Sign in to use this feature.

Years

Between: -

Subjects

remove_circle_outline
remove_circle_outline
remove_circle_outline
remove_circle_outline
remove_circle_outline
remove_circle_outline
remove_circle_outline
remove_circle_outline
remove_circle_outline

Journals

Article Types

Countries / Regions

remove_circle_outline
remove_circle_outline
remove_circle_outline
remove_circle_outline
remove_circle_outline

Search Results (546)

Search Parameters:
Keywords = canopy layer

Order results
Result details
Results per page
Select all
Export citation of selected articles as:
16 pages, 1227 KB  
Article
Effects of Co-Application of Superabsorbent Polymer and Phosphorus Fertilizer on Water and Phosphorus Use Efficiency in Drip-Irrigated Maize
by Zaixin Li, Weidong Ma, Xinjiang Zhang, Guoyong Chen, Xuezhi Zhang, Guojiang Yang and Changzhou Wei
Agronomy 2026, 16(4), 488; https://doi.org/10.3390/agronomy16040488 - 22 Feb 2026
Viewed by 181
Abstract
In drip-irrigated maize of arid Xinjiang, seedling hardening (withholding irrigation) is used to induce deep rooting, but the conventional practice of banding phosphorus (P) fertilizer without basal application creates a spatial mismatch—roots are forced downward while P remains trapped in drying topsoil. We [...] Read more.
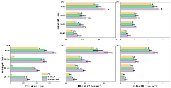
In drip-irrigated maize of arid Xinjiang, seedling hardening (withholding irrigation) is used to induce deep rooting, but the conventional practice of banding phosphorus (P) fertilizer without basal application creates a spatial mismatch—roots are forced downward while P remains trapped in drying topsoil. We hypothesized that co-applying superabsorbent polymer (SAP) with banded P fertilizer can form a localized, persistently hydrated P-enriched patch that synchronizes root–resource distribution. A two-year field experiment (2024–2025) was conducted with three treatments: no P (P0), banded monoammonium phosphate (B-MAP, 120 kg P2O5 ha−1), and B-MAP + SAP (15 kg ha−1). Soil properties, root growth, canopy physiology, dry matter accumulation, nutrient uptake, and grain yield were measured. Results: At the V4 stage, B-MAP + SAP increased available P and soil water content in the 0–10 cm layer by 9.4% and 16.1%, respectively, relative to B-MAP. This patch triggered vigorous root proliferation: topsoil root length at V4 rose by 23.9%, and root length density in the 30–40 cm subsoil at V9 and R1 increased by 59.0% and 36.5%. Consequently, B-MAP + SAP sustained the highest leaf area index, net photosynthetic rate, and biomass accumulation. Two-year average grain yield reached 18.2 t ha−1, 9.7% and 20.7% higher than B-MAP and P0. Crucially, P use efficiency (PUE) and water productivity (WP) under B-MAP + SAP improved by 76.2% and 9.8% over B-MAP. Co-applying SAP with banded P fertilizer resolves the spatial mismatch in hardening systems, optimizes root architecture, and synergistically boosts yield, PUE, and WP. This one-time amendment offers a simple, scalable strategy for efficient P management in arid drip-irrigated maize. Full article
(This article belongs to the Section Water Use and Irrigation)
Show Figures

Figure 1

22 pages, 3335 KB  
Article
Spatial Distribution Patterns of Bed Shear Stress in Zones with Alternating Tall and Short Vegetation
by Yameng Liu, Xiaoguang Liu, Jiasheng Wang and Lingqi Yi
Sustainability 2026, 18(4), 1972; https://doi.org/10.3390/su18041972 - 14 Feb 2026
Viewed by 222
Abstract
Natural floodplain vegetation exhibits heterogeneous patterns in height and density that substantially affect flow and bed stability. Most previous studies have examined flows through uniformly distributed vegetation, resulting in a limited understanding of mixed-height canopies. Consequently, existing methods for estimating bed shear stress [...] Read more.
Natural floodplain vegetation exhibits heterogeneous patterns in height and density that substantially affect flow and bed stability. Most previous studies have examined flows through uniformly distributed vegetation, resulting in a limited understanding of mixed-height canopies. Consequently, existing methods for estimating bed shear stress remain inadequately validated under such heterogeneous conditions. To bridge this gap, we conducted flume experiments to investigate how the density and height configuration of rigid vegetation affect the spatial distribution of bed shear stress, comparing three commonly used approaches: the Law of the Wall, Reynolds stress, and turbulent kinetic energy (TKE). Results showed strong agreement between TKE and Reynolds stress methods; the Law of the Wall produced larger errors (15–25%) due to log-layer disruption in vegetated zones, limiting its use. Vegetation density dominated bed shear stress: high-density areas reduced mean stress by 17–36%, promoting deposition, whereas tall–short vegetation interfaces increased local stress by 15–26%, elevating scour risk. Flow velocity raised overall stress by 15–25%, while water depth had minimal effect. Sparse vegetation led to patchy stress distributions and higher scour potential, while dense vegetation favored uniform stress and sediment accumulation. These findings clarify bed shear stress mechanisms in heterogeneous vegetation and provide a basis for floodplain restoration and stability management. Full article
Show Figures

Figure 1

13 pages, 2694 KB  
Article
Optimal Community Composition of Pinus yunnanensis in Different Vegetation Types
by Jiamin Wan, Wenna Li, Mingmiao Chen, Peiyao Liu and Caicai Zhang
Diversity 2026, 18(2), 107; https://doi.org/10.3390/d18020107 - 8 Feb 2026
Viewed by 233
Abstract
Pinus yunnanensis, an endemic tree species in southwest China, is regarded as a suitable candidate for afforestation. However, long-term disturbances have led to forest degradation and structural simplification. This study evaluated taxonomic and phylogenetic alpha (α) and beta (β) diversity across three [...] Read more.
Pinus yunnanensis, an endemic tree species in southwest China, is regarded as a suitable candidate for afforestation. However, long-term disturbances have led to forest degradation and structural simplification. This study evaluated taxonomic and phylogenetic alpha (α) and beta (β) diversity across three P. yunnanensis vegetation types: evergreen coniferous forests (ECFs), evergreen coniferous and broad-leaved mixed forests (ECMFs), and deciduous and coniferous broad-leaved mixed forests (DCMFs), aiming to identify their optimal ecological configurations. A total of 120 vascular plant species from 33 families and 55 genera were recorded, with Ericaceae, Fagaceae, Pinaceae, and Adoxaceae as the co-dominant families. In the tree layer, species richness was significantly higher in DCMFs than in ECFs (p < 0.05), likely due to improved winter light availability resulting from seasonal canopy shedding. Both ECMFs and DCMFs supported significantly higher phylogenetic α diversity than ECFs, indicating a broader evolutionary history and potentially greater functional resilience. In contrast, taxonomic β diversity was lower in ECFs, suggesting a more homogeneous species composition dominated by closely related shrubs. Among the vegetation types, the P. yunnanensisPinus armandii community in ECFs showed the highest species richness and a stable microenvironment, making it particularly suitable for ecological restoration at high altitudes. Within ECMFs, the P. yunnanensisLyonia ovalifolia community appeared to be the most optimal, potentially reducing competition and promoting species coexistence through resource complementarity. In DCMFs, the P. yunnanensisAlnus nepalensis community, with its strong nitrogen-fixing capacity, emerged as the preferred configuration for restoring degraded forests at lower elevations. These findings suggest that future vegetation restoration projects centered on P. yunnanensis should adopt tailored combinations of vegetation types based on specific environmental conditions. Full article
(This article belongs to the Special Issue Forest Management and Biodiversity Conservation—2nd Edition)
Show Figures

Graphical abstract

17 pages, 1993 KB  
Article
Spatial Vertical Distribution of the Leaf Nitrogen Concentration in Young Cephalotaxus hainanensis
by Mengmeng Shi, Danni He, Ying Yuan, Zhulin Chen, Shudan Chen, Xingjing Chen, Tian Wang and Xuefeng Wang
Forests 2026, 17(2), 192; https://doi.org/10.3390/f17020192 - 1 Feb 2026
Viewed by 229
Abstract
Cephalotaxus hainanensis, a valuable medicinal and endangered conifer, requires scientific conservation and precision management to ensure the sustainable utilization of its genetic and ecological resources. Nitrogen (N) is a key nutrient that regulates plant growth and metabolism; rapid and accurate nitrogen diagnosis [...] Read more.
Cephalotaxus hainanensis, a valuable medicinal and endangered conifer, requires scientific conservation and precision management to ensure the sustainable utilization of its genetic and ecological resources. Nitrogen (N) is a key nutrient that regulates plant growth and metabolism; rapid and accurate nitrogen diagnosis is vital for optimizing fertilization, reducing nutrient losses, and promoting healthy plant development. This study employed a combined approach integrating stepwise regression, correlation analysis, and Least Absolute Shrinkage and Selection Operator (LASSO) regression to identify leaf color features strongly correlated with leaf nitrogen content (LNC). A support vector regression (SVR) model, suitable for small-sample datasets, was then employed to accurately estimate LNC across canopy layers. Nine color variables were found to be highly associated with LNC, among which the Green Minus Blue index (GMB) consistently appeared across all correlation methods, demonstrating strong robustness and generality. Color features effectively reflected LNC variations among nitrogen treatments—especially between N1 and N4—and across canopy layers, with the most pronounced contrasts observed between upper and lower leaves. The Spearman-based SVR model revealed that the middle canopy maintained the highest and most stable LNC. However, the lower leaves were most sensitive to nitrogen deficiency, while the upper leaves were more sensitive to nitrogen excess. Comprehensive analysis identified N2 as the optimal nitrogen treatment, representing a balanced nutrient state. Overall, this study confirms the reliability of color features for LNC estimation and highlights the importance of vertical canopy LNC distribution in nitrogen diagnostics, providing a theoretical and methodological foundation for color-based nitrogen diagnosis and precision nutrient management in evergreen conifers. Full article
(This article belongs to the Section Forest Ecology and Management)
Show Figures

Figure 1

12 pages, 1477 KB  
Article
Microhabitat Use of Temminck’s Tragopan (Tragopan temminckii) During the Breeding Season in Laojunshan National Nature Reserve, Western China
by Li Zhao, Ping Ye, Benping Chen, Lingsen Cao, Yingjian Tian, Yiming Wu, Yiqiang Fu and Wenbo Liao
Biology 2026, 15(3), 221; https://doi.org/10.3390/biology15030221 - 25 Jan 2026
Viewed by 366
Abstract
Habitat utilization is a critical determinant of animal survival and reproductive success. Clarifying species-specific habitat preferences provides essential insights into ecological requirements and forms the basis for sound conservation planning. The Temminck’s Tragopan (Tragopan temminckii), a medium-sized, sexually dimorphic pheasant endemic [...] Read more.
Habitat utilization is a critical determinant of animal survival and reproductive success. Clarifying species-specific habitat preferences provides essential insights into ecological requirements and forms the basis for sound conservation planning. The Temminck’s Tragopan (Tragopan temminckii), a medium-sized, sexually dimorphic pheasant endemic to montane forests of central and southern China, is classified as a nationally protected Class II species. Nevertheless, its fine-scale habitat selection during the breeding season remains inadequately documented. In 2024, we conducted a field investigation in the Laojunshan National Nature Reserve, Sichuan Province, to examine microhabitat use during this critical period. Our analysis revealed a significant preference for sites characterized by greater tree and bamboo height, higher canopy and bamboo cover, increased litter coverage, and taller shrub layers. In contrast, the species consistently avoided locations dominated by dense, tall herbaceous vegetation. Principal Component Analysis identified six principal components, collectively explaining 71.78% of the total environmental variance. The first component was primarily associated with bamboo structural attributes, the second with tree-layer structure, and the third with proximity to forest edges and streams. These findings indicate that effective conservation of this pheasant requires targeted forest management practices that preserve this specific suite of habitat characteristics, which are essential for ensuring reproductive success and long-term population viability. Full article
(This article belongs to the Special Issue Bird Biology and Conservation)
Show Figures

Figure 1

26 pages, 7823 KB  
Article
Impacts of Tree Morphology on Shortwave Radiation Disturbance of South-Facing Façades in East–West Street Canyons
by Yihao Zhang, Qianli Ma, Feng Qi and Xuwen Zhou
Buildings 2026, 16(2), 447; https://doi.org/10.3390/buildings16020447 - 21 Jan 2026
Viewed by 256
Abstract
Trees are known to modify radiation on building façades via shading effects. However, the combined influence of tree morphological traits and street canyon geometry on façade solar exposure remains inadequately quantified. This paper will fill this gap by using an integrated field measurement, [...] Read more.
Trees are known to modify radiation on building façades via shading effects. However, the combined influence of tree morphological traits and street canyon geometry on façade solar exposure remains inadequately quantified. This paper will fill this gap by using an integrated field measurement, ENVI-met simulations and theoretical analysis of an east–west street canyon in Hangzhou, China. We present the stratified cumulative shortwave radiation disturbance (SRD) and the mean value (MSRD) of R as indices for assessing the influence of the tree height (TH), canopy diameter (DC), leaf area density (LAD), and under-canopy height (UH) on the shortwave radiation profile of the south façade. Using 54 parametrized simulation scenarios, it was found that tree height is the most sensitive parameter to affect MSRD in the 1114 m range, with under-canopy height defining the building layers below. An LAD of 2 m2/m3 will be an optimal shading and daylighting. When discussed in terms of space, a canopy diameter of 5 m and a wall-to-canopy distance of 1 m (DW-T) provides better shading in asymmetric canyons where the buildings in the south are lower. Further, canyon building height on either side of the canyon is found to be a decisive factor that mediates tree impacts on radiation, which allows specific approaches to greening canyons of diverse kinds. Through this work, there is a theoretical basis for understanding how trees and canyons interact, and this work gives scientific principles for a tree-planting initiative to reduce urban heat islands. Full article
(This article belongs to the Special Issue Advanced Research on the Urban Heat Island Effect and Climate)
Show Figures

Figure 1

17 pages, 2514 KB  
Article
Parsing the Relative Contributions of Leaf and Canopy Traits in Airborne Spectrometer Measurements
by Franklin B. Sullivan, Jack H. Hastings, Scott V. Ollinger, Andrew Ouimette, Andrew D. Richardson and Michael Palace
Remote Sens. 2026, 18(2), 355; https://doi.org/10.3390/rs18020355 - 21 Jan 2026
Viewed by 259
Abstract
Forest canopy near-infrared reflectance and mass-based canopy nitrogen concentration (canopy %N) have been shown to be positively correlated. While the mechanisms underpinning this relationship remain unresolved, the broad range of wavelengths involved points to structural properties that influence scattering and covary with %N. [...] Read more.
Forest canopy near-infrared reflectance and mass-based canopy nitrogen concentration (canopy %N) have been shown to be positively correlated. While the mechanisms underpinning this relationship remain unresolved, the broad range of wavelengths involved points to structural properties that influence scattering and covary with %N. Despite this, efforts that have focused on commonly measured structural properties such as leaf area index (LAI) have failed to identify a causal mechanism. Here, we sought to understand how lidar-derived canopy traits related to additional properties of foliar arrangement and structural complexity modulate the effects of leaf spectra and leaf area index (LAI) on canopy reflectance. We developed a leaf layer spectra model to explore how canopy reflectance would change if complex foliage arrangements were removed, compressing the canopy into optically dense, uniform stacked layers while maintaining the same leaf area index. Model results showed that LAI-weighted leaf reflectance saturates at a leaf area index of approximately two for needleleaf species and four for broadleaf species. When upscaled to estimate plot-level canopy reflectance in the absence of structural complexity (NIRrLAI), results showed a strong positive relationship with canopy %N (r2 = 0.86), despite a negative relationship for individual leaves or “big-leaf” canopies with an LAI of one (NIRrL, r2 = 0.78). This result implies that the relationship between canopy near-infrared reflectance and canopy %N results from the integrated effects of canopy complexity acting on differences in leaf-level optical properties. We introduced an index of relative reflectance (IRr) that shows that the relative contribution of structural complexity to canopy near-infrared reflectance (NIRrC) is related to canopy %N (r2 = 0.55), with a three-fold reduction from potential canopy near-infrared reflectance observed in stands with low %N compared to a two-fold reduction in stands with high %N. These findings support the hypothesis that the correlation between canopy %N and canopy reflectance is the result of interactions between leaf traits and canopy structural complexity. Full article
Show Figures

Figure 1

26 pages, 5583 KB  
Article
Influence of Filling Rate and Support Beam Optimization on Surface Subsidence in Sustainable Ultra-High-Water Backfill Mining: A Case Study
by Xuyang Chen, Xufeng Wang, Chenlong Qian, Dongdong Qin, Zechao Chang, Zhiwei Feng and Zhijun Niu
Sustainability 2026, 18(2), 854; https://doi.org/10.3390/su18020854 - 14 Jan 2026
Viewed by 192
Abstract
As a key sustainable green-mining technology, ultra-high-water backfill mining is widely used to control surface subsidence and sustain extraction of constrained coal seams. Focusing on the Hengjian coal mine in the Handan mining area, this study uses physical modeling and industrial tests to [...] Read more.
As a key sustainable green-mining technology, ultra-high-water backfill mining is widely used to control surface subsidence and sustain extraction of constrained coal seams. Focusing on the Hengjian coal mine in the Handan mining area, this study uses physical modeling and industrial tests to clarify surface subsidence under different filling rates and identify the rock layers that hydraulic supports must control at various equivalent mining heights. A method is proposed to improve the filling rate by optimizing the thickness of the hydraulic support canopy through topological analysis. Results show that, compared with a filling rate of 85%, a 90% filling rate reduces subsidence of the basic roof, key layer, and surface by 51%, 57%, and 63%, respectively, while the industrial practice results have verified that the filling rate can significantly control surface subsidence. The equivalent mining height thresholds for instability of the immediate roof and high basic roof at the 2515 working face are 0.44 m and 1.26 m. Reducing the trailing beam thickness by 10 cm can theoretically raise the filling rate of the 2515 working face by about 2%, offering guidance for similar mines. Full article
Show Figures

Figure 1

54 pages, 4447 KB  
Article
Structure–Diversity Relationships in Parasitoids of a Central European Temperate Forest
by Claudia Corina Jordan-Fragstein, Roman Linke and Michael Gunther Müller
Forests 2026, 17(1), 106; https://doi.org/10.3390/f17010106 - 13 Jan 2026
Viewed by 395
Abstract
Parasitoids are key natural antagonists of forest insect pests and are gaining importance in integrated forest protection under increasing climate-related disturbances. This study aimed to quantify the influence of vegetation diversity and canopy structure on the abundance and diversity of the overall insect [...] Read more.
Parasitoids are key natural antagonists of forest insect pests and are gaining importance in integrated forest protection under increasing climate-related disturbances. This study aimed to quantify the influence of vegetation diversity and canopy structure on the abundance and diversity of the overall insect community responses to vegetation structure and to provide an ecological context. Second, detailed analyses focused on three focal parasitoid families (Braconidae, Ichneumonidae, Tachinidae), which are of particular relevance for integrated forest protection due to their central role in integrated forest protection and in pesticide-free regulation approaches for risk mitigation in forest ecosystems. Malaise traps were deployed at eight randomly selected broadleaf and coniferous sites, and insect samples from six sampling dates in summer 2024 were analyzed. The sampling period coincided with the full development of woody and vascular plants, representing the phase of highest expected activity of phytophagous insects and associated parasitoids. Vegetation surveys (Braun–Blanquet), canopy closure, and canopy cover were recorded for each site. Across all samples, five arthropod classes, 13 insect orders, and 31 hymenopteran families were identified, with pronounced site-specific differences in community composition and abundance. Our results suggest that broadleaf-dominated sites, characterized by higher plant species richness and greater structural heterogeneity, support a more diverse assemblage of phytophagous insects, thereby increasing host availability and niche diversity for parasitoids. Parasitoid communities generally showed higher diversity at broadleaf sites. Spearman correlations and multiple linear regressions revealed a strong negative relationship between canopy cover and total insect abundance ρ (Spearman’s rank correlation coefficient (Spearman ρ = −0.72, p = 0.042; p = 0.012, R2 = 0.70), R2 (coefficient of determination), whereas parasitoid diversity (Shannon index) and the relative proportion of Ichneumonidae were positively associated with canopy cover (ρ = 0.85, p = 0.008). In addition, canopy cover had a significant positive effect on overall insect diversity (Shannon index; p = 0.015, R2 = 0.63). Time-series analyses revealed a significant seasonal decline in parasitoid abundance (p < 0.001) and parasitoid diversity (p = 0.018). Time-series analyses revealed seasonal dynamics characterized by fluctuations in parasitoid abundance and diversity and a general decrease over the course of the sampling period. The findings demonstrate that structurally diverse mixed forests, particularly those with a high proportion of broadleaf trees mixed forests with heterogeneous canopy layers can enhance the diversity of specialized natural enemies, while dense canopy cover reduces overall insect abundance. These insights provide an ecological basis for silvicultural strategies that strengthen natural regulation processes within integrated forest protection. Full article
Show Figures

Figure 1

20 pages, 15923 KB  
Article
Sub-Canopy Topography Inversion Using Multi-Baseline Bistatic InSAR Without External Vegetation-Related Data
by Huiqiang Wang, Zhimin Feng, Ruiping Li and Yanan Yu
Remote Sens. 2026, 18(2), 231; https://doi.org/10.3390/rs18020231 - 11 Jan 2026
Viewed by 237
Abstract
Previous studies on single-polarized InSAR-based sub-canopy topography inversion have mainly relied on simplified or empirical models that only consider the volume scattering process. In a boreal forest area, the canopy layer is often discontinuous. In such a case, the radar backscattering echoes are [...] Read more.
Previous studies on single-polarized InSAR-based sub-canopy topography inversion have mainly relied on simplified or empirical models that only consider the volume scattering process. In a boreal forest area, the canopy layer is often discontinuous. In such a case, the radar backscattering echoes are mainly dominated by ground surface and volume scattering processes. However, interferometric scattering models like Random Volume over Ground (RVoG) have been little utilized in the case of single-polarized InSAR. In this study, we propose a novel method for retrieving sub-canopy topography by combining the RVoG model with multi-baseline InSAR data. Prior to the RVoG model inversion, a SAR-based dimidiate pixel model and a coherence-based penetration depth model are introduced to quantify the initial values of the unknown parameters, thereby minimizing the reliance on external vegetation datasets. Building on this, a nonlinear least-squares algorithm is employed. Then, we estimate the scattering phase center height and subsequently derive the sub-canopy topography. Two frames of multi-baseline TanDEM-X co-registered single-look slant-range complex (CoSSC) data (resampled to 10 m × 10 m) over the Krycklan catchment in northern Sweden are used for the inversion. Validation from airborne light detection and ranging (LiDAR) data shows that the root-mean-square error (RMSE) for the two test sites is 3.82 m and 3.47 m, respectively, demonstrating a significant improvement over the InSAR phase-measured digital elevation model (DEM). Furthermore, diverse interferometric baseline geometries and different initial values are identified as key factors influencing retrieval performance. In summary, our work effectively addresses the limitations of the traditional RVoG model and provides an advanced and practical tool for sub-canopy topography mapping in forested areas. Full article
Show Figures

Figure 1

24 pages, 4377 KB  
Article
Effects of Stratified Vegetation Volume on Understory Erosion and Soil Coarsening in the Red Soil Region of Southern China
by Yanzi He, Zhujun Gu, Qinghua Fu, Hui Yue, Gengen Lin, Jiasheng Wu, Guanghui Liao and Fei Wang
Land 2026, 15(1), 143; https://doi.org/10.3390/land15010143 - 10 Jan 2026
Viewed by 297
Abstract
Severe erosion persists in the red soil region of southern China despite dense vegetation. Stratified vegetation volume (SVV), which integrates horizontal and vertical vegetation density, better captures understory structure than fractional cover. Here, we established and surveyed 75 forest stands (10 m × [...] Read more.
Severe erosion persists in the red soil region of southern China despite dense vegetation. Stratified vegetation volume (SVV), which integrates horizontal and vertical vegetation density, better captures understory structure than fractional cover. Here, we established and surveyed 75 forest stands (10 m × 10 m) spanning an erosion-intensity gradient in Changting County, Fujian Province, China. Within each stand, soil was sampled by depth (0–20 cm), and living and dead vegetation volumes in the canopy, shrub–herb, and litter layers were quantified to derive SVV. Relative to slightly eroded soils, moderate and severe erosion reduced the soil water content by 38–41% and soil organic matter by 19–34%, while increasing bulk density by 25–30% and pH by 6–8%. Severe erosion increased the sand content by 20–31% and decreased the gravel content by ≤15%. SVV declined sharply with erosion, with the largest loss in the shrub–herb layer (66–97%). Erosion was most strongly associated with shrub–herb SVV, soil water content, organic matter, and bulk density (r = 0.5–0.6, p < 0.05). The shrub–herb layer was the key component resisting surface erosion. Overall, understory degradation accelerates erosion and soil coarsening, reinforcing a constrained vegetation–soil system; restoring native shrubs and grasses, coupled with targeted canopy thinning, may improve soil and water conservation. Full article
Show Figures

Graphical abstract

30 pages, 34011 KB  
Article
The Impact of Plant Community Spatial Configurations on Summer Microclimate: A Simulation Study of Urban Parks in Zhejiang, China
by Jingshu Zhou, Linjia Zhou, Chaoyi Xu, Ying Huang, Xia Chen, Qianqian Wang, Xiangtao Zhu and Quanyu Dai
Forests 2026, 17(1), 71; https://doi.org/10.3390/f17010071 - 5 Jan 2026
Viewed by 386
Abstract
The intensifying Urban Heat Island (UHI) effect exacerbates urban heat stress. While vegetation is a key mitigation strategy, the quantitative effects of its spatial configuration are not fully understood. This study employed ENVI-met simulations to systematically evaluate how three design parameters—tree spacing (8–18 [...] Read more.
The intensifying Urban Heat Island (UHI) effect exacerbates urban heat stress. While vegetation is a key mitigation strategy, the quantitative effects of its spatial configuration are not fully understood. This study employed ENVI-met simulations to systematically evaluate how three design parameters—tree spacing (8–18 m), canopy structure (single/multi-layer, sparse/dense), and horizontal layout (enclosed, semi-enclosed, linear)—regulate summer microclimate in urban parks. Results demonstrated that reduced spacing and denser canopies significantly enhanced cooling and humidification. The multi-layer dense canopy and an enclosed “mouth-shaped” layout yielded the optimal performance, achieving a maximum daytime air temperature reduction and a corresponding humidity increase. Furthermore, layout orientation was identified as a critical modulating factor. Spatial configuration exerted a stronger influence on microclimate outcomes than structural complexity itself. This study provides a predictive, evidence-based framework for optimizing urban green space design. The framework and the derived design principles are directly transferable to other cities in humid subtropical climates, offering generalizable strategies to enhance microclimate regulation and climate resilience globally. Full article
Show Figures

Figure 1

28 pages, 6257 KB  
Article
A Precise Apple Quality Prediction Model Integrating Driving Factor Screening and BP Neural Network
by Junkai Zeng, Mingyang Yu, Yan Chen, Xin Li, Jianping Bao and Xiaoqiu Pu
Plants 2025, 14(24), 3795; https://doi.org/10.3390/plants14243795 - 13 Dec 2025
Viewed by 501
Abstract
Apple fruit quality is primarily determined by Vitamin C (VC), Soluble Saccharides (SSs), Titratable Acid (TA), and the Soluble Saccharides/Titratable Acid (SSs/TA). This study aims to establish a prediction model based on the Back Propagation (BP) neural network by analyzing the intrinsic relationships [...] Read more.
Apple fruit quality is primarily determined by Vitamin C (VC), Soluble Saccharides (SSs), Titratable Acid (TA), and the Soluble Saccharides/Titratable Acid (SSs/TA). This study aims to establish a prediction model based on the Back Propagation (BP) neural network by analyzing the intrinsic relationships between these quality indicators and the photosynthetic physiological characteristics of fruit trees, providing a new method for the precise prediction and regulation of fruit quality. Using ‘Fuji’ apple as the material, fruit quality indicators, leaf photosynthetic parameters, canopy structure indicators, and carbon–water–nitrogen metabolism indicators were systematically measured. Correlation analysis was employed to identify key influencing factors, BP neural network models with different hidden layer structures were constructed, and the optimal feature subset was screened through feature importance analysis, single-factor sensitivity analysis, and ablation experiments, ultimately establishing a simplified and efficient prediction model. Pn, Gs, SPCI, and DUE showed significant positive correlations with VC, SS, and SS/TA, whereas N and NLT were significantly positively correlated with TA content. SUE was identified as a common core driving factor for VC, SS, and SS/TA. The BP neural network demonstrated strong predictive performance for the four quality indicators, with the optimal model achieving validation set R2 values of 0.87, 0.86, 0.86, and 0.89, respectively. The simplified model developed through feature screening exhibited further improved performance: the validation set R2 for the VC prediction model increased to 0.93, while MAE and MAPE decreased by 32% and 35%, respectively. Photosynthetic characteristics and nitrogen metabolism status of the fruit trees serve as key physiological foundations determining apple quality. The quality prediction model based on the BP neural network achieved high accuracy, and its predictive performance was significantly enhanced after feature refinement, providing an effective tool for precise apple quality prediction and smart orchard management. Full article
(This article belongs to the Special Issue Advanced Remote Sensing and AI Techniques in Agriculture and Forestry)
Show Figures

Figure 1

33 pages, 7724 KB  
Article
Energy Partitioning and Air Temperature Anomalies Above Urban Surfaces: A High-Resolution PALM-4U Study
by Daniela Cava, Luca Mortarini, Tony Christian Landi, Oxana Drofa, Giorgio Veratti, Edoardo Fiorillo, Umberto Giostra and Daiane de Vargas Brondani
Atmosphere 2025, 16(12), 1401; https://doi.org/10.3390/atmos16121401 - 12 Dec 2025
Viewed by 499
Abstract
Urban heat islands intensify heat stress and degrade air quality in densely built areas, yet the physical processes governing near-surface thermal variability remain poorly quantified. This study applies the coupled MOLOCH and PALM model system 6.0 (PALM-4U) over Bologna (Italy) during a summer [...] Read more.
Urban heat islands intensify heat stress and degrade air quality in densely built areas, yet the physical processes governing near-surface thermal variability remain poorly quantified. This study applies the coupled MOLOCH and PALM model system 6.0 (PALM-4U) over Bologna (Italy) during a summer 2023 heatwave to resolve meter-scale atmospheric dynamics within the Urban Canopy Layer and Roughness Sublayer at 2 m horizontal resolution. The coupled configuration was validated against in situ meteorological observations and Landsat-8 LST data, showing improved agreement in air temperature and wind speed compared to standalone mesoscale simulations. Results reveal pronounced diurnal and vertical variability of wind speed, turbulent kinetic energy, and friction velocity, with maxima between two/three times the median building height (hc). Distinct surface-dependent contrasts emerge: asphalt and roofs act as strong daytime heat sources (Bowen ratio βasphalt ≈ 4.8) and nocturnal heat reservoirs at pedestrian level (z ≈ 0.07 hc), while vegetation sustains daytime latent heat fluxes (βvegetation ≈ 0.6÷0.8) and cooler surface and near-surface air (Temperature anomaly of surface ΔTs ≈ −9 °C and air ΔTair ≈ −0.3 °C). Thermal anomalies decay with height, vanishing above z ≈ 2.5 hc due to turbulent mixing. These findings provide insight into fine-scale energy exchanges driving intra-urban thermal heterogeneity and support climate-resilient urban design. Full article
(This article belongs to the Section Biosphere/Hydrosphere/Land–Atmosphere Interactions)
Show Figures

Figure 1

20 pages, 5164 KB  
Article
Stand Density Drives Soil Microbial Community Structure in Response to Nutrient Availability in Larix gmelinii var. principis-rupprechtii (Mayr) Pilger Plantations
by Fengzi Li, Lei Liu, Long Hai, Hongwei Yang, Kai Zhao, Qiuming Di and Zhibo Wang
Plants 2025, 14(24), 3737; https://doi.org/10.3390/plants14243737 - 8 Dec 2025
Viewed by 490
Abstract
Sustainable forest management requires a comprehensive understanding of how stand density regulates soil ecological processes. We examined a Larix principis-rupprechtii plantation under three thinning retention densities (High—HD; Medium—MD; Low—LD) and an unthinned control (CK), with soil samples collected from four depth layers (0–10, [...] Read more.
Sustainable forest management requires a comprehensive understanding of how stand density regulates soil ecological processes. We examined a Larix principis-rupprechtii plantation under three thinning retention densities (High—HD; Medium—MD; Low—LD) and an unthinned control (CK), with soil samples collected from four depth layers (0–10, 10–20, 20–30, and 30–40 cm). This study investigated the effects of stand density on soil properties and microbial communities in a Larix principis-rupprechtii plantation by combining high-throughput sequencing with soil physicochemical analysis to identify the optimal density regime for maintaining soil health. Results demonstrated the following: (1) Moderate-density (MD) management best balanced the stability of soil ecosystem structure, showing superior water retention, organic carbon content, and microbial diversity in the 0–30 cm soil layer. The mechanism underlying these improvements can be attributed to the moderately open canopy structure in MD stands, which facilitated efficient litter decomposition and drove functional complementarity between Basidiomycota (enhancing cellulose degradation capacity) and Acidobacteriota (adapted to oligotrophic conditions). (2) Redundancy analysis revealed that soil pH and available nutrients (AK, AP) were key environmental factors driving microbial community restructuring: Actinobacteriota dominated in neutral, phosphorus-rich environments, while Acidobacteriota thrived under acidic, phosphorus-limited conditions. Fungal communities showed high sensitivity to management intensity, with significant shifts between Ascomycota and Basidiomycota, whereas bacterial communities remained relatively stable due to functional redundancy. We recommend the adoption of moderate-density management as a sustainable practice to enhance soil nutrient cycling and maintain microbial diversity, thereby providing scientific support for sustainable plantation management. Full article
(This article belongs to the Section Plant–Soil Interactions)
Show Figures

Figure 1

Back to TopTop