A Concise Approach to Characterizing the Distribution of Canopy Leaf Mass per Area in Broad-Leaf Species Based on Crown Three-Dimensional Position and Vegetation Index
Abstract
1. Introduction
2. Materials and Methods
2.1. Study Area
2.2. Data Acquisition
2.3. Data Analysis
2.4. Validation
3. Results
3.1. One-Way ANOVA of LMA for Layers and Directions in Canopy
3.1.1. One-Way ANOVA Between Different Layers Inside Canopy
3.1.2. One-Way ANOVA for Different Directions Inside Canopy
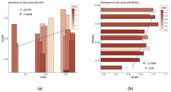
3.2. Frequency Distribution of Data
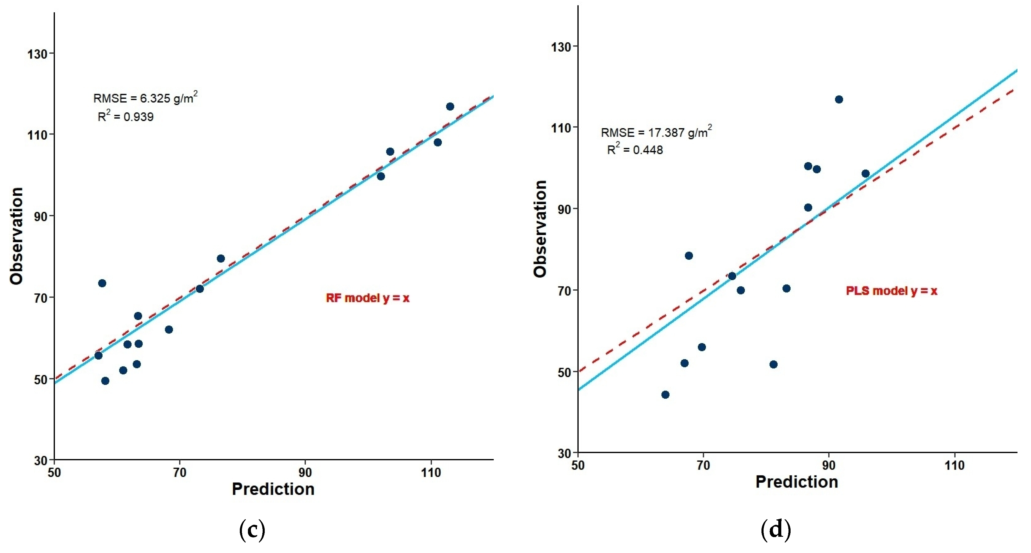
3.3. Model Establish and Evaluation
3.4. The Result of Prediction
4. Discussion
5. Conclusions
Author Contributions
Funding
Data Availability Statement
Acknowledgments
Conflicts of Interest
Abbreviations
| LMA | Leaf Mass per Area |
| mLMA | Mean relative Leaf Mass Per Area |
| mHD | Mean relative Horizontal Distance from sample point to the trunk |
| RDINC | Relative depth Into the Crown |
| LMM | Leaf Mixed Models |
| SVM | Support Vector Machine Regression |
| RF | Random Forest |
| PLS | Partial Least Squares |
References
- Li, H.; Luan, C.; Xia, X.; Chen, C.; Sun, R.; Wang, H.; Li, B. Prediction of future extreme precipitation scenarios in China based on CMIP6 climate model. Water Resources and Hydropower Engineering. 2023, 54, 16–29. [Google Scholar] [CrossRef]
- Filonchyk, M.; Peterson, M.P.; Zhang, L.; Hurynovich, V.; He, Y. Greenhouse gases emissions and global climate change: Examining the influence of CO2, CH4, and N2O. Sci. Total Envir. 2024, 935, 173359. [Google Scholar] [CrossRef] [PubMed]
- Onoda, Y.; Wright, I.J.; Evans, J.R.; Hikosaka, K.; Kitajima, K.; Niinemets, U.; Poorter, H.; Tosens, T.; Westoby, M. Physiological and structural tradeoffs underlying the leaf economics spectrum. New Phytol. 2017, 214, 1447–1463. [Google Scholar] [CrossRef]
- Liu, M.; Liang, G. Research progress on leaf mass per area. Chin. J. Plant Ecol. 2016, 40, 847–860. [Google Scholar]
- Duursma, R.A.; Falster, D.S. Leaf mass per area, not total leaf area, drives differences in above-ground biomass distribution among woody plant functional types. New Phytol 2016, 212, 368–376. [Google Scholar] [CrossRef] [PubMed]
- McGill, B.J.; Enquist, B.J.; Weiher, E.; Westoby, M. Rebuilding community ecology from functional traits. Trends Ecol. Evol. 2006, 21, 178–185. [Google Scholar] [CrossRef]
- Wright, I.J.; Reich, P.B.; Westoby, M.; Ackerly, D.D.; Baruch, Z.; Bongers, F.; Cavender-Bares, J.; Chapin, T.; Cornelissen, J.H.C.; Diemer, M.; et al. The worldwide leaf economics spectrum. Nature 2004, 428, 821–827. [Google Scholar] [CrossRef]
- Oren, R.; Schulze, E.D.; Matyssek, R.; Zimmermann, R. Estimating photosynthetic rate and annual carbon gain in conifers from specific leaf weight and leaf biomass. Oecologia 1986, 70, 187–193. [Google Scholar] [CrossRef]
- Villar, R.; Ruiz-Robleto, J.; Luis Ubera, J.; Poorter, H. Exploring variation in leaf mass per area (LMA) from leaf to cell: An anatomical analysis of 26 woody species. Am. J. Bot. 2013, 100, 1969–1980. [Google Scholar] [CrossRef]
- Westoby, M.; Warton, D.; Reich, P.B. The time value of leaf area. Am. Nat. 2000, 155, 649–656. [Google Scholar] [CrossRef]
- Poorter, H.; Niinemets, Ü.; Poorter, L.; Wright, I.J.; Villar, R. Causes and consequences of variation in leaf mass per area (LMA): A meta-analysis. New Phytol. 2009, 182, 565–588. [Google Scholar] [CrossRef] [PubMed]
- Bowes, G.; Ogren, W.; Hageman, R. Light Saturation, photosynthesis rate, RuDP carboxylase activity, and specific leaf weight in soybeans grown under different light intensities 1. Crop Sci. 1972, 12, 77–79. [Google Scholar] [CrossRef]
- Björkman, O. Responses to different quantum flux densities. In Physiological Plant Ecology I: Responses to the Physical Environment; Springer: Berlin/Heidelberg, Germany, 1981; pp. 57–107. [Google Scholar]
- Li, L.; Wang, X.; Niu, J.; Cui, J.; Zhang, Q.; Wan, W.; Liu, B. Effects of elevated atmospheric O3 concentrations on early and late leaf growth and elemental contents of Acer truncatum Bung under mild drought. Acta Ecol. Sin. 2017, 37, 31–34. [Google Scholar] [CrossRef]
- Chaves, M.M.; Maroco, J.P.; Pereira, J.S. Understanding plant responses to drought—From genes to the whole plant. Funct. Plant Biol. 2003, 30, 239–264. [Google Scholar] [CrossRef] [PubMed]
- Leuning, R.; Kelliher, F.M.; De Pury, D.; Schulze, E.D. Leaf nitrogen, photosynthesis, conductance and transpiration: Scaling from leaves to canopies. Plant Cell Environ. 1995, 18, 1183–1200. [Google Scholar] [CrossRef]
- De Pury, D.; Farquhar, G. Simple scaling of photosynthesis from leaves to canopies without the errors of big-leaf models. Plant Cell Environ. 1997, 20, 537–557. [Google Scholar] [CrossRef]
- Tian, J.; Wei, L.; He, N.; Xu, L.; Chen, Z.; Hou, J. Vertical variation of leaf functional traits in temperate forest canopies in China. Acta Ecol. Sin. 2018, 38, 8383–8391. [Google Scholar]
- Yao, H.; Zhang, Y.; Yi, X.; Zhang, X.; Zhang, W. Cotton responds to different plant population densities by adjusting specific leaf area to optimize canopy photosynthetic use efficiency of light and nitrogen. Field Crops Res. 2016, 188, 10–16. [Google Scholar] [CrossRef]
- Reich, P.B.; Walters, M.B.; Ellsworth, D.S. From tropics to tundra: Global convergence in plant functioning. Proc. Natl. Acad. Sci. USA 1997, 94, 13730–13734. [Google Scholar] [CrossRef]
- Meir, P.; Kruijt, B.; Broadmeadow, M.; Barbosa, E.; Kull, O.; Carswell, F.; Nobre, A.; Jarvis, P.G. Acclimation of photosynthetic capacity to irradiance in tree canopies in relation to leaf nitrogen concentration and leaf mass per unit area. Plant Cell Environ. 2002, 25, 343–357. [Google Scholar] [CrossRef]
- Ellsworth, D.; Reich, P. Canopy structure and vertical patterns of photosynthesis and related leaf traits in a deciduous forest. Oecologia 1993, 96, 169–178. [Google Scholar] [CrossRef]
- Cavaleri, M.A.; Oberbauer, S.F.; Clark, D.B.; Clark, D.A.; Ryan, M.G. Height is more important than light in determining leaf morphology in a tropical forest. Ecology 2010, 91, 1730–1739. [Google Scholar] [CrossRef]
- Martinez, K.A.; Fridley, J.D. Acclimation of leaf traits in seasonal light environments: Are non-native species more plastic? J. Ecol. 2018, 106, 2019–2030. [Google Scholar] [CrossRef]
- Coble, A.P.; VanderWall, B.; Mau, A.; Cavaleri, M.A. How vertical patterns in leaf traits shift seasonally and the implications for modeling canopy photosynthesis in a temperate deciduous forest. Tree Physiol. 2016, 36, 1077–1091. [Google Scholar] [CrossRef] [PubMed]
- Abdollahnejad, A.; Panagiotidis, D.; Surový, P.; Ulbrichová, I. UAV Capability to Detect and Interpret Solar Radiation as a Potential Replacement Method to Hemispherical Photography. Remote Sens. 2018, 10, 423. [Google Scholar] [CrossRef]
- Chlus, A.; Kruger, E.L.; Townsend, P.A. Mapping three-dimensional variation in leaf mass per area with imaging spectroscopy and lidar in a temperate broadleaf forest. Remote Sens. Environ. 2020, 250, 112043. [Google Scholar] [CrossRef]
- Williams, G.; Nelson, A. Spatial variation in specific leaf area and horizontal distribution of leaf area in juvenile western larch (Larix occidentalis Nutt.). Trees 2018, 32, 1621–1631. [Google Scholar] [CrossRef]
- Aber, J.D.; Reich, P.B.; Goulden, M.L. Extrapolating leaf CO2 exchange to the canopy: A generalized model of forest photosynthesis compared with measurements by eddy correlation. Oecologia 1996, 106, 257–265. [Google Scholar] [CrossRef]
- Yang, X.; Fan, W.; Yu, Y. Leaf Chlorophyll Content Retrieval from Hyperspectral Remote Sensing Images. J. Northeast. For. Univ. 2010, 38, 123–124+135. [Google Scholar] [CrossRef]
- Wu, C.; Niu, Z.; Tang, Q.; Huang, W. Estimating chlorophyll content from hyperspectral vegetation indices: Modeling and validation. Agric. For. Meteorol. 2008, 148, 1230–1241. [Google Scholar] [CrossRef]
- Jordan, C.F. Derivation of leaf-area index from quality of light on the forest floor. Ecology 1969, 50, 663–666. [Google Scholar] [CrossRef]
- Broge, N.H.; Leblanc, E. Comparing prediction power and stability of broadband and hyperspectral vegetation indices for estimation of green leaf area index and canopy chlorophyll density. Remote Sens. Environ. 2001, 76, 156–172. [Google Scholar] [CrossRef]
- Naidu, R.A.; Perry, E.M.; Pierce, F.J.; Mekuria, T. The potential of spectral reflectance technique for the detection of Grapevine leafroll-associated virus-3 in two red-berried wine grape cultivars. Comput. Electron. Agric. 2009, 66, 38–45. [Google Scholar] [CrossRef]
- Guan, L.; Liu, X. Two kinds of modified spectral indices for retrieval of crop canopy chlorophyll content. Adv. Earth Sci. 2009, 24, 548–554. [Google Scholar]
- Ran, D.; Sun, Z.; Lu, S.; Omasa, K. Optimizing angular resistant spectral indices to estimate leaf biochemical parameters from multi-angular spectral reflection. Agric. For. Meteorol. 2024, 348, 109916. [Google Scholar] [CrossRef]
- Lin, Z.; Tianxiang, L.U.O.; Kunmei, D.; Wenhua, L.I. Vertical variations in specific leaf area and leaf dry matter content with canopy height in Pinus yunnanensis. J. Beijing For. Univ. 2008, 30, 40–44. [Google Scholar]
- Parker, G.G.; Harmon, M.E.; Lefsky, M.A.; Chen, J.; Pelt, R.V.; Weis, S.B.; Thomas, S.C.; Winner, W.E.; Shaw, D.C.; Frankling, J.F. Three-dimensional structure of an old-growth Pseudotsuga-Tsuga canopy and its implications for radiation balance, microclimate, and gas exchange. Ecosystems 2004, 7, 440–453. [Google Scholar] [CrossRef]
- Williams, G.M.; Nelson, A.S.; Affleck, D.L. Vertical distribution of foliar biomass in western larch (Larix occidentalis). Can. J. For. Res. 2018, 48, 42–57. [Google Scholar] [CrossRef]
- Sterba, H.; Dirnberger, G.; Ritter, T. Vertical Distribution of Leaf Area of European Larch (Larix decidua Mill.) and Norway Spruce (Picea abies (L.) Karst.) in Pure and Mixed Stands. Forests 2019, 10, 570. [Google Scholar] [CrossRef]
- Chmura, D.J.; Tjoelker, M.G. Leaf traits in relation to crown development, light interception and growth of elite families of loblolly and slash pine. Tree Physiol. 2008, 28, 729–742. [Google Scholar] [CrossRef]
- White, J.D.; Scott, N.A. Specific leaf area and nitrogen distribution in New Zealand forests: Species independently respond to intercepted light. For. Ecol. Manag. 2006, 226, 319–329. [Google Scholar] [CrossRef]
- Ishii, H.; Asano, S. The role of crown architecture, leaf phenology and photosynthetic activity in promoting complementary use of light among coexisting species in temperate forests. Ecol. Res. 2010, 25, 715–722. [Google Scholar] [CrossRef]
- Hardiman, B.S.; Bohrer, G.; Gough, C.M.; Vogel, C.S.; Curtis, P.S. The role of canopy structural complexity in wood net primary production of a maturing northern deciduous forest. Ecology 2011, 92, 1818–1827. [Google Scholar] [CrossRef] [PubMed]
- Gough, C.M.; Vogel, C.S.; Hardiman, B.; Curtis, P.S. Wood net primary production resilience in an unmanaged forest transitioning from early to middle succession. For. Ecol. Manag. 2010, 260, 36–41. [Google Scholar] [CrossRef]
- Chiang, J.-M.; Brown, K.J. The effects of thinning and burning treatments on within-canopy variation of leaf traits in hardwood forests of southern Ohio. For. Ecol. Manag. 2010, 260, 1065–1075. [Google Scholar] [CrossRef]
- Hardiman, B.S.; Gough, C.M.; Halperin, A.; Hofmeister, K.L.; Nave, L.E.; Bohrer, G.; Curtis, P.S. Maintaining high rates of carbon storage in old forests: A mechanism linking canopy structure to forest function. For. Ecol. Manag. 2013, 298, 111–119. [Google Scholar] [CrossRef]
- Niinemets, Ü.; Keenan, T.F.; Hallik, L. A worldwide analysis of within-canopy variations in leaf structural, chemical and physiological traits across plant functional types. New Phytol. 2015, 205, 973–993. [Google Scholar] [CrossRef]
- Liu, Q.; Dong, L.H.; Li, F.R.; Li, X. Spatial heterogeneity of canopy photosynthesis for Larix olgensis. J. Appl. Ecol. 2016, 27, 2789–2796. [Google Scholar] [CrossRef]
- Niinemets, Ü.; Ellsworth, D.S.; Lukjanova, A.; Tobias, M. Site fertility and the morphological and photosynthetic acclimation of Pinus sylvestris needles to light. Tree Physiol. 2001, 21, 1231–1244. [Google Scholar] [CrossRef]
- Swatantran, A.; Dubayah, R.; Roberts, D.; Hofton, M.; Blair, J.B. Mapping biomass and stress in the Sierra Nevada using lidar and hyperspectral data fusion. Remote Sens. Environ. 2011, 115, 2917–2930. [Google Scholar] [CrossRef]
- Wang, F.; Sun, Y.; Jia, W.; Li, D.; Zhang, X.; Tang, Y.; Guo, H. A Novel Approach to Characterizing Crown Vertical Profile Shapes Using Terrestrial Laser Scanning (TLS). Remote Sens. 2023, 15, 3272. [Google Scholar] [CrossRef]
- Atkin, O.K.; Loveys, B.; Atkinson, L.J.; Pons, T. Phenotypic plasticity and growth temperature: Understanding interspecific variability. J. Exp. Bot. 2006, 57, 267–281. [Google Scholar] [CrossRef] [PubMed]
- Osnas, J.L.; Lichstein, J.W.; Reich, P.B.; Pacala, S.W. Global leaf trait relationships: Mass, area, and the leaf economics spectrum. Science 2013, 340, 741–744. [Google Scholar] [CrossRef] [PubMed]
















| Name | Formula * | Ref |
|---|---|---|
| Red Edge | Max first derivative in (R680~R760) | [30] |
| Yellow Edge | Max first derivative in (R560~R640) | [30] |
| Blue Edge | Max first derivative in (R490~R530) | [30] |
| ReMSR | [31] | |
| RDVI | [32] | |
| TVI | [33] | |
| RVSI | [34] | |
| MCARI1 | [35] | |
| MCARI2 | [35] | |
| MTVI1 | [35] | |
| MTVI2 | [35] | |
| ARSIs | [36] | |
| NDVI(a,b) | / | |
| RVI(a,b) | / | |
| SR(a,b) | / |
| Layer | Max | Min | Average | Std. * | |
|---|---|---|---|---|---|
| LMA (g/m2) | High | 193.72 | 41.17 | 87.18 | 28.17 |
| Middle | 148.75 | 41.24 | 78.60 | 23.71 | |
| Low | 135.72 | 24.75 | 75.17 | 22.67 |
| Direction | Max | Min | Average | Std. * | |
|---|---|---|---|---|---|
| LMA (g/m2) | E | 153.63 | 41.17 | 79.63 | 23.49 |
| S | 157.30 | 41.24 | 80.61 | 25.56 | |
| W | 193.72 | 24.75 | 83.60 | 30.57 | |
| N | 143.93 | 32.92 | 78.23 | 22.89 |
| Group | RDINC * | mLMA * | mHD * |
|---|---|---|---|
| 0%~10% | 0.06417 | 1.0000 | 0.6544 |
| 0.1458 | 0.9724 | 0.5679 | |
| 10%~20% | 0.1613 | 1.0149 | 0.8098 |
| 0.2653 | 0.9625 | 0.5926 | |
| 20%~30% | 0.2607 | 1.0413 | 0.7740 |
| 0.3550 | 0.8748 | 0.5206 | |
| 30%~40% | 0.3587 | 0.9295 | 0.8634 |
| 0.4278 | 0.8773 | 0.3010 | |
| 0.4343 | 0.9559 | 0.5771 | |
| 40%~50% | 0.4465 | 0.9096 | 0.7999 |
| 0.5841 | 0.9697 | 0.2849 | |
| 0.5462 | 0.9231 | 0.5189 | |
| 50%~60% | 0.5432 | 0.9435 | 0.8210 |
| 0.6440 | 0.8861 | 0.5390 | |
| 60%~70% | 0.6518 | 0.9230 | 0.8672 |
| 0.7387 | 0.8270 | 0.5687 | |
| 70%~80% | 0.7401 | 0.8910 | 0.8596 |
| 80%~100% | 0.8436 | 0.7469 | 0.8045 |
| Method * | Test Max R2 | Test Min R2 | Test Min RMSE (g/m2) | p-Value |
|---|---|---|---|---|
| LMM *** | 0.649 | 0.316 | 11.249 | 2.544 × 10−6 |
| PLS ** | 0.448 | 0.261 | 17.387 | 4.036 × 10−3 |
| SVM *** | 0.716 | 0.238 | 11.689 | 3.322 × 10−5 |
| RF *** | 0.939 | 0.716 | 6.325 | 7.889 × 10 −12 |
Disclaimer/Publisher’s Note: The statements, opinions and data contained in all publications are solely those of the individual author(s) and contributor(s) and not of MDPI and/or the editor(s). MDPI and/or the editor(s) disclaim responsibility for any injury to people or property resulting from any ideas, methods, instructions or products referred to in the content. |
© 2025 by the authors. Licensee MDPI, Basel, Switzerland. This article is an open access article distributed under the terms and conditions of the Creative Commons Attribution (CC BY) license (https://creativecommons.org/licenses/by/4.0/).
Share and Cite
Zhang, D.; Wang, Y.; Yang, X.; Yang, S.; Liu, Y.; Yu, Z.; Zhao, X. A Concise Approach to Characterizing the Distribution of Canopy Leaf Mass per Area in Broad-Leaf Species Based on Crown Three-Dimensional Position and Vegetation Index. Forests 2025, 16, 838. https://doi.org/10.3390/f16050838
Zhang D, Wang Y, Yang X, Yang S, Liu Y, Yu Z, Zhao X. A Concise Approach to Characterizing the Distribution of Canopy Leaf Mass per Area in Broad-Leaf Species Based on Crown Three-Dimensional Position and Vegetation Index. Forests. 2025; 16(5):838. https://doi.org/10.3390/f16050838
Chicago/Turabian StyleZhang, Depeng, Yueqi Wang, Xiguang Yang, Shengtao Yang, Yuanyuan Liu, Zijuan Yu, and Xingcai Zhao. 2025. "A Concise Approach to Characterizing the Distribution of Canopy Leaf Mass per Area in Broad-Leaf Species Based on Crown Three-Dimensional Position and Vegetation Index" Forests 16, no. 5: 838. https://doi.org/10.3390/f16050838
APA StyleZhang, D., Wang, Y., Yang, X., Yang, S., Liu, Y., Yu, Z., & Zhao, X. (2025). A Concise Approach to Characterizing the Distribution of Canopy Leaf Mass per Area in Broad-Leaf Species Based on Crown Three-Dimensional Position and Vegetation Index. Forests, 16(5), 838. https://doi.org/10.3390/f16050838

