Channel Imbalance Calibration Based on the Zero Helix of Bragg-like Targets
Abstract
1. Introduction
2. Calibration Model and the UZHEX Constraint
2.1. Pol-SAR Distortion Model
2.2. POLCAL Methodology without Corner Reflectors Based on UZHEX
2.3. Influence of the X-Pol Channel Imbalance Estimation Error

3. Received and Transmitted Channel Imbalance Estimation Based on the UZHEX Constraint
3.1. Assumptions for the Proposed Method
- Nonreciprocity for the Pol-SAR radar system. Given that the reciprocity of recently developed polarimetric systems is no longer satisfied [31], we expect that the received modules and transmitted modules are different.
3.2. The Proposed Polarimetric Calibration Framework
3.2.1. Bragg-like Target Selection
3.2.2. Transmitted and Received Channel Imbalances Calibration
- (1)
- Solve the by the Gauss-Newton iterative algorithm to obtain the initial and .
- (2)
- Produce from by applying the initial estimated and .
- (3)
- Estimate the update values of crosstalk by the Ainsworth method to apply them to the (26), producing .
- (4)
- Solve (25) by using the Gauss-Newton iterative algorithm again to calculate the and update, ,.
- (5)
- Rescale crosstalk by and , and return to step 2.
3.2.3. Phase Ambiguity Elimination
- Histogram statistics of are performed on the current distance direction, and the peak value is obtained.
- Add or subtract to and compare with to select the value that is closest to the peak value as the accurate estimated .
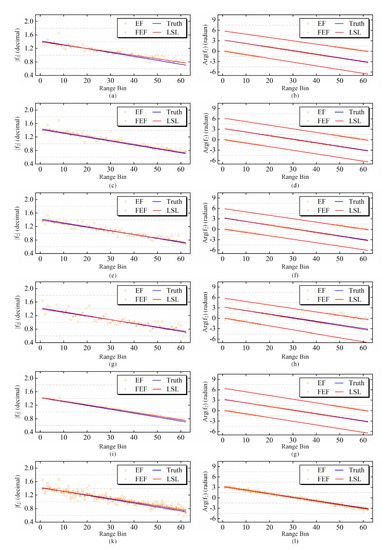
3.2.4. Best-Fit Solution with Filter
3.2.5. Azimuth Block Fusion
4. Experiments and Results
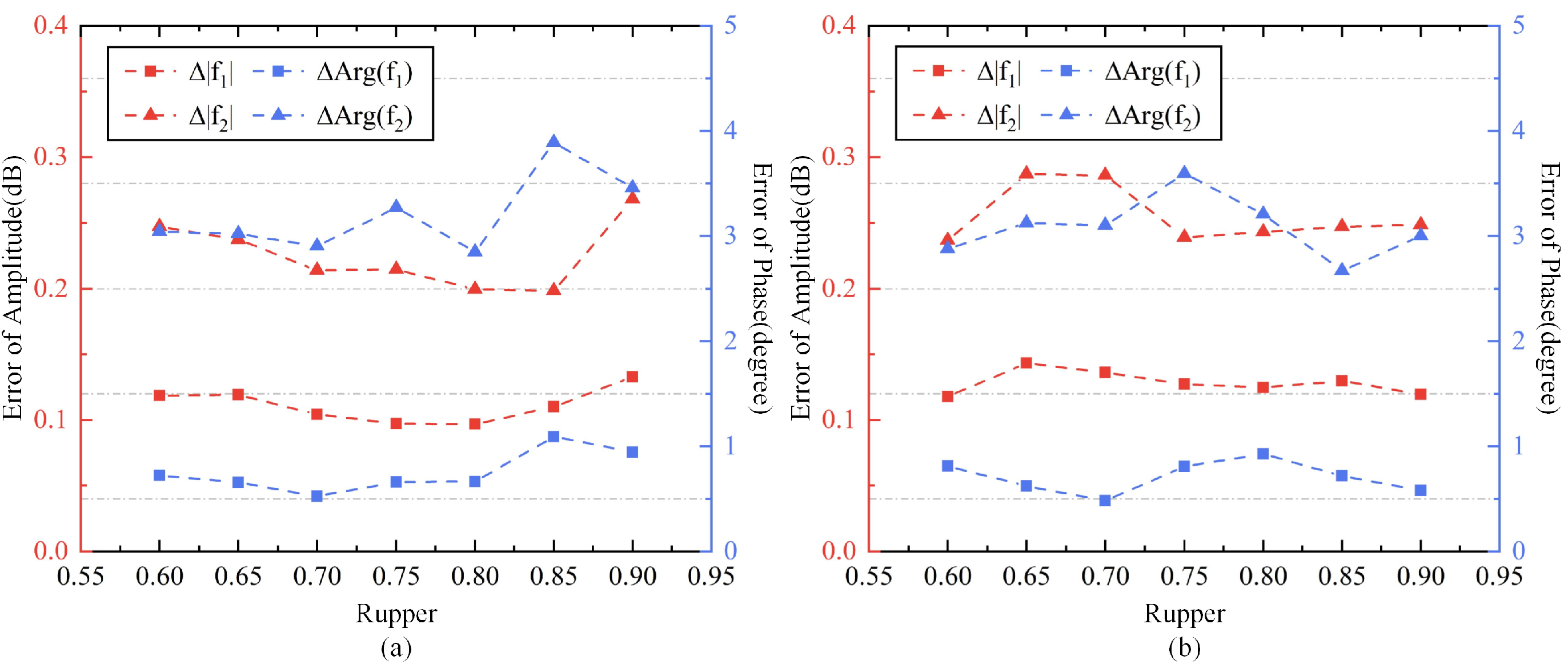
4.1. Transmitted and Received Channel Imbalance Estimation with Simulated Data
4.2. Transmitted and Received Channel Imbalance Estimation with Corner Reflectors on Site
5. Discussion
5.1. Influence of Crosstalk
5.2. Influence of Noise
6. Conclusions
Author Contributions
Funding
Acknowledgments
Conflicts of Interest
Appendix A. Influence of Bragg-Like Target Selection



References
- Zebker, H.A.; Van Zyl, J.J. Imaging radar polarimetry: A review. Proc. IEEE 1991, 79, 1583–1606. [Google Scholar] [CrossRef]
- Qi, Z.; Yeh, A.G.O.; Li, X.; Zhang, X. A three-component method for timely detection of land cover changes using polarimetric SAR images. ISPRS J. Photogramm. Remote Sens. 2015, 107, 3–21. [Google Scholar] [CrossRef]
- Varade, D.; Manickam, S.; Dikshit, O.; Singh, G.; Snehmani. Modelling of early winter snow density using fully polarimetric C-band SAR data in the Indian Himalayas. Remote Sens. Environ. 2020, 240, 111699. [Google Scholar] [CrossRef]
- Shokr, M.; Dabboor, M. Observations of SAR polarimetric parameters of lake and fast sea ice during the early growth phase. Remote Sens. Environ. 2020, 247, 111910. [Google Scholar] [CrossRef]
- Chang, Q.; Zwieback, S.; DeVries, B.; Berg, A. Application of L-band SAR for mapping tundra shrub biomass, leaf area index, and rainfall interception. Remote Sens. Environ. 2022, 268, 112747. [Google Scholar] [CrossRef]
- Shi, H.; Zhao, L.; Yang, J.; Lopez-Sanchez, J.M.; Zhao, J.; Sun, W.; Shi, L.; Li, P. Soil moisture retrieval over agricultural fields from L-band multi-incidence and multitemporal PolSAR observations using polarimetric decomposition techniques. Remote Sens. Environ. 2021, 261, 112485. [Google Scholar] [CrossRef]
- Komarov, A.S.; Zabeline, V.; Barber, D.G. Ocean surface wind speed retrieval from C-band SAR images without wind direction input. IEEE Trans. Geosci. Remote Sens. 2013, 52, 980–990. [Google Scholar] [CrossRef]
- Freeman, A. SAR calibration: An overview. IEEE Trans. Geosci. Remote Sens. 1992, 30, 1107–1121. [Google Scholar] [CrossRef]
- Whitt, M.; Ulaby, F.; Polatin, P.; Liepa, V. A general polarimetric radar calibration technique. IEEE Trans. Antennas Propag. 1991, 39, 62–67. [Google Scholar] [CrossRef]
- Zhu, L.; Walker, J.P.; Ye, N.; Rüdiger, C.; Hacker, J.M.; Panciera, R.; Tanase, M.A.; Wu, X.; Gray, D.A.; Stacy, N.; et al. The polarimetric L-band imaging synthetic aperture radar (PLIS): Description, calibration, and cross-validation. IEEE J. Sel. Top. Appl. Earth Obs. Remote Sens. 2018, 11, 4513–4525. [Google Scholar] [CrossRef]
- Li, L.; Zhu, Y.; Hong, J.; Ming, F.; Wang, Y. Design and implementation of a novel polarimetric active radar calibrator for Gaofen-3 SAR. Sensors 2018, 18, 2620. [Google Scholar] [CrossRef] [PubMed]
- Quegan, S. A unified algorithm for phase and cross-talk calibration of polarimetric data-theory and observations. IEEE Trans. Geosci. Remote Sens. 1994, 32, 89–99. [Google Scholar] [CrossRef]
- Ainsworth, T.L.; Ferro-Famil, L.; Lee, J.S. Orientation angle preserving a posteriori polarimetric SAR calibration. IEEE Trans. Geosci. Remote Sens. 2006, 44, 994–1003. [Google Scholar] [CrossRef]
- Shimada, M. Model-based polarimetric SAR calibration method using forest and surface-scattering targets. IEEE Trans. Geosci. Remote Sens. 2011, 49, 1712–1733. [Google Scholar] [CrossRef]
- Freeman, A.; Durden, S.L. A three-component scattering model for polarimetric SAR data. IEEE Trans. Geosci. Remote Sens. 1998, 36, 963–973. [Google Scholar] [CrossRef]
- Shi, L.; Yang, J.; Li, P. Co-polarization channel imbalance determination by the use of bare soil. ISPRS J. Photogramm. Remote Sens. 2014, 95, 53–67. [Google Scholar] [CrossRef]
- Shi, L.; Li, P.; Yang, J.; Zhang, L.; Ding, X.; Zhao, L. Polarimetric SAR calibration and residual error estimation when corner reflectors are unavailable. IEEE Trans. Geosci. Remote Sens. 2020, 58, 4454–4471. [Google Scholar] [CrossRef]
- Shi, L.; Li, P.; Yang, J.; Sun, H.; Zhao, L.; Zhang, L. Polarimetric calibration for the distributed Gaofen-3 product by an improved unitary zero helix framework. ISPRS J. Photogramm. Remote Sens. 2020, 160, 229–243. [Google Scholar] [CrossRef]
- Shangguan, S.; Qiu, X.; Fu, K.; Lei, B.; Hong, W. GF-3 Polarimetric Data Quality Assessment Based on Automatic Extraction of Distributed Targets. IEEE J. Sel. Top. Appl. Earth Obs. Remote Sens. 2020, 13, 4282–4294. [Google Scholar] [CrossRef]
- Azcueta, M.; D’Alessandro, M.M.; Zajc, T.; Grunfeld, N.; Thibeault, M. ALOS-2 preliminary calibration assessment. In Proceedings of the IGARSS 2015—2015 IEEE International Geoscience and Remote Sensing Symposium, Milan, Italy, 26–31 July 2015. [Google Scholar]
- Touzi, R.; Hawkins, R.K.; Cote, S. High Precision Assessment and Calibration of Polarimetric RADARSAT-2 Using Transponder Measurements. In Proceedings of the PolinSAR 2011, Science and Applications of SAR Polarimetry and Polarimetric Interferometry, Frascati, Italy, 24–28 January 2011; Volume 695. [Google Scholar]
- Zhao, X.; Deng, Y.; Zhang, H.; Liu, X. A Channel Imbalance Calibration Scheme with Distributed Targets for Circular Quad-Polarization SAR with Reciprocal Crosstalk. Remote Sens. 2023, 15, 1365. [Google Scholar] [CrossRef]
- Praks, J.; Hallikainen, M. A novel approach in polarimetric covariance matrix eigendecomposition. In Proceedings of the IGARSS 2000, IEEE 2000 International Geoscience and Remote Sensing Symposium. Taking the Pulse of the Planet: The Role of Remote Sensing in Managing the Environment. Proceedings (Cat. No. 00CH37120), Honolulu, HI, USA, 24–28 July 2000; IEEE: Piscataway, NJ, USA, 2000; Volume 3, pp. 1119–1121. [Google Scholar]
- Cloude, S.R.; Pottier, E. A review of target decomposition theorems in radar polarimetry. IEEE Trans. Geosci. Remote Sens. 1996, 34, 498–518. [Google Scholar] [CrossRef]
- Cloude, S.; Pottier, E. An entropy based classification scheme for land applications of polarimetric SAR. IEEE Trans. Geosci. Remote Sens. 1997, 35, 68–78. [Google Scholar] [CrossRef]
- Cloude, S.R.; Ossikovski, R.; Garcia-Caurel, E. Bright singularities: Polarimetric calibration of spaceborne PolSAR systems. IEEE Geosci. Remote Sens. Lett. 2020, 18, 476–479. [Google Scholar] [CrossRef]
- Van Zyl, J.J. Calibration of polarimetric radar images using only image parameters and trihedral corner reflector responses. IEEE Trans. Geosci. Remote Sens. 1990, 28, 337–348. [Google Scholar] [CrossRef]
- Yamaguchi, Y.; Moriyama, T.; Ishido, M.; Yamada, H. Four-component scattering model for polarimetric SAR image decomposition. IEEE Trans. Geosci. Remote Sens. 2005, 43, 1699–1706. [Google Scholar] [CrossRef]
- Nghiem, S.; Yueh, S.; Kwok, R.; Li, F. Symmetry properties in polarimetric remote sensing. Radio Sci. 1992, 27, 693–711. [Google Scholar] [CrossRef]
- Chang, Y.; Zhao, L.; Shi, L.; Nie, Y.; Hui, Z.; Xiong, Q.; Li, P. Polarimetric calibration of SAR images using reflection symmetric targets with low helix scattering. Int. J. Appl. Earth Obs. Geoinf. 2021, 104, 102559. [Google Scholar] [CrossRef]
- Fore, A.G.; Chapman, B.D.; Hawkins, B.P.; Hensley, S.; Jones, C.E.; Michel, T.R.; Muellerschoen, R.J. UAVSAR polarimetric calibration. IEEE Trans. Geosci. Remote Sens. 2015, 53, 3481–3491. [Google Scholar] [CrossRef]
- Praks, J.; Koeniguer, E.C.; Hallikainen, M.T. Alternatives to target entropy and alpha angle in SAR polarimetry. IEEE Trans. Geosci. Remote Sens. 2009, 47, 2262–2274. [Google Scholar] [CrossRef]
- Rabus, B.; Eineder, M.; Roth, A.; Bamler, R. The shuttle radar topography mission—A new class of digital elevation models acquired by spaceborne radar. ISPRS J. Photogramm. Remote Sens. 2003, 57, 241–262. [Google Scholar] [CrossRef]
- Lee, J.S.; Schuler, D.L.; Ainsworth, T.L. Polarimetric SAR data compensation for terrain azimuth slope variation. IEEE Trans. Geosci. Remote Sens. 2000, 38, 2153–2163. [Google Scholar]
- Borner, T.; Papathanassiou, K.P.; Marquart, N.; Zink, M.; Meadows, P.; Rye, A.; Wright, P.; Meininger, M.; Tell, B.R.; Traver, I.N. ALOS PALSAR products verification. In Proceedings of the 2007 IEEE International Geoscience and Remote Sensing Symposium, Barcelona, Spain, 23–27 July 2007; IEEE: Piscataway, NJ, USA, 2007; pp. 5214–5217. [Google Scholar]
- Shimada, M.; Isoguchi, O.; Tadono, T.; Higuchi, R.; Isono, K. PALSAR CALVAL summary and update 2007. In Proceedings of the 2007 IEEE International Geoscience and Remote Sensing Symposium, Barcelona, Spain, 23–27 July 2007; IEEE: Piscataway, NJ, USA, 2007; pp. 3593–3596. [Google Scholar]
- Zhang, Q. System design and key technologies of the GF-3 satellite. Acta Geod. Cartogr. Sin. 2017, 46, 269–277. [Google Scholar]
- Shi, L.; Yang, L.; Zhao, L.; Li, P.; Yang, J.; Zhang, L. NESZ Estimation and Calibration for Gaofen-3 Polarimetric Products by the Minimum Noise Envelope Estimator. IEEE Trans. Geosci. Remote Sens. 2021, 59, 7517–7534. [Google Scholar] [CrossRef]











| Size of Bare Soil | Frequency | Residual X-Pol Channel Imbalance | |
|---|---|---|---|
| Amplitude | Phase | ||
| 100 × 100 pixels | 1.5 GHz | −1∼1 dB | −30°∼30° |
| Site | SAR System | Error | 100 | 64 | 32 | 16 | 0 | Fusion |
|---|---|---|---|---|---|---|---|---|
| Amur Russia | ALOS L-Band | 0.0599 | 0.0639 | 0.088 | 0.1596 | 0.0873 | 0.0873 | |
| 0.2407 | 0.1821 | 0.1025 | 0.1100 | 0.1808 | 0.1943 | |||
| 0.7205 | 1.2585 | 4.7484 | 3.0413 | 1.6378 | 1.0643 | |||
| 3.7896 | 3.6863 | 3.9199 | 7.8031 | 2.7823 | 3.3845 | |||
| Xinjiang China | GF-3 C-Band | 0.1303 | 0.0864 | 0.0852 | 0.1011 | 0.1300 | 0.1128 | |
| 0.1932 | 0.2551 | 0.1535 | 0.2102 | 0.3046 | 0.2127 | |||
| 1.1770 | 0.1808 | 1.6719 | 0.6361 | 0.7463 | 3.8132 | |||
| 2.7253 | 1.3765 | 1.0421 | 2.9117 | 3.5738 | 0.5243 | |||
| Liaoning China | GF-3 C-Band | 0.1266 | 0.1209 | 0.1754 | 0.2486 | 0.1505 | 0.1326 | |
| 0.2501 | 0.1999 | 0.2907 | 0.4362 | 0.3119 | 0.2683 | |||
| 0.7792 | 0.4788 | 0.4486 | 1.0207 | 0.6840 | 0.9428 | |||
| 3.5137 | 4.1536 | 3.3257 | 3.3257 | 3.2884 | 3.4584 | |||
| Beijing China | GF-3 C-Band | 0.5454 | 0.5085 | 0.0702 | 0.4905 | 0.1026 | 0.2914 | |
| 0.8424 | 0.5833 | 0.2728 | 0.5729 | 0.0504 | 0.3322 | |||
| 6.3829 | 5.6142 | 9.0922 | 5.2359 | 4.9939 | 3.4564 | |||
| 7.7603 | 14.2864 | 9.0450 | 5.9117 | 1.7379 | 1.8388 |
| Tri.1 | Tri.2 | Tri.3 | Tri.4 | Tri.5 | |
|---|---|---|---|---|---|
| 0.3520 | 0.3907 | 0.3431 | 0.1916 | 0.4534 | |
| 4.7436 | 7.5901 | 5.1934 | 4.0472 | 5.1239 | |
| −38.1759 | −35.9219 | −36.5847 | −36.4814 | −36.9791 | |
| −39.0578 | −36.0557 | −36.4357 | −37.8592 | −37.0913 |
| Tri.1 | Tri.2 | Tri.3 | Tri.4 | Tri.5 | |
|---|---|---|---|---|---|
| 0.2013 | 0.2182 | 0.1561 | 0.0166 | 0.2725 | |
| 2.6912 | 5.4749 | 3.0451 | 2.1655 | 3.0288 | |
| −36.1654 | −36.6482 | −37.0742 | −35.7543 | −35.8580 | |
| −37.8945 | −37.0951 | −36.3498 | −36.4834 | −35.3586 |
| Ainsworth | ZeroAinsworth | Quegan | the Proposed Method | |
|---|---|---|---|---|
| −0.4957 | −0.4979 | −0.5089 | −0.4300 | |
| 2.3456 | 2.3470 | 2.3455 | 2.7138 |
Disclaimer/Publisher’s Note: The statements, opinions and data contained in all publications are solely those of the individual author(s) and contributor(s) and not of MDPI and/or the editor(s). MDPI and/or the editor(s) disclaim responsibility for any injury to people or property resulting from any ideas, methods, instructions or products referred to in the content. |
© 2023 by the authors. Licensee MDPI, Basel, Switzerland. This article is an open access article distributed under the terms and conditions of the Creative Commons Attribution (CC BY) license (https://creativecommons.org/licenses/by/4.0/).
Share and Cite
Guo, H.; Zhao, X.; Liu, X.; Yu, W. Channel Imbalance Calibration Based on the Zero Helix of Bragg-like Targets. Remote Sens. 2023, 15, 1810. https://doi.org/10.3390/rs15071810
Guo H, Zhao X, Liu X, Yu W. Channel Imbalance Calibration Based on the Zero Helix of Bragg-like Targets. Remote Sensing. 2023; 15(7):1810. https://doi.org/10.3390/rs15071810
Chicago/Turabian StyleGuo, Hanglan, Xingjie Zhao, Xiuqing Liu, and Weidong Yu. 2023. "Channel Imbalance Calibration Based on the Zero Helix of Bragg-like Targets" Remote Sensing 15, no. 7: 1810. https://doi.org/10.3390/rs15071810
APA StyleGuo, H., Zhao, X., Liu, X., & Yu, W. (2023). Channel Imbalance Calibration Based on the Zero Helix of Bragg-like Targets. Remote Sensing, 15(7), 1810. https://doi.org/10.3390/rs15071810

