Sign in to use this feature.

Years

Between: -

Subjects

remove_circle_outline
remove_circle_outline
remove_circle_outline
remove_circle_outline
remove_circle_outline
remove_circle_outline
remove_circle_outline
remove_circle_outline
remove_circle_outline

Journals

Article Types

Countries / Regions

Search Results (233)

Search Parameters:
Keywords = cable-supported structure

Order results
Result details
Results per page
Select all
Export citation of selected articles as:
20 pages, 4227 KB  
Article
Wind-Resistant Configuration of Double-Layer Cable-Supported Flexible Photovoltaic Array Based on Interference Effect Analysis
by Yi Tang, Yuxiang Wu, Wei Hao, Yalin Yan and Honghai Li
Energies 2026, 19(5), 1266; https://doi.org/10.3390/en19051266 - 3 Mar 2026
Abstract
This study investigates the wind-resistant configuration of a seven-row single-span double-layer cable-supported photovoltaic (PV) array through conducting systematic analysis of the interference effect. Wind tunnel pressure measurement tests were conducted on a rigid model to obtain the wind force coefficients and torque coefficients [...] Read more.
This study investigates the wind-resistant configuration of a seven-row single-span double-layer cable-supported photovoltaic (PV) array through conducting systematic analysis of the interference effect. Wind tunnel pressure measurement tests were conducted on a rigid model to obtain the wind force coefficients and torque coefficients under different wind directions. The time histories of wind pressure obtained from the tests were imported into a finite element (FE) model to calculate the vertical displacement and torsional angle responses. The wind-induced responses of different configurations with varying quantities and arrangements of longitudinal connections and wind-resistant cables were analyzed. The results indicate that in the case of head-on wind, wind force is the most unfavorable, and the correlation between wind force and torque is relatively low. In the case of oblique incoming flow, torque is the most adverse, and the correlation between wind force and torque increases. Directions of vertical displacement are opposite in windward and leeward wind scenarios, but directions of torsion angle remain consistent. Overall, the wind-induced responses at mid-span are greater than those at the edge, and the first-row response is more significant than that of the subsequent rows. The wind-induced vibration under windward flow conditions is more adverse when compared to that under leeward flow conditions. However, the downstream adverse interference effect caused by leeward incoming flow is more prominent. Based on the comprehensive analysis of wind loads and wind-induced responses, the whole structure is divided into three zones, namely, wind-induced response control zone, local wind pressure control zone, and wind effect transition zone. A wind-resistant configuration with longitudinal connection arrangements considering both safety and economic benefits is proposed, which provides a reference for the wind-resistant design of similar structures. Full article
(This article belongs to the Section A2: Solar Energy and Photovoltaic Systems)
22 pages, 19137 KB  
Review
Submarine Cable Systems: A Review of Installation, Monitoring, and Maintenance Processes and Technologies
by Dinghua Zhang, Yuanyuan Guo, Qingqing Yuan, Zirong Ni, Hongyang Xu, Xiao Liu and Huabin Qiu
Processes 2026, 14(5), 821; https://doi.org/10.3390/pr14050821 - 2 Mar 2026
Abstract
Submarine cable systems are essential for intercontinental connectivity and the integration of offshore renewable energy into onshore grids. The reliability of these systems depends on a well-coordinated life cycle process that integrates installation, monitoring, and maintenance technologies. This review synthesizes the key components [...] Read more.
Submarine cable systems are essential for intercontinental connectivity and the integration of offshore renewable energy into onshore grids. The reliability of these systems depends on a well-coordinated life cycle process that integrates installation, monitoring, and maintenance technologies. This review synthesizes the key components of submarine communication and power cables, highlighting the processes involved in route survey, cable laying, and burial under complex seabed conditions. The major factors contributing to damage are typically classified into natural hazards and human activities. Particular attention is given to fault diagnosis techniques, including optical time domain reflectometry (OTDR) and time domain reflectometry (TDR). Additionally, practical workflows and processes for fault location and cable repair are outlined. By structuring advancements across installation, monitoring, and maintenance processes, this review offers a comprehensive technical reference for researchers and practitioners, while emphasizing emerging trends aimed at enhancing system resilience, real-time situational awareness, and rapid response, thus supporting global digitalization and the transition to clean energy. Full article
(This article belongs to the Topic Marine Energy)
Show Figures

Figure 1

25 pages, 4334 KB  
Article
An Enhanced Ant Colony Optimization Approach for Aerospace Cable Routing
by Bingyan Li, Weixiong Peng, Huiping Huang, Wenzhi Xiao, Gongping Liu and Xiaoli Qiao
Electronics 2026, 15(5), 994; https://doi.org/10.3390/electronics15050994 (registering DOI) - 27 Feb 2026
Viewed by 100
Abstract
To address the challenges of dense structural layouts, limited path feasibility, and stringent assembly constraints in cable routing within complex compartments of aerospace equipment, this paper proposes a cable path planning method that integrates Bidirectional Crossing Line Pruning (BCLP) with an improved ant [...] Read more.
To address the challenges of dense structural layouts, limited path feasibility, and stringent assembly constraints in cable routing within complex compartments of aerospace equipment, this paper proposes a cable path planning method that integrates Bidirectional Crossing Line Pruning (BCLP) with an improved ant colony optimization (IACO) algorithm. First, a hierarchical activation strategy for key obstacles is realized by constructing primary and extended crossing lines. On this basis, the BCLP algorithm is introduced, combining global perspective with local reduction capability to significantly reduce the complexity of the search space. Second, in line with cable assembly process requirements, a composite heuristic function is formulated by integrating obstacle-crossing cost and bending penalty. Additionally, a multi-objective-driven pheromone update model is developed to enhance the routing process’ feasibility and convergence performance. Experimental results across various aerospace cabling simulation scenarios demonstrate that the proposed method achieves an average reduction of 19.6% in multi-objective process cost and a 68.5% improvement in convergence efficiency compared to traditional visual graph methods combined with standard ACO. The approach provides effective support for the automation and intelligent planning of cable layouts in complex environments, offering strong potential for engineering applications. Full article
(This article belongs to the Section Industrial Electronics)
Show Figures

Figure 1

19 pages, 2804 KB  
Article
BOTDR Monitoring of Tensile State in Three-Core Fiber-Optic Composite Submarine Cables with a Three-Layer Mechanical Structure and Dual-Threshold Sensing Model
by Manting Guo, Yanpeng Hao, Yashuang Zheng, Busheng Chen, Xin Yu and Licheng Li
J. Mar. Sci. Eng. 2026, 14(4), 390; https://doi.org/10.3390/jmse14040390 - 19 Feb 2026
Viewed by 189
Abstract
Submarine cables are critical components for power transmission in offshore wind farms, making their condition monitoring paramount for ensuring operational reliability. Addressing unclear strain transfer and underdeveloped Brillouin optical time-domain reflectometry (BOTDR) sensing models for three-core fiber-optic composite submarine cables, this study investigated [...] Read more.
Submarine cables are critical components for power transmission in offshore wind farms, making their condition monitoring paramount for ensuring operational reliability. Addressing unclear strain transfer and underdeveloped Brillouin optical time-domain reflectometry (BOTDR) sensing models for three-core fiber-optic composite submarine cables, this study investigated a 66 kV cable and clarified a BOTDR monitoring principle based on the three-layer mechanical structure. Using the external optical unit’s average Brillouin shift for temperature compensation, four characteristic parameters (Δvy, Δvp, vm, vF) were analyzed. The results show the optical unit’s tensile strain-induced Brillouin shift exhibits periodic distribution along the cable. The stable average peak vF achieved a correlation coefficient of 0.98 with tensile load Fi. A dual-threshold sensing model was established: no shift response below F0 = 90 kN (7.84% Rated Tensile Strength (RTS)); strong linear correlation between vF and Fi beyond Fm = 110 kN (9.58% RTS) with a tensile sensitivity coefficient of 0.03788 MHz/kN. This study provides key BOTDR technical support for submarine cable tensile monitoring in complex marine environments. Full article
Show Figures

Figure 1

23 pages, 13071 KB  
Article
Pneumatic–Cable-Hybrid-Driven Multi-Mechanism End Effector and Cross-Surface Validation
by Zhongyuan Wang, Zhiyuan Weng, Peiqing Zhang, Wei Jiang, Nan Deng and Zhouyi Wang
Biomimetics 2026, 11(2), 140; https://doi.org/10.3390/biomimetics11020140 - 12 Feb 2026
Viewed by 427
Abstract
Wall-climbing robots are increasingly required for applications in aerospace, high-altitude operations, and complex environmental monitoring, where they must maintain reliable adhesion and continuous mobility across surfaces with rapidly changing material properties and roughness. Achieving these demands requires lightweight systems with end effectors that [...] Read more.
Wall-climbing robots are increasingly required for applications in aerospace, high-altitude operations, and complex environmental monitoring, where they must maintain reliable adhesion and continuous mobility across surfaces with rapidly changing material properties and roughness. Achieving these demands requires lightweight systems with end effectors that integrate multi-surface adaptability and load-carrying capacity. Current single adhesion mechanisms are typically effective only under specific wall conditions, making it challenging to achieve stable, continuous adhesion and detachment on surfaces with significantly different roughness. To address this limitation, we propose a flexible, multi-mechanism coupled end effector driven by a pneumatic–cable hybrid system, integrating two complementary adhesion mechanisms—claw-based interlocking and vacuum suction—into a unified flexible structure. First, we develop the overall structural framework of the end effector and conduct finite element simulations to analyze key structural parameters of the telescopic cavity. We then establish a contact force model between the claw and vertical rough surfaces to clarify the interlocking adhesion mechanism and determine critical geometric parameters. Based on these analyses, a cable-driven adjustment mechanism is introduced to enable dynamic self-adaptation and assist with load-bearing during adhesion, enhancing the stability and load-carrying capacity under varying wall conditions. On rough surfaces, the end effector achieves reliable adhesion through claw interlocking, while on smooth surfaces, it maintains stable attachment through vacuum suction. Furthermore, it supports seamless switching between adhesion modes on different surfaces. When integrated into a wall-climbing robot, the system enables stable adhesion and detachment on both rough and smooth surfaces, providing a feasible solution for the lightweight, integrated design of end effectors for multi-surface adaptive wall-climbing robots. Full article
(This article belongs to the Section Biomimetic Surfaces and Interfaces)
Show Figures

Figure 1

23 pages, 5224 KB  
Article
Study on the Mechanical Response of Inflatable Ribbed Arch Structures Under Wind and Snow Loads
by Kaizhe Du, Qian Zhang, Ya Zhou, Runmin Qian, Changlong Shi, Seungdeog Kim and Jianguo Cai
Buildings 2026, 16(4), 748; https://doi.org/10.3390/buildings16040748 - 12 Feb 2026
Viewed by 173
Abstract
Inflatable structures have attracted increasing attention in recent years due to their light weight, translucency, rapid assembly or disassembly, mobility, and self-cleaning performance. Meanwhile, their flexible characteristics and low-damping behavior render the structures prone to significant deformation and vibration under wind and snow [...] Read more.
Inflatable structures have attracted increasing attention in recent years due to their light weight, translucency, rapid assembly or disassembly, mobility, and self-cleaning performance. Meanwhile, their flexible characteristics and low-damping behavior render the structures prone to significant deformation and vibration under wind and snow loads and may even lead to structural failure. Therefore, numerous researchers have conducted in-depth investigations into the mechanical response of such structures under wind and snow loads. However, existing studies on inflatable structures subjected to wind and snow loads have mainly focused on an air-supported form, and the mechanical behavior of inflatable ribbed arch structures has not yet been sufficiently investigated. To investigate the mechanical behavior and deformation patterns of inflatable ribbed arch structures subjected to wind and snow loads, static tests were conducted on three specimens with varying spans, heights, and cable arrangements. Following inflation to an internal pressure of 250 kPa and preloading with the tarpaulin weight, the wind load and snow load were converted to the equivalent concentrated loads and applied in five incremental stages. Displacement monitoring points (DMPs) were tracked using a total station. Under the wind load, a consistent wind-induced deformation pattern was observed across specimens characterized by inward displacement in Region I, upward displacement in Region II, and negligible change in Region III. The maximum horizontal displacements of Specimens A, B, and C were 76 mm, 140 mm, and 249 mm, respectively. Under snow load, the upper sections of all three specimens experienced significant downward displacement, while both sides demonstrated a slight tendency for outward expansion and upward lift. The maximum vertical displacements of Specimens A, B, and C were −27 mm, −233 mm, and −255 mm, respectively. The findings of this study provide deeper insights into the mechanical behavior of inflatable arch structures under wind and snow loads and can serve as a valuable reference for their design and optimization. Full article
Show Figures

Figure 1

18 pages, 5767 KB  
Article
Temperature-Dependent Tensile Degradation of HDPE Sheaths for Bridge Cables Considering UV–Chloride Exposure
by Jing Wang, Haochen Duan, Quanming Zhao, Qingling Meng and Ke Zhang
Buildings 2026, 16(4), 736; https://doi.org/10.3390/buildings16040736 - 11 Feb 2026
Viewed by 250
Abstract
As the principal load-bearing components of cable-supported bridges, cables are critical to structural safety, and their durability is strongly governed by the integrity of high-density polyethylene (HDPE) sheaths. Prolonged exposure to ultraviolet (UV) radiation and chloride-rich environments can significantly degrade the mechanical performance [...] Read more.
As the principal load-bearing components of cable-supported bridges, cables are critical to structural safety, and their durability is strongly governed by the integrity of high-density polyethylene (HDPE) sheaths. Prolonged exposure to ultraviolet (UV) radiation and chloride-rich environments can significantly degrade the mechanical performance of HDPE sheaths. To clarify the degradation behavior, HDPE sheaths were pre-exposed to UV alone, chloride alone, or a sequential two-stage UV–chloride protocol (with a single switch). Subsequently, uniaxial tensile tests were performed at different loading temperatures. The yield strength and O–A secant modulus decreased monotonically with increasing pre-exposure duration. A pronounced sequence effect was observed, with UV pre-exposure followed by chloride exposure causing greater deterioration than the reverse order. Under UV alone, the maximum reductions in yield strength and O–A secant modulus were 19.81% and 46.21%, respectively; under chloride alone, they were 10.97% and 22.00%; and under the sequential UV–chloride exposure, they were 31.97% and 26.24%. Moreover, the tensile response showed strong temperature sensitivity: under otherwise identical pre-exposure conditions, the yield strength measured at 60 °C was 64.89% lower than that measured at −10 °C, representing the maximum reduction within the investigated temperature range. Full article
Show Figures

Figure 1

23 pages, 7796 KB  
Article
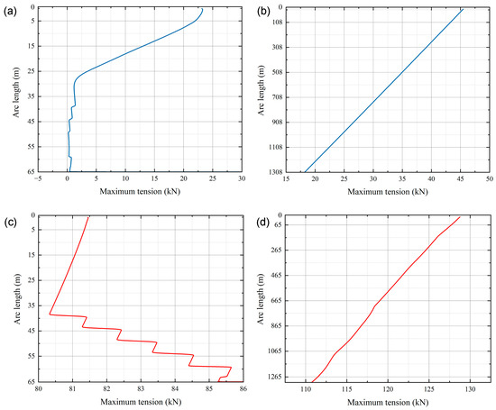
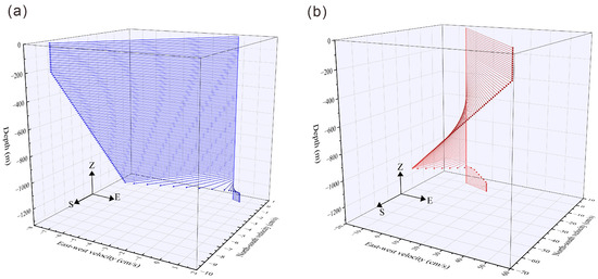
Study on Single-Point Mooring Cables for Stereoscopic Environmental Monitoring in the Natural Gas Hydrate Area of the South China Sea
by Yifei Dong, Shuangling Dai, Qianyong Liang, Jiawang Chen, Haojie Si, Binbin Guo, Andi Xu, Dongqing Ma, Zhigang Wang, Danyi Su, Xuemin Wu, Yan Sheng, Zhifeng Zhang, Feng Zhang and Yuan Lin
J. Mar. Sci. Eng. 2026, 14(4), 348; https://doi.org/10.3390/jmse14040348 - 11 Feb 2026
Viewed by 203
Abstract
Safe exploitation of the marine natural gas hydrate (NGH) resource is essential to meet the demand of the future energy requirement. To enable real-time monitoring of methane leakage during the production test of NGH, an ocean stereoscopic monitoring system based on underwater single-point [...] Read more.
Safe exploitation of the marine natural gas hydrate (NGH) resource is essential to meet the demand of the future energy requirement. To enable real-time monitoring of methane leakage during the production test of NGH, an ocean stereoscopic monitoring system based on underwater single-point mooring structure is developed, which supports in situ monitoring of marine environment at the sea-air interface, the euphotic zone, and the seabed boundary layer. Numerical simulations were conducted to evaluate the effect of mooring configuration, cable lengths, and buoyancy settings on the mooring stability of the system against the current and waves. Based on the simulation result, an optimized segmented inverse-catenary mooring configuration is developed to achieve a balance between the performance and cost. The designed submersible relay buoy isolates the upper dynamic S-shaped cable from the lower static straight electro-optical-mechanical (EOM) cable, thereby improving system stability. The monitoring system based on the optimized mooring structure is successfully deployed at the NGH zone in the northern South China Sea at the water depth of 1330 m confirming its working stability in harsh sea conditions. Full article
(This article belongs to the Section Ocean Engineering)
Show Figures

Figure 1

20 pages, 5325 KB  
Article
Study on Pressure-Bearing Performance and Application of Narrow Coal Pillars Reinforced by Bidirectional Tension Anchor Cables
by Ang Li, Shengqi Tian, Liuyi Fan, Nin Yang and Hao Li
Appl. Sci. 2026, 16(3), 1465; https://doi.org/10.3390/app16031465 - 31 Jan 2026
Viewed by 208
Abstract
To address the insufficient bearing capacity and severe deformation of narrow coal pillars in deep gob-side entries under the influence of residual dynamic loading and hydraulic punching of the coal mass, this study investigates the plastic-damage evolution mechanism of narrow pillars and proposes [...] Read more.
To address the insufficient bearing capacity and severe deformation of narrow coal pillars in deep gob-side entries under the influence of residual dynamic loading and hydraulic punching of the coal mass, this study investigates the plastic-damage evolution mechanism of narrow pillars and proposes a novel “grip-anchoring (GA)” collaborative support system. A physical model testing system for narrow coal pillars reinforced by double-pull cable bolts was established based on similarity theory, and six support schemes were designed for comparative experiments. Digital image correlation was employed to analyze the displacement field and the evolution of plastic failure, and an industrial-scale field test was carried out to verify the reliability of the proposed support technology. The results indicate that the double-pull cable bolts, through a “dual-tensioning and synergistic locking” procedure, can effectively solve the support challenges of narrow coal pillars under asynchronous excavation. The dense double-row double-pull cable-bolt scheme maintained overall structural stability even under a 2.5p overload, with only localized damage occurring at the roof- and floor-corner zones of the pillar. This scheme exhibited the smallest deformation and the highest peak load among all tested configurations, demonstrating its significant advantage in enhancing structural stability. Full article
(This article belongs to the Special Issue Advances in Coal Mining Technologies)
Show Figures

Figure 1

17 pages, 4734 KB  
Article
Mechanism and Parameter Optimization of Advanced Support for Flexible-Formwork Concrete, Gob-Side Entry Retaining
by Qian Qin, Weiming Guan, Haosen Wang and Manchao He
Symmetry 2026, 18(2), 266; https://doi.org/10.3390/sym18020266 - 31 Jan 2026
Viewed by 264
Abstract
Flexible-formwork concrete (FFC) is widely adopted in gob-side entry retaining (GER). However, the roadside FFC wall cannot provide sufficient load-bearing capacity immediately after casting. This time-dependent strength gain induces a distinct structural and mechanical asymmetry—solid coal on one side versus a developing FFC [...] Read more.
Flexible-formwork concrete (FFC) is widely adopted in gob-side entry retaining (GER). However, the roadside FFC wall cannot provide sufficient load-bearing capacity immediately after casting. This time-dependent strength gain induces a distinct structural and mechanical asymmetry—solid coal on one side versus a developing FFC wall on the other—which significantly amplifies advance-pressure-driven roof damage. Field inspections using borehole cameras in the N1215 panel of the Ningtiaota Coal Mine confirmed this failure mechanism, revealing severe roof fracturing and progressive degradation in the advance zone. To address this, a three-dimensional numerical model was established to reproduce the full mining process and identify the pressure zoning characteristics. Parametric comparative simulations were systematically performed considering three key design variables: advance support length, hydraulic prop spacing, and roof anchor cable spacing. To strictly quantify the control performance, a comprehensive evaluation system was defined, including roof stress increase rate, side abutment pressure increase rate, and deformation control rate. The results indicate that the advance-pressure-affected region extends significantly ahead of the face, and the marginal benefit of support intensification diminishes beyond specific thresholds. Consequently, a symmetry-enhancing “hydraulic prop-anchor cable coupled” advance support strategy was proposed to compensate for the inherent asymmetry of FFC-based GER. Field application in the belt transport roadway of the N1215 panel indicates that roadway convergence was effectively restrained, with roof–floor convergence of 13 mm and side convergence of 9 mm at the monitored section, confirming the applicability of the optimized design for maintaining entry stability during safe mining. Full article
(This article belongs to the Section Engineering and Materials)
Show Figures

Figure 1

22 pages, 3373 KB  
Article
Optimization of Control Measures for Rock Mass Disturbed by Repeated Tunnel Repairs and Engineering Practice
by Zenghui Liu and Minjun Chen
Infrastructures 2026, 11(2), 43; https://doi.org/10.3390/infrastructures11020043 - 27 Jan 2026
Viewed by 183
Abstract
To address the difficulty of controlling surrounding rock subjected to repeated repair-induced disturbances, the characteristics of the roadway surrounding rock and its deformation–failure mechanisms were examined. An experimental scheme for surrounding-rock control was formulated, and a three-dimensional numerical model was established. Four support [...] Read more.
To address the difficulty of controlling surrounding rock subjected to repeated repair-induced disturbances, the characteristics of the roadway surrounding rock and its deformation–failure mechanisms were examined. An experimental scheme for surrounding-rock control was formulated, and a three-dimensional numerical model was established. Four support schemes were evaluated to identify a rational support method and corresponding parameters: (a) rock bolts and cable bolts; (b) rock bolts, cable bolts, and floor cable bolts; (c) rock bolts, cable bolts, floor cable bolts, and U-shaped closed steel sets; and (d) rock bolts, cable bolts, floor cable bolts, U-shaped closed steel sets, and grouting. Comparative analyses were conducted in terms of plastic-zone evolution, stress-field distribution, surrounding-rock displacement, and the mechanical response of the support structures. The results indicate that, in roadways experiencing multiple repair disturbances and supported only by rock bolts and cable bolts, distinct stress-concentration zones develop within the supported surrounding rock, suggesting that reliance solely on bolts and cables is unfavorable for effective rock-mass control. Grouting improves the overall integrity and self-bearing capacity of the surrounding rock. Both the U-shaped closed support and the combined U-shaped closed support with grouting effectively restrain surrounding-rock deformation, and the corresponding stress distribution shows no pronounced stress-concentration zones. Based on the analyses of surrounding-rock displacement, support-structure loading, and incremental shear strain, the effectiveness of the support schemes in mitigating roof and floor displacement ranks, in descending order, as (d), (c), (b), and (a). Engineering practice further demonstrates that the combined support system consisting of 29U-type sets, grouted bolts, and bundle-type grouted cable bolts provides effective control over the deformation and failure of the roadway surrounding rock. Full article
Show Figures

Figure 1

23 pages, 4596 KB  
Article
Mechanical Response Analysis of the Overhead Cable for Offshore Floating Photovoltaic Systems
by Qiang Fu, Hao Zhang, Liqian Zhang, Peng Chen, Lin Cui, Chunjie Wang and Bin Wang
J. Mar. Sci. Eng. 2026, 14(3), 258; https://doi.org/10.3390/jmse14030258 - 26 Jan 2026
Viewed by 305
Abstract
To address the issues of insulation layer damage and conductor exposure in offshore floating photovoltaic systems occurring in shallow marine regions characterized by significant tidal ranges under multi-field coupling effects, an overhead cable laying scheme based on the hybrid pile–floater structure is proposed, [...] Read more.
To address the issues of insulation layer damage and conductor exposure in offshore floating photovoltaic systems occurring in shallow marine regions characterized by significant tidal ranges under multi-field coupling effects, an overhead cable laying scheme based on the hybrid pile–floater structure is proposed, while its mechanical response is investigated in this paper. The motion response model of the floating platform, considering wind load, wave load, current load, and mooring load, as well as the equivalent density and mathematical model of the overhead cable are established. The mechanical response characteristics of the overhead cable are analyzed through finite element analysis software. The results indicate that the overhead cable’s mechanical response is influenced by the span length and coupled wind–ice loads. Specifically, the tension exhibits a nonlinear increasing trend, while the deflection shows differential variations driven by the antagonistic interaction between wind and ice loads. The influence of ice loads on the configuration of overhead cables is significantly weaker than that of wind loads. This study provides crucial theoretical support for enhancing the lifespan of the overhead cable. Full article
(This article belongs to the Section Ocean Engineering)
Show Figures

Figure 1

26 pages, 1473 KB  
Article
Variable Cable Stiffness Effects on Force Control Performance in Cable-Driven Robotic Actuators
by Ana-Maria Ifrim and Ionica Oncioiu
Appl. Sci. 2026, 16(3), 1220; https://doi.org/10.3390/app16031220 - 25 Jan 2026
Viewed by 265
Abstract
Cable-driven robotic systems are widely used in applications requiring lightweight structures, large workspaces, and accurate force regulation. In such systems, the mechanical behavior of cable-driven actuators is strongly influenced by the elastic properties of the cable, transmission elements, and supporting structure, leading to [...] Read more.
Cable-driven robotic systems are widely used in applications requiring lightweight structures, large workspaces, and accurate force regulation. In such systems, the mechanical behavior of cable-driven actuators is strongly influenced by the elastic properties of the cable, transmission elements, and supporting structure, leading to an effective stiffness that varies with pretension, applied load, cable length, and operating conditions. These stiffness variations have a direct impact on force control performance but are often implicitly treated or assumed constant in control-oriented studies. This paper investigates the effects of operating-point-dependent (incremental) cable stiffness on actuator-level force control performance in cable-driven robotic systems. The analysis is conducted at the level of an individual cable-driven actuator to isolate local mechanical effects from global robot dynamics. Mechanical stiffness is characterized within a limited elastic domain through local linearization around stable operating points, avoiding the assumption of global linear behavior over the entire force range. Variations in effective stiffness induced by changes in pretension, load, and motion regime are analyzed through numerical simulations and experimental tests performed on a dedicated test bench. The results demonstrate that stiffness variations significantly affect force tracking accuracy, dynamic response, and disturbance sensitivity, even when controller structure and tuning parameters remain unchanged. Full article
(This article belongs to the Special Issue Advances in Cable Driven Robotic Systems)
Show Figures

Figure 1

26 pages, 5958 KB  
Article
A Material–Structure Integrated Approach for Soft Rock Roadway Support: From Microscopic Modification to Macroscopic Stability
by Sen Yang, Yang Xu, Feng Guo, Zhe Xiang and Hui Zhao
Processes 2026, 14(3), 414; https://doi.org/10.3390/pr14030414 - 24 Jan 2026
Viewed by 274
Abstract
As a cornerstone of China’s energy infrastructure, the coal mining industry relies heavily on the stability of its underground roadways, where the support of soft rock formations presents a critical and persistent technological challenge. This challenge arises primarily from the high content of [...] Read more.
As a cornerstone of China’s energy infrastructure, the coal mining industry relies heavily on the stability of its underground roadways, where the support of soft rock formations presents a critical and persistent technological challenge. This challenge arises primarily from the high content of expansive clay minerals and well-developed micro-fractures within soft rock, which collectively undermine the effectiveness of conventional support methods. To address the soft rock control problem in China’s Longdong Mining Area, an integrated material–structure control approach is developed and validated in this study. Based on the engineering context of the 3205 material gateway in Xin’an Coal Mine, the research employs a combined methodology of micro-mesoscopic characterization (SEM, XRD), theoretical analysis, and field testing. The results identify the intrinsic instability mechanism, which stems from micron-scale fractures (0.89–20.41 μm) and a high clay mineral content (kaolinite and illite totaling 58.1%) that promote water infiltration, swelling, and strength degradation. In response, a novel synergistic technology was developed, featuring a high-performance grouting material modified with redispersible latex powder and a tiered thick anchoring system. This technology achieves microscale fracture sealing and self-stress cementation while constructing a continuous macroscopic load-bearing structure. Field verification confirms its superior performance: roof subsidence and rib convergence in the test section were reduced to approximately 10 mm and 52 mm, respectively, with grouting effectively sealing fractures to depths of 1.71–3.92 m, as validated by multi-parameter monitoring. By integrating microscale material modification with macroscale structural optimization, this study provides a systematic and replicable solution for enhancing the stability of soft rock roadways under demanding geo-environmental conditions. Soft rock roadways, due to their characteristics of being rich in expansive clay minerals and having well-developed microfractures, make traditional support difficult to ensure roadway stability, so there is an urgent need to develop new active control technologies. This paper takes the 3205 Material Drift in Xin’an Coal Mine as the engineering background and adopts an integrated method combining micro-mesoscopic experiments, theoretical analysis, and field tests. The soft rock instability mechanism is revealed through micro-mesoscopic experiments; a high-performance grouting material added with redispersible latex powder is developed, and a “material–structure” synergistic tiered thick anchoring reinforced load-bearing technology is proposed; the technical effectiveness is verified through roadway surface displacement monitoring, anchor cable axial force monitoring, and borehole televiewer. The study found that micron-scale fractures of 0.89–20.41 μm develop inside the soft rock, and the total content of kaolinite and illite reaches 58.1%, which is the intrinsic root cause of macroscopic instability. In the test area of the new support scheme, the roof subsidence is about 10 mm and the rib convergence is about 52 mm, which are significantly reduced compared with traditional support; grouting effectively seals rock mass fractures in the range of 1.71–3.92 m. This synergistic control technology achieves systematic control from micro-mesoscopic improvement to macroscopic stability by actively modifying the surrounding rock and optimizing the support structure, significantly improving the stability of soft rock roadways. Full article
(This article belongs to the Section Petroleum and Low-Carbon Energy Process Engineering)
Show Figures

Figure 1

23 pages, 5500 KB  
Article
Low-Damage Seismic Design Approach for a Long-Span Cable-Stayed Bridge in a High Seismic Hazard Zone: A Case Study of the New Panama Canal Bridge
by Zhenghao Xiao, Shan Huang, Sheng Li, Minghua Li and Yao Hu
Buildings 2026, 16(2), 428; https://doi.org/10.3390/buildings16020428 - 20 Jan 2026
Viewed by 302
Abstract
Designing long-span cable-stayed bridges in high seismic hazard zones presents significant challenges due to their flexible structural systems, the influence of multi-support excitation, and the need to control large displacements while limiting seismic demands on critical components. These difficulties are further amplified in [...] Read more.
Designing long-span cable-stayed bridges in high seismic hazard zones presents significant challenges due to their flexible structural systems, the influence of multi-support excitation, and the need to control large displacements while limiting seismic demands on critical components. These difficulties are further amplified in regions with complex geology and for bridges required to maintain high levels of post-earthquake serviceability. This study develops a low-damage seismic design approach for long-span cable-stayed bridges and demonstrates its application in the New Panama Canal Bridge. Probabilistic seismic hazard assessment and site response analyses are performed to generate spatially varying ground motions at the pylons and side piers. The pylons adopt a reinforced concrete configuration with embedded steel stiffeners for anchorage, forming a composite zone capable of efficiently transferring concentrated stay-cable forces. The lightweight main girder consists of a lattice-type steel framework connected to a high-strength reinforced concrete deck slab, providing both rigidity and structural efficiency. A coordinated girder–pylon restraint system—comprising vertical bearings, fuse-type restrainers, and viscous dampers—ensures controlled stiffness and effective energy dissipation. Nonlinear seismic analyses show that displacements of the girder remain well controlled under the Safety Evaluation Earthquake, and the dampers and bearings exhibit stable hysteretic behaviours. Cable tensions remain within 500–850 MPa, meeting minimal-damage performance criteria. Overall, the results demonstrate that low-damage seismic performance targets are achievable and that the proposed design approach enhances structural control and seismic resilience in long-span cable-stayed bridges. Full article
(This article belongs to the Section Building Structures)
Show Figures

Figure 1

Back to TopTop