Long-Term Assessment of Soil Carbon Dynamics in Post-Fire Conditions: Evidence from Digital Soil Mapping Approaches
Abstract
1. Introduction
2. Materials and Methods
2.1. Characterization of Study Area and Soil Sampling
2.2. Predictor Variables for Modeling
2.3. Modeling Approaches
2.3.1. Feature Selection Methods
2.3.2. Regression Algorithms
2.3.3. Prediction Validation and Uncertainties Estimation
2.3.4. Feature Importance, Model Validation, and Uncertainties Mapping
2.4. Long-Term Soil Property Dynamics Following Fire
3. Results
3.1. Model Performance
3.2. The Main Drivers and Uncertainties: Bulk Density, Total C, and C Stock Spatial Distribution
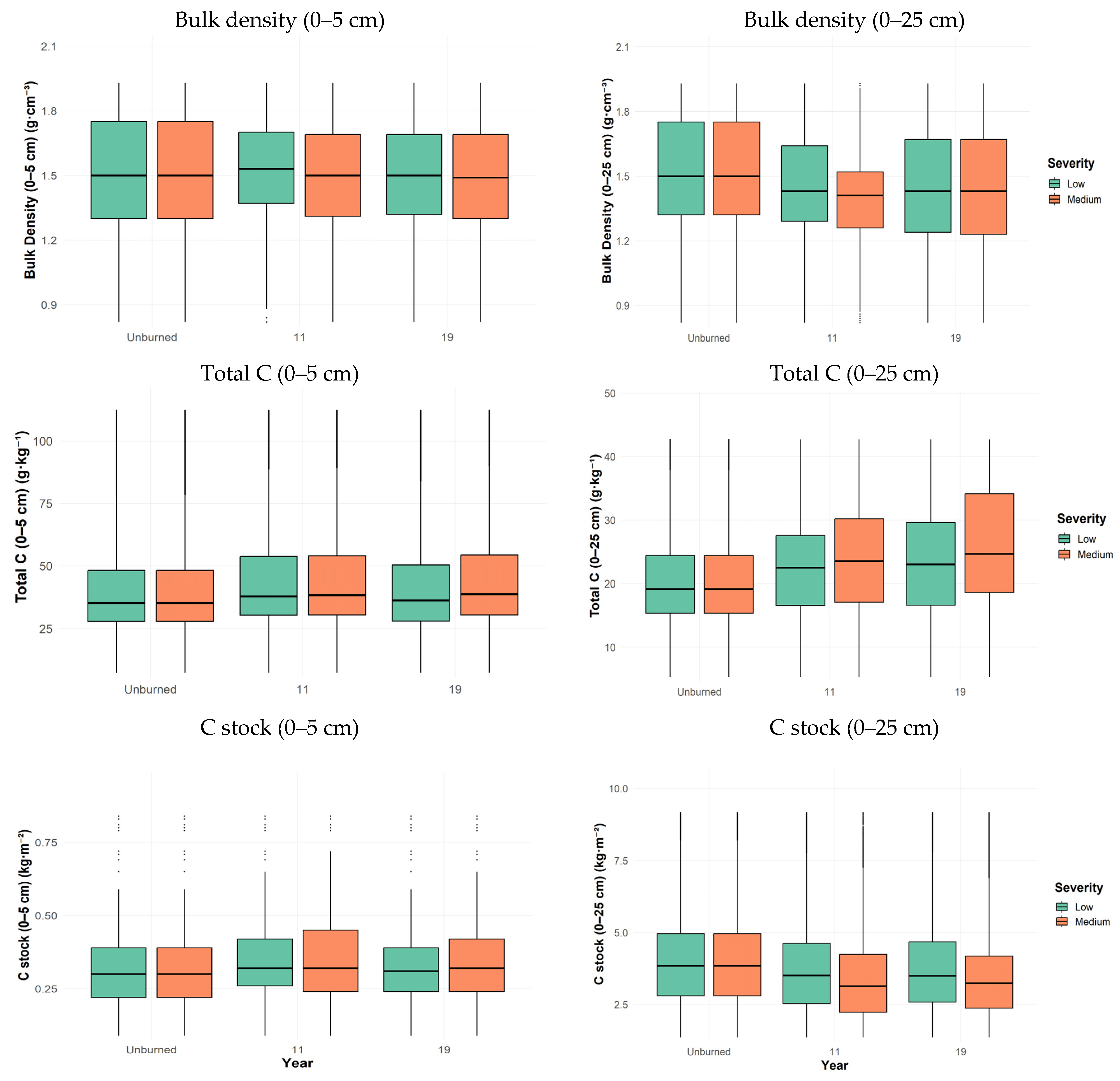
3.3. Long-Term Soil Property Dynamics Following Fire
4. Discussion
4.1. Model Performance
4.2. The Main Drivers and Uncertainties: Bulk Density, Total C, and C Stock Spatial Distribution
4.3. Long-Term Soil Property Dynamics Following Fire
5. Conclusions
Author Contributions
Funding
Institutional Review Board Statement
Informed Consent Statement
Data Availability Statement
Conflicts of Interest
Appendix A
| Covariate Names | Main Statistics | Covariates Names | Main Statistics | ||||||
|---|---|---|---|---|---|---|---|---|---|
| Min | Mean | Max | SD | Min | Mean | Max | SD | ||
| Annual_mean_temperature | 14.5 | 15.32 | 16.9 | 0.52 | NDVI | −0.28 | 0.29 | 0.69 | 0.09 |
| Annual_solar_radiation | 215 | 218.77 | 222.9 | 1.91 | NDMI | −0.62 | 0.01 | 0.47 | 0.1 |
| Annual_relative_humidity | 74 | 76.32 | 79.9 | 1.63 | NBR2 | 0.02 | 0.13 | 0.22 | 0.03 |
| Annual_precipitation | 14.5 | 15.32 | 16.9 | 0.52 | NBR | −0.64 | 0.12 | 0.61 | 0.11 |
| water_vapour_pressure | 12.8 | 13.18 | 14.2 | 0.31 | EVI | −0.97 | 0.27 | 0.96 | 0.09 |
| Temperature_seasonality | 4.5 | 4.88 | 5.10 | 0.13 | EVI_90 | 0 | 1 | ||
| precipitation_wettest_month | 92 | 107.32 | 125 | 7.87 | TCW | −1.89 | −0.23 | 0.05 | 0.05 |
| precipitation_driest_month | 0.1 | 0.42 | 1.2 | 0.27 | TCG | −1.54 | −0.04 | 0.27 | 0.04 |
| Min_Temperature_coldest_month | 8.1 | 8.87 | 10.9 | 0.59 | TCB | 0.23 | 0.48 | 3.97 | 0.06 |
| Max_Temperature_warmest_month | 22.3 | 23.87 | 25.30 | 0.76 | SAVI | −0.23 | 0.21 | 0.65 | 0.07 |
| Surface_temperature | 22.78 | 30.71 | 43.72 | 2.80 | Sand_content | 2.98 | 432.61 | 504.36 | 24.77 |
| B12 | 0.11 | 0.23 | 1.62 | 0.04 | Silt_content | 31.06 | 350.60 | 418.13 | 16.29 |
| B11 | 0.11 | 0.29 | 1.62 | 0.05 | Clay_content | 0.40 | 216.09 | 299.25 | 19.61 |
| B8 | 0.10 | 0.29 | 1.71 | 0.04 | Soil_temperature | 25.40 | 26.50 | 27.10 | 0.40 |
| B4 | 0.09 | 0.16 | 1.79 | 0.03 | Hillshade | −1 | −0.01 | 1 | 0.61 |
| B2 | 0.04 | 0.13 | 1.99 | 0.02 | TWI | 0 | 4.50 | 32.21 | 2.87 |
| GNDVI | −0.25 | 0.32 | 0.66 | 0.07 | TRI | 0 | 8.90 | 32.64 | 3.53 |
| RGR | 0.61 | 1.05 | 1.93 | 0.07 | eastness | −1 | 0.39 | 1 | 0.68 |
| Curvature | 0.16 | 6.83 | 0.11 | 0.02 | MRRTF | 0 | 0.05 | 3.87 | 0.26 |
| Slope | 0.09 | 19.18 | 87.99 | 8.58 | MRVBF | 0 | 0.05 | 3.87 | 0.26 |
| Aspect | 1 | 8 | Minimal_curvature | −1.22 | 0.01 | 2.46 | 0.04 | ||
| LULC | 1 | 6 | Tangentiel_curvature | −0.87 | 0.0003 | 0.95 | 0.01 | ||
| Slope_length | 0 | 42.41 | 1429 | 61.84 | Plan_curvature | −27.34 | 8.27 | 36.84 | 0.23 |
| Northness | −1 | −0.24 | 1 | 0.58 | Profile_curvatrure | −1.05 | 0.01 | 0.97 | 0.01 |
| topographicPosition index | −24.10 | 5.38 | 23.13 | 1.00 | Maximal_curvature | −0.02 | 0.01 | 3.61 | 0.07 |
| DEM | 7.26 | 183.18 | 580.79 | 184.18 | |||||
| Severity Level | dNBR Range (Scaled by 103) |
|---|---|
| High post-fire growth | −500 to −251 |
| Low post-fire growth | −250 to −101 |
| Unburned | −100 to +99 |
| Low severity | +100 to +269 |
| Morerate−low severity | +270 to +439 |
| Morerate−high severity | +440 to +659 |
| High severity | +660 to +1300 |
| Severity Class | Burned Area (ha) | % of Total Area |
|---|---|---|
| 2004|23,500 ha (29%) | ||
| Unburned | 3139.6 | 13.36 |
| Low | 13,839.15 | 58.89 |
| Medium–Low | 6509.5 | 27.70 |
| Medium–High | 4.7 | 0.02 |
| High | 0.00 | 0.00 |
| Very High | 0.00 | 0.00 |
| 2012|24,900 ha (31%) | ||
| Unburned | 2049.27 | 8.23 |
| Low | 19,474.29 | 78.21 |
| Medium–Low | 3366.48 | 13.52 |
| Medium–High | 0.00 | 0.00 |
| High | 0.00 | 0.00 |
| Very High | 0.00 | 0.00 |
References
- Mori, A.S.; Bradford, M.A.; Martínez-Rodríguez, M.R. Biodiversity and ecosystem services in forest ecosystems: A global-scale synthesis. J. Appl. Ecol. 2017, 54, 1133–1144. [Google Scholar] [CrossRef]
- Lal, R. Soil carbon sequestration to mitigate climate change. Geoderma 2004, 123, 1–22. [Google Scholar] [CrossRef]
- Villat, J.; Nicholas, K.A. Quantifying soil carbon sequestration from regenerative agricultural practices in crops and vineyards. Front. Sustain. Food Syst. 2024, 7, 1234108. [Google Scholar] [CrossRef]
- Batjes, N.H. Technologically achievable soil organic carbon sequestration in world croplands and grasslands. Land Degrad. Dev. 2019, 30, 25–32. [Google Scholar] [CrossRef]
- UNCCD—United Nations Convention to Combat Desertification. Report of the Conference of the Parties on Its Fourteenth Session, Held in New Delhi, India, from 2 to 13 September 2019. Available online: https://www.unccd.int/sites/default/files/sessions/documents/2019-12/ICCD_COP%2814%29_23_Add.1-1918355E.pdf (accessed on 18 September 2025).
- Minasny, B.; Malone, B.P.; McBratney, A.B.; Angers, D.A.; Arrouays, D.; Chambers, A.; Chaplot, V.; Chen, Z.S.; Cheng, K.; Das, B.; et al. Soil carbon 4 per mille. Geoderma 2017, 292, 59–86. [Google Scholar] [CrossRef]
- Jackson, R.B.; Lajtha, K.; Crow, S.E.; Hugelius, G.; Kramer, M.G.; Piñeiro, G. The ecology of soil carbon: Pools, vulnerabilities, and biotic and abiotic controls. Annu. Rev. Ecol. Evol. Syst. 2017, 48, 419–445. [Google Scholar] [CrossRef]
- Davidson, E.A.; Janssens, I.A. Temperature sensitivity of soil carbon decomposition and feedbacks to climate change. Nature 2006, 440, 165–173. [Google Scholar] [CrossRef] [PubMed]
- Crézé, C.; Saatchi, S.; Kwon, N.; Yang, Y.; Li, S. High-resolution global map (100 m) of soil organic carbon reveals critical ecosystems for carbon storage. Earth Syst. Sci. Data Discuss. 2025, 2025, 1–46. [Google Scholar] [CrossRef]
- IPBES. Thematic Assessment Report on the Underlying Causes of Biodiversity Loss and the Determinants of Transformative Change and Options for Achieving the 2050 Vision for Biodiversity of the Intergovernmental Science-Policy Platform on Biodiversity and Ecosystem Services; O’Brien, K., Garibaldi, L., Agrawal, A., Eds.; IPBES Secretariat: Bonn, Germany, 2024. [Google Scholar] [CrossRef]
- Food and Agriculture Organization of the United Nations; Plan Bleu. State of Mediterranean Forests 2018; FAO: Rome, Italy; Plan Bleu: Marseille, France, 2018; ISBN 978-92-5-131047-2/978-2-912081-52-0. [Google Scholar]
- Ferreira, C.S.S.; Seifollahi-Aghmiuni, S.; Destouni, G.; Ghajarnia, N.; Kalantari, Z. Soil degradation in the European Mediterranean region: Processes, status and consequences. Sci. Total Environ. 2022, 805, 150106. [Google Scholar] [CrossRef]
- Jones, M.W.; Abatzoglou, J.T.; Veraverbeke, S.; Andela, N.; Lasslop, G.; Forkel, M.; Smith, A.J.P.; Burton, C.; Betts, R.A.; van der Werf, G.R.; et al. Global and regional trends and drivers of fire under climate change. Rev. Geophys. 2022, 60, e2020RG000726. [Google Scholar] [CrossRef]
- El Garroussi, S.; Di Giuseppe, F.; Barnard, C. Europe faces up to tenfold increase in extreme fires in a warming climate. npj Clim. Atmos. Sci. 2024, 7, 30. [Google Scholar] [CrossRef]
- Coogan, S.C.P.; Robinne, F.N.; Jain, P.; Flannigan, M.D. Scientists’ warning on wildfire—A Canadian perspective. Can. J. For. Res. 2019, 49, 1015–1023. [Google Scholar] [CrossRef]
- van der Schriek, T.; Varotsos, K.V.; Karali, A.; Giannakopoulos, C. Wildfire Burnt Area and Associated Greenhouse Gas Emissions under Future Climate Change Scenarios in the Mediterranean: Developing a Robust Estimation Approach. Fire 2024, 7, 324. [Google Scholar] [CrossRef]
- Shen, L.; Zhang, W.; Zhai, D.; Han, S.; Tian, S. Estimation of soil organic carbon content and dynamics in Mediterranean climate regions considering long-term monthly climatic conditions. Ecol. Indic. 2024, 168, 112746. [Google Scholar] [CrossRef]
- Meier, S.; Strobl, E.; Elliott, R.J.R.; Kettridge, N. Cross-country risk quantification of extreme wildfires in Mediterranean Europe. Risk Anal. 2022, 42, 2444–2463. [Google Scholar] [CrossRef]
- Xofis, P.; Buckley, P.G.; Kefalas, G.; Chalaris, M.; Mitchley, J. Mid-term effects of fire on soil properties of North-East Mediterranean ecosystems. Fire 2023, 6, 337. [Google Scholar] [CrossRef]
- Miesel, J.R.; Hockaday, W.C.; Kolka, R.K.; Townsend, P.A. Soil organic matter composition and quality across fire severity gradients in coniferous and deciduous forests of the southern boreal region. J. Geophys. Res. 2015, 120, 1124–1141. [Google Scholar] [CrossRef]
- Zhang, Y.; Biswas, A. The effects of forest fire on soil organic matter and nutrients in boreal forests of North America: A review. In Adaptative Soil Management: From Theory to Practices; Rakshit, A., Abhilash, P.C., Bahadur, H.S., Ghosh, S., Eds.; Springer: Singapore, 2017; pp. 465–476. [Google Scholar] [CrossRef]
- Wittenberg, L.; Pereira, P. Fire and soils: Measurements, modelling, management and challenges. Sci. Total Environ. 2021, 782, 145964. [Google Scholar] [CrossRef]
- Pellegrini, A.F.A.; Harden, J.; Georgiou, K.; Hemes, K.S.; Malhotra, A.; Nola, C.J.; Jackson, R.B. Fire effects on the persistence of soil organic matter and long-term carbon storage. Nat. Geosci. 2022, 15, 5–13. [Google Scholar] [CrossRef]
- Agbeshie, A.A.; Abugre, S.; Atta-Darkwa, T.; Awuah, R. A review of the effects of forest fire on soil properties. J. For. Res. 2022, 33, 1419–1441. [Google Scholar] [CrossRef]
- Araya, S.N.; Meding, M.; Berhe, A.A. Thermal alteration of soil physico-chemical properties: A systematic study to infer response of Sierra Nevada climosequence soils to forest fires. Soil 2016, 2, 351–366. [Google Scholar] [CrossRef]
- Fonseca, F.; de Figueiredo, T.; Nogueira, C.; Queirós, A. Effect of prescribed fire on soil properties and soil erosion in a Mediterranean mountain area. Geoderma 2017, 307, 172–180. [Google Scholar] [CrossRef]
- McBratney, A.B.; Mendonça Santos, M.L.; Minasny, B. On digital soil mapping. Geoderma 2003, 117, 3–52. [Google Scholar] [CrossRef]
- Brown, K.S.; Libohova, Z.; Boettinger, J. Digital Soil Mapping. In Soil Survey Manual, USDA Handbook 18; Ditzler, C., Scheffe, K., Monger, H.C., Eds.; Government Printing Office: Washington, DC, USA, 2017; pp. 295–354. [Google Scholar]
- Forkuor, G.; Hounkpatin, O.K.L.; Welp, G.; Thiel, M. High Resolution Mapping of Soil Properties Using Remote Sensing Variables in South-Western Burkina Faso: A Comparison of Machine Learning and Multiple Linear Regression Models. PLoS ONE 2017, 12, e0170478. [Google Scholar] [CrossRef]
- Direção-Geral do Território. Levantamento LiDAR de Portugal Continental: Dados LiDAR de Portugal Continental. Direção-Geral do Território. 2025. Available online: https://dados.gov.pt/pt/datasets/dados-lidar-de-portugal-continental/ (accessed on 15 June 2025).
- Meersmans, J.; De Ridder, F.; Canters, F.; De Baets, S.; Van Molle, M. A multiple regression approach to assess the spatial distribution of soil organic carbon (SOC) at the regional scale (Flanders, Belgium). Geoderma 2008, 143, 1–13. [Google Scholar] [CrossRef]
- Rial, M.; Martínez Cortizas, A.; Taboada, T.; Rodríguez-Lado, L. Soil organic carbon stocks in Santa Cruz Island, Galapagos, under different climate change scenarios. Catena 2017, 156, 74–81. [Google Scholar] [CrossRef]
- Piccini, C.; Marchetti, A.; Francaviglia, R. Estimation of soil organic matter by geostatistical methods: Use of auxiliary information in agricultural and environmental assessment. Ecol. Indic. 2014, 36, 301–314. [Google Scholar] [CrossRef]
- Webster, R.; Oliver, M.A. Geostatistics for Environmental Scientists, 2nd ed.; Wiley: Hoboken, NJ, USA, 2007. [Google Scholar]
- Veronesi, F.; Schillaci, C. Comparison between geostatistical and machine learning models as predictors of topsoil organic carbon with a focus on local uncertainty estimation. Ecol. Indic. 2019, 101, 1032–1044. [Google Scholar] [CrossRef]
- Chen, L.; Ren, C.; Li, L.; Wang, Y.; Zhang, B.; Wang, Z.; Li, L. A Comparative Assessment of Geostatistical, Machine Learning, and Hybrid Approaches for Mapping Topsoil Organic Carbon Content. ISPRS Int. J. Geo-Inf. 2019, 8, 174. [Google Scholar] [CrossRef]
- Eldeiry, A.A.; Garcia, L.A. Comparison of ordinary kriging, regression kriging, and cokriging techniques to estimate soil salinity using LANDSAT images. J. Irrig. Drain. Eng. 2010, 136, 355–364. [Google Scholar] [CrossRef]
- Naimi, S.; Ayoubi, S.; Demattê, J.A.M.; Zeraatpisheh, M.; Amorim, M.T.A.; Mello, F.A.O. Spatial prediction of soil surface properties in an arid region using synthetic soil image and machine learning. Geocarto Int. 2021, 37, 8230–8253. [Google Scholar] [CrossRef]
- Wadoux, A.M.-C.; Minasny, B.; McBratney, A.B. Machine learning for digital soil mapping: Applications, challenges and suggested solutions. Earth-Sci. Rev. 2020, 210, 103359. [Google Scholar] [CrossRef]
- Chen, S.; Richer-de-Forges, A.C.; Mulder, V.L.; Martelet, G.; Loiseau, T.; Lehmann, S.; Arrouays, D. Digital mapping of the soil thickness of loess deposits over a calcareous bedrock in central France. Catena 2021, 198, 105062. [Google Scholar] [CrossRef]
- Hengl, T.; De Jesus, J.M.; Heuvelink, G.B.M.; Gonzalez, M.R.; Kilibarda, M.; Blagotić, A.; Shangguan, W.; Wright, M.N.; Geng, X.; Bauer-Marschallinger, B.; et al. SoilGrids250m: Global Gridded Soil Information Based on Machine Learning. PLoS ONE 2017, 12, e0169748. [Google Scholar] [CrossRef] [PubMed]
- Hengl, T.; Miller, M.A.E.; Križan, J.; Shepherd, K.D.; Sila, A.; Kilibarba, M.; Antonijević, O.; Glušica, L.; Dobermann, A.; Haefele, S.M.; et al. African soil properties and nutrients mapped at 30 m spatial resolution using two-scale ensemble machine learning. Sci. Rep. 2021, 11, 6130. [Google Scholar] [CrossRef] [PubMed]
- Bravo-García, J.; CamarilloNaranjo, J.M.; Blanco-Velázquez, F.J.; Anaya-Romero, M. Soil Organic Carbon Mapping Through Remote Sensing and In Situ Data with Random Forest by Using Google Earth Engine: A Case Study in Southern Africa. Land 2025, 14, 1436. [Google Scholar] [CrossRef]
- Chen, Z.; Shuai, Q.; Shi, Z.; Arrouays, D.; Richer-de-Forges, A.C.; Chen, S. National-scale mapping of soil organic carbon stock in France: New insights and lessons learned by direct and indirect approaches. Soil Environ. Health 2023, 1, 100049. [Google Scholar] [CrossRef]
- Bahri, H.; Raclot, D.; Barbouchi, M.; Lagacherir, P.; Annabi, M. Mapping soil organic carbon stocks in Tunisian topsoils. Geoderma Reg. 2022, 30, e00561. [Google Scholar] [CrossRef]
- Fiantis, D.; Rudiyanto Ginting, F.I.; Agtalarik, A.; Arianto, D.T.; Wichaksono, P.; Irfan, R.; Nelson, M.; Gusnidar, G.; Jeon, S.; Minasny, B. Mapping peat thickness and carbon stock of a degraded peatland in West Sumatra, Indonesia. Soil Use Manag. 2023, 40, e12954. [Google Scholar] [CrossRef]
- Meliho, M.; Boulmane, M.; Khattabi, A.; Dansou, C.E.; Orlando, C.A.; Mhammdi, N.; Noumonvi, K.D. Spatial Prediction of Soil Organic Carbon Stock in the Moroccan High Atlas Using Machine Learning. Remote Sens. 2023, 15, 2494. [Google Scholar] [CrossRef]
- Agaba, S.; Ferré, C.; Musetti, M.; Comolli, R. Mapping Soil Organic Carbon Stock and Uncertainties in an Alpine Valley (Northern Italy) Using Machine Learning Models. Land 2024, 13, 78. [Google Scholar] [CrossRef]
- Oliveira, J.T. Carta Geológica de Portugal, Escala 1_200000. Notícia Explicativa, 8; Serviços Geológicos de Portugal: Lisboa, Portugal, 1982. [Google Scholar]
- IUSS Working Group; W.R.B. World Reference Base for Soil Resources. International Soil Classification System for Naming Soils and Creating Legends for Soil Maps, 4th ed.; International Union of Soil Sciences (IUSS): Vienna, Austria, 2022. [Google Scholar]
- Köppen, W. Das geographische System der Klimate. In Handbuch der Klimatologie, Vol. 1, Part C; Köppen, W., Geiger, R., Eds.; Gebrüder Borntraeger: Berlin, Germany, 1936. [Google Scholar]
- IPMA—Instituto Português do Mar e da Atmosfera. Normais Climatológicas. 2025. Available online: https://www.ipma.pt/pt/oclima/nor-527362mais.clima/ (accessed on 18 June 2025).
- FAO; ITPS. Global Soil Organic Carbon Map V1.5: Technical Report; FAO: Rome, Italy, 2020. [Google Scholar] [CrossRef]
- Walkley, A.; Black, I.A. An examination of the Degtjareff method for determining soil organic matter and a proposed modification of the chromic acid titration method. Soil Sci. 1934, 37, 29–38. [Google Scholar] [CrossRef]
- FAO. Measuring and Modelling Soil Carbon Stocks and Stock Changes in Livestock Production Systems: Guidelines for Assessment (Version 1); Livestock Environmental Assessment and Performance (LEAP) Partnership; FAO: Rome, Italy, 2019; p. 170. [Google Scholar]
- Wiesmeier, M.; Urbanski, L.; Hobley, E.; Lang, B.; von Lützow, M.; Marin-Spiotta, E.; van Wesemael, B.; Rabot, E.; Ließ, M.; Garcia-Franco, N.; et al. Soil organic carbon storage as a key function of soils—A review of drivers and indicators at various scales. Geoderma 2019, 333, 149–162. [Google Scholar] [CrossRef]
- Jobbagy, E.G.; Jackson, R.B. The vertical distribution of soil organic carbon and its relation to climate and vegetation. Ecol. Appl. 2000, 10, 423–436. [Google Scholar] [CrossRef]
- Von Lützow, M.; Kogel-Knabner, I.; Ekschmitt, K.; Matzner, E.; Guggenberger, G.; Marschner, B.; Flessa, H. Stabilization of organic matter in temperate soils: Mechanisms and their relevance under different soil conditions—A review. Eur. J. Soil Sci. 2006, 57, 426–445. [Google Scholar] [CrossRef]
- Matus, F.; Garrido, E.; Hidalgo, C.; Paz Pellat, F.; Etchevers, J.; Merino, C.; Báez-Pérez, A. Carbon saturation in the silt and clay particles in soils with contrasting mineralogy. Terra Latinoam. 2016, 34, 311–319. [Google Scholar]
- Armas-Herrera, C.M.; Martí, C.; Badía, D.; Ortiz-Perpiñá, O.; Girona-García, A.; Porta, J. Immediate effects of prescribed burning in the Central Pyrenees on the amount and stability of topsoil organic matter. Catena 2016, 147, 238–244. [Google Scholar] [CrossRef]
- Meira-Castro, A.; Shakesby, R.A.; Espinha Marques, J.; Doerr, S.H.; Meixedo, J.P.; Teixeira, J.; Chamine, H.I. Effects of prescribed fire on surface soil in a Pinus pinaster plantation, northern Portugal. Environ. Earth Sci. 2015, 73, 3011–3018. [Google Scholar] [CrossRef]
- Vieira, D.C.S.; Borrelli, P.; Jahanianfard, D.; Benali, A.; Scarpa, S.; Panagos, P. Wildfires in Europe: Burned soils require attention. Environ. Res. 2023, 217, 114936. [Google Scholar] [CrossRef]
- Barreiro, A.; Díaz-Raviña, M. Fire impacts on soil microorganisms: Mass, activity, and diversity. Curr. Opin. Environ. Sci. Health 2021, 22, 100264. [Google Scholar] [CrossRef]
- Mataix-Solera, J.; Cerdà, A.; Arcenegui, V.; Jordán, A.; Zavala, L.M. Fire effects on soil aggregation: A review. Earth-Sci. Rev. 2011, 109, 44–60. [Google Scholar] [CrossRef]
- Sungmin, O.; Orth, R.; Weber, U.; Park, S.K. High-resolution European daily soil moisture derived with machine learning (2003–2020). Sci. Data 2022, 9, 701. [Google Scholar] [CrossRef]
- Copernicus Climate Change Service. ERA5-Land Monthly Averaged Data from 1950 to Present; Copernicus Climate Change Service (C3S): Reading, UK; Climate Data Store (CDS): Online, 2022. [Google Scholar] [CrossRef]
- Direção-Geral do Território. Sistema de Monitorização da Ocupação do Solo (SMOS), 2025. Available online: https://smos.dgterritorio.gov.pt/cosvgi/ (accessed on 18 July 2025).
- Bouslihim, Y.; John, K.; Miftah, A.; Azmi, R.; Aboutayeb, R.; Bouasria, A.; Hssaini, L. The effect of covariates on Soil Organic Matter and pH variability: A digital soil mapping approach using random forest model. Ann. GIS 2024, 30, 215–232. [Google Scholar] [CrossRef]
- Mosaid, H.; Barakat, A.; John, K.; Faozi, E.; Bustillo, V.; Garnaoui, M.E.; Heung, B. Improved soil carbon stock spatial prediction in a Mediterranean soil erosion site through robust machine learning techniques. Environ. Monit Assess 2024, 196, 130. [Google Scholar] [CrossRef]
- dos Santos, W.P.; Vaz, C.M.P.; Martin-Neto, L.; Anselmi, A.; Tomasella, J.; de Costa, F.; Albuquerque, J.A.; de Jong, Q.; Galbieri, R.; PerinaF, J. Predicting bulk density in Brazilian soils for carbon stocks calculation: A comparative study of multiple linear regression and Random Forest models using continuous and categorical variables. Discov. Soil 2025, 2, 7. [Google Scholar] [CrossRef]
- Guo, H.; Wang, J.; Zhang, D.; Cui, J.; Yuan, Y.; Bao, H.; Yang, M.; Gou, J.; Chen, F.; Zhou, W.; et al. Mapping surface soil organic carbon density of cultivated land using machine learning in Zhengzhou. Environ. Geochem Health 2025, 47, 1. [Google Scholar] [CrossRef]
- Han, L.; Wang, Z. Estimation of Soil Organic Carbon Content in the Ebinur Lake Wetland, Xinjiang, China, Based on Multisource Remote Sensing Data and Ensemble Learning Algorithms. Sensors 2022, 22, 2685. [Google Scholar] [CrossRef] [PubMed]
- Kutner, M.H.; Nachtsheim, C.J.; Neter, J.; Li, W. Applied Linear Statistical Models, 5th ed.; McGraw-Hill, Irwin: New York, NY, USA, 2005. [Google Scholar]
- O’Brien, R.M. A caution regarding rules of thumb for variance inflation factors. Qual. Quant. 2007, 41, 673–690. [Google Scholar] [CrossRef]
- Dormann, C.F.; Elith, J.; Bacher, S.; Buchmann, C.; Carl, G.; Carré, G.; García Marquéz, J.R.; Gruber, B.; Lafourcade, B.; Leitão, P.J.; et al. Collinearity: A review of methods to deal with it and a simulation study evaluating their performance. Ecography 2013, 36, 27–46. [Google Scholar] [CrossRef]
- Ladd, J.T.C.; Smeaton, C.; Skov, M.W.; Austin, W.E.N. Best practice for upscaling soil organic carbon stocks in salt marshes. Geoderma 2022, 428, 116188. [Google Scholar] [CrossRef]
- Meyer, H.; Reudenbach, C.; Hengl, T.; Katurji, M.; Nauss, T. Improving performance of spatio-temporal machine learning models using forward feature selection and target-oriented validation. Environ. Model. Softw. 2018, 101, 1–9. [Google Scholar] [CrossRef]
- Padarian, J.; Minasny, B.; McBratney, A.B. Machine learning and soil sciences: A review aided by machine learning tools. Soil 2020, 6, 35–52. [Google Scholar] [CrossRef]
- Li, H.; Wang, J.; Zhang, J.; Liu, T.; Acquah, G.E.; Yuan, H. Combining Variable Selection and Multiple Linear Regression for Soil Organic Matter and Total Nitrogen Estimation Using MIR Spectroscopy. Agronomy 2022, 12, 638, In the study they compare MLR and PLSR for soil SOM and TN using MIR data. [Google Scholar]
- Breiman, L. Random Forests. Mach. Learn. 2001, 45, 5–32. [Google Scholar] [CrossRef]
- Richardson, H.J.; Hill, D.J.; Denesiuk, D.R.; Fraser, L.H. A comparison of geographic datasets and field measurements to model soil carbon using random forests and stepwise regressions (British Columbia, Canada). GISci. Remote Sens. 2017, 54, 573–591. [Google Scholar] [CrossRef]
- Vapnik, V.N. The Nature of Statistical Learning Theory; Springer: New York, NY, USA, 1995; pp. 841–842. [Google Scholar]
- Khaledian, Y.; Miller, B.A. Selecting appropriate machine learning methods for digital soil mapping. Appl. Math. Model. 2020, 81, 401–418. [Google Scholar] [CrossRef]
- Pham, T.D.; Yokoya, N.; Nguyen, T.T.T.; Le, N.N.; Ha, N.T.; Xia, J.; Takeuchi, W.; Pham, T.D. Improvement of mangrove soil carbon stocks estimation in North Vietnam using Sentinel-2 data and machine learning approach. GISci. Remote Sens. 2021, 58, 68–87. [Google Scholar] [CrossRef]
- Were, K.; Bui, D.T.; Dick, Ø.B.; Singh, B.R. A comparative assessment of support vector regression, artificial neural networks, and random forests for predicting and mapping soil organic carbon stocks across an Afromontane landscape. Ecol. Indic. 2015, 52, 394–403. [Google Scholar] [CrossRef]
- Chen, T.; Guestrin, C. XGBoost: A scalable tree boosting system. In Proceedings of the 22nd ACM SIGKDD International Conference on Knowledge Discovery and Data Mining (KDD ’16), San Francisco, CA, USA, 13–17 August 2016; ACM: New York, NY, USA, 2016; pp. 785–794. [Google Scholar] [CrossRef]
- Nielsen, D. Tree Boosting with XGBoost—Why Does XGBoost Win “Every” Machine Learning Competition? Master’s Thesis, Norwegian University of Science and Technology (NTNU), Trondheim, Norway, 2016. [Google Scholar]
- Pham, T.D.; Le, N.N.; Ha, N.T.; Nguyen, L.V.; Xia, J.; Yokoya, N.; To, T.T.; Trinh, H.X.; Kieu, L.Q.; Takeuchi, W. Estimating mangrove above-ground biomass using Extreme Gradient Boosting decision trees with fused Sentinel-2 and ALOS-2 PALSAR-2 data in Can Gio Biosphere Reserve, Vietnam. Remote Sens. 2020, 12, 777. [Google Scholar] [CrossRef]
- Fox, J.; Monette, G. Generalized collinearity diagnostics. J. Am. Stat. Assoc. 1992, 87, 178–183. [Google Scholar] [CrossRef]
- Fox, J.; Weisberg, S. An R Companion to Applied Regression, 3rd ed.; Sage: Thousand Oaks, CA, USA, 2019. [Google Scholar]
- Piikki, K.; Wetterlind, J.; Söderström, M.; Stenberg, B. Perspectives on validation in digital soil mapping of continuous attributes—A review. Soil Use Manag. 2020, 37, 7–21. [Google Scholar] [CrossRef]
- Tajik, S.; Ayoubi, S.; Zeraatpisheh, M. Digital mapping of soil organic carbon using ensemble learning model in Mollisols of Hyrcanian forests, northern Iran. Geoderma Reg. 2020, 20, e00256. [Google Scholar] [CrossRef]
- Kolmogorov, A.N. Sulla determinazione empirica di una legge di distribuzione. G. Dell’istituto Ital. Degli Attuari 1933, 4, 83–91. [Google Scholar]
- Smirnov, N. Table for estimating the goodness of fit of empirical distributions. Ann. Math. Stat. 1948, 19, 279–281. [Google Scholar] [CrossRef]
- Nguyen, N.Y.; Tran, N.A.; Nguyen, H.D.; Dang, D.K. Quantile mapping technique for enhancing satellite-derived precipitation data in hydrological modelling: A case study of the Lam River Basin, Vietnam. J. HydroInform. 2024, 26, 2026–2044. [Google Scholar] [CrossRef]
- Lombardo, L.; Saia, S.; Schillaci, C.; Mai, P.M.; Huser, R. Modeling soil organic carbon with Quantile Regression: Dissecting predictors’ effects on carbon stocks. arXiv 2017, arXiv:1708.03859. [Google Scholar] [CrossRef]
- Wadoux, A.M.J.-C.; Román-Dobarco, M.; McBratney, A.B. Perspectives on data-driven soil research. Eur. J. Soil Sci. 2020, 71, 1093–1107. [Google Scholar] [CrossRef]
- Arrouays, D.; Poggio, L.; Salazar Guerrero, O.A.; Mulder, V.L. Digital soil mapping and GlobalSoilMap. Main advances and ways forward. Geoderma Reg. 2020, 21, e00265. [Google Scholar] [CrossRef]
- Peralta, G.; Di Paolo, L.; Luotto, I. Global Soil Organic Carbon Sequestration Potential Map—GSOCseq V.1.1.; FAO: Rome, Italy, 2022. [Google Scholar] [CrossRef]
- Llorens, R.; Sobrino, J.A.; Fernández, C.; Fernández-Alonso, J.M.; Vega, J.A. A methodology to estimate forest fires burned areas and burn severity degrees using Sentinel-2 data. Application to the October 2017 fires in the Iberian Peninsula. Int. J. Appl. Earth Obs. Geoinf. 2021, 95, 102243. [Google Scholar] [CrossRef]
- Miller, J.D.; Thode, A.E. Quantifying burn severity in a heterogeneous landscape with a relative version of the delta Normalized Burn Ratio (dNBR). Remote Sens. Environ. 2007, 109, 66–80. [Google Scholar] [CrossRef]
- Key, C.H. Ecological and Sampling Constraints on Defining Landscape Fire Severity. Fire Ecol. 2006, 2, 34–59. [Google Scholar] [CrossRef]
- Key, C.H.; Benson, N.C. Landscape Assessment (LA). In FIREMON: Fire Effects Monitoring and Inventory System; Gen. Tech. Rep. RMRS-GTR-164-CD; Lutes, D.C., Keane, R.E., Caratti, J.F., Key, C.H., Benson, N.C., Sutherland, S., Gangi, L.J., Eds.; U.S. Department of Agriculture, Forest Service, Rocky Mountain Research Station: Fort Colins, CO, USA, 2006; p. 55. [Google Scholar]
- Vaudour, E.; Gholizadeh, A.; Castaldi, F.; Saberioon, M.; Borůvka, L.; Urbina-Salazar, D.; Fouad, Y.; Arrouays, D.; Richer-de-Forges, A.C.; Biney, J.; et al. Satellite Imagery to Map Topsoil Organic Carbon Content over Cultivated Areas: An Overview. Remote Sens. 2022, 14, 2917. [Google Scholar] [CrossRef]
- Castaldi, F.; Chabrillat, S.; van Wesemael, B. Sampling Strategies for Soil Property Mapping Using Multispectral Sentinel-2 and Hyperspectral EnMAP Satellite Data. Remote Sens. 2019, 11, 309. [Google Scholar] [CrossRef]
- Chagas, C.d.S.; Pinheiro, H.S.K.; de Carvalho Junior, W.; dos Anjos, L.H.C.; Pereira, N.R.; Bhering, S.B. Data mining methods applied to map soil units on tropical hillslopes in Rio de Janeiro, Brazil. Geoderma Reg. 2017, 9, 47–55. [Google Scholar] [CrossRef]
- Qin, Y.; Feng, Q.; Holden, N.M.; Cao, J. Variation in soil organic carbon by slope aspect in the middle of the Qilian Mountains in the upper Heihe River Basin, China. Catena 2016, 147, 308–314. [Google Scholar] [CrossRef]
- Hislop, S.; Jones, S.; Soto-Berelov, M.; Skidmore, A.; Haywood, A.; Nguyen, T.H. Using Landsat Spectral Indices in Time-Series to Assess Wildfire Disturbance and Recovery. Remote Sens. 2018, 10, 460. [Google Scholar] [CrossRef]
- Sothe, C.; Gonsamo, A.; Arabian, J.; Snider, J. Large scale mapping of soil organic carbon concentration with 3D machine learning and satellite observations. Geoderma 2022, 405, 115402. [Google Scholar] [CrossRef]
- Tan, Q.; Han, W.; Li, X.; Wang, G. Clarifying the response of soil organic carbon storage to increasing temperature through minimizing the precipitation effect. Geoderma 2020, 374, 114398. [Google Scholar] [CrossRef]
- Périé, C.; Ouimet, R. Organic carbon, organic matter and bulk density relationships in boreal forest soils. Can. J. Soil Sci. 2008, 88, 315–325. [Google Scholar] [CrossRef]
- Li, X.; McCarty, G.W.; Karlen, D.L.; Cambardella, C.A. Topographic metric predictions of soil redistribution and organic carbon in Iowa cropland fields. Catena 2018, 160, 222–232. [Google Scholar] [CrossRef]
- Ma, Y.; Minasny, B.; Viaud, V.; Walter, C.; Malone, B.; McBratney, A. Modelling the whole profile soil organic carbon dynamics considering soil redistribution under future climate change and landscape projections over the Lower Hunter Valley, Australia. Land 2023, 12, 255. [Google Scholar] [CrossRef]
- Carey, C.J.; Weverka, J.; DiGaudio, R.; Gardali, T.; Porzig, E.L. Exploring variability in rangeland soil organic carbon stocks across California (USA) using a voluntary monitoring network. Geoderma Reg. 2020, 22, e00304. [Google Scholar] [CrossRef]
- Emami, M.; Khormali, F.; Pahlavan-Rad, M.R.; Ebrahimi, S. Predicting the spatial distribution of organic carbon in soil by combining machine learning algorithms and spline depth function in a part of Golestan Province, Iran. Soil Tillage Res. 2025, 251, 106530. [Google Scholar] [CrossRef]
- Cocke, A.E.; Fulé, P.Z.; Crouse, J.E. Comparison of burn severity assessments using Differenced Normalized Burn Ratio and ground data. Int. J. Wildl. Fire 2005, 14, 189. [Google Scholar] [CrossRef]
- Pickell, P.D.; Hermosilla, T.; Frazier, R.J.; Coops, N.C.; Wulder, M.A. Forest recovery trends derived from Landsat time series for North American boreal forests. Int. J. Remote Sens. 2016, 37, 138–149. [Google Scholar] [CrossRef]
- Parker, B.M.; Lewis, T.; Srivastava, S.K. Estimation and evaluation of multi-decadal fire severity patterns using Landsat sensors. Remote Sens. Environ. 2015, 170, 340–349. [Google Scholar] [CrossRef]
- Hengl, T.; Nussbaum, M.; Wright, M.N.; Heuvelink, G.B.M.; Gräler, B. Random forest as a generic framework for predictive modeling of spatial and spatio-temporal variables. PeerJ 2018, 6, e5518. [Google Scholar] [CrossRef]
- Themeßl, M.J.; Gobiet, A.; Heinrich, G. Empirical-statistical downscaling and error correction of daily precipitation from regional climate models. Int. J. Climatol. 2012, 32, 1531–1548. [Google Scholar] [CrossRef]
- Cannon, A.J.; Sobie, S.R.; Murdock, T.Q. Bias correction of GCM precipitation by quantile mapping: How well do methods preserve relative changes in quantiles and extremes? J. Clim. 2015, 28, 6938–6959. [Google Scholar] [CrossRef]
- Benhalima, Y.; Santos, E.; Arán, D. Two Decades of Soil Responses to Fire in a Mediterranean Ecosystem: A Multi-Indicator Analysis. Catena 2026, 262, 109647. [Google Scholar] [CrossRef]
- Li, J.; Tian, L.; Chang, Z.; Li, X.; Li, F.; Wu, J.; Zhou, Q.; Zhang, P.; Pan, B. Effect of Wildfires on Soil Organic Carbon Content and Carbon Flow Pathways: The Evidence of BPCAs Molecular Markers and ^13C Natural Abundance. Catena 2025, 260, 109468. [Google Scholar] [CrossRef]
- Certini, G.; Nocentini, C.; Knicker, H.; Arfaioli, P.; Rumpel, C. Wildfire Effects on Soil Organic Matter Quantity and Quality in Two Fire-Prone Mediterranean Pine Forests. Geoderma 2011, 167–168, 148–155. [Google Scholar] [CrossRef]
- Keeley, J.E. Fire intensity, fire severity and burn severity: A brief review and suggested usage. Int. J. Wildland Fire 2009, 18, 116–126. [Google Scholar] [CrossRef]








| Feature Selection Method | Model |
|---|---|
| VIF | MLR |
| Multicollinearity check |r| < 0.8 | RF; SVM; XGBoost |
| Boruta algorithm | RF; SVM; XGBoost |
| Forward feature selection | RF; SVM; XGBoost |
| Depth (cm) | Model | Dataset | Mean Δ% (Obs–Pred) | SD Δ% (Obs–Pred) | Min–Max (Obs) | Min–Max (Pred) | KS | |
|---|---|---|---|---|---|---|---|---|
| BD (g cm−3) | Obs/Pred | 1.34 | 38.46 | 0.82–1.93 | 1.06–1.82 | 0.26 *** | ||
| 0–5 | RF | Pred (QM) | 0.82–1.92 | 0.09 | ||||
| Total C (g kg−1) | Obs/Pred | 2.97 | 54.94 | 7.38–112.2 | 23.42–65.09 | 0.22 *** | ||
| 0–5 | RF | Pred (QM) | 7.38–112.2 | 0.09 | ||||
| C stock (kg m−2) | Obs/Pred | 3.03 | 46.67 | 0.09–0.84 | 0.15–0.55 | 0.17 * | ||
| 0–5 | SVR | Pred (QM)) | 0.1–0.81 | 0.12 | ||||
| BD (g cm−3) | Obs/Pred | −2.03 | 26.92 | 0.82–1.93 | 1.12–2.02 | 0.17 | ||
| 0–25 | SVR | Pred (QM) | 0.84–1.93 | 0.12 | ||||
| Obs/Pred | 9.04 | 28.74 | 5.28–42.7 | 4.7–35.68 | 0.21 * | |||
| Total C (g kg−1) | 0–25 | SVR | Pred (QM) | 6.22–42.49 | 0.07 | |||
| Obs/Pred | 26.3 | 48.72 | 0.22–12.25 | 0.41–10.54 | 0.39 | |||
| C stock (kg m−2) | 0–25 | SVR | Pred (QM) | 0.22–12.25 | 0.09 | |||
Disclaimer/Publisher’s Note: The statements, opinions and data contained in all publications are solely those of the individual author(s) and contributor(s) and not of MDPI and/or the editor(s). MDPI and/or the editor(s) disclaim responsibility for any injury to people or property resulting from any ideas, methods, instructions or products referred to in the content. |
© 2026 by the authors. Licensee MDPI, Basel, Switzerland. This article is an open access article distributed under the terms and conditions of the Creative Commons Attribution (CC BY) license.
Share and Cite
Benhalima, Y.; Santos, E.S.; Arán, D. Long-Term Assessment of Soil Carbon Dynamics in Post-Fire Conditions: Evidence from Digital Soil Mapping Approaches. Soil Syst. 2026, 10, 17. https://doi.org/10.3390/soilsystems10010017
Benhalima Y, Santos ES, Arán D. Long-Term Assessment of Soil Carbon Dynamics in Post-Fire Conditions: Evidence from Digital Soil Mapping Approaches. Soil Systems. 2026; 10(1):17. https://doi.org/10.3390/soilsystems10010017
Chicago/Turabian StyleBenhalima, Yacine, Erika S. Santos, and Diego Arán. 2026. "Long-Term Assessment of Soil Carbon Dynamics in Post-Fire Conditions: Evidence from Digital Soil Mapping Approaches" Soil Systems 10, no. 1: 17. https://doi.org/10.3390/soilsystems10010017
APA StyleBenhalima, Y., Santos, E. S., & Arán, D. (2026). Long-Term Assessment of Soil Carbon Dynamics in Post-Fire Conditions: Evidence from Digital Soil Mapping Approaches. Soil Systems, 10(1), 17. https://doi.org/10.3390/soilsystems10010017

