Sign in to use this feature.

Years

Between: -

Subjects

remove_circle_outline
remove_circle_outline
remove_circle_outline
remove_circle_outline
remove_circle_outline
remove_circle_outline
remove_circle_outline
remove_circle_outline
remove_circle_outline

Journals

remove_circle_outline
remove_circle_outline
remove_circle_outline
remove_circle_outline
remove_circle_outline
remove_circle_outline
remove_circle_outline
remove_circle_outline
remove_circle_outline
remove_circle_outline
remove_circle_outline

Article Types

Countries / Regions

remove_circle_outline
remove_circle_outline
remove_circle_outline
remove_circle_outline
remove_circle_outline
remove_circle_outline

Search Results (958)

Search Parameters:
Keywords = carbon and nitrogen utilization

Order results
Result details
Results per page
Select all
Export citation of selected articles as:
41 pages, 2207 KB  
Review
Emerging Electrode Materials for Next-Generation Electrochemical Devices: A Comprehensive Review
by Thirukumaran Periyasamy, Shakila Parveen Asrafali and Jaewoong Lee
Micromachines 2026, 17(1), 106; https://doi.org/10.3390/mi17010106 - 13 Jan 2026
Abstract
The field of electrochemical devices, encompassing energy storage, fuel cells, electrolysis, and sensing, is fundamentally reliant on the electrode materials that govern their performance, efficiency, and sustainability. Traditional materials, while foundational, often face limitations such as restricted reaction kinetics, structural deterioration, and dependence [...] Read more.
The field of electrochemical devices, encompassing energy storage, fuel cells, electrolysis, and sensing, is fundamentally reliant on the electrode materials that govern their performance, efficiency, and sustainability. Traditional materials, while foundational, often face limitations such as restricted reaction kinetics, structural deterioration, and dependence on costly or scarce elements, driving the need for continuous innovation. Emerging electrode materials are designed to overcome these challenges by delivering enhanced reaction activity, superior mechanical robustness, accelerated ion diffusion kinetics, and improved economic feasibility. In energy storage, for example, the shift from conventional graphite in lithium-ion batteries has led to the exploration of silicon-based anodes, offering a theoretical capacity more than tenfold higher despite the challenge of massive volume expansion, which is being mitigated through nanostructuring and carbon composites. Simultaneously, the rise of sodium-ion batteries, appealing due to sodium’s abundance, necessitates materials like hard carbon for the anode, as sodium’s larger ionic radius prevents efficient intercalation into graphite. In electrocatalysis, the high cost of platinum in fuel cells is being addressed by developing Platinum-Group-Metal-free (PGM-free) catalysts like metal–nitrogen–carbon (M-N-C) materials for the oxygen reduction reaction (ORR). Similarly, for the oxygen evolution reaction (OER) in water electrolysis, cost-effective alternatives such as nickel–iron hydroxides are replacing iridium and ruthenium oxides in alkaline environments. Furthermore, advancements in materials architecture, such as MXenes—two-dimensional transition metal carbides with metallic conductivity and high volumetric capacitance—and Single-Atom Catalysts (SACs)—which maximize metal utilization—are paving the way for significantly improved supercapacitor and catalytic performance. While significant progress has been made, challenges related to fundamental understanding, long-term stability, and the scalability of lab-based synthesis methods remain paramount for widespread commercial deployment. The future trajectory involves rational design leveraging advanced characterization, computational modeling, and machine learning to achieve holistic, system-level optimization for sustainable, next-generation electrochemical devices. Full article
21 pages, 4088 KB  
Article
Implementing Overfire Air Technology in Coal-Fired Power Plants to Promote Environmentally Friendly Energy Generation
by Saltanat Bolegenova, Aliya Askarova, Aizhan Nugymanova, Valeriy Maximov, Symbat Bolegenova, Nariman Askarov, Shynar Ospanova and Zhanar Shortanbayeva
Energies 2026, 19(2), 347; https://doi.org/10.3390/en19020347 - 10 Jan 2026
Viewed by 85
Abstract
This paper presents a numerical study on the deployment of Overfire Air (OFA) technology in coal-fired thermal power plants in Kazakhstan to reduce harmful emissions. The simulation utilized a digital model of the combustion chamber of the BKZ-75 boiler at Shakhtinsk thermal power [...] Read more.
This paper presents a numerical study on the deployment of Overfire Air (OFA) technology in coal-fired thermal power plants in Kazakhstan to reduce harmful emissions. The simulation utilized a digital model of the combustion chamber of the BKZ-75 boiler at Shakhtinsk thermal power plant, which utilizes high-ash Karaganda coal containing 35.10% ash. During the development of two-stage combustion technology, different methods of supplying extra air via OFA injectors were examined. Various positions within the combustion chamber were evaluated for their placement: at heights of h = 0.165 m; 0.75 m; 1.375 m; 2.25 m; 2.5 m; 8 m; 9.4 m; 10 m; 11 m; and 12 m. The baseline combustion mode (OFA = 0%) and several additional air injector settings were analyzed, including OFA levels of 5%, 10%, 15%, 18%, 20%, 25%, and 30% of the total air volume. Numerical simulations generated temperature distributions along with carbon monoxide (CO) and nitrogen (NO) concentration fields, both inside and outside the combustion chamber outlet. Research indicates that the most effective reduction in pollutant emissions happens when OFA injectors are positioned at 9.4 m and supply supplementary air at an OFA rate of 18%. Under these settings, the carbon monoxide concentration at the combustion chamber outlet decreases by approximately 36%, while nitrogen oxide levels drop by 25%, compared to the baseline condition (OFA = 0%). These insights can be utilized to upgrade boiler units, promoting cleaner fuel combustion in coal-fired thermal power plants. Full article
Show Figures

Figure 1

18 pages, 3990 KB  
Article
Novel Garlic Carbon Dot-Incorporated Starch Whey Protein Emulsion Gel for Apple Spoilage Sensing
by Hebat-Allah S. Tohamy
Gels 2026, 12(1), 47; https://doi.org/10.3390/gels12010047 - 1 Jan 2026
Viewed by 292
Abstract
This study presents the development of a smart packaging material utilizing garlic-derived nitrogen-doped carbon dots (CDs) integrated into a whey protein–starch (WP-S) emulsion. The research aimed to create a real-time, non-invasive biosensor capable of detecting microbial spoilage. The synthesized CDs demonstrated strong pH-sensitive [...] Read more.
This study presents the development of a smart packaging material utilizing garlic-derived nitrogen-doped carbon dots (CDs) integrated into a whey protein–starch (WP-S) emulsion. The research aimed to create a real-time, non-invasive biosensor capable of detecting microbial spoilage. The synthesized CDs demonstrated strong pH-sensitive photoluminescence, exhibiting distinct changes in CIE coordinates and fluorescence intensity in response to varying pH values. The WP-S-CDs emulsion was tested against E. coli, S. aureus, and C. albicans. The results showed that the composite film provided a clear colorimetric shift and fluorescence quenching, both of which are directly correlated with microbial metabolic activity. The physical and electronic properties of the composite were investigated to understand the sensing mechanism. Scanning electron microscopy (SEM) of the dried film revealed that the WP-S-CDs system formed a more porous structure with larger pore sizes (3.63–8.18 µm) compared to the control WP-S film (1.62–6.52 µm), which facilitated the rapid diffusion of microbial metabolites. Additionally, density functional theory (DFT) calculations demonstrated that the incorporation of CDs significantly enhanced the composite’s electronic properties by reducing its band gap and increasing its dipole moment, thereby heightening its reactivity and sensitivity to spoilage byproducts. In a practical application on apples, the WP-S-CDs coating produced a visible red spot, confirming its function as a dynamic sensor. The material also showed a dual-action antimicrobial effect, synergistically inhibiting C. albicans while exhibiting an antagonistic effect against bacteria. These findings validate the potential of the WP-S-CDs emulsion as a powerful, multi-faceted intelligent packaging system for food quality monitoring. Full article
(This article belongs to the Special Issue Hydrogels for Food Safety and Sensing Applications)
Show Figures

Graphical abstract

21 pages, 6062 KB  
Article
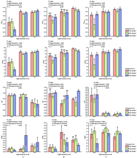
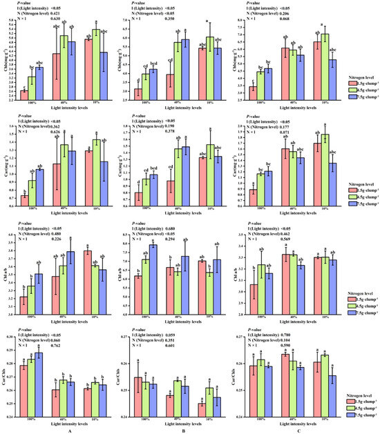
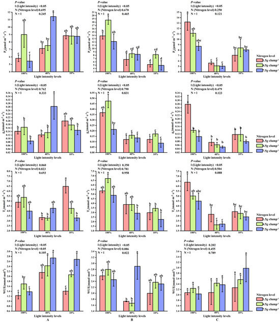
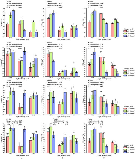
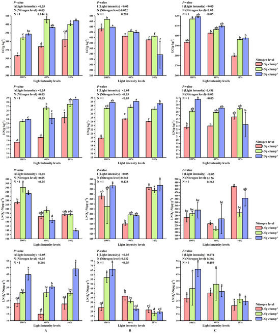
Interactive Effects of Light Intensity and Nitrogen Supply on Shoot Emergence and Associated Photosynthetic Traits in Dendrocalamus latiflorus
by Jundong Rong, Jiaying Liu, Heng Lei, Yuchen Lin, Jiawei Wang, Qiulan Guo, Azra Seerat, Tianyou He, Liguang Chen, Yushan Zheng and Lili Fan
Biology 2026, 15(1), 49; https://doi.org/10.3390/biology15010049 - 27 Dec 2025
Viewed by 254
Abstract
Investigating light–nitrogen interactions during bamboo shoot bud germination of Dendrocalamus latiflorus provides a theoretical basis for regulating shoot emergence through optimized light intensity and nitrogen supply. This study further elucidates how such coupling effects can guide stand density adjustments in bamboo plantations. Additionally, [...] Read more.
Investigating light–nitrogen interactions during bamboo shoot bud germination of Dendrocalamus latiflorus provides a theoretical basis for regulating shoot emergence through optimized light intensity and nitrogen supply. This study further elucidates how such coupling effects can guide stand density adjustments in bamboo plantations. Additionally, it provides actionable insights for improving nutrient management strategies in practical bamboo cultivation systems. This study evaluated the effects of different nitrogen levels (1.5, 4.5, and 7.5 g·clump−1) combined with varying light intensities (10%, 40%, and 100%) on shoot germination and physiological characteristics of bamboo. Two-way ANOVA revealed a significant interaction between light intensity and nitrogen concentration on bamboo shoot bud germination (p < 0.05). Under low nitrogen conditions, bamboo shoot bud germination was highest (3 buds·clump−1) at 10% light intensity. However, under high nitrogen conditions, the highest germination (4.75 buds·clump−1) occurred at 40% light intensity. Moreover, leaf carbon, nitrogen, and starch contents were positively correlated with shoot bud germination. Pearson correlation and path analyses indicated that total chlorophyll, chlorophyll a/b, photochemical quenching coefficient, sucrose, and leaf nitrate were the main photosynthetic traits associated with bamboo shoot bud germination. Among these, the photochemical quenching coefficient was the most critical factor. Based on this, the nitrogen management, nitrogen utilization, and low-light adaptability of D. latiflorus could be optimized. Full article
Show Figures

Figure 1

19 pages, 1390 KB  
Article
Heterotrophic Soil Microbes at Work: Short-Term Responses to Differentiated Fertilization Inputs
by Florin Aonofriesei, Alina Giorgiana Brotea (Andriescu) and Enuță Simion
Biology 2026, 15(1), 41; https://doi.org/10.3390/biology15010041 - 26 Dec 2025
Viewed by 290
Abstract
The interaction between organic and inorganic nutrients, bacterial communities, and soil fertility has been well documented over time. Conventional agricultural systems heavily utilize both inorganic and organic fertilizers, each exerting distinct effects on soil microbial dynamics and plant growth. The objective of our [...] Read more.
The interaction between organic and inorganic nutrients, bacterial communities, and soil fertility has been well documented over time. Conventional agricultural systems heavily utilize both inorganic and organic fertilizers, each exerting distinct effects on soil microbial dynamics and plant growth. The objective of our experiments was to identify the most effective fertilization strategy for improving the biological quality of a microbiologically impoverished and low-productivity soil. To this end, four fertilization strategies were evaluated: (i) organic fertilizers characterized by a high content of organic carbon (Fertil 4-5-7—variant 1); (ii) organic fertilizers with 12% organic nitrogen from proteins (Bio Ostara N—variant 2) (iii) combined inorganic–organic fertilizers (P35 Bio—variant 3) and (iv) mineral (inorganic) fertilizers (BioAktiv—variant V4). This study aimed to assess the short-term effects of fertilizers with varying chemical compositions on the density of cultivable heterotrophic bacteria and their associated dehydrogenase (DH) activity in a petrocalcic chernozem soil containing pedogenic carbonates. Soil sampling was conducted according to a randomized block design, comprising four replicates per treatment (control plus four fertilizer types). The enumeration of cultivable bacteria was performed using Nutrient Agar and A2R Agar media, whereas dehydrogenase activity (DHA) was quantified based on the reduction of 2,3,5-triphenyl-2H-tetrazolium chloride (TTC) to 1,3,5-triphenyl-tetrazolium formazan (TPF) by bacterial dehydrogenase enzymes. Marked differences were observed in both parameters between the plots amended with inorganic fertilizers and those treated with organic fertilizers, as well as among the organic fertilizer treatments of varying composition. The most pronounced increases in both bacterial density and dehydrogenase activity (DHA) were recorded in the plots receiving the fertilizer with a high organic nitrogen content. In this treatment, the maximum bacterial population density reached 6.25 log10 CFU g−1 dry soil after approximately two months (May), followed by a significant decline starting in July. In contrast, DHA exhibited a more rapid response, reaching its peak in April (42.75 µg TPF g−1 soil), indicating an earlier DHA activation of microbial metabolism. This temporal lag between the two parameters suggests that enzymatic activity responded more swiftly to the nutrient inputs than did microbial biomass proliferation. For the other two organic fertilizer variants, bacterial population dynamics were broadly similar, with peak densities recorded in June, ranging from 5.98 log10 CFU g−1 soil (V3) to 6.03 log10 CFU g−1 soil (V1). A comparable trend was observed in DHA: in V3, maximum DHA was attained in June (30 µg TPF g−1 soil), after which it remained relatively stable, whereas in V1, it peaked in June (24.05 µg TPF g−1 soil) and subsequently declined slightly toward the end of the experimental period. Overall, the temporal dynamics of bacterial density and DHA demonstrated a strong dependence on the quality and biodegradability of the organic matter supplied by each fertilizer. Both parameters were consistently lower under inorganic fertilization compared with organic treatments, suggesting that the observed increases in microbial density and activity were primarily mediated by the enhanced availability of organic substrates. The relationship between the density of culturable heterotrophic bacteria and dehydrogenase (DH) activity was strongly positive (r = 0.79), indicating a close functional linkage between bacterial density and oxidative enzyme activity. This connection suggests that the culturable fraction of the heterotrophic microbial community plays a key role in the early stages of organic matter mineralization derived from the applied fertilizers, particularly in the decomposition of easily degradable substrates. Full article
(This article belongs to the Special Issue The Application of Microorganisms and Plants in Soil Improvement)
Show Figures

Figure 1

25 pages, 1399 KB  
Article
Coupled Mechanisms of Shale Oil Occurrence and Spontaneous Imbibition in the Chang 7 Member: Pore Structure Response and Evolution
by Tao Fan, Yufeng Zhou, Dongpo Shi, Yu Zhang, Shuobin Xiong and Hujun Gong
Processes 2026, 14(1), 46; https://doi.org/10.3390/pr14010046 - 22 Dec 2025
Viewed by 257
Abstract
Lacustrine shale oil in the Chang 7 Member of the Ordos Basin is controlled by a multi-scale pore–throat system in which oil occurrence, spontaneous imbibition, and pore-structure evolution are tightly coupled. In this study, nitrogen adsorption and micro-computed tomography (μCT) were employed to [...] Read more.
Lacustrine shale oil in the Chang 7 Member of the Ordos Basin is controlled by a multi-scale pore–throat system in which oil occurrence, spontaneous imbibition, and pore-structure evolution are tightly coupled. In this study, nitrogen adsorption and micro-computed tomography (μCT) were employed to characterize pore-size distribution and connectivity, whereas nuclear magnetic resonance (NMR) T2 relaxation was utilized to classify oil occurrence states, and X-ray diffraction (XRD) and total organic carbon (TOC) analyses were performed to determine mineralogical and organic compositions. Spontaneous imbibition experiments were conducted at 60 °C and subsequently extended to temperature–pressure sequence tests. The Chang 7 shale exhibits a stratified pore system in which micropores, mesopores, and macropores jointly define a three-tier “micropore adsorption–mesopore confinement–macropore mobility” pattern. As pore size and connectivity increase, the equilibrium imbibed mass and initial imbibition rate both rise, while enhanced wettability (contact angle decreasing from 81.2° to 58.7°) further strengthens capillary uptake. Temperature elevation promotes imbibition, whereas increasing confining pressure suppresses it, revealing a “thermal enhancement–pressure suppression” behavior. μCT-based network analysis shows that imbibition activates previously ineffective pore–throat elements, increasing coordination number and connectivity and reducing tortuosity, which collectively represents a capillary-driven structural reconfiguration of the pore network. When connectivity exceeds a threshold of about 0.70, the flow regime shifts from interface-dominated to channel-dominated. Building on these observations, a multi-scalecoupling framework and a three-stage synergistic mechanism of “pore-throat activation–energy conversion–structural reconstruction” are established. These results provide a quantitative basis for predicting imbibition efficiency and optimizing capillary-driven development strategies in deep shale oil reservoirs. Full article
(This article belongs to the Topic Petroleum and Gas Engineering, 2nd edition)
Show Figures

Figure 1

17 pages, 4669 KB  
Article
One-Step Electrodeposition of Hybrid Semiconductive CdSe/Nitrogen-Doped Carbon Dots Thin Films
by Katerina Pappa, Maria Myrto Dardavila, Athanasios Tzanis, Adamantia Zourou, Christina Mitzithra, Stylianos Hamilakis, Zaphirios Loizos, Konstantinos Kordatos and Constantina Kollia
Materials 2025, 18(24), 5691; https://doi.org/10.3390/ma18245691 - 18 Dec 2025
Viewed by 245
Abstract
Novel hybrid semiconducting thin films comprising CdSe with the addition of nitrogen-doped carbon dots (NCDs) were developed onto titanium substrates using a one-step electrocodeposition technique. The deposition took place using an acidic aqueous electrolytic bath containing hydrothermally produced ΝCDs under direct and pulse [...] Read more.
Novel hybrid semiconducting thin films comprising CdSe with the addition of nitrogen-doped carbon dots (NCDs) were developed onto titanium substrates using a one-step electrocodeposition technique. The deposition took place using an acidic aqueous electrolytic bath containing hydrothermally produced ΝCDs under direct and pulse current regime. The specimens were studied using XRD, SEM-EDS, and UV-Vis spectroscopy techniques to determine their microstructural characteristics, surface morphology and composition and the energy gap, respectively. Their photochemical behavior was studied utilizing a photoelectrochemical cell (PEC). Variations in physical properties, along with significantly improved photoelectrochemical responses, were observed for the NCD-infused semiconductive thin films compared to their plain CdSe counterparts. These variations were highly affected by the incorporation rate of the NCDs in each thin film, as well as the imposed electrolysis conditions. Full article
(This article belongs to the Special Issue Design and Electrochemical Synthesis of Multifunctional Surfaces)
Show Figures

Figure 1

17 pages, 4105 KB  
Article
Fungal Community Responses to Natural Humus Amendment Potentially Facilitate the Enhancement of Saline–Alkali Soil Multifunctionality
by Xiaoting Sun, Jing Lei, Hang Chu, Yimin Liu, Fei Liu, Yang Li, Xuejia Zheng, Hui Zhang, Hui Pan, Congzhi Zhang and Qicong Wu
Microorganisms 2025, 13(12), 2877; https://doi.org/10.3390/microorganisms13122877 - 18 Dec 2025
Viewed by 456
Abstract
Natural humus, characterized by its high organic carbon content and high degree of humification, is widely used in soil improvement. However, the impact of natural humus on the multifunctionality of saline–alkali soils and its relationship with soil microbial diversity remain poorly understood. This [...] Read more.
Natural humus, characterized by its high organic carbon content and high degree of humification, is widely used in soil improvement. However, the impact of natural humus on the multifunctionality of saline–alkali soils and its relationship with soil microbial diversity remain poorly understood. This study conducted experiments with varying concentrations of natural humus to explore changes in soil multifunctionality and its driving factors. The results indicate that the addition of natural humus increases soil organic matter (by 23.5–45.73%) and alkali-hydrolyzable nitrogen (by 40–81.57%), while reducing electrical conductivity (by 1.8–35.9%). These changes enhance soil microbial diversity and improve soil multifunctionality. As natural humus is a high C/N material, nitrogen limitation in soil microorganisms may occur with increasing humus addition. However, the increase in K-strategy fungi (which are more efficient in resource utilization) helps maintain a relatively high level of soil multifunctionality. At the maximum application rate (30 t/ha), soil multifunctionality reached its peak value of 0.41. These findings highlight the significant role of natural humus in improving saline–alkali soils and enhancing soil functions, particularly through its effects on microbial communities, especially K-strategy fungi. Full article
(This article belongs to the Special Issue Microbial Mechanisms for Soil Improvement and Plant Growth)
Show Figures

Figure 1

23 pages, 6236 KB  
Article
The Influence of Nitrogen and Phosphorus on Adsorption, Dissolution and Carbon Flux of Limestone Under Different Soil Layer Depths
by Liang Li, Haiping He, Jiacai Li, Wenhai Wang and Zhiwei Jiang
Sustainability 2025, 17(24), 11326; https://doi.org/10.3390/su172411326 - 17 Dec 2025
Viewed by 212
Abstract
The overuse of chemical fertilizers can result in elevated concentrations of nitrogen (N) and phosphorus (P) in soil, potentially impacting rock weathering processes and carbon flux in karst regions. This study analyzed the impacts of chicken dung fertilizer and compound fertilizer on the [...] Read more.
The overuse of chemical fertilizers can result in elevated concentrations of nitrogen (N) and phosphorus (P) in soil, potentially impacting rock weathering processes and carbon flux in karst regions. This study analyzed the impacts of chicken dung fertilizer and compound fertilizer on the weathering of carbonate rocks within the water-soil-rock system, yielding the following results: (1) The peak concentrations of various ions in the compound fertilizer system (Ca2+: 36.8 mg/L, Mg2+: 4.3 mg/L, N: 284.2 mg/L, P: 920.6 mg/L, HCO3: 16,170.3 mg/L) were generally superior to those in the chicken manure fertilizer system (15.4 mg/L, 1.9 mg/L, 306.9 mg/L, 27.9 mg/L, and 4576.5 mg/L, respectively), with a difference of approximately fourfold between the two systems; (2) Nitric acid generated by nitrification in fertilizers and phosphoric acid in compound fertilizers modify the chemical equilibrium of rock weathering, enhance dissolution, and influence the dynamics of HCO3; (3) Nitrogen and phosphorus in compound fertilizers are predominantly eliminated through ion exchange and adsorption. Calcium-phosphate precipitates are generated on the limestone surface within the 20 cm soil column, exhibiting a greater degree of weathering compared to the chicken manure fertilizer treatment; (4) analyses utilizing XRD, FT-IR, XPS, SEM, and additional approaches verified that substantial weathering and surface precipitation transpired on limestone throughout the 20 cm compound fertilizer column. Full article
Show Figures

Figure 1

21 pages, 3717 KB  
Article
Dietary Analysis of Commercial Fish (Families Mullidae and Sparidae) from Bay of Cádiz, Southern Spain: An Integrative Approach
by José Manuel Guerra-García, Sandra Calero-Cano, Pablo Arechavala-Lopez, Juan Lucas Cervera-Currado and Iñigo Donázar-Aramendía
Fishes 2025, 10(12), 650; https://doi.org/10.3390/fishes10120650 - 16 Dec 2025
Viewed by 272
Abstract
A combination of stomach contents analysis (SCA) and nitrogen (δ15N) and carbon (δ13C) stable isotope analysis (SIA) was used to assess the trophic structure of nine fish species (two belonging to the family Mullidae, Mullus barbatus and Mullus surmuletus [...] Read more.
A combination of stomach contents analysis (SCA) and nitrogen (δ15N) and carbon (δ13C) stable isotope analysis (SIA) was used to assess the trophic structure of nine fish species (two belonging to the family Mullidae, Mullus barbatus and Mullus surmuletus, and seven belonging to the family Sparidae, Diplodus sargus, Diplodus vulgaris, Pagellus acarne, Pagellus erythrinus, Pagrus auriga, Pagrus pagrus, and Sparus aurata) with high commercial value in the Bay of Cádiz, Southern Spain. A total of 91 different food items were identified in the stomachs, mainly belonging to four animal phyla (Arthropoda, Mollusca, Annelida, and Echinodermata). Crustaceans (primarily decapods and amphipods) were the most common prey consumed by the species of Mullus, Pagrus, and Pagellus, whereas macroalgae, polychaetes, and molluscs were dominant in D. sargus, D. vulgaris, and S. aurata stomachs, respectively. Diet composition and isotopic signature differed among fish species, indicating food partitioning among coexisting species. Some discrepancies appeared when comparing fish trophic level using SCA versus SIA, since SCA provides information on recently consumed items, while SIA generates data about source utilization over a period of several months. Integration of both approaches offers a more comprehensive understanding of feeding strategies. Dietary studies shed light on the trophic ecology of commercial fish species, being the baseline for future ecological modelling and long-term management of marine resources. Full article
Show Figures

Figure 1

20 pages, 7063 KB  
Article
Water and Nitrogen Use Strategies and Their Influencing Mechanisms in Typical Desert Shrubs of the Qaidam Basin, Qinghai–Tibet Plateau, China
by Yunhao Zhao and Hui Chen
Plants 2025, 14(24), 3828; https://doi.org/10.3390/plants14243828 - 16 Dec 2025
Viewed by 306
Abstract
Desert plants develop unique functional traits and resource utilization strategies under environmental stress, among which, water and nitrogen utilization strategies are the key resource utilization strategies for desert plants. Research on plant water and nitrogen utilization and leaf functional traits has rarely involved [...] Read more.
Desert plants develop unique functional traits and resource utilization strategies under environmental stress, among which, water and nitrogen utilization strategies are the key resource utilization strategies for desert plants. Research on plant water and nitrogen utilization and leaf functional traits has rarely involved high-altitude desert shrubs. The synergistic or trade-off relationship between water and nitrogen utilization in desert shrubs remains unclear, and the variation patterns of leaf functional trait combinations related to water and nitrogen utilization along environmental gradients urgently need to be studied. This study takes the typical desert shrubs in the eastern part of the Qaidam Basin on the Qinghai–Tibet Plateau in China as the research object, selects the stable carbon and nitrogen isotopes (δ13C, δ15N) of plant leaves to characterize the water use efficiency (WUE) and nitrogen use strategy (NUE) of plants, explores the main leaf functional traits related to water and nitrogen utilization, and analyzes the relationship between leaf functional traits and environmental factors. The results show that the resource utilization traits of desert shrubs can be divided into two groups: water and carbon utilization centered on δ13C and nutrient utilization centered on δ15N. There are synergistic or trade-off relationships among plant functional traits. There is a trade-off relationship between water and nitrogen utilization in plants. The leaf functional traits related to water and nitrogen utilization in plants form a “water and nitrogen utilization leaf economic spectrum” along the gradients of temperature, drought, salinity, and nutrients. In conclusion, desert plants adapt to the environment of high cold, drought, high salt content, and limited nutrients by adjusting the relevant leaf functional traits. This study combines the stable carbon and nitrogen isotopes of plant leaves with the combined characteristics of leaf functional traits under different environmental gradients, providing a new perspective for understanding the water and nitrogen utilization strategies of high-altitude desert shrubs and their adaptation mechanisms to arid environments. Full article
Show Figures

Figure 1

30 pages, 3234 KB  
Article
Isolation and Genome Analysis of Serratia ureilytica T6, a Heavy Metal(loid)-Resistant and Plant Growth-Promoting Bacterium, from Rice Soil
by Syed Muhammad Azam, Ziting Lin, Yanqing Bai, Yijia Fu, Hend Alwathnani, Guo-Hong Liu and Christopher Rensing
Microorganisms 2025, 13(12), 2857; https://doi.org/10.3390/microorganisms13122857 - 16 Dec 2025
Viewed by 298
Abstract
Lead and zinc pollution is a prevalent issue in agricultural soils surrounding lead and zinc mines, posing a serious risk to crop growth and soil health. Heavy metal-resistant, plant growth-promoting bacteria (PGPB) capable of supporting plant development under high metal exposure have significant [...] Read more.
Lead and zinc pollution is a prevalent issue in agricultural soils surrounding lead and zinc mines, posing a serious risk to crop growth and soil health. Heavy metal-resistant, plant growth-promoting bacteria (PGPB) capable of supporting plant development under high metal exposure have significant potential for mitigating these deleterious effects. Here we isolated and identified the Pb- and Zn-resistant and plant growth-promoting bacterial strain Serratia ureilytica T6 based on 16S rRNA and average nucleotide identity (ANI) analysis. Furthermore, 14 strains (T1–T14) from a rice paddy soil irrigated by Pb-Zn mine effluent were isolated and identified, and their phytopromoting characteristics were determined. Genome analysis of S. ureilytica T6 showed a genome size of 5,102,941 bp, with G + C content of 59.74%. A total of 4822 genes were annotated by RAST, among which 15 genes were putatively associated with Pb-Zn resistance. The genome of S. ureilytica T6 was found to possess multiple genes associated with probiotic properties by a comparative analysis of KEGG, GO, and COG databases. Several taxonomic identifications of S. ureilytica T6 revealed that strain T6 is Gram-negative, facultative anaerobic and motile. The pH growth range of S. ureilytica T6 was between 4.00 and 9.50; temperature growth range was 4–37 °C; NaCl tolerance was 0–9%. S. ureilytica T6 displayed a high tolerance to a variety of heavy metals, with minimum inhibitory concentrations of 1.5 and 9 mmol·L−1 for Pb and Zn. S. ureilytica T6 can utilize a variety of carbon sources and nitrogen sources. T6 has the ability to produce indole-3-acetic acid (IAA), siderophore, and phosphorus and potassium solubilization, and it was initially judged that strain T6 has the potential for plant growth-promoting ability. Different plant growth-promoting effects of T6 inoculations were observed in improving rice biomass, plant height, etc. We observed that with increasing Pb and Zn stress, SOD activity first increased and then decreased, while POD and CAT activities gradually decreased. The addition of S. ureilytica T6 significantly enhanced the activities of SOD, POD, and CAT in rice seedlings under low to moderate Pb and Zn stress but had no significant effect under high concentrations (150 mg·L−1) of Pb or Zn. In addition, S. ureilytica T6 has the potential to be used as a phytoremediation tool. Full article
Show Figures

Figure 1

19 pages, 3603 KB  
Article
Effect of Heat Stress on the Biosynthesis of Exopolysaccharides from Rhodotorula glutinis YM25079 and Its Underlying Mechanisms
by Rong Huang, Minrao Lu, Caina Guo, Taishen Wang, Jingdie Fan, Chengmei Zhang, Jingwen Qiu, Yuan Chen and Qi Zhang
J. Fungi 2025, 11(12), 883; https://doi.org/10.3390/jof11120883 - 14 Dec 2025
Viewed by 465
Abstract
In this study, the effect of heat stress on the synthesis and the structural and physicochemical properties of exopolysaccharides (EPSs) from Rhodotorula glutinis YM25079 as well as its underlying mechanisms were explored. The results showed that the monosaccharide compositions of the purified YM25079 [...] Read more.
In this study, the effect of heat stress on the synthesis and the structural and physicochemical properties of exopolysaccharides (EPSs) from Rhodotorula glutinis YM25079 as well as its underlying mechanisms were explored. The results showed that the monosaccharide compositions of the purified YM25079 EPSs produced under normal culture conditions and heat stress (named EPS Y-1 and EPS Y-2, respectively) were consistent. Analyses of ion-exchanged chromatography, Fourier transform infrared spectroscopy and nuclear magnetic resonance spectroscopy suggested that these two EPSs should be dextran, consisting mainly of α-(1→6)-linked glucopyranose units with α-(1→3) branches. Scanning Electron Microscope observed obvious differences in their surface morphologies, with EPS Y-1 showing a smooth, glossy lamellar structure and EPS Y-2 showing an irregular porous structure. According to Atomic Force Microscopy analysis, they formed aggregations with different cohesive structures. EPS Y-2 also had higher molecular weight and thermal stability than EPS Y-1, while EPS Y-1 had better α-amylase inhibitory activity. In addition, transcriptomic analysis unveiled changes in the metabolic pathways related to the uptake and utilization of carbon, nitrogen and phosphor sources, the biosynthesis of steroid and the oxidoreductase activity, as well as the regulatory genes implicated in the EPS biosynthesis under heat stress. Full article
Show Figures

Figure 1

24 pages, 2154 KB  
Article
Inhibition of Escherichia coli O157:H7 Growth Through Nutrient Competition by Non-O157 E. coli Isolated from Cattle
by Joel J. Maki, Kathy T. Mou, Julian Trachsel and Crystal L. Loving
Microorganisms 2025, 13(12), 2811; https://doi.org/10.3390/microorganisms13122811 - 10 Dec 2025
Viewed by 460
Abstract
Escherichia coli O157:H7 is a major food safety concern through contamination of beef and produce. Non-antibiotic interventions to minimize O157:H7 in food animals and products are highly desired and one strategy to improve food safety is to reduce O157:H7 in cattle, a main [...] Read more.
Escherichia coli O157:H7 is a major food safety concern through contamination of beef and produce. Non-antibiotic interventions to minimize O157:H7 in food animals and products are highly desired and one strategy to improve food safety is to reduce O157:H7 in cattle, a main asymptomatic reservoir, through probiotic administration. Non-pathogenic E. coli populating the intestine represent a compelling probiotic source, as these strains are already host-adapted. The challenge is to identify non-pathogenic strains capable of competing with O157:H7 for nutrients or those producing compounds to inhibit O157:H7 growth. Here, E. coli isolated from cattle fecal and recto-anal junction swab samples were sequenced and screened for the ability to compete with O157:H7. Fourteen genetically distinct, non-Shiga toxin-encoding, non-O157:H7 E. coli strains were recovered, and individual isolates representative of each strain were assessed. Nearly all strains possessed complete genetic pathways for the utilization of carbon and nitrogen sources required for O157:H7 colonization of the cattle intestine. Growth curve assays were conducted, and growth metrics were compared between bovine non-O157:H7 E. coli isolates and two O157:H7 isolates. While no strain outperformed both O157:H7 strains for all nutrients tested, at least one strain outperformed O157:H7 for each of the carbon sources tested. No strain grew significantly better than O157:H7 in media supplemented with ethanolamine. A “highly competitive” consortium of 4 non-O157:H7 isolates that grew significantly better than O157:H7 reduced O157:H7 counts CFU/mL by 1.53 log10 and >0.72 log10 under anaerobic and aerobic conditions, respectively, in competition assays. A consortium of “low-competitive” strains reduced O157:H7 counts by >0.47 log10 and >0.51 log10 under anaerobic and aerobic conditions. These results suggest that cattle harbor non-O157:H7 E. coli strains capable of limiting O157:H7 growth in vitro. Surveys of commensal non-O157:H7 isolates from cattle using growth-based phenotypic assays may be useful in identifying E. coli strains capable of outcompeting O157:H7 in the bovine intestine for further in vivo testing as probiotics. Full article
(This article belongs to the Section Molecular Microbiology and Immunology)
Show Figures

Figure 1

28 pages, 10187 KB  
Article
Shifts in Dissolved Organic Matter and Microbial Communities Under Continuous Cropping of Aralia continentalis Kitag.: A Comparative Study of 2-, 6-, and 12-Year Durations
by Qian Liu, Xingchi Guo, Ying Qu, Yuhe Xing, Junyan Zheng, Zhiyu Dong, Wei Yu and Guoyu Zhang
Biology 2025, 14(12), 1750; https://doi.org/10.3390/biology14121750 - 6 Dec 2025
Viewed by 415
Abstract
Continuous cropping affects soil health, microbial diversity, and organic matter dynamics, but its long-term impacts on soils under Aralia continentalis Kitag. (a medicinally important Northeast China-native plant) remain unclear. This study evaluated effects of 2-, 6-, and 12-year continuous cropping on soil microbial [...] Read more.
Continuous cropping affects soil health, microbial diversity, and organic matter dynamics, but its long-term impacts on soils under Aralia continentalis Kitag. (a medicinally important Northeast China-native plant) remain unclear. This study evaluated effects of 2-, 6-, and 12-year continuous cropping on soil microbial communities, physicochemical properties, and dissolved organic matter (DOM) of bulk soils, and elucidated links between cropping duration and soil health indicators. Results showed that key physicochemical properties (total organic carbon, TOC) and available nutrients (available nitrogen, AN; available phosphorus, AP; available potassium, AK) declined with cropping duration: AN, AP, and AK decreased from 75.24 ± 1.2, 16.39 ± 0.05, and 104.8 ± 0.27 mg·kg−1 (2 years) to 63.47 ± 1.53, 13.38 ± 0.16, and 88.71 ± 0.94 mg·kg−1 (12 years), respectively. Microbial diversity increased initially but stabilized after 6 years, with communities shifting from copiotrophic taxa (e.g., Proteobacteria) to oligotrophic taxa (e.g., Acidobacteria). Partial Least Squares Path Modeling (PLS-PM) revealed strong positive correlations between dissolved/organic carbon (DOC/TOC) and microbial diversity, highlighting organic matter’s role in sustaining microbial richness. UV-visible and 3D fluorescence spectroscopy indices correlated significantly with microbial diversity, confirming their utility for monitoring DOM quality and microbial dynamics. This study clarifies dynamic interactions between soil properties, microbial diversity, and organic matter under continuous cropping, providing insights for sustainable cultivation of A. continentalis. Full article
Show Figures

Figure 1

Back to TopTop