Sign in to use this feature.

Years

Between: -

Subjects

remove_circle_outline
remove_circle_outline
remove_circle_outline
remove_circle_outline
remove_circle_outline
remove_circle_outline
remove_circle_outline

Journals

Article Types

Countries / Regions

Search Results (51)

Search Parameters:
Keywords = cancer digitalization index

Order results
Result details
Results per page
Select all
Export citation of selected articles as:
27 pages, 1582 KB  
Article
Advanced Computational Modeling and Machine Learning for Risk Stratification, Treatment Optimization, and Prognostic Forecasting in Appendiceal Neoplasms
by Jawad S. Alnajjar, Faisal A. Al-Harbi, Ahmed Khalifah Alsaif, Ghaida S. Alabdulaaly, Omar K. Aljubaili, Manal Alquaimi, Arwa F. Alrasheed, Mohammed N. AlAli, Maha A. Alghamdi and Ahmed Y. Azzam
Healthcare 2025, 13(23), 3074; https://doi.org/10.3390/healthcare13233074 - 26 Nov 2025
Viewed by 318
Abstract
Background: Appendiceal neoplasms account for less than 1% of gastrointestinal cancers but are increasing in incidence worldwide. Their marked histological variations and differences create multiple challenges for prognosis and management planning, as current staging systems are limited in certain aspects for capturing the [...] Read more.
Background: Appendiceal neoplasms account for less than 1% of gastrointestinal cancers but are increasing in incidence worldwide. Their marked histological variations and differences create multiple challenges for prognosis and management planning, as current staging systems are limited in certain aspects for capturing the entire disease complexity. Methods: We synthesized data from 18 large observational studies, including 67,001 patients diagnosed between 1973 and 2024. Using advanced computational modeling, we combined multiple statistical methods and machine learning techniques to improve risk stratification, survival prediction, treatment optimization, and forecasting. A novel overlap-aware weighting methodology was applied to prevent double-counting across overlapping registries. Results: Our multi-dimensional risk model outperformed TNM staging (C-index 0.758 vs. 0.689), identifying five prognostic groups with five-year overall survival ranging from 88.7% (low-risk neuroendocrine tumors (NETs)) to 27.3% (high-risk signet-ring cell carcinomas (SRCC)). Hierarchical survival analysis demonstrated marked variation across histological variants, with goblet cell adenocarcinoma showing the most favorable outcomes. Causal inference confirmed the survival benefit of hyperthermic intraperitoneal chemotherapy (HIPEC) in stage IV disease (five-year overall survival (OS) 87.4%) and highlighted disparities in outcomes by race and institutional volume. Time-series forecasting projected a 25% to 50% increase in incidence by 2030, highlighting the growing risk of global burden. Conclusions: By integrating multi-database evidence with advanced modeling and statistical methodologies, our findings demonstrate valuable insights and implications for individualized prognosis, better management decision-making, and health system planning. Our proposed approach and demonstrated methodologies are warranting better progression and advancements in precision oncology and utilization of computational modeling techniques in big data as well as digital health progression landscape. Full article
Show Figures

Figure 1

17 pages, 2473 KB  
Article
Comparative Prognostic Roles of β-Catenin Expression and Tumor–Stroma Ratio in Pancreatic Cancer: Neoadjuvant Chemotherapy vs. Upfront Surgery
by Shu Oikawa, Hiroyuki Mitomi, So Murai, Akihiro Nakayama, Seiya Chiba, Shigetoshi Nishihara, Yu Ishii, Toshiko Yamochi and Hitoshi Yoshida
Curr. Oncol. 2025, 32(10), 578; https://doi.org/10.3390/curroncol32100578 - 17 Oct 2025
Viewed by 847
Abstract
The benefit of neoadjuvant chemotherapy (NAC) over upfront surgery (UFS) for resectable pancreatic ductal adenocarcinoma (PDAC) is increasingly recognized, yet prognostic biomarkers remain undefined. We evaluated tumor–stroma ratio (TSR), β-catenin (β-CTN) expression, and tumor budding (TB) in 84 resected PDACs (35 NAC, 49 [...] Read more.
The benefit of neoadjuvant chemotherapy (NAC) over upfront surgery (UFS) for resectable pancreatic ductal adenocarcinoma (PDAC) is increasingly recognized, yet prognostic biomarkers remain undefined. We evaluated tumor–stroma ratio (TSR), β-catenin (β-CTN) expression, and tumor budding (TB) in 84 resected PDACs (35 NAC, 49 UFS) using digital image analysis of multi-cytokeratin (m-CK) and β-CTN immunohistochemistry. TSR was defined as the proportion of malignant epithelial area within the tumor, and the β-CTN/m-CK index as the ratio of β-CTN to m-CK immunoreactivity in tumor tissue relative to intralobular ducts. TB was significantly less frequent in NAC than UFS (p = 0.003), suggesting that NAC may indirectly modulate epithelial–mesenchymal transition, with TB regarded as its morphological correlate. In the NAC cohort, low TSR was associated with more favorable histological response (Evans IIa/IIb, median 7%; Evans I, 16%; p = 0.009), likely reflecting NAC-induced tumor shrinkage with relative stromal predominance. In multivariable analysis, low β-CTN/m-CK index (<0.5) predicted shorter relapse-free survival in both NAC (HR = 2.516, p = 0.043) and UFS (HR = 2.230, p = 0.025) subgroups. High TSR (≥13%) was associated with shorter cancer-specific survival (HR = 2.414, p = 0.034) in the overall cohort, indicating prognostic value complementing its association with NAC response. These results identify the β-CTN/m-CK index and TSR as prognostic biomarkers in PDAC. Full article
(This article belongs to the Special Issue Histological and Molecular Subtype of Pancreatic Cancer)
Show Figures

Figure 1

17 pages, 276 KB  
Article
Social Networks of Adolescents and Young Adults with Cancer: A Cross-Sectional Study
by Rohini R. Datta, Bojana Petrovic, Argerie Tsimicalis, A. Fuchsia Howard, Emily K. Drake, Sheila N. Garland, Karine Chalifour, Norma M. D’Agostino, Abha A. Gupta and Jacqueline L. Bender
Curr. Oncol. 2025, 32(9), 502; https://doi.org/10.3390/curroncol32090502 - 9 Sep 2025
Viewed by 1299
Abstract
A cancer diagnosis disrupts the social networks of adolescents and young adults (AYAs), impacting their overall health and wellbeing. This cross-sectional study examined the social network integration (SNI; size and frequency of contact) of AYAs with cancer in Canada. A survey was distributed [...] Read more.
A cancer diagnosis disrupts the social networks of adolescents and young adults (AYAs), impacting their overall health and wellbeing. This cross-sectional study examined the social network integration (SNI; size and frequency of contact) of AYAs with cancer in Canada. A survey was distributed to AYAs with cancer at an urban cancer centre and across Canada (n = 334). SNI was measured with the Berkman–Syme Social Network Index (SNI) and a modified version accounting for online interactions (SNI+). A multivariable logistic regression analysis was performed to identify factors associated with SNI and SNI+. A total of 54.8% and 68% of AYAs with cancer were classified as socially integrated with each measure, respectively. Living with others was associated with greater SNI and SNI+ (SNI OR = 3.27, 95% CI = 1.39, 7.72; SNI+ OR = 2.52, 95% CI = 1.14, 5.58), and an annual personal income of >CAD 80,000 was associated with greater SNI+ (SNI+ OR = 2.92, 95% CI = 1.09, 7.77). A significant proportion of AYAs with cancer are socially isolated. AYAs with cancer who live alone and whose personal income is less than CAD 80,000 are at a higher risk of social isolation. Digital technology could be leveraged to increase the SNI of AYAs with cancer. Full article
(This article belongs to the Section Psychosocial Oncology)
29 pages, 5939 KB  
Article
Structure-Preserving Histopathological Stain Normalization via Attention-Guided Residual Learning
by Nuwan Madusanka, Prathiksha Padmanabha, Kasunika Guruge and Byeong-il Lee
Bioengineering 2025, 12(9), 950; https://doi.org/10.3390/bioengineering12090950 - 1 Sep 2025
Cited by 1 | Viewed by 1557
Abstract
Staining variability in histopathological images compromises automated diagnostic systems by affecting the reliability of computational pathology algorithms. Existing normalization methods prioritize color consistency but often sacrifice critical morphological details essential for accurate diagnosis. This work proposes a novel deep learning framework, integrating enhanced [...] Read more.
Staining variability in histopathological images compromises automated diagnostic systems by affecting the reliability of computational pathology algorithms. Existing normalization methods prioritize color consistency but often sacrifice critical morphological details essential for accurate diagnosis. This work proposes a novel deep learning framework, integrating enhanced residual learning with multi-scale attention mechanisms for structure-preserving stain normalization. The approach decomposes the transformation process into base reconstruction and residual refinement components, incorporating attention-guided skip connections and progressive curriculum learning. The method was evaluated on the MITOS-ATYPIA-14 dataset containing 1420 paired H&E-stained breast cancer images from two scanners. The framework achieved exceptional performance with a structural similarity index (SSIM) of 0.9663 ± 0.0076, representing 4.6% improvement over the best baseline (StainGAN). Peak signal-to-noise ratio (PSNR) reached 24.50 ± 1.57 dB, surpassing all comparison methods. An edge preservation loss of 0.0465 ± 0.0088 demonstrated a 35.6% error reduction compared to the next best method. Color transfer fidelity reached 0.8680 ± 0.0542 while maintaining superior perceptual quality (FID: 32.12, IS: 2.72 ± 0.18). The attention-guided residual learning framework successfully maintains structural integrity during stain normalization, with superior performance across diverse tissue types, making it suitable for clinical deployment in multi-institutional digital pathology workflows. Full article
(This article belongs to the Section Biosignal Processing)
Show Figures

Figure 1

17 pages, 1285 KB  
Article
Preliminary Outcomes of a Digital Remote Care Solution for Colorectal Cancer Patients
by Marta Chaparro-Mirete, Cristina González Callejas, María de los Ángeles García-Martínez, Jorge Ramos-Sanfiel, Maria Sol Zurita-Saavedra, Paola De Castro-Monedero, Javier Gómez-Sánchez, Ángela Argote-Camacho, Alfredo Ubiña-Martínez, Cristina González-Puga, Carlos Garde-Lecumberri, Teresa Nestares and Benito Mirón-Pozo
Cancers 2025, 17(16), 2622; https://doi.org/10.3390/cancers17162622 - 11 Aug 2025
Viewed by 1590
Abstract
Background/Objectives: Colorectal cancer (CRC) ranks third in the Western world in cancer incidence and second as the cause of cancer-related deaths. Despite advances in perioperative care, minimizing postoperative morbidity is crucial in clinical practice. Digitalization of the healthcare process plays a key [...] Read more.
Background/Objectives: Colorectal cancer (CRC) ranks third in the Western world in cancer incidence and second as the cause of cancer-related deaths. Despite advances in perioperative care, minimizing postoperative morbidity is crucial in clinical practice. Digitalization of the healthcare process plays a key role in genuinely and effectively engaging patients. Our aim was to evaluate a digital solution for remote monitoring of patients with CRC, from surgery indication to postoperative discharge. Methods: We developed a digital solution using Value Stream Mapping (VSM) to identify patient care flow and Lean Sigma for optimization and efficiency. We incorporated the Enhanced Recovery After Surgery (ERAS)/RICA pentamodal recommendations to create a program with an individualized schedule for each patient, who received tailored educational, medical, and practical information at every stage of the process. Results: A total of 193 patients used the digital solution, with >75% adhering to ERAS recommendations. The median length of hospital stay was 5 days, with low adherence leading to 3.4 (p = 0.628) or 3.27 (p = 0.642) extra days in the hospital compared to patients with intermediate and high adherence, respectively. The mean comprehensive complication index (CCI) was 9.1/100, which was higher in patients with low adherence (15) versus intermediate (8.17; p = 0.027) and high (7.42; p = 0.011) adherence. An increase in self-perception of quality of life by 9.2% was identified at the end of the process compared to the outcome at the beginning (p = 0.09), and 80% rated their overall satisfaction with the care process as 8 or higher out of 10. Conclusions: The digital solution facilitates the monitoring of CRC care and implementation and adherence to ERAS recommendations, improving patient engagement and satisfaction. Full article
(This article belongs to the Special Issue Rehabilitation Opportunities in Cancer Survivorship)
Show Figures

Figure 1

20 pages, 3087 KB  
Article
Droplet Digital PCR Improves Detection of BRCA1/2 Copy Number Variants in Advanced Prostate Cancer
by Phetploy Rungkamoltip, Natthapon Khongcharoen, Natakorn Nokchan, Zaukir Bostan Ali, Mooktapa Plikomol, Tanan Bejrananda, Sarayuth Boonchai, Sarawut Chamnina, Waritorn Srakhao and Pasarat Khongkow
Int. J. Mol. Sci. 2025, 26(14), 6904; https://doi.org/10.3390/ijms26146904 - 18 Jul 2025
Cited by 1 | Viewed by 2041
Abstract
BRCA1 and BRCA2 are associated with advanced prostate cancer progression and poor prognosis. Copy number variants (CNVs) of these genes play a crucial role in guiding targeted treatments, particularly for patients receiving PARP inhibitors. However, CNV detection using multiplex ligation-dependent probe amplification (MLPA) [...] Read more.
BRCA1 and BRCA2 are associated with advanced prostate cancer progression and poor prognosis. Copy number variants (CNVs) of these genes play a crucial role in guiding targeted treatments, particularly for patients receiving PARP inhibitors. However, CNV detection using multiplex ligation-dependent probe amplification (MLPA) is often limited by tumor heterogeneity, leading to ambiguous results. This study therefore aimed to evaluate BRCA1/2 CNVs in advanced prostate cancer patients using droplet digital PCR (ddPCR) and compare the results with MLPA. DNA from 11 advanced prostate cancer tissues was analyzed using both methods, in parallel with four cell lines and seven healthy volunteers. Our findings revealed that ddPCR effectively classified normal CNV groups—including normal control cell lines, healthy volunteers, and samples with normal MLPA final ratios—from deletion groups, which included deletion control cell lines, samples with deletion final ratios from MLPA, and cases with previously ambiguous results. Interestingly, two cases involving BRCA1 and one case involving BRCA2 exhibited ambiguous results using MLPA; however, ddPCR enabled more precise classification by applying the Youden Index from ROC analysis and identifying optimal cutoff values of 1.35 for BRCA1 and 1.55 for BRCA2. These optimal thresholds allowed ddPCR to effectively reclassify the ambiguous MLPA cases into the deletion group. Overall, ddPCR could offer a more sensitive and reliable approach for CNV detection in heterogeneous tissue samples and demonstrates strong potential as a biomarker tool for guiding targeted therapy in advanced prostate cancer patients. However, further validation in larger cohorts is necessary to optimize cutoff precision, confirm diagnostic performance, and evaluate the full clinical utility of ddPCR. Full article
(This article belongs to the Special Issue Molecular Diagnostics and Genomics of Tumors)
Show Figures

Figure 1

21 pages, 3581 KB  
Article
Association of Tumor-Infiltrating Lymphocytes and Inflammation Status with Survival Outcome in Patients with High-Grade Serous Ovarian Carcinoma
by Simona Miceska, Cvetka Grašič Kuhar, Snježana Frković Grazio, Erik Škof, Praveen Krishnamoorthy, Dineo Khabele and Veronika Kloboves Prevodnik
Cancers 2025, 17(14), 2269; https://doi.org/10.3390/cancers17142269 - 8 Jul 2025
Cited by 1 | Viewed by 1119
Abstract
Background/Objectives: Tumor-infiltrating lymphocytes (TILs) and inflammation status are emerging prognostic markers in various cancers, but their significance in high-grade serous ovarian carcinoma (HGSC) remains unclear. Our objective was to evaluate different TIL subtypes and inflammation status in relation to progression-free survival (PFS) [...] Read more.
Background/Objectives: Tumor-infiltrating lymphocytes (TILs) and inflammation status are emerging prognostic markers in various cancers, but their significance in high-grade serous ovarian carcinoma (HGSC) remains unclear. Our objective was to evaluate different TIL subtypes and inflammation status in relation to progression-free survival (PFS) in primary HGSC. Methods: CD3+/CD4+/CD8+/PD-1+ stromal TILs (sTILs) and intraepithelial TILs (iTILs) were evaluated by manual assessment and digital image analysis (DIA), following TIL Working Group recommendations. Inflammation status was evaluated through the following scores: systemic immune-inflammation index (SII), pan-immune-inflammation value (PIV), CA125, and lactate dehydrogenase (LDH). Results: CD8+ TILs were the most prevalent subtype in both iTILs and sTILs. However, sTILs were significantly more abundant than iTILs (p < 0.001) among all subsets, except for PD-1+ cells. DIA results of TIL assessments were in agreement with manual assessments. High stromal CD3+ and CD8+ TILs, PIV, CA125, and LDH, were associated with improved PFS. Potential independent prognostic factors for PFS in manual assessment were PIV (HR = 0.32, CI 95% = 0.12–0.82) and CD8+ sTILs (HR = 0.30, CI 95% = 0.12–0.79), whereas in DIA assessment they were CD3+ sTILs (HR = 0.31, CI 95% = 0.15–0.67), PIV (HR = 0.35, 95% CI 0.13–0.96), and residual disease (HR = 0.21 95% CI 0.08–0.53). Conclusions: CD3+/CD8+ sTILs and PIV are promising prognostic indicators in HGSC; however, further research is needed to confirm their clinical utility. Full article
Show Figures

Figure 1

16 pages, 1312 KB  
Article
Detection Rates of Prostate Cancer Across Prostatic Zones Using Freehand Single-Access Transperineal Fusion Biopsies
by Filippo Carletti, Giuseppe Reitano, Eleonora Martina Toffoletto, Arianna Tumminello, Elisa Tonet, Giovanni Basso, Martina Bruniera, Anna Cacco, Elena Rebaudengo, Giorgio Saggionetto, Giovanni Betto, Giacomo Novara, Fabrizio Dal Moro and Fabio Zattoni
Cancers 2025, 17(13), 2206; https://doi.org/10.3390/cancers17132206 - 30 Jun 2025
Cited by 2 | Viewed by 829
Abstract
Background/Objectives: It remains unclear whether certain areas of the prostate are more difficult to accurately sample using MRI/US-fusion-guided freehand single-access transperineal prostate biopsy (FSA-TP). The aim of this study was to evaluate the detection rates of clinically significant (cs) and clinically insignificant [...] Read more.
Background/Objectives: It remains unclear whether certain areas of the prostate are more difficult to accurately sample using MRI/US-fusion-guided freehand single-access transperineal prostate biopsy (FSA-TP). The aim of this study was to evaluate the detection rates of clinically significant (cs) and clinically insignificant (ci) prostate cancer (PCa) in each prostate zone during FSA-TP MRI-target biopsies (MRI-TBs) and systematic biopsies (SB). Methods: This monocentric observational study included a cohort of 277 patients with no prior history of PCa who underwent 3 MRI-TB cores and 14 SB cores with an FSA-TP from January to December 2023. The intraclass correlation coefficient (ICC) was assessed to evaluate the correlation between the Prostate Imaging–Reporting and Data System (PI-RADS) of the index lesion and the International Society of Urological Pathology (ISUP) grade stratified according to prostate zone and region of index lesion at MRI. Multivariate logistic regression analysis was conducted to identify factors associated with PCa and csPCa in patients with discordant results between MRI-TB and SB. Results: FSA-TP-MRI-TB demonstrated higher detection rates of both ciPCa and csPCa in the anterior, apical, and intermediate zones when each of the three MRI-TB cores was analysed separately (p < 0.01). However, when all MRI-TB cores were combined, no significant differences were observed in detection rates across prostate zones (apex, mid, base; p = 0.57) or regions (anterior vs. posterior; p = 0.34). Concordance between radiologic and histopathologic findings, as measured by the intraclass correlation coefficient (ICC), was similar across all zones (apex ICC: 0.33; mid ICC: 0.34; base ICC: 0.38) and regions (anterior ICC: 0.42; posterior ICC: 0.26). Univariate analysis showed that in patients with PCa detected on SB but with negative MRI-TB, older age was the only significant predictor (p = 0.04). Multivariate analysis revealed that patients with PCa detected on MRI-TB but with negative SB, only PSA remained a significant predictor (OR 1.2, 95% CI 1.1–1.4; p = 0.01). In cases with csPCa detected on MRI-TB but with negative SB, age (OR: 1.0, 95% CI 1.0–1.1; p = 0.02), positive digital rectal examination (OR: 2.0, 95% CI 1.1–3.8; p = 0.03), PI-RADS score >3 (OR: 4.5, 95% CI 1.7–12.1; p < 0.01), and larger lesion size (OR: 1.1, 95% CI 1.1–1.2; p < 0.01) were significant predictors. Conclusions: FSA-TP using 14 SB cores and 3 MRI-TB cores ensures comprehensive sampling of all prostate regions, including anterior and apical zones, without significant differences in detection rates between nodules across different zones. Only in a small percentage of patients was csPCa detected exclusively by SB, highlighting the small but important complementary value of combining SB and MRI-TB. Full article
Show Figures

Figure 1

16 pages, 497 KB  
Article
Numerical Analysis of a SiN Digital Fourier Transform Spectrometer for a Non-Invasive Skin Cancer Biosensor
by Miguel Ángel Nava Blanco and Gerardo Antonio Castañón Ávila
Sensors 2025, 25(12), 3792; https://doi.org/10.3390/s25123792 - 18 Jun 2025
Viewed by 893
Abstract
Early detection and continuous monitoring of diseases are critical to improving patient outcomes, treatment adherence, and diagnostic accuracy. Traditional melanoma diagnosis relies primarily on visual assessment and biopsy, with reported accuracies ranging from 50% to 90% and significant inter-observer variability. Among emerging diagnostic [...] Read more.
Early detection and continuous monitoring of diseases are critical to improving patient outcomes, treatment adherence, and diagnostic accuracy. Traditional melanoma diagnosis relies primarily on visual assessment and biopsy, with reported accuracies ranging from 50% to 90% and significant inter-observer variability. Among emerging diagnostic technologies, Raman spectroscopy has demonstrated considerable promise for non-invasive disease detection, particularly in early-stage skin cancer identification. A portable, real-time Raman spectroscopy system could significantly enhance diagnostic precision, reduce biopsy reliance, and expedite diagnosis. However, miniaturization of Raman spectrometers for portable use faces significant challenges, including weak signal intensity, fluorescence interference, and inherent trade-offs between spectral resolution and the signal-to-noise ratio. Recent advances in silicon photonics present promising solutions by facilitating efficient light collection, enhancing optical fields via high-index-contrast waveguides, and allowing compact integration of photonic components. This work introduces a numerical analysis of an integrated digital Fourier transform spectrometer implemented on a silicon-nitride (SiN) platform, specifically designed for Raman spectroscopy. The proposed system employs a switch-based digital Fourier transform spectrometer architecture coupled with a single optical power meter for detection. Utilizing a regularized regression method, we successfully reconstructed Raman spectra in the 800 cm−1 to 1800 cm−1 range, covering spectra of both benign and malignant skin lesions. Our results demonstrate the capability of the proposed system to effectively differentiate various skin cancer types, highlighting its feasibility as a non-invasive diagnostic sensor. Full article
(This article belongs to the Section Optical Sensors)
Show Figures

Figure 1

11 pages, 784 KB  
Article
The Safety and Efficacy of Vascular-Targeted Photodynamic Therapy in Low-Risk Prostate Cancer
by Pietro Saldutto, Fernando Cavacece, Roberto La Rocca, Ernesto Di Mauro, Vittore Verratti, Giuseppe Massimo Sangiorgi, Walter Vena, Gianluigi Patelli, Fabrizio Iacono, Francesco Di Bello, Luigi Napolitano and Vincenzo Maria Altieri
Cancers 2025, 17(4), 661; https://doi.org/10.3390/cancers17040661 - 16 Feb 2025
Viewed by 1994
Abstract
Background: Prostate cancer (PCa) is one of the most prevalent cancers in the world. Standard methods of screening and diagnosis for prostate cancer have been effective but can result in overtreatment of indolent prostate cancer, leading to increased morbidity. Multiparametric magnetic resonance imaging [...] Read more.
Background: Prostate cancer (PCa) is one of the most prevalent cancers in the world. Standard methods of screening and diagnosis for prostate cancer have been effective but can result in overtreatment of indolent prostate cancer, leading to increased morbidity. Multiparametric magnetic resonance imaging (MRI) and fusion biopsy are effective tools to achieve better diagnostic accuracy. A combination of multiparametric MRI and photodynamic therapy can be used as an alternative to active surveillance in low-risk prostate cancer to better detect disease progression while avoiding overtreatment. Methods: We conducted a retrospective multicenter study on 13 patients with low-risk prostate cancer who underwent vascular-targeted photodynamic therapy. The patients were evaluated for up to 15 months after the procedure using biochemical parameters like serum Prostate Specific Antigen (PSA), digital rectal examination, multiparametric MRI, and functional parameters like the International Prostate Symptom Score (IPSS), the 15-question International Index of Erectile Function questionnaire (IIEF-5), quality of life score (QoL), the International Consultation on Incontinence Questionnaire-Short Form (ICIQ-SF), and a uroflowmetry examination. Results: The patients did not experience any significant complications during or after the treatment. A decrease in serum PSA and prostate volume was observed from 7.38 ng/mL to 3.8 ng/ml with functional improvement evidenced by a decrease in the IPSS (from 15.4 to 11), QoL (from 3.15 to 2), and the IIEF-5 (from 17.23 to 16) score, and an improvement in uroflowmetry. Conclusion: Vascular-targeted photodynamic therapy is a safe and effective alternative to active surveillance in patients with low-risk prostate cancer. Full article
(This article belongs to the Special Issue Clinical Treatment and Prognostic Factors of Urologic Cancer)
Show Figures

Figure 1

17 pages, 2035 KB  
Article
Dual Functions of Androgen Receptor Overexpression in Triple-Negative Breast Cancer: A Complex Prognostic Marker
by Umay Kiraz, Emma Rewcastle, Silja K. Fykse, Ingrid Lundal, Einar G. Gudlaugsson, Ivar Skaland, Håvard Søiland, Jan P. A. Baak and Emiel A. M. Janssen
Bioengineering 2025, 12(1), 54; https://doi.org/10.3390/bioengineering12010054 - 10 Jan 2025
Cited by 3 | Viewed by 2005
Abstract
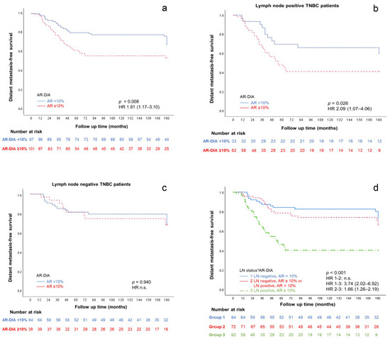
A subset of triple-negative breast cancer (TNBC) expresses the androgen receptor (AR), but thresholds for AR positivity and its clinical significance vary. We hypothesize that objective assessment outperforms subjective methods, and that high AR negatively impacts prognosis. In a population-based TNBC cohort ( [...] Read more.
A subset of triple-negative breast cancer (TNBC) expresses the androgen receptor (AR), but thresholds for AR positivity and its clinical significance vary. We hypothesize that objective assessment outperforms subjective methods, and that high AR negatively impacts prognosis. In a population-based TNBC cohort (n = 198) with long follow-up (4–383 months), AR expression was evaluated via subjective scoring (AR-Manual) and automated digital image analysis (AR-DIA). A 10% cut-off value via AR-DIA was the strongest negative prognostic threshold for distant metastases (p = 0.008). High AR-DIA correlated with lower grade (p = 0.014), and lower proliferation (p = 0.004) but also with larger tumors (p = 0.047), distant metastasis (p = 0.052), and lymph node (LN) positivity (p < 0.001), highlighting its dual roles. Multivariate analysis revealed interaction between LN status and AR-DIA (p < 0.001) as the strongest prognostic factor, followed by fibrotic focus (FF; p = 0.009), mitotic activity index (MAI; p = 0.018), and stromal tumor-infiltrating lymphocytes (sTILs; p = 0.041). AR-DIA had no additional prognostic value in favorable subgroups but was significant in unfavorable subgroups. In high AR-DIA patients with unfavorable characteristics, ACT did not improve survival, and patients may benefit from AR-targeted therapy. Overall, the DIA method provides reproducibility, high AR-DIA (≥10%) shows opposing survival effects in different TNBC subgroups, and AR evaluation is crucial for prognosis and AR-targeted therapies. Full article
(This article belongs to the Section Biomedical Engineering and Biomaterials)
Show Figures

Figure 1

24 pages, 1474 KB  
Article
Development, Content Validity and Usability of a Self-Assessment Instrument for the Lifestyle of Breast Cancer Survivors in Brazil
by Jaqueline Schroeder de Souza, Nathalie Kliemann, Francilene Gracieli Kunradi Vieira, Aline Al Nahas, Luiza Kuhnen Reitz, Elom Kouassivi Aglago, Cândice Laís Knöner Copetti, Lilian Cardoso Vieira, Inge Huybrechts, Nivaldo Barroso de Pinho and Patricia Faria Di Pietro
Nutrients 2024, 16(21), 3707; https://doi.org/10.3390/nu16213707 - 30 Oct 2024
Viewed by 2806
Abstract
Background/Objectives: Breast cancer is the most common cancer among women globally, and it negatively impacts diet and quality of life, increasing the risk of recurrence. Adhering to World Cancer Research Fund (WCRF) and American Institute for Cancer Research (AICR) lifestyle guidelines, such as [...] Read more.
Background/Objectives: Breast cancer is the most common cancer among women globally, and it negatively impacts diet and quality of life, increasing the risk of recurrence. Adhering to World Cancer Research Fund (WCRF) and American Institute for Cancer Research (AICR) lifestyle guidelines, such as healthy eating habits and nutritional status, can help in primary and secondary cancer prevention. However, no questionnaire was found for self-assessment of these guidelines for the Brazilian population. The aim of this study is to carry out content validity, pilot, and usability testing of the self-administered digital instrument “PrevCancer” assessing adherence to the WCRF/AICR recommendations in Brazilian female breast cancer survivors. Methods: We conducted a psychometric study that involved the development of an instrument based on WCRF/AICR recommendations. Assessment of content validity involved the Content Validity Index (CVI) based on expert assessments (n = 7). The pilot study involved the System Usability Scale (SUS) after applying the developed instrument (n = 65) and anthropometric assessment for convergent validity by female participants (n = 55). The final usability test consisted of evaluating the satisfaction with the instrument of women with breast cancer (n = 14). Results: The “PrevCancer” instrument demonstrated good content (CVI = 1.0) as well as good usability and acceptability in the pilot study (mean SUS score = 88.1). The convergent validity stage demonstrated positive associations between the PrevCancer parameters and anthropometric parameters (p < 0.001). In the final usability study (mean SUS score = 90.3), participants’ receptivity to the instrument was excellent. Conclusions: The PrevCancer instrument had valid content and great usability by the target population, proving to be a useful tool for future cancer research. Full article
(This article belongs to the Special Issue Dietary Approaches and Prevention of Chronic Diseases)
Show Figures

Figure 1

45 pages, 31956 KB  
Article
Early Breast Cancer Detection Using Artificial Intelligence Techniques Based on Advanced Image Processing Tools
by Zede Zhu, Yiran Sun and Barmak Honarvar Shakibaei Asli
Electronics 2024, 13(17), 3575; https://doi.org/10.3390/electronics13173575 - 9 Sep 2024
Cited by 18 | Viewed by 9526
Abstract
The early detection of breast cancer is essential for improving treatment outcomes, and recent advancements in artificial intelligence (AI), combined with image processing techniques, have shown great potential in enhancing diagnostic accuracy. This study explores the effects of various image processing methods and [...] Read more.
The early detection of breast cancer is essential for improving treatment outcomes, and recent advancements in artificial intelligence (AI), combined with image processing techniques, have shown great potential in enhancing diagnostic accuracy. This study explores the effects of various image processing methods and AI models on the performance of early breast cancer diagnostic systems. By focusing on techniques such as Wiener filtering and total variation filtering, we aim to improve image quality and diagnostic precision. The novelty of this study lies in the comprehensive evaluation of these techniques across multiple medical imaging datasets, including a DCE-MRI dataset for breast-tumor image segmentation and classification (BreastDM) and the Breast Ultrasound Image (BUSI), Mammographic Image Analysis Society (MIAS), Breast Cancer Histopathological Image (BreakHis), and Digital Database for Screening Mammography (DDSM) datasets. The integration of advanced AI models, such as the vision transformer (ViT) and the U-KAN model—a U-Net structure combined with Kolmogorov–Arnold Networks (KANs)—is another key aspect, offering new insights into the efficacy of these approaches in different imaging contexts. Experiments revealed that Wiener filtering significantly improved image quality, achieving a peak signal-to-noise ratio (PSNR) of 23.06 dB and a structural similarity index measure (SSIM) of 0.79 using the BreastDM dataset and a PSNR of 20.09 dB with an SSIM of 0.35 using the BUSI dataset. When combined filtering techniques were applied, the results varied, with the MIAS dataset showing a decrease in SSIM and an increase in the mean squared error (MSE), while the BUSI dataset exhibited enhanced perceptual quality and structural preservation. The vision transformer (ViT) framework excelled in processing complex image data, particularly with the BreastDM and BUSI datasets. Notably, the Wiener filter using the BreastDM dataset resulted in an accuracy of 96.9% and a recall of 96.7%, while the combined filtering approach further enhanced these metrics to 99.3% accuracy and 98.3% recall. In the BUSI dataset, the Wiener filter achieved an accuracy of 98.0% and a specificity of 98.5%. Additionally, the U-KAN model demonstrated superior performance in breast cancer lesion segmentation, outperforming traditional models like U-Net and U-Net++ across datasets, with an accuracy of 93.3% and a sensitivity of 97.4% in the BUSI dataset. These findings highlight the importance of dataset-specific preprocessing techniques and the potential of advanced AI models like ViT and U-KAN to significantly improve the accuracy of early breast cancer diagnostics. Full article
(This article belongs to the Special Issue Image Segmentation, 2nd Edition)
Show Figures

Figure 1

22 pages, 5368 KB  
Article
Digital Whole Slide Image Analysis of Elevated Stromal Content and Extracellular Matrix Protein Expression Predicts Adverse Prognosis in Triple-Negative Breast Cancer
by Zsófia Karancsi, Barbara Gregus, Tibor Krenács, Gábor Cserni, Ágnes Nagy, Klementina Fruzsina Szőcs-Trinfa, Janina Kulka and Anna Mária Tőkés
Int. J. Mol. Sci. 2024, 25(17), 9445; https://doi.org/10.3390/ijms25179445 - 30 Aug 2024
Cited by 2 | Viewed by 2432
Abstract
Triple-negative breast cancer (TNBC) is a subtype of breast cancer with a poor prognosis and limited treatment options. This study evaluates the prognostic value of stromal markers in TNBC, focusing on the tumor–stroma ratio (TSR) and overall stroma ratio (OSR) in whole slide [...] Read more.
Triple-negative breast cancer (TNBC) is a subtype of breast cancer with a poor prognosis and limited treatment options. This study evaluates the prognostic value of stromal markers in TNBC, focusing on the tumor–stroma ratio (TSR) and overall stroma ratio (OSR) in whole slide images (WSI), as well as the expression of type-I collagen, type-III collagen, and fibrillin-1 on tissue microarrays (TMAs), using both visual assessment and digital image analysis (DIA). A total of 101 female TNBC patients, primarily treated with surgery between 2005 and 2016, were included. We found that high visual OSR correlates with worse overall survival (OS), advanced pN categories, lower stromal tumor-infiltrating lymphocyte count (sTIL), lower mitotic index, and patient age (p < 0.05). TSR showed significant connections to the pN category and mitotic index (p < 0.01). High expression levels of type-I collagen (>45%), type-III collagen (>30%), and fibrillin-1 (>20%) were linked to significantly worse OS (p = 0.004, p = 0.013, and p = 0.005, respectively) and progression-free survival (PFS) (p = 0.028, p = 0.025, and p = 0.002, respectively), validated at the mRNA level. Our results highlight the importance of stromal characteristics in promoting tumor progression and metastasis and that targeting extracellular matrix (ECM) components may offer novel therapeutic strategies. Furthermore, DIA can be more accurate and objective in evaluating TSR, OSR, and immunodetected stromal markers than traditional visual examination. Full article
(This article belongs to the Special Issue Biomarkers of Tumor Progression, Prognosis and Therapy: 2nd Edition)
Show Figures

Figure 1

15 pages, 2324 KB  
Article
Revolutionizing Prostate Whole-Slide Image Super-Resolution: A Comparative Journey from Regression to Generative Adversarial Networks
by Anil B. Gavade, Kartik A. Gadad, Priyanka A. Gavade, Rajendra B. Nerli and Neel Kanwal
Uro 2024, 4(3), 89-103; https://doi.org/10.3390/uro4030007 - 27 Jun 2024
Viewed by 2146
Abstract
Microscopic and digital whole-slide images (WSIs) often suffer from limited spatial resolution, hindering accurate pathological analysis and cancer diagnosis. Improving the spatial resolution of these pathology images is crucial, as it can enhance the visualization of fine cellular and tissue structures, leading to [...] Read more.
Microscopic and digital whole-slide images (WSIs) often suffer from limited spatial resolution, hindering accurate pathological analysis and cancer diagnosis. Improving the spatial resolution of these pathology images is crucial, as it can enhance the visualization of fine cellular and tissue structures, leading to more reliable and precise cancer detection and diagnosis. This paper presents a comprehensive comparative study on super-resolution (SR) reconstruction techniques for prostate WSI, exploring a range of machine learning, deep learning, and generative adversarial network (GAN) algorithms. The algorithms investigated include regression, sparse learning, principal component analysis, bicubic interpolation, multi-support vector neural networks, an SR convolutional neural network, and an autoencoder, along with advanced SRGAN-based methods. The performance of these algorithms was meticulously evaluated using a suite of metrics, such as the peak signal-to-noise ratio (PSNR), structural similarity index metrics (SSIMs), root-mean-squared error, mean absolute error and mean structural similarity index metrics (MSSIMs). The comprehensive study was conducted on the SICAPv2 prostate WSI dataset. The results demonstrated that the SRGAN algorithm outperformed other algorithms by achieving the highest PSNR value of 26.47, an SSIM of 0.85, and an MSSIM of 0.92, by 4× magnification of the input LR image, preserving the image quality and fine details. Therefore, the application of SRGAN offers a budget-friendly counter to the high-cost challenge of acquiring high-resolution pathology images, enhancing cancer diagnosis accuracy. Full article
Show Figures

Figure 1

Back to TopTop