprints have been an emerging research topic for the last decade. Numerous algorithms for recognition have been proposed. However, very few algorithms for the accurate extraction of IQI and PA nonlinearity are available, especially when multiple paths are considered. In this study, we present a scheme that uses the transmitter in-phase/quadrature-phase imbalance (IQI) and the power amplifier (PA) nonlinearity as RF fingerprint features in time-division duplexing (TDD) OFDM systems, which are always considered to be harmful to data transmission. The scheme consists of two round trips with four steps for two cases: in the first, the IQI and PA nonlinearity are unknown at the terminal; in the second, they are known at the terminal. A channel state information (CSI)-tracking algorithm based on the sliding-window least squares method is first adopted at the terminal. In case A, the obtained CSI is sent to the base station (BS) to remove its impact there; in case B, this removal is conducted directly by using pre-equalization at the terminal. Then, by following a sequential iterative approach, the IQI and nonlinearity are individually calculated. Theoretical analyses reveal how CSI estimation errors influence subsequent estimates at the BS in these two cases. Furthermore, the approximate unbiasedness is verified. The theoretical variance and Cramer–Rao lower bound (CRLB) are also given. It is indicated that the theoretical minimum variance in case B is lower than that in case A from the perspective of the CRLB. The numerical results demonstrate the efficiency of the scheme in comparison with existing techniques in the literature. Full article
(This article belongs to the Special Issue Precise Timing and Security in Internet of Things)
Show Figures

Figure 1

20 pages, 9776 KB  
Article
Compensation of Background Ionospheric Effect on L-Band Geosynchronous SAR with Fully Polarimetric Data
by Wei Guo, Peng Xiao and Xincheng Gao
Remote Sens. 2023, 15(15), 3746; https://doi.org/10.3390/rs15153746 - 27 Jul 2023
Cited by 4 | Viewed by 2018
Abstract
The L-band geosynchronous synthetic aperture radar (GEO-SAR) has been widely praised for its advantages of short revisit time, wide coverage and stable backscattering information acquisition. However, due to the ultra-long integrated time, the echo will be affected by the time-variant background ionosphere, leading [...] Read more.
The L-band geosynchronous synthetic aperture radar (GEO-SAR) has been widely praised for its advantages of short revisit time, wide coverage and stable backscattering information acquisition. However, due to the ultra-long integrated time, the echo will be affected by the time-variant background ionosphere, leading in particular to defocusing in the azimuth direction. Existing compensation methods suitable for low Earth orbit SAR (LEO-SAR) are based on the SAR image or the semi-focused image at the ionospheric phase screen, assuming that the ionosphere is time-frozen for a short integrated period; thus, accurate reconstruction of the time-variant characteristics for the ionosphere in GEO-SAR cannot be achieved. In this paper, a compensation method of background ionospheric effects on L-band GEO-SAR with fully polarimetric data is proposed. Considering the continuous variation of the ionosphere within the synthetic aperture, a decompression processing is proposed to reconstruct the echo by recovering the temporal sampling according to the imaging geometry. By virtue of the Faraday rotation angle, the time-variant total electron content (TEC) is accurately estimated with the reconstructed echo. Based on the established error model, the ionospheric effects are well compensated with the estimated TEC. Simulations with the real SAR data from ALOS-2 and the measured time-variant TEC from USTEC validate the effectiveness and performance of the proposed method. The impacts from thermal noise and polarimetric calibration error are also quantitatively analyzed. From this, the error thresholds are given to guarantee compensation accuracy, namely 18.96 dB for SNR, −15.63 dB for crosstalk and −1.02 dB to 0.31 dB for the amplitude of the channel imbalance, and the argument of the channel imbalance is suggested to be maintained as close to zero as possible. Full article
(This article belongs to the Section Remote Sensing Image Processing)
Show Figures

Graphical abstract

28 pages, 61068 KB  
Article
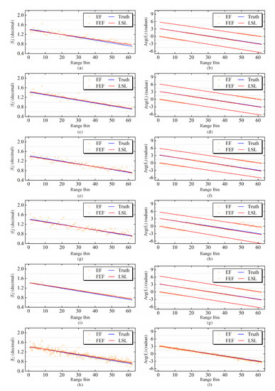
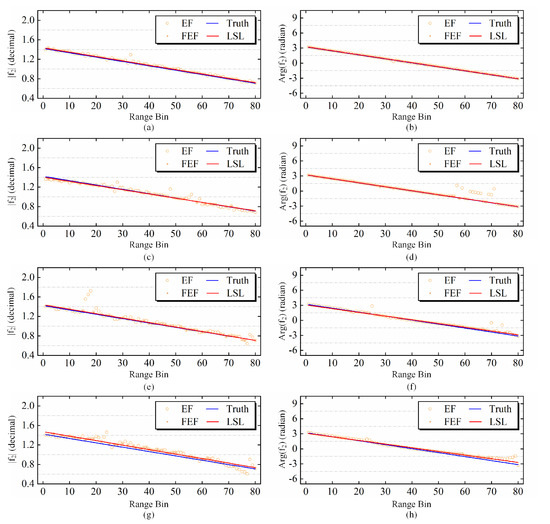
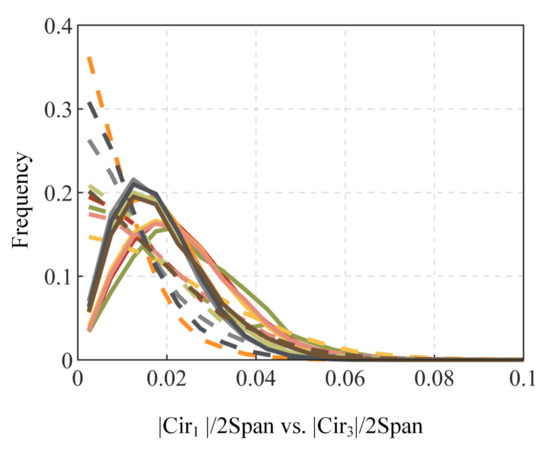
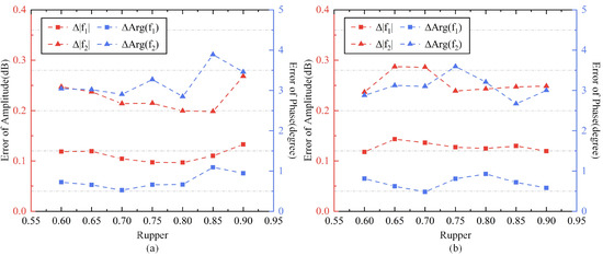
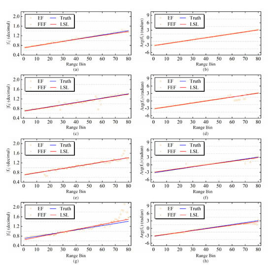
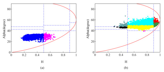
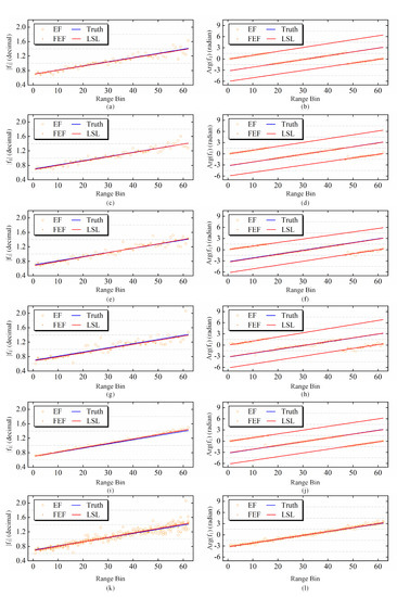
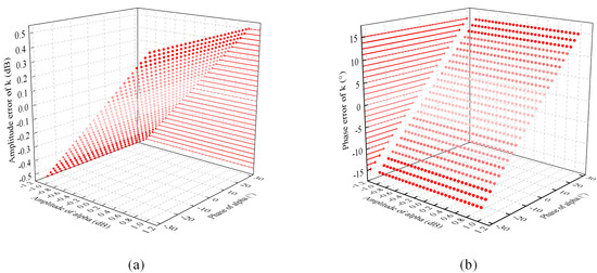
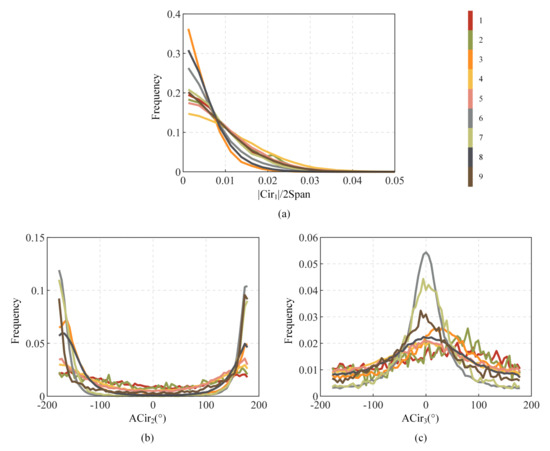
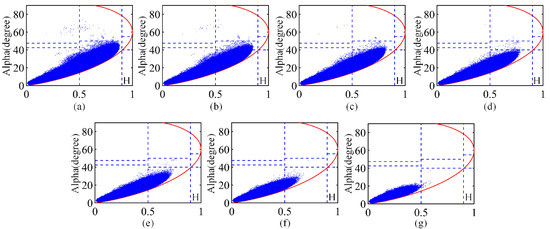
Channel Imbalance Calibration Based on the Zero Helix of Bragg-like Targets
by Hanglan Guo, Xingjie Zhao, Xiuqing Liu and Weidong Yu
Remote Sens. 2023, 15(7), 1810; https://doi.org/10.3390/rs15071810 - 28 Mar 2023
Cited by 4 | Viewed by 1763
Abstract
The calibration of channel imbalances is currently the main concern in polarimetric calibration (POLCAL) since the crosstalk of recent polarimetric synthetic aperture radar (Pol-SAR) systems is lower than −20 dB. The existing channel imbalance calibration method without corner reflectors utilizes both volume-dominated and [...] Read more.
The calibration of channel imbalances is currently the main concern in polarimetric calibration (POLCAL) since the crosstalk of recent polarimetric synthetic aperture radar (Pol-SAR) systems is lower than −20 dB. The existing channel imbalance calibration method without corner reflectors utilizes both volume-dominated and Bragg-like targets. However, there are two limitations to using volume-dominated targets. One is that the inaccurate selection of volume-dominated areas in the uncalibrated Pol-SAR images has a negative influence on the estimation of cross-polarization (x-pol) channel imbalance, which subsequently impacts the estimation of copolarization (copol) channel imbalance. The other is that there are minimal volume-dominated areas in some special applications of Pol-SAR, such as planetary exploration. Thus, only selecting Bragg-like targets to estimate the values of both transmitting and receiving channel imbalances, which is proposed in this paper, can avoid the uncertainty brought about by selecting other distributed targets in an uncalibrated imaginary. In addition, the reciprocity assumption and characteristics corresponding to H/α¯ decomposition are introduced to eliminate the phase ambiguity for the first time. Compared with previous methods, our method had an obvious advantage in terms of universality, since Bragg-like targets are common in the most illuminating areas. The novel method was applied to both the simulated data from the L-band Advanced Land Observing Satellite (ALOS) and C-band GaoFen-3 (GF-3), and to real data with corner reflectors on site. The results from the simulated data showed that the errors of the amplitude and phase estimation were less than 0.5 dB and 5.0° in most topographical features. Meanwhile, the VV/HH terms from all trihedral corner reflectors were less than 0.3 dB for amplitude, and 5.5° for phase after calibration by using the estimated channel imbalances. Full article
Show Figures

Figure 1

24 pages, 4349 KB  
Article
Radiometric and Polarimetric Quality Validation of Gaofen-3 over a Five-Year Operation Period
by Le Yang, Lei Shi, Weidong Sun, Jie Yang, Pingxiang Li, Deren Li, Shanwei Liu and Lingli Zhao
Remote Sens. 2023, 15(6), 1605; https://doi.org/10.3390/rs15061605 - 15 Mar 2023
Cited by 8 | Viewed by 2882
Abstract
GaoFen-3 was the first Chinese civilian C-band synthetic aperture radar (SAR) satellite, launched in August 2016. The need for monitoring the satellite’s image quality has been boosted by its widespread applications in various fields. The efficient and scientific assessment of the system’s radiometric [...] Read more.
GaoFen-3 was the first Chinese civilian C-band synthetic aperture radar (SAR) satellite, launched in August 2016. The need for monitoring the satellite’s image quality has been boosted by its widespread applications in various fields. The efficient and scientific assessment of the system’s radiometric and polarimetric performance has been essential in its more than five years of service. The authors collected 90 images of the Inner Mongolia calibration site, 888 images of the Amazon rainforest, and 39,929 images of the Chinese mainland from 2017 to 2021. This was achieved whilst covering the leading imaging modes, such as the spotlight mode, stripmap mode, ultra-fine mode, wave imaging mode, etc. In this study, we derive a framework that incorporates the man-made corner reflectors (CRs) in Mongolia, the traditional Amazon rainforest datasets, and even the long-strip data in the Chinese mainland (known as CRAS) for the purposes of GaoFen-3 radiometric quality analysis and polarimetric validation over its five years of operation. Polarimetric calibration without recourse to the CRs is utilized to measure the polarimetric distortions regardless of the region, and thus requires a higher calibration accuracy for the GaoFen-3 polarimetric monitoring task. Consequently, the modified Quegan method is developed by relaxing the target azimuth symmetry constraint with the Amazon forest datasets. The experiments based on the CRAS demonstrate that the main radiometric characteristics could reach the international level, with an estimated noise-equivalent sigma zero of approximately −30 dB, a radiometric resolution that is better than 2.9 dB, and a single-imagery relative radiation accuracy that is better than 0.51 dB. For polarimetric validation, the modified Quegan method was utilized to measure the crosstalk for quad-pol products to ensure that it was than −40 dB. Meanwhile, non-negligible channel imbalance errors were found in the QPSII and WAV modes, and they were effectively well-calibrated with strip estimators to satisfy the system design. Full article
Show Figures

Figure 1

23 pages, 10962 KB  
Article
An Efficient Channel Imbalance Estimation Method Based on Subadditivity of Linear Normed Space of Sub-Band Spectrum for Azimuth Multichannel SAR
by Zongxiang Xu, Pingping Lu, Yonghua Cai, Junfeng Li, Tianyuan Yang, Yirong Wu and Robert Wang
Remote Sens. 2023, 15(6), 1561; https://doi.org/10.3390/rs15061561 - 13 Mar 2023
Cited by 7 | Viewed by 2845
Abstract
Azimuth multichannel (AMC) technology is one of the mainstream technical approaches to realize high-resolution wide-swath (HRWS) imaging. It has been successfully applied to several synthetic aperture radar (SAR) satellites in orbit. However, the inevitable imbalance between channels can seriously affect the azimuth reconstruction [...] Read more.
Azimuth multichannel (AMC) technology is one of the mainstream technical approaches to realize high-resolution wide-swath (HRWS) imaging. It has been successfully applied to several synthetic aperture radar (SAR) satellites in orbit. However, the inevitable imbalance between channels can seriously affect the azimuth reconstruction spectrum, introducing ghost targets into the final imaging results and degrading the SAR image quality. In order to address this issue, this paper proposes a channel imbalance estimation method based on minimizing the sum of the sub-band norm (MSSBN) for the reconstructed azimuth spectrum. First, the amplitude imbalance is calibrated in the range-Doppler domain. Then, the echo in each channel with phase imbalances is reconstructed by filters separately and converted to the range-Doppler domain. Finally, the global optimization algorithm is used to find the phase error of each channel so that the reconstructed postcompensation spectrum has the smallest sub-band spectrum norm sum. By two-dimensional blocking, this method can also estimate the space-varying phase imbalance in the range dimension and the time-varying phase imbalance in the azimuth dimension. Experimental results using simulated and actual AMC SAR data from the GF-3 system validate the proposed algorithm’s high estimation accuracy and excellent computational efficiency. Full article
(This article belongs to the Special Issue SAR-Based Signal Processing and Target Recognition)
Show Figures

Graphical abstract

24 pages, 28809 KB  
Article
A Channel Imbalance Calibration Scheme with Distributed Targets for Circular Quad-Polarization SAR with Reciprocal Crosstalk
by Xingjie Zhao, Yunkai Deng, Heng Zhang and Xiuqing Liu
Remote Sens. 2023, 15(5), 1365; https://doi.org/10.3390/rs15051365 - 28 Feb 2023
Cited by 8 | Viewed by 2608
Abstract
As polarimetric antennas can be isolated through excellent electronic frameworks in circular quad-polarization (CQP) synthetic aperture radar (SAR) systems, cross-polarization (x-pol) and co-polarization (co-pol) channel imbalances are more challenging and essential to calibrate than crosstalk in polarimetric calibration (PolCAL). In uncalibrated CQP SAR [...] Read more.
As polarimetric antennas can be isolated through excellent electronic frameworks in circular quad-polarization (CQP) synthetic aperture radar (SAR) systems, cross-polarization (x-pol) and co-polarization (co-pol) channel imbalances are more challenging and essential to calibrate than crosstalk in polarimetric calibration (PolCAL). In uncalibrated CQP SAR images without corner reflectors (CRs), the reciprocity and reflection symmetry assumptions of the distributed targets are commonly used to estimate the x-pol and co-pol channel imbalances, respectively. To suppress the influence of additive noise on determining channel imbalances through distributed targets, high signal-to-noise ratio (SNR) distributed targets should be obtained from the x-pol and co-pol channels of the CQP SAR images: namely, surface-dominated and volume-dominated targets. However, some reflection symmetry assumptions used in the existing calibration literature have poor applicability with volume-dominated targets, resulting in unsatisfactory estimation results for the co-pol channel imbalance phase. In this paper, we assess the priority of the reflection symmetry properties of volume-dominated targets used to calibrate the co-pol channel imbalance phase in CQP SAR data synthesized from linear quad-polarization data of ALOS, GF-3, and RADARSAT-2. In the theoretical part, high-priority reflection symmetry (termed semireflection symmetry) assumptions are confirmed as the most suitable for estimating the co-pol channel imbalance phase, and were selected to develop an algorithm for estimating the co-pol channel imbalance phase. Furthermore, based on the novel method for estimating the co-pol channel imbalance phase, a channel imbalance calibration scheme is proposed for CQP SAR systems with reciprocal crosstalk, including extracting surface-dominated and volume-dominated targets, and estimating and filtering channel imbalances. We demonstrate the effectiveness of our proposed scheme with CRs in simulated CQP SAR images. The experimental results show that the calibration scheme is an effective workflow for estimating channel imbalances in CQP SAR systems with reciprocal crosstalk. Full article
Show Figures

Graphical abstract

15 pages, 346 KB  
Article
Estimation of IQI for AF Cooperative Single-Carrier Frequency Domain Equalization Systems Using Channel Decoder Feedback
by Mohamed Marey and Hala Mostafa
Electronics 2023, 12(4), 863; https://doi.org/10.3390/electronics12040863 - 8 Feb 2023
Cited by 1 | Viewed by 1986
Abstract
The process of amplify-and-forward (AF) relaying is essential to the improvement of both current and future wireless communication standards. Nevertheless, significant performance loss may be posed by in-phase and quadrature imbalance (IQI) caused by defects in radio frequency components. Prior studies into this [...] Read more.
The process of amplify-and-forward (AF) relaying is essential to the improvement of both current and future wireless communication standards. Nevertheless, significant performance loss may be posed by in-phase and quadrature imbalance (IQI) caused by defects in radio frequency components. Prior studies into this research problem were restricted to uncoded broadcasts, even though error-correcting codes are frequently used in real applications. To this purpose, we develop a novel approach applicable to the destination terminal for estimating and compensating for IQI that occurs at the source, relay, and destination terminals. The proposed approach is explored in the context of coded emissions of AF single-carrier frequency domain equalization (SC-FDE) systems. In contrast to other methods for mitigating this radio frequency deflection at each node, the proposed system estimates and compensates for all IQI parameters and channel impulse responses simultaneously. With the use of an iterative expectation–maximization (EM) process, a maximum-likelihood (ML) solution to the problem is computed. At each round, the soft information supplied by the channel decoder is employed to create the a posteriori expectations of the sent data symbols, which are then fed into the estimation process as if they were training symbols. In addition, we address how to use the estimated parameters to perform the task of data detection. The offered predictor and detector exchange soft information in a sequential process, boosting the overall system effectiveness. The simulation results show that the proposed method is not only practicable but superior to the established methods. Full article
(This article belongs to the Special Issue New Trends and Methods in Communication Systems)
Show Figures

Figure 1

Back to TopTop