Next Article in Journal
FPC-Net: Revisiting SuperPoint with Descriptor-Free Keypoint Detection via Feature Pyramids and Consistency-Based Implicit Matching
Previous Article in Journal
Spherical vs. Plane Lenses for Enhanced DUV-LED Performance and Wine Aging
Previous Article in Special Issue
The Design and Development of a Wearable Cable-Driven Shoulder Exosuit (CDSE) for Multi-DOF Upper Limb Assistance
 
 
Font Type:
Arial Georgia Verdana
Font Size:
Aa Aa Aa
Line Spacing:
Column Width:
Background:
Article

Variable Cable Stiffness Effects on Force Control Performance in Cable-Driven Robotic Actuators

1
Faculty of Industrial Engineering and Robotics, National University of Science and Technology Politehnica Bucharest, 060042 Bucharest, Romania
2
Academy of Romanian Scientists, 3 Ilfov, 050044 Bucharest, Romania
3
Department of Electrical Engineering, University of Doha for Science and Technology, Doha 24449, Qatar
*
Author to whom correspondence should be addressed.
Appl. Sci. 2026, 16(3), 1220; https://doi.org/10.3390/app16031220
Submission received: 8 January 2026 / Revised: 19 January 2026 / Accepted: 20 January 2026 / Published: 25 January 2026
(This article belongs to the Special Issue Advances in Cable Driven Robotic Systems)

Abstract

Cable-driven robotic systems are widely used in applications requiring lightweight structures, large workspaces, and accurate force regulation. In such systems, the mechanical behavior of cable-driven actuators is strongly influenced by the elastic properties of the cable, transmission elements, and supporting structure, leading to an effective stiffness that varies with pretension, applied load, cable length, and operating conditions. These stiffness variations have a direct impact on force control performance but are often implicitly treated or assumed constant in control-oriented studies. This paper investigates the effects of operating-point-dependent (incremental) cable stiffness on actuator-level force control performance in cable-driven robotic systems. The analysis is conducted at the level of an individual cable-driven actuator to isolate local mechanical effects from global robot dynamics. Mechanical stiffness is characterized within a limited elastic domain through local linearization around stable operating points, avoiding the assumption of global linear behavior over the entire force range. Variations in effective stiffness induced by changes in pretension, load, and motion regime are analyzed through numerical simulations and experimental tests performed on a dedicated test bench. The results demonstrate that stiffness variations significantly affect force tracking accuracy, dynamic response, and disturbance sensitivity, even when controller structure and tuning parameters remain unchanged.

1. Introduction

Cable-driven parallel robots are increasingly employed in applications where accurate force regulation is critical, such as interaction tasks, load manipulation, and dynamic operation under varying mechanical conditions [1,2,3]. In these systems, force control performance is strongly influenced by the compliant nature of the cable-based transmission, which distinguishes cable actuators from conventional rigid actuation schemes. While the use of cables enables lightweight structures, reduced inertia, and large workspaces [4,5,6], it also introduces mechanical compliance that directly affects force transmission and closed-loop force regulation [7,8,9]. As a result, understanding the interaction between actuator compliance and force control has become a central issue in the design and evaluation of cable-driven robotic systems [10,11,12,13].
A defining characteristic of cable-driven actuators is the presence of distributed compliance arising from the cable material, transmission elements, supporting structure, and pretensioning conditions [14,15,16,17]. The resulting effective mechanical stiffness is not constant but varies with operating parameters such as load level, cable length, actuator position, and motion regime [18]. Although this variability has been acknowledged in mechanical modeling studies, many force-control approaches rely on simplified or constant-stiffness representations when designing and tuning controllers [19,20,21,22]. Such assumptions obscure the role of stiffness variations in shaping force tracking accuracy, dynamic response, and closed-loop stability, particularly under dynamic operating conditions.
The literature dedicated to cable-actuated parallel robots covers a wide range of topics, including optimization of mechanical structures, workspace analysis, stress distribution, and motion control strategies [2,23,24,25]. Regarding force control, many works focus on controller architecture, friction compensation, or motion-induced disturbances. In many studies, the mechanical stiffness of the actuator is modeled in a simplified manner or implicitly included in the tuning parameters, without a detailed examination of its variations and the associated effects on the closed-loop behavior of the force control [4,26,27,28]. Such a treatment limits the ability to explain the performance degradations observed experimentally under dynamic conditions or load variations [29,30], and leaves the influence of operating-point-dependent stiffness on force control bandwidth and robustness insufficiently characterized.
Force control is frequently studied at the level of the complete robotic system or in the context of specific applications, where local mechanical effects of the actuator are often masked by the global robot dynamics or empirical tunings [30,31,32]. In the absence of a dedicated actuator-level analysis, the relationship between variable mechanical stiffness and force control performance remains insufficiently clarified, and the conclusions obtained are difficult to generalize to other cable-driven parallel robot (CDPR) configurations [4,11,14,33]. Furthermore, the conditions under which these effects become significant for actuator-level performance are not well established. Addressing these aspects is necessary to support a more informed design of force control systems and to reduce reliance on empirical, test-dependent tuning procedures.
The presented research aims to systematically investigate the effects of variable mechanical stiffness on force control in actuators for parallel cable-actuated robots, with a focus on the local behavior of the actuator in dynamic regimes. The analysis is formulated at the level of the individual actuator, without being associated with a particular application or a specific robotic architecture, in order to allow the separation of the influence of local mechanical properties from the effects introduced by the global dynamics of the system. Such an analytical perspective facilitates a clear distinction between the contributions of the stiffness of the cable and the transmission elements and those associated with the interaction between several actuators in a parallel structure, an aspect that is mostly treated implicitly in the specialized literature.
The study examines in detail how variations in the effective stiffness, induced by changes in pretension, applied load, and motion regime, are reflected in the closed-loop stability, the accuracy of force tracking, and the sensitivity to disturbances. Instead of assuming a constant stiffness, mechanical properties are considered to be dependent on operating conditions, and the associated effects are evaluated by correlating mechanical parameters with quantitative indicators of control performance. In this context, the research introduces an analysis framework dedicated to assessing the impact of variable stiffness on closed-loop behavior, which allows for a systematic examination of the relationship between mechanical properties and force control response.
To support the analysis, both numerical simulations and experimental results obtained on a dedicated test bench, designed for the controlled and repeatable reproduction of distinct mechanical conditions, are used. Systematic comparison of force control response under different stiffness conditions highlights trends and limitations that cannot be identified by isolated empirical adjustments or constant-parameter models. Analysis of the results allows for the identification of mechanisms by which stiffness variations influence closed-loop behavior and the explanation of performance degradations observed under dynamic conditions.
By integrating mechanical analysis with force control performance evaluation, the research provides premises for a more informed adjustment of control parameters in relation to the real mechanical properties of the actuator and contributes to increasing the robustness of force control in CDPR systems. In this sense, the obtained results extend the existing knowledge beyond studies focused exclusively on the structure of the controllers and provide relevant information for the design, tuning, and operation of cable actuators in parallel robots, especially under operating conditions characterized by significant mechanical variations.
From the perspective of cable-driven robotic systems, the proposed actuator-level analysis contributes to a better understanding of how elastic cable properties and transmission compliance affect force control performance, which is a key aspect in the modeling, evaluation, and optimization of cable-driven robots. The presented analysis starts from the hypothesis that the performance of force control can be evaluated and improved based on experimentally obtained data, without resorting to exhaustive dynamic models or detailed identifications of all the nonlinear phenomena involved. By systematically investigating the effects of variable mechanical stiffness, the research shows that force control with performances comparable to those reported in the literature can be achieved by correlating the real mechanical properties of the actuator with the control parameters, providing a practical and generalizable framework for actuators used in CDPR systems.
The structure of the article is organized as follows. Section 2 presents the mechanical configuration of the actuator for cable-actuated parallel robots, as well as the description of the experimental bench used for the analysis. In the same section, the formulation of the force control problem and the analytical framework used to investigate the influence of variable mechanical stiffness on the closed-loop behavior are introduced, including simulation and experimental testing procedures. Section 3 reports the results obtained from numerical simulations and experiments, with a focus on the variations in force control performance under different mechanical conditions. In Section 4, the results are analyzed and discussed in relation to existing studies in the specialized literature, highlighting the implications of stiffness variations on the stability and accuracy of force control, as well as the contributions made by the research. Section 5 summarizes the main conclusions and formulates directions for further study.

2. Methods

The experimental and numerical analysis carried out in the study is based on the investigation of a cable-driven robotic actuator, considered as a mechanical system with distributed elastic properties. The behavior of this actuator is determined by the interaction between the cable, the transmission elements, and the support structure, an interaction that defines the effective mechanical stiffness and conditions the closed-loop response of the force control. The explicit treatment of these properties allows the examination of the influence of variable stiffness on the control performance under static and dynamic conditions.
The characterization of the system is achieved by combining the mechanical description with the formulation of force-displacement relations and operating conditions relevant for CDPR applications. The mechanical stiffness is considered dependent on operating parameters, such as prestress and applied load, and the associated effects are analyzed in relation to quantitative indicators of the force control performance. The evaluation is supported by numerical simulations and experiments performed on a dedicated test bench, which allows for the controlled reproduction of distinct mechanical conditions and the systematic comparison of actuator response.

2.1. Actuator Configuration for Cable-Driven Parallel Robots

The cable-driven robotic actuator analyzed in the research is designed as an individual drive unit intended for force generation and regulation in a CDPR system. The mechanical configuration allows examining the actuator behavior independently of a particular robotic architecture, which facilitates the investigation of local mechanical properties and their influence on force control performance.
The analysis is intentionally formulated at the actuator level and for cable lengths representative of localized actuation units rather than long-span cable robots. Under these conditions, geometric effects associated with cable sag due to self-weight are negligible compared to the material and transmission stiffness components and are therefore not explicitly included in the stiffness formulation.
The actuator consists of an electrical drive system, a mechanical transmission assembly, and a flexible cable used to apply force to an external load or test mechanism. The mechanical configuration of the actuator is schematically illustrated in Figure 1, where the main components and the mechanical relationships between them are highlighted.
The mechanical structure is organized so that the high-mass components, such as the electric motor and the transmission elements, are mounted on a fixed frame, while the cable transfers the force to the point of application. Such an organization leads to a reduction in the inertia of the moving parts and allows the effects associated with the mechanical properties of the cable and the transmission to be highlighted.
The transmission of movement between the motor and the cable is achieved by means of a drum and guiding elements, which convert the rotational motion of the motor into linear cable displacement. While frictional effects at the drum and guiding elements are inherent to cable-driven transmissions and may vary with cable tension and wrap conditions, they are not explicitly modeled in the present study. Instead, these effects are treated as part of the mechanical uncertainty and are addressed in the analysis of discrepancies between numerical and experimental results.
The cable used is made of a flexible material with well-defined elastic characteristics, suitable for transmitting force in both static and dynamic regimes. The cable’s properties, such as its axial stiffness and tensile behavior, directly affect how stiff the actuator is mechanically. In addition, the mechanical transmission elements and the supporting structure influence the elastic behavior of the assembly, the effects becoming more pronounced under variable load conditions.
The cable pretension is imposed by applying an initial force before the tests, ensuring that the tension is maintained throughout the entire operation and preventing the loss of mechanical contact. A minimum pretension level, denoted as T m i n , is enforced during all experiments to avoid slack cable conditions and ensure the validity of the force transmission model. The pretension level is adjustable above this minimum threshold and constitutes one of the parameters by which the effective mechanical stiffness of the actuator is modified in the study.
The pretension level is adjustable and constitutes one of the parameters by which the effective mechanical stiffness of the actuator is modified in the study. The applied load is controlled by means of the test bench, allowing the reproduction of distinct mechanical conditions relevant for the analysis of the force control behavior. By systematically varying the pretension and load, the actuator provides an adequate experimental framework for investigating the influence of variable mechanical stiffness on the force control performance.

2.2. Mechanical Relationships Governing the Cable-Driven Actuator

The mechanical analysis of the actuator for the cable-driven parallel robot is formulated by the fundamental relations that describe the conversion of the motor’s rotational motion into linear cable displacement and the force transmission to the load. The introduced relations capture the global elastic behavior of the actuator and provide the basis for investigating the influence of variable mechanical stiffness on the closed-loop response of the force control.
The kinematic conversion between drum rotation and linear cable displacement is expressed by the relation:
l = r θ ,
where Δ l represents the variation in the active length of the cable, r is the effective radius of the drum, and θ is the angular displacement of the drum.
The force transmitted through the cable is associated with its elastic deformation and is described by:
T = k c l ,
where T   is the tension in the cable, and k c   represents the axial stiffness of the cable.
The elastic behavior of the actuator is characterized by an effective mechanical stiffness:
k e f f = 1 k c + 1 k t + 1 k s 1 ,
where k t   is the stiffness associated with the mechanical transmission, and k s   is the structural stiffness of the support assembly. This formulation accounts for material and structural compliance of the actuator components. Geometric stiffness effects related to cable sag under self-weight, which become relevant in long-span cable robots, are not considered in the present study due to the limited cable lengths and localized actuation configuration investigated.
The relationship between the motor torque and the force transmitted through the cable is:
T = τ m r ,
where τ m   is the motor torque applied to the drum.
The effective mechanical stiffness is treated as a quantity dependent on the operating conditions:
k e f f = k e f f T , l ,
where l is the active length of the cable. In this study, k e f f is not assumed to represent a global material constant. Instead, it is interpreted as an incremental stiffness, defined through local linearization of the force–displacement relationship around a nominal operating point characterized by a given pretension and load level. This formulation allows the stiffness to capture local elastic behavior relevant for force control analysis, without assuming linear elasticity over the entire operating range.
Equation (3) provides a concentrated representation of the equivalent mechanical stiffness of the actuator at a given operating point, obtained by combining the elastic contributions of the cable, transmission, and supporting structure. In practical operating conditions, however, these stiffness contributions cannot be regarded as constant parameters, as the axial cable stiffness, transmission compliance, and structural stiffness depend explicitly or implicitly on variables such as cable tension, active cable length, and load distribution, which vary during operation.
To account for this behavior, the effective stiffness is treated as an operating-point-dependent incremental quantity. This formulation establishes a consistent analytical link between the concentrated stiffness representation in Equation (3) and the operating-point-dependent stiffness required for force control analysis, allowing the dominant local elastic behavior of the actuator to be captured without assuming linear elasticity over the entire operating range.
The mechanical formulation adopted in this study provides a simplified, control-oriented representation of the actuator behavior by focusing on effective stiffness variations and neglecting explicit nonlinear friction dynamics. While this approach is suitable for analyzing stiffness-dependent effects on force control performance within the investigated operating range, it does not capture the full complexity of friction phenomena inherent to cable-driven transmissions.
Nonlinear friction effects arising from cable–pulley interaction, internal strand friction, and velocity-dependent contact phenomena have been shown to significantly influence force transmission and tension dynamics in cable-driven robotic systems. Advanced friction models, including dynamic and hysteresis-based formulations, can capture stick–slip behavior and nonlinear dissipation mechanisms that are not represented in simplified stiffness-based models [34]. The integration of such nonlinear friction models into the mechanical description of cable-driven actuators represents a relevant direction for improving model fidelity and force prediction accuracy in future studies.

2.3. Integrated Methodology for Variable Stiffness Analysis

The methodology adopted to investigate the effects of variable mechanical stiffness on force control is built as an integrated framework that combines mechanical characterization, control formulation, and validation through simulations and experiments. The integration of these components allows for a coherent examination of the relationship between the actuator’s mechanical properties and the closed-loop behavior of force control, avoiding the artificial separation between theoretical analysis and experimental implementation. Such methodological structuring facilitates the tracking of the influence of variable stiffness, from the level of mechanical parameters to quantifiable indicators of control performance.
The methodological framework is formulated at the level of the individual actuator to allow the isolation of local mechanical effects from the global dynamics of a parallel robotic system. By this choice, the analysis focuses on the fundamental mechanisms through which the stiffness of the cable, transmission, and support structure influences the force transmission and the stability of the controlled response. The integrated approach allows for direct correlations between variations in mechanical parameters and observed changes in control performance, without introducing dependencies on a specific robotic application.
The methodology includes four complementary components. The first component aims at the mechanical characterization of the variable stiffness by defining and evaluating the effective mechanical stiffness as a function of the operating conditions. The second component refers to the formulation of the force control, kept constant throughout the study to allow the attribution of performance variations exclusively to mechanical properties. The third component describes the experimental implementation and measurement procedures, designed for the controlled reproduction of the investigated mechanical conditions. The fourth component consists of the simulation and testing protocol, used for the systematic comparison of the response under numerical and experimental conditions.

2.3.1. Mechanical Characterization of Variable Stiffness

The characterization of the variable mechanical stiffness is achieved by analyzing the relationship between the force transmitted by the cable and the global elastic deformation associated with the actuator–transmission–structure assembly. Stiffness is treated as a quantity dependent on the operating conditions, reflecting the distributed nature of the mechanical compliance and the variations induced by the stress state.
Cable-driven transmissions inherently exhibit hysteresis and energy dissipation effects due to internal strand friction and interactions within the transmission elements. In the present study, these effects are not explicitly modeled; instead, the stiffness characterization is conducted under controlled loading conditions using incremental force variations around stable operating points. This approach enables the dominant elastic behavior relevant for force control analysis to be captured, while hysteretic effects are implicitly reflected in the experimental measurements and addressed separately in the analysis of discrepancies between simulations and experiments.
The effective mechanical stiffness is defined by the incremental ratio between the variation in the transmitted force and the corresponding variation in the active length of the cable, expressed by the relationship:
k e f f = F c l ,
where Δ F c   represents the variation in the force measured in the cable, and Δ l   is the variation in the associated active length. Defining stiffness through an incremental relationship allows for local evaluation of elastic behavior around a given operating point and explicitly avoids the assumption of global linear elasticity.
The investigated force and displacement variations are selected to remain within a limited elastic regime, in which no permanent deformation or pronounced nonlinear material effects are observed. Within this regime, the incremental stiffness provides a physically meaningful representation of the local mechanical behavior relevant for force control performance evaluation.
The stiffness determination is performed for controlled values of the operational parameters that influence the elastic behavior of the actuator. The prestress level F 0   establishes the initial state of stress of the cable and modifies the ratio between the elastic deformation and the transmitted force. The applied load F L   influences the average tension in the cable and leads to variations in the effective stiffness, especially in dynamic regimes. The active length of the cable l , dependent on the actuator position, also contributes to the variation in the global elastic properties, according to the mechanical relations formulated previously.
Thermal effects and time-dependent phenomena such as creep, which are known to influence the mechanical behavior of synthetic cables under prolonged loading or elevated temperatures, are not explicitly considered in the present stiffness characterization. The experiments are conducted over relatively short durations and under controlled laboratory conditions, for which temperature variations remain limited and no measurable drift in force or displacement attributable to thermal or creep effects was observed.
For each combination of operational parameters, the stiffness is evaluated around a stable operating point by applying limited force variations. The investigated domains are selected so as to ensure the maintenance of elastic behavior and to reflect mechanical regimes relevant for CDPR applications. Through this procedure, the experimentally determined stiffness can be considered representative of the analyzed operating conditions.
In order to correlate the experimental characterization with the mechanical model, the stiffness determined by Equation (6) is compared with the equivalent mechanical stiffness defined analytically:
k e f f k e q ,
For the investigated operating conditions, the relative deviation between the experimentally identified stiffness and the analytically estimated equivalent stiffness remains below 30% across all tested stiffness regimes. This level of deviation is considered acceptable for a control-oriented stiffness characterization of cable-driven actuators affected by distributed compliance, hysteresis, and frictional effects. From a control-oriented perspective, the approximation introduced in Equation (7) is valid for operating regimes characterized by small force and displacement variations around stable operating points, which are representative of the force control scenarios investigated in this study.
The differences identified between the experimentally determined and analytically estimated values can be attributed to the manifestation of nonlinear phenomena, the distributed nature of the mechanical compliance, and the influence of the transmission and guiding elements, effects that are not fully represented by the concentrated modeling. The comparative analysis between the two sets of values provides an interpretative framework for understanding the variations in the force control performance with respect to the investigated mechanical conditions.
The characterization of the variable mechanical stiffness leads to a quantitative description of the elastic properties of the actuator in controlled operating regimes. The resulting information allows the correlation of the mechanical parameters with the closed-loop response of the force control and supports the examination of the influence of stiffness on the stability and accuracy of the response.

2.3.2. Force Control Formulation and Implementation

The force control formulation is performed at the individual actuator level, with the aim of evaluating the influence of variable mechanical properties on the closed-loop behavior. The control is defined in a manner independent of a particular robotic application so that the analysis reflects the general mechanisms by which the effective mechanical stiffness conditions the transmission and regulation of force in actuators for cable-actuated parallel robots. In this formulation, the motor torque represents the command variable, and the force transmitted through the cable constitutes the controlled variable.
The measured force signal is used to form the control error, defined as the difference between the imposed force reference and the transmitted force:
e F t = F d t F m t ,
where F d t   is the desired force, and F m t   is the measured force in the cable. Defining the control error in this form allows for a direct evaluation of the force tracking performance under varying mechanical conditions, without introducing intermediate variables dependent on position or speed.
The measured force signal is used to form the control error, defined as the difference between the imposed force reference and the transmitted force. The force reference is constrained such that the resulting cable tension remains above the minimum pretension threshold T m i n , preventing slack cable conditions and avoiding singularities in the force transmission model.
The control law is formulated as a proportional–integral controller, which generates the motor torque required to compensate for the force error:
τ m t = K p e F t + K i 0 t e F τ d τ ,
where K p and K i   are the proportional and integral gains. This control structure was intentionally selected to ensure a simple and transparent relationship between mechanical properties and closed-loop force control performance.
To prevent integrator windup under conditions where the force reference approaches physical limits or when the cable operates near slack conditions, an anti-windup mechanism based on integrator clamping is implemented in the control loop. The integral action is suspended whenever the commanded motor torque reaches predefined saturation limits, ensuring stable force regulation and preventing excessive accumulation of the integral term.
Although adaptive or gain-scheduled control strategies are technically well suited for systems with variable stiffness, their use would inherently modify the controller parameters as stiffness changes and could obscure the direct influence of mechanical stiffness on the force control response. In the present study, the controller parameters are deliberately kept constant across all test conditions to isolate and quantify the effects of variable mechanical stiffness, rather than to optimize control performance for each operating point.
The interaction between force control and the mechanical behavior of the actuator can be analyzed by combining the control law with the relationship between the motor torque and the force transmitted through the cable. According to the mechanical relationships defined previously, the measured force can be expressed by:
F m t = τ m t r ,
where r is the effective radius of the drum. Substituting relation (8) into (9) leads to an explicit expression of the transmitted force as a function of the control error:
F m t = 1 r K p e F t + K i 0 t e F τ d τ ,
Equations (10) and (11) express a static relationship between the motor torque command and the force transmitted through the cable. This formulation does not imply that the actuator dynamics are purely algebraic, but reflects a control-oriented modeling choice adopted for the purpose of isolating stiffness-dependent effects on the closed-loop force response. The dynamics of the electric motor, drive electronics, and mechanical inertia are implicitly assumed to be faster than the dominant force control dynamics within the investigated bandwidth, allowing the torque-to-force relation to be approximated quasi-statically.
Within the low-to-mid frequency range relevant for force control operation, inertial and dissipative effects primarily influence high-frequency behavior and transient phenomena beyond the frequency range of interest for the force control scenarios analyzed in this study. The adopted formulation therefore captures the causal influence of effective mechanical stiffness on the closed-loop force response in the low-to-mid frequency domain, which is representative of the operating regimes considered experimentally and numerically. The observed stiffness-dependent variations in tracking accuracy and bandwidth confirm that, despite the simplified representation, the model preserves the dominant mechanisms governing force control performance.
The presented relationship highlights the fact that, under conditions of constant control gains, the closed-loop response is indirectly influenced by the effective mechanical stiffness, through the link between cable displacement and transmitted force.

2.3.3. Experimental Implementation and Data Acquisition

The experimental implementation is designed to evaluate the force control under controlled mechanical conditions, with the possibility of adjusting the parameters that determine the effective mechanical stiffness of the actuator. The actuator is mounted on a rigid frame, designed to limit parasitic displacements and reduce structural influences on the measurements. The force application point is connected to a dedicated loading mechanism, which allows the imposition of constant or variable loads, corresponding to the investigated test regimes.
The force transmitted through the cable is measured using a sensor mounted in line with the cable’s direction of action and positioned so as to directly capture the tension applied to the load. The relationship between the acquired electrical signal and the measured force is expressed by:
F m t = S f V f t ,
where F m t   represents the force measured in the cable, S f   is the sensitivity of the force sensor, and V f t   is the acquired output voltage. The force signal is sampled at a rate high enough to capture the transient variations associated with the dynamic regimes analyzed.
The in-line force sensor used in the experimental setup is selected to ensure adequate accuracy and repeatability for the investigated force range. According to the manufacturer’s specifications, the load cell exhibits a combined non-linearity and hysteresis error below ±0.5% of the full-scale output. The sensor resolution and repeatability are sufficient to capture the force variations analyzed in this study, and its operating range is selected to avoid saturation effects during the experiments.
The influence of sensor non-linearity and hysteresis is considered within the measurement uncertainty affecting the experimental force signals. Since the analysis focuses on relative variations in force control performance across different mechanical stiffness conditions rather than on absolute force accuracy, the inherent sensor error does not affect the validity of the observed performance trends. Differences between numerical and experimental results are therefore interpreted in light of the combined effects of sensor uncertainty, mechanical hysteresis, and other unmodeled phenomena.
The measurement apparatus was configured to ensure reliable dynamic evaluation of the force control response over the investigated operating range. The bandwidth of the in-line force sensor exceeds the highest frequency content of both the imposed force reference and the closed-loop force response, ensuring that relevant dynamic information is preserved during acquisition.
Measurement noise arising from electronic amplification and mechanical vibrations is present in the force signal; however, its magnitude remains significantly lower than the force variations associated with stiffness-dependent effects. To attenuate high-frequency noise without altering the dynamic characteristics of the force response, the measured signal is processed using a low-pass filtering strategy with a cutoff frequency selected above the dominant frequency components of the force control loop.
Prior to experimental testing, the force sensor was calibrated using known reference loads applied incrementally across the operating range. The calibration procedure confirmed linearity and repeatability of the sensor response and ensured consistency between the applied force and the corresponding electrical output. Cable displacement measurements, obtained from the motor-side encoder, exhibit a resolution and bandwidth well beyond the requirements imposed by the investigated force regulation regimes.
The cable displacement is determined indirectly by measuring the drum rotation, using an encoder mounted on the motor shaft. The variation in the active cable length is estimated based on the kinematic relationship:
l t = r θ t ,
where r   is the effective radius of the drum, and θ t   is the angular displacement measured by the encoder. The correlation of the force and position signals is achieved by synchronizing the data acquisition with the actuator control unit, allowing coherent analysis of the relationship between the applied command and the measured mechanical response.
To reduce the influence of measurement noise, the force signal is subjected to a numerical filtering operation, generically expressed by:
F ~ m t = F F m t ,
where F   represents the filtering operator used. In the present study, the filtering operator F { } corresponds to a low-pass Butterworth filter of second order, selected for its flat magnitude response in the passband and absence of ripple. The cutoff frequency is chosen above the dominant frequency components of the imposed force reference and the closed-loop force response, as identified from the frequency-domain analysis, ensuring attenuation of high-frequency measurement noise without affecting the dynamics relevant for force control evaluation.
The phase delay introduced by the filter remains negligible within the low-to-mid frequency range of interest for the analyzed force control scenarios and does not influence the stiffness-dependent trends reported in the results. The same filtering procedure is applied consistently across all experimental conditions to preserve comparability between tests. The filtering parameters are selected to preserve mechanically relevant information while avoiding distortion of the force control dynamics in the frequency range of interest.
The prestress level is established prior to each series of tests by applying a monitored initial force, ensuring that the tension in the cable is maintained throughout the experiments. The applied load is adjusted by the test bench loading mechanism, allowing for the systematic exploration of distinct mechanical conditions. The force controller parameters are kept constant throughout all tests so that the variations observed in the system response can be attributed to changes in the mechanical properties.
Experimental data are collected for each test scenario and subjected to preprocessing procedures that include checking for temporal consistency and evaluating the dispersion of measurements. The tests are repeated under identical conditions to assess the consistency of the system response, and the observed variations are used to estimate the uncertainty associated with the data acquisition, based on the instrumentation specifications and the measured behavior. The duration of individual tests is limited to minimize thermal accumulation in the cable and transmission elements, ensuring that the measured force response is not affected by temperature-induced stiffness changes or creep effects during the experiments.
Through the described experimental implementation and the adopted acquisition procedures, a coherent data set is obtained that allows the correlation of the controlled mechanical parameters with the force control performance. The information thus obtained provides the basis for the comparative analysis of the effects of variable mechanical stiffness, an analysis presented in the Section 3.

2.3.4. Simulation and Experimental Evaluation Protocol

The simulation and experimental testing protocol is formulated for the systematic evaluation of the force control performance in the presence of variations in the effective mechanical stiffness. Numerical simulations and experiments are performed under equivalent conditions, using the same control laws and the same sets of mechanical parameters, so that the comparison of the results reflects exclusively the influence of the mechanical properties and not implementation differences.
In the numerical simulations, the mechanical model of the actuator is implemented based on the previously formulated relations, including the dependence of the mechanical stiffness on the operational parameters. The system dynamics are evaluated for imposed force reference signals, and the closed-loop response is analyzed in the time domain. The experiments are performed for the same reference profiles, allowing a direct comparison between the simulated and measured behavior.
The force control performance is evaluated by quantitative indicators calculated based on the tracking error. The instantaneous force error is defined by:
e F i = F d i F m i ,
where F d i   is the discretized value of the reference force, and F m i   is the corresponding measured force.
An indicator of performance is the root mean square error, defined by:
R M S E = 1 N i = 1 N e F 2 i ,
where N   represents the total number of samples analyzed and provides an aggregate measure of the accuracy of force tracking during a test.
To characterize the maximum deviations, the maximum absolute error is determined:
e m a x = max i e F i ,
which highlights the largest instantaneous difference between the desired and transmitted force. In addition, the stability of the response is evaluated by analyzing the variation in the error in the steady state, using the standard deviation of the error:
σ e = 1 N 1 i = 1 N e F i e ¯ F 2 ,
where e ¯ F   is the average error value over the analyzed interval.
The transient behavior of the force control response is further characterized using a relative settling window criterion. In this study, settling time is defined as the time required for the measured force to enter and remain within a ±2% band around the reference force value. This relative criterion is commonly adopted in precision force control applications and provides a consistent measure of transient performance across different stiffness conditions.
The ±2% settling window is selected as a compromise between sensitivity to residual oscillations and robustness to measurement noise, which is particularly relevant for experimental force signals affected by hysteresis and friction. Using relative settling criterion ensures that the evaluation of transient behavior remains comparable for different force amplitudes and operating conditions.
In addition to force tracking performance, the control effort required from the actuator is evaluated by analyzing the command signal generated by the force controller. The root mean square (RMS) value of the commanded motor torque is used as an indicator of sustained control activity and actuator effort and is defined as:
τ R M S = 1 N i = 1 N τ m 2 ( i ) ,
where τ m i   represents the motor torque command at sample i and N is the total number of samples analyzed.
The RMS value of the control signal provides a quantitative measure of the average control effort over time and allows the identification of operating conditions associated with increased actuator activity. In particular, higher effective mechanical stiffness may lead to increased torque fluctuations and elevated RMS values, reflecting higher control activity and potential susceptibility to chatter. While not a direct measure of mechanical wear, this metric offers an indirect indication of increased power demand and actuator solicitation in stiff mechanical configurations.
Performance indicators are calculated for each combination of investigated mechanical parameters, including different prestress levels, applied loads, and active cable lengths. Comparing the obtained values allows the evaluation of the influence of variable mechanical stiffness on the accuracy and stability of force control, both in simulations and experiments. By using a common evaluation protocol for simulations and experiments, the analysis ensures consistency in the interpretation of the results and allows for direct correlation of the effects of mechanical stiffness with quantitative indicators of control performance. Differences between numerical and experimental responses are interpreted in light of unmodeled effects, including hysteresis and energy dissipation phenomena inherent to cable-driven transmissions. This methodology enables the evaluation of force control performance degradation caused by variable mechanical stiffness independently of controller redesign, highlighting stiffness as a critical but often overlooked factor in cable-driven robotic actuators.

3. Results

The results presented are obtained by applying the methodology described previously, using numerical simulations and experiments performed under controlled mechanical conditions. The force control performance evaluation is performed for an actuator intended for cable-actuated parallel robots by reporting the time evolutions of the force and the quantitative indicators calculated based on the tracking error. For all analyzed cases, identical reference force profiles and unchanged control parameters are used so that the reported differences are exclusively associated with the variations in the effective mechanical stiffness.
The numerical simulations are performed for three distinct values of the equivalent mechanical stiffness, corresponding to different conditions of pretension, applied load, and active cable length. The stiffness variation range is chosen to cover representative ranges for CDPR applications, including situations with pronounced compliance and situations with stiffer mechanical behavior. For each case, the same reference force signal is imposed, consisting of a sinusoidal variation with an amplitude of 80 N and a frequency of 0.5 Hz, for a sufficient duration to evaluate the transient and quasi-steady state.
The time evolutions of the cable force transmitted from the simulations are presented in Figure 2, where the responses corresponding to the three values of mechanical stiffness are represented together with the reference force. For the lowest stiffness, the control response presents a visible delay with respect to the reference, as well as transient oscillations with relatively large amplitude, which persist for several periods of the signal.
In the case of intermediate stiffness, the phase delay is smaller and the transient oscillations are attenuated compared to the previous case. For the highest stiffness, the force evolution follows the reference signal more closely, both in terms of amplitude and phase, throughout the simulation. The representation in Figure 2 allows direct observation of the differences between the responses corresponding to the different stiffness levels, differences that manifest themselves both in the transient regime and in the stabilized periodic regime.
To complete the analysis based on temporal evolutions, the performance of the force control is evaluated by quantitative indicators calculated based on the tracking error. The values of the mean square error, the maximum absolute error, and the standard deviation are summarized in Table 1 for each value of the mechanical stiffness analyzed.
The indicators presented in Table 1 highlight consistent differences between the investigated cases, both in terms of steady-state accuracy and transient settling behavior evaluated using a ±2% force tolerance band. The RMSE and maximum error values are higher for low mechanical stiffness and progressively decrease as the stiffness increases. The standard deviation of the error follows the same trend, reflecting more pronounced variations in the error under high compliance conditions. The results indicate the existence of a stiffness-dependent performance threshold, below which force tracking accuracy degrades rapidly despite unchanged control parameters.
On the other hand, the experimental results are obtained for the same levels of mechanical stiffness investigated numerically by adjusting the prestress and the load applied to the test bench. The reference force profiles and the controller parameters are kept identical to those used in the simulations to allow a direct reporting of the differences between the numerical and measured results. The experimental data are processed according to the described procedures, including signal filtering and acquisition synchronization.
The temporal evolutions of the force measured in the experiments are presented in Figure 3. The obtained responses show additional fluctuations compared to the simulations throughout the test duration. For reduced mechanical stiffness, transient oscillations are more pronounced, and differences from the reference signal are more evident near the force extremes.
For the intermediate stiffness level, the amplitude of the observed fluctuations in the force signal is smaller, and the tracking of the reference signal shows a more uniform variation during the test. Under conditions of high mechanical stiffness, the evolution of the measured force follows the shape of the reference signal more closely, with deviations in amplitude and phase being limited over the entire analysis interval. The representations shown in Figure 3 facilitate the direct comparison of the experimental responses corresponding to different mechanical conditions, allowing the observation of differences in the behavior of the system throughout the entire test duration.
The values reported in Table 2 provide a quantitative framework for evaluating the performance of the force control under experimental conditions, allowing the examination of the influence of mechanical stiffness on the behavior of the system in real operating conditions. For all conditions analyzed, the values of the mean square error, the maximum absolute error and the standard deviation exceed the corresponding values obtained by simulation. However, the relative hierarchy of indicators according to mechanical stiffness is maintained, and the variations between the investigated cases present magnitudes comparable to those observed in the numerical analysis.
These results suggest that mechanical stiffness acts as a limiting factor for force control robustness, which cannot be compensated solely by controller tuning under highly compliant conditions. A systematic comparative analysis is carried out by correlating the root mean square error values obtained from numerical simulations and experimental tests. The dependence of RMSE on the effective mechanical stiffness, corresponding to both sets of results, is synthetically presented in Figure 4.
The differences between the numerically estimated values and those determined experimentally are additionally quantified in Table 3, in the form of relative deviations calculated for each analyzed mechanical condition. These deviations are influenced by unmodeled effects such as hysteresis and friction at the drum and guiding elements, whose contribution becomes more pronounced as cable tension and effective mechanical stiffness increase.
The obtained values indicate the existence of moderate amplitude discrepancies between the simulation and experimental results for all levels of stiffness investigated, with a tendency to accentuate the deviations with increasing effective mechanical stiffness. These discrepancies can be partially attributed to hysteresis and energy dissipation effects inherent to cable-driven transmissions, which are not explicitly included in the simplified stiffness-based model but become more apparent in experimental measurements, particularly during cyclic loading conditions.
The combined analysis of Figure 4 and the relative deviations reported in Table 3 shows that, for the investigated operating conditions, the relative difference between simulated and experimental RMSE values ranges from 15.9% to 26.9%, with a systematic increase observed at higher effective mechanical stiffness. Despite the observed deviations, the consistent trends between simulation and experimental results confirm that the proposed modeling and evaluation framework captures the dominant mechanisms governing force control performance in cable-driven robotic actuators.
The systematic increase in the simulation–experiment deviation observed at higher effective mechanical stiffness is not arbitrary, but correlates with operating conditions characterized by increased cable tension and control effort. As shown by the monotonic increase in both the commanded torque RMS and the effective stiffness level, higher-stiffness regimes amplify frictional losses, hysteresis effects, and local compliance contributions that are not explicitly included in the simplified stiffness-based model.
Although these phenomena are not modeled explicitly, their impact is indirectly validated through the consistent correlation between stiffness level, control effort, and deviation magnitude across all investigated operating conditions. The fact that the deviation increases monotonically with effective stiffness, while preserving the same hierarchy of force tracking performance between simulation and experiment, indicates that the observed discrepancies originate from physically meaningful mechanisms rather than from numerical artifacts or controller mistuning.
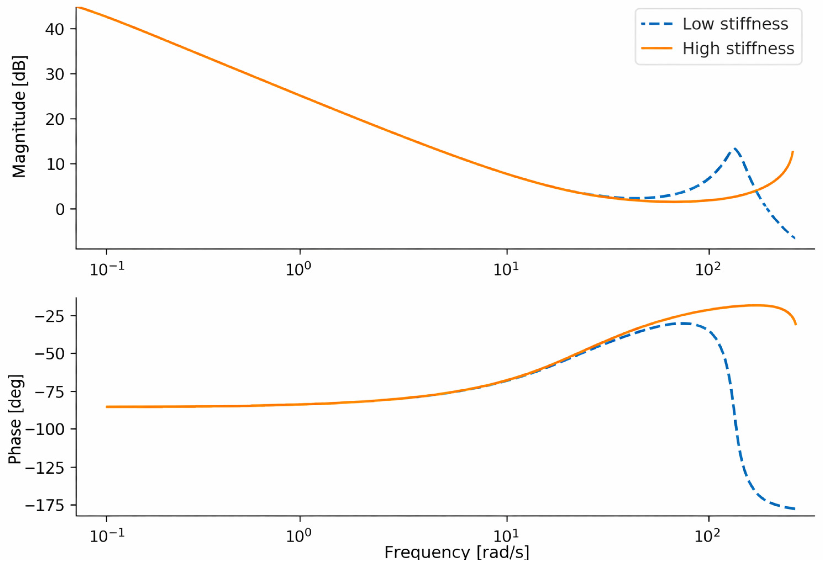
A frequency-domain analysis was conducted to investigate how variations in effective mechanical stiffness influence the closed-loop bandwidth of the force-controlled actuator. This analysis provides additional insight into the stiffness-dependent dynamic behavior of the system and supports the interpretation of the experimental and numerical results presented previously.
The analysis is based on a linearized representation of the actuator and control dynamics around selected operating points corresponding to low and high effective mechanical stiffness. Linearization is performed assuming small perturbations around steady operating conditions, where the incremental stiffness formulation introduced is valid. Under these assumptions, the closed-loop force control behavior can be approximated by a linear transfer function relating the force reference to the transmitted force.
Figure 5 presents the Bode magnitude and phase plots of the linearized force control loop, highlighting stiffness-dependent variations in the achievable closed-loop bandwidth. The results show a clear shift in the system bandwidth as the effective mechanical stiffness varies. In the low-stiffness case, the magnitude response exhibits a reduced bandwidth and increased phase lag, indicating slower force response and limited tracking capability at higher frequencies.
Conversely, increasing the effective mechanical stiffness leads to a higher closed-loop bandwidth and reduced phase lag over the frequency range of interest. This behavior reflects a more direct transmission of motor torque into cable force and is consistent with the improved tracking accuracy observed in the time-domain results. However, the frequency response also indicates increased sensitivity to unmodeled high-frequency effects in stiff regimes, which contributes to the larger discrepancies observed between numerical simulations and experimental results.
As a whole, the frequency-domain analysis confirms that effective mechanical stiffness directly influences the dynamic characteristics and bandwidth of force-controlled cable-driven actuators. These results highlight that stiffness-dependent bandwidth limitations constitute a fundamental mechanism through which mechanical properties affect force control performance, even when controller structure and parameters remain unchanged.

4. Discussion

The results obtained in the numerical and experimental analysis indicate a clear dependence between the mechanical properties of the actuator and the performance of closed-loop force control. Even under identical controller structure and tuning parameters, variations in effective mechanical stiffness produce measurable changes in tracking accuracy, dynamic response, and robustness. These observations motivate a detailed discussion of the mechanisms through which stiffness variations influence force control behavior and how these effects relate to existing approaches reported in the literature.

4.1. Influence of Variable Mechanical Stiffness on Force Control Performance

The results indicate that the performance of the force control is conditioned by the real mechanical characteristics of the actuator system, and their evaluation becomes necessary for the coherent interpretation of the closed-loop response. The observed relationship between stiffness and performance is evident throughout the tests, both in simulations and experiments, which supports the generality of the conclusions obtained and their relevance for a wide range of operating conditions.
For conditions characterized by reduced mechanical stiffness, the relationship between cable displacement and force transmitted to the load presents a higher degree of decoupling, associated with the elasticity of the mechanical assembly. The corresponding manifestations include more pronounced phase delays and transient oscillations with increased amplitude, observable in the time evolution of the force. The respective effects can be attributed to the limited capacity of the system to transform the imposed displacement variations into proportional changes in the transmitted force.
The increase in mechanical stiffness leads to a more direct transmission of the mechanical effort, and the closed-loop response presents more limited variations in both amplitude and phase during the analyzed operating regime. Correlating these trends with quantitative performance indicators confirms the dependence between elastic properties and the stability of the force control response, highlighting the influence of mechanical compliance on tracking accuracy.
The observed developments indicate that the effective mechanical stiffness influences the robustness of the force control against disturbances and variations in operating conditions. The frequency-domain analysis further shows that stiffness variations induce a shift in the closed-loop bandwidth, providing a complementary explanation for the stiffness-dependent tracking limitations observed in the time-domain response.
In regimes with high compliance, the sensitivity of the system to external excitations and internal disturbances is amplified, which is reflected in the increase in the variability of the tracking error and in the appearance of persistent transient oscillations. In regimes characterized by higher mechanical stiffness, the disturbing effects are attenuated to a more pronounced extent, and the closed-loop response presents a superior consistency over extended operating ranges.
The conceptual comparison with existing studies in the specialized literature highlights clear differences in focus [5,7,35,36,37]. Numerous contributions dedicated to cable-actuated actuators focus on the synthesis of control structures, on the compensation of frictions, or on the attenuation of motion-induced disturbances, treating the mechanical stiffness in an implicit manner or considering it constant [8,11,38,39,40]. In such contexts, the variations in stiffness are indirectly absorbed in the empirical adjustments of the control parameters.
The presented analysis treats the mechanical stiffness as a variable parameter dependent on the operating conditions, and the results show that the changes in stiffness can lead to significant differences in performance even in the absence of changes in the controller structure. The differences identified between the numerical and experimental results can be associated with the influence of nonlinear phenomena, the real distribution of mechanical compliance, and the effects introduced by the guiding and transmission elements, which are not fully captured by the lumped modeling used in the analysis. Speed-dependent friction, mechanical clearances, and local variations in material properties become more visible as the global elastic behavior approaches a stiffer regime, which explains the tendency for relative deviations to increase for high values of mechanical stiffness.

4.2. Error Budget and Sources of Discrepancy

Hysteresis and energy dissipation effects represent a significant source of discrepancy between the numerical and experimental results. These effects arise from internal friction between cable strands, repeated bending and unbending over guiding elements, and micro-sliding phenomena within the transmission. While not explicitly modeled in the present study, hysteresis contributes to asymmetric force–displacement behavior during loading and unloading cycles and leads to increased tracking errors in experimental force control tests.
The influence of hysteresis is therefore implicitly reflected in the experimental performance indicators and constitutes an inherent limitation of simplified stiffness-based models for cable-driven actuators. Within the scope of the present control-oriented analysis, these effects are treated as part of the uncertainty affecting the force control response rather than as explicitly modeled dynamic phenomena.
In addition, friction at the drum and guiding elements constitutes a non-negligible source of energy loss in cable-driven actuators. These frictional effects depend on cable tension, contact conditions, and wrap geometry and introduce force transmission losses that are not captured by the simplified stiffness-based model. Their influence is implicitly reflected in the experimental force measurements and contributes to the observed discrepancies between numerical simulations and experimental results, particularly under higher load and stiffness conditions.
Geometric stiffness contributions associated with cable sag due to self-weight are not included in the present analysis, as the investigated actuator operates with short cable spans and sufficient pretension to render sag-related effects negligible within the tested operating range.
Similarly, thermal effects and creep phenomena, which may alter cable stiffness over long time scales or under sustained cyclic loading, are not explicitly modeled. Given the short duration of the experimental tests and the controlled ambient conditions, these effects are considered negligible for the scope of the present analysis and are therefore treated as secondary sources of uncertainty rather than dominant contributors to the observed force control behavior.
Extending the analysis to long-duration operating regimes or high-duty industrial cycles, where thermal effects and creep may significantly influence cable stiffness, represents a relevant direction for future research. Although slack cable conditions are avoided through enforced pretension above a minimum threshold T m i n and anti-windup protection, proximity to low-tension regimes may still amplify the sensitivity of the force control response to unmodeled effects, contributing marginally to experimental variability.
The discrepancies observed between numerical simulations and experimental results can be attributed to a combination of unmodeled mechanical phenomena and measurement uncertainties inherent to cable-driven actuator systems. Although the proposed model captures the dominant stiffness-dependent mechanisms influencing force control performance, several secondary effects contribute to the residual differences between predicted and measured responses.
One important source of discrepancy is hysteresis and energy dissipation within the cable-driven transmission. Internal friction between cable strands, repeated bending and unbending over guiding elements, and micro-sliding effects lead to asymmetric force–displacement behavior during loading and unloading cycles. These effects are not explicitly modeled in the stiffness-based formulation and therefore manifest as additional tracking errors in the experimental force signals, particularly under cyclic operation.
Friction at the drum and guiding elements represents another significant contributor to the error budget. These frictional losses depend on cable tension, contact conditions, and wrap geometry and introduce force transmission losses that are not captured by the simplified mechanical model. Their influence becomes more pronounced at higher tension levels and contributes to the increasing deviation observed between simulation and experimental results for higher effective mechanical stiffness.
Measurement-related uncertainties also contribute to the observed discrepancies. The in-line force sensor exhibits a combined non-linearity and hysteresis error below ±0.5% of full-scale output, according to manufacturer specifications. While this level of sensor uncertainty is small relative to the investigated force range, it contributes to the dispersion of experimental measurements and is implicitly reflected in the experimental performance indicators.
Additional minor sources of discrepancy include unmodeled compliance in mechanical interfaces, limited motor-side backlash, and signal conditioning effects. These factors are not dominant in the investigated operating range but collectively contribute to the deviation between numerical and experimental results.
Taken together, these sources define an error budget dominated by hysteresis and frictional effects, with secondary contributions from sensing and mechanical imperfections. The magnitude of the observed discrepancies remains within the range commonly reported for cable-driven actuators, and the consistent trends between simulation and experiment confirm that the proposed modeling framework captures the primary mechanisms governing force control performance under variable mechanical stiffness.

4.3. Modeling and Experimental Limitations

The limitations of the study are primarily related to the experimental conditions used to characterize the actuator behavior. The force control identification and evaluation tests were performed on a dedicated test bench, designed to allow controlled variation in the effective mechanical stiffness by adjusting the pretension and the applied load. In this context, the mechanical interaction was imposed by a simplified loading mechanism, and the completely rigid fixation of the cable was not used throughout the dynamic tests. The known properties of cable-actuated systems, characterized by low elastic stiffness and limited damping, favor the appearance of oscillations when sudden force variations are applied in the open-loop regime.
In order to limit oscillatory excitations and obtain reproducible data, the experimental conditions were chosen to avoid abrupt changes in force under rigid fixation. A rigid mechanical cable fixation, combined with aggressive dynamic testing, would have required the implementation of dedicated vibration suppression strategies. Investigation of additional stabilization methods, such as mechanical damping solutions or active vibration control strategies, is an important direction for further research, especially for regimes characterized by high mechanical stiffness and pronounced dynamic stresses.
Another set of limitations is associated with the mechanical modeling used in the analysis. The formulated relationships describe the global elastic behavior of the actuator through a concentrated modeling, which captures the relationship between cable displacement and transmitted force but does not explicitly include the full distribution of spring-damper properties of the cable and transmission elements. Under operating conditions with rapid speed or load variations, distributed effects may become more pronounced, and the integration of an extended mechanical model would allow a more faithful description of the system dynamics.
The stiffness modeling adopted in this study is intended for control-oriented analysis and is based on incremental stiffness evaluated around stable operating points. Although nonlinear elastic behavior and hysteresis are inherent to cable materials, the proposed formulation remains valid within the experimentally investigated force range and provides a consistent basis for comparing force control performance under varying mechanical conditions.
Also, the analysis of motion-induced disturbances was performed in a limited speed range, corresponding to the experimentally investigated conditions. The actuator behavior at higher speeds or in regimes with accentuated accelerations was not explicitly evaluated. Extending the study to a wider range of speeds and accelerations would allow a more detailed investigation of the influence of mechanical stiffness on the sensitivity of force control to dynamic disturbances and would contribute to the refinement of the models used.
The force controller parameters were selected to allow a coherent comparison between different mechanical stiffness conditions, and they were kept constant during the analysis. This choice facilitated the explicit identification of stiffness-dependent effects on force control performance. While adaptive or gain-scheduled control strategies could compensate for stiffness variations and improve performance at each operating point, their use would mask the mechanical phenomena investigated in this study. As such, the present analysis does not aim at controller optimization, but rather at revealing how variations in mechanical stiffness alone affect closed-loop force control behavior. Techniques based on pole assignment or explicit modeling of perturbation sensitivity can be investigated to develop control strategies better adapted to variations in mechanical stiffness.

4.4. Implications for Control Design and Future Research

From a control-theoretic perspective, the force regulation strategy adopted in this study can be positioned relative to modern force control approaches such as adaptive, gain-scheduled, or model-predictive control schemes. These methods are commonly employed to compensate for plant parameter variations, including stiffness changes, by dynamically adjusting controller gains or explicitly incorporating stiffness estimates into the control law. In such frameworks, variations in mechanical stiffness are treated as disturbances or uncertainties to be actively compensated.
The decision to maintain constant force controller parameters across all investigated stiffness conditions was made deliberately to isolate the influence of mechanical stiffness variations on closed-loop force control performance. To rule out the possibility that the observed performance degradation under compliant conditions originates from controller mistuning rather than from mechanical effects, the robustness of the selected controller gains was examined with respect to stiffness-induced variations in the plant dynamics.
The frequency-domain analysis presented in Figure 5 shows that, for all investigated stiffness conditions, the closed-loop system preserves a positive phase margin and gain margin within the frequency range relevant for force regulation. Although variations in effective mechanical stiffness induce measurable shifts in the closed-loop bandwidth, the controller remains stable and well within its robustness margins for both low- and high-stiffness operating points.
These results indicate that the force controller does not become unstable or marginally stable as stiffness decreases, and that the observed degradation in tracking accuracy and bandwidth under compliant conditions cannot be attributed to a loss of controller robustness or to progressive mistuning. Instead, the reduced performance directly reflects the stiffness-dependent limitations of force transmission and dynamic response inherent to the mechanical system. Consequently, the adopted fixed-parameter controller configuration provides a valid basis for attributing the observed performance variations to changes in effective mechanical stiffness, rather than to variations in controller tuning or stability properties.
In contrast, the present study deliberately employs a fixed-parameter PI force controller as a reference benchmark, in order to isolate and quantify the influence of mechanical stiffness variations on force control performance without masking these effects through adaptive compensation. The obtained results demonstrate that stiffness-induced performance variations—such as RMSE reductions exceeding 50% and measurable shifts in closed-loop bandwidth—are comparable in magnitude to the performance improvements typically reported for advanced control strategies in cable-driven robotic systems.
This comparison indicates that a significant portion of the force control performance commonly attributed to advanced control algorithms may, in practice, originate from unaccounted variations in mechanical stiffness. Consequently, stiffness-aware modeling and evaluation should be regarded as a complementary benchmark to controller complexity when assessing force control performance in cable-driven actuators.
Regarding experimental implementation, the development of an automated loading system, capable of imposing the position and force of the cable in a precise and repeatable manner, would allow the extension of dynamic tests without manual intervention and with tighter control of mechanical conditions. Such a system would facilitate the investigation of more complex scenarios, including tests with rapid variations in load and position, and support the evaluation of advanced force control strategies under conditions closer to real applications.
Overall, the identified limitations do not invalidate the conclusions of the study but delimit the validity domain of the results and indicate clear directions for further research. Integrating more detailed mechanical models, expanding the dynamic testing scope, and investigating advanced control strategies can further strengthen the understanding of the relationship between variable mechanical stiffness and force control performance in actuators for cable-actuated parallel robots.

5. Conclusions

The presented research systematically analyzed the influence of variable mechanical stiffness on the force control performance in actuators for cable-actuated parallel robots through a combination of numerical evaluations and experiments performed at the individual actuator level. The obtained results confirm that the elastic properties of the mechanical assembly, determined by the cable, the transmission elements, and the supporting structure, are directly reflected in the closed-loop behavior of the force control, even under the conditions of keeping the controller structure and the tuning parameters unchanged. Specifically, the experimental results show a reduction in the force tracking RMSE of more than 50% between low- and high-stiffness operating conditions.
Comparative analysis of different mechanical stiffness conditions revealed that compliance variations influence both the accuracy of force tracking and the consistency of the dynamic response. The frequency-domain results further demonstrate that effective mechanical stiffness directly affects the achievable force control bandwidth, as illustrated by the measurable shift in the closed-loop bandwidth observed in the linearized frequency response.
Regimes characterized by reduced mechanical stiffness are associated with higher sensitivity to perturbations and more pronounced fluctuations in the tracking error, while increasing mechanical stiffness leads to a more stable and predictable response. These trends are reflected in the reduction in both RMSE and maximum absolute force error reported for increasing stiffness levels.
Conceptually, the results show that the performance of force control cannot be evaluated exclusively through the prism of the algorithmic structure of the controller. The real mechanical properties of the actuator condition the behavior of the system and explain a significant part of the performance variations observed in practice. In this study, stiffness variations alone produced performance differences comparable to those typically achieved through controller retuning, despite identical control gains. Treating the mechanical stiffness as a parameter dependent on the operating conditions provides a more adequate framework for interpreting the closed-loop response and for understanding the performance limits of cable actuators.
The practical implications of the conclusions obtained are relevant for the adjustment of force control in actuators used in CDPR systems. Explicit integration of information regarding effective mechanical stiffness can support a more informed adaptation of the control parameters, reducing dependence on empirical adjustments made under particular test conditions. The results indicate that neglecting stiffness variability can lead to force tracking errors exceeding 50% compared to stiff operating regimes. This viewpoint fosters the advancement of more resilient control systems, adept at sustaining uniform performance amidst inevitable fluctuations in mechanical properties.
Future research directions are oriented towards extending the analysis to CDPR systems with multiple actuators, as well as towards the investigation of adaptive or gain-scheduled force control strategies that explicitly account for stiffness variations while preserving the mechanical insights highlighted in the present actuator-level study. In such systems, local variations in the stiffness of each actuator can lead to complex collective behaviors, which cannot be directly deduced from the analysis of an individual actuator and which require coordinated control strategies at the system level.
In addition, the investigation of extended dynamic regimes, characterized by rapid velocity variations, high accelerations, and frequent load changes, represents an important direction for future research. The analysis of these regimes would allow the evaluation of the sensitivity of force control under conditions closer to real applications and would facilitate the integration of more detailed mechanical models and adaptive or predictive control strategies capable of taking into account variations in mechanical stiffness in real time.
On the whole, the presented results quantitatively demonstrate that variable mechanical stiffness constitutes a dominant factor in actuator-level force control performance for cable-driven robotic systems. Across the investigated operating conditions, stiffness variations alone led to a reduction in the force tracking RMSE exceeding 50% between compliant and stiff regimes, accompanied by a consistent decrease in maximum absolute force error and a measurable increase in closed-loop bandwidth. These effects were observed under identical controller structure and tuning, confirming that stiffness-dependent mechanical properties can impose performance limitations comparable in magnitude to those addressed through controller redesign. The findings indicate that neglecting stiffness variability can result in substantial degradation of force tracking accuracy and dynamic response, particularly in compliant operating regimes. Consequently, stiffness-aware modeling and evaluation are essential for the reliable assessment and design of force control strategies in cable-driven actuators operating under variable mechanical conditions.

Author Contributions

Conceptualization, I.O. and A.-M.I.; methodology, I.O.; software, I.O.; validation, I.O. and A.-M.I.; formal analysis, I.O. and A.-M.I.; investigation, I.O. and A.-M.I.; resources, A.-M.I.; data curation, I.O. and A.-M.I.; writing—original draft preparation, I.O. and A.-M.I.; writing—review and editing, I.O.; visualization, I.O.; supervision, I.O.; project administration, I.O. All authors have read and agreed to the published version of the manuscript.

Funding

This research received no external funding.

Institutional Review Board Statement

Not applicable.

Informed Consent Statement

Not applicable.

Data Availability Statement

The raw data supporting the conclusions of this article will be made available by the authors on request.

Conflicts of Interest

The authors declare no conflicts of interest.

Abbreviations and Nomenclature

The following abbreviations and Nomenclature are used in this manuscript:
CDPRCable-Driven Parallel Robot
PIProportional–Integral (controller)
RMSERoot Mean Square Error
SDStandard Deviation
SymbolDescriptionUnit
TCable tensionN
T m i n Minimum cable pretensionN
F d Desired (reference) forceN
F m Measured cable forceN
e F Force tracking errorN
k c Axial stiffness of the cableN/m
k t Equivalent stiffness of the transmission elementsN/m
k s Structural stiffness of the support frameN/m
k e f f Effective mechanical stiffness of the actuatorN/m
k e q Equivalent stiffness estimated from analytical modelN/m
r Effective drum radiusm
Δ l Variation in active cable lengthm
θ Drum angular displacementrad
τ m Motor torqueNm
K p Proportional gain of the force controllerNm/N
K i Integral gain of the force controllerNm/(N·s)
RMSERoot mean square force tracking errorN
e m a x Maximum absolute force errorN
σ e Standard deviation of force tracking errorN
NNumber of samples

References

  1. Martin, C.; Fabritius, M.; Stoll, J.T.; Pott, A. A Laser-Based Direct Cable Length Measurement Sensor for CDPRs. Robotics 2021, 10, 60. [Google Scholar] [CrossRef]
  2. Gosselin, C. Cable-driven parallel mechanisms: State of the art and perspectives. Mech. Eng. Rev. 2014, 1, DSM0004. [Google Scholar] [CrossRef]
  3. Pott, A. Cable-Driven Parallel Robots: Theory and Application; Springer: Berlin, Germany, 2018. [Google Scholar]
  4. Mahdi, S.M.; Abdulkareem, A.I.; Humaidi, A.J.; Mhdawi, A.K.A.; Al-Raweshidy, H. Comprehensive review of control techniques for various mechanisms of parallel robots. IEEE Access 2025, 13, 63381–63416. [Google Scholar] [CrossRef]
  5. Qian, S.; Zi, B.; Shang, W.-W.; Xu, Q.-S. A review on cable-driven parallel robots. Chin. J. Mech. Eng. 2018, 31, 66. [Google Scholar] [CrossRef]
  6. Xiong, H.; Diao, X. A review of cable-driven rehabilitation devices. Disabil. Rehabil. Assist. Technol. 2020, 15, 885–897. [Google Scholar] [CrossRef] [PubMed]
  7. Zarebidoki, M.; Dhupia, J.S.; Xu, W. A review of cable-driven parallel robots: Typical configurations, analysis techniques, and control methods. IEEE Rob. Autom. Mag. 2022, 29, 89–106. [Google Scholar] [CrossRef]
  8. Tho, T.P.; Thinh, N.T. An overview of cable-driven parallel robots: Workspace, tension distribution, and cable sagging. Math. Probl. Eng. 2022, 2022, 2199748. [Google Scholar] [CrossRef]
  9. Zhang, Z.; Shao, Z.; You, Z.; Tang, X.; Zi, B.; Yang, G.; Gosselin, C.; Caro, S. State-of-the-art on theories and applications of cable-driven parallel robots. Front. Mech. Eng. 2022, 17, 37. [Google Scholar] [CrossRef]
  10. Kraus, W.; Miermeister, P.; Pott, A. Investigation of the influence of elastic cables on the force distribution of a parallel cable-driven robot. In Cable-Driven Parallel Robots; Springer: Berlin/Heidelberg, Germany, 2013; pp. 103–115. [Google Scholar]
  11. Perreault, S.; Gosselin, C.M. Cable-driven parallel mechanisms: Application to a locomotion interface. J. Mech. Des. 2008, 130, 102301. [Google Scholar] [CrossRef]
  12. Pham, C.B.; Yang, G.; Yeo, S.H. Dynamic analysis of cable-driven parallel mechanisms. In Proceedings of the 2005 IEEE/ASME International Conference on Advanced Intelligent Mechatronics, Monterey, CA, USA, 24–28 July 2005; pp. 612–617. [Google Scholar]
  13. Idà, E.; Briot, S.; Carricato, M. Natural Oscillations of Underactuated Cable-Driven Parallel Robots. IEEE Access 2021, 9, 71660–71672. [Google Scholar] [CrossRef]
  14. Garrido, J.; Vales, J.; Silva-Muñiz, D.; Riveiro, E.; López-Matencio, P.; Rivera-Andrade, J. Adaptive Gaussian Mixture Models-Based Anomaly Detection for Under-Constrained Cable-Driven Parallel Robots. Robotics 2025, 14, 164. [Google Scholar] [CrossRef]
  15. Zhang, Z.; Meng, Q.; Cui, Z.; Yao, M.; Shao, Z.; Tao, B. Machine Learning Applications in Parallel Robots: A Brief Review. Machines 2025, 13, 565. [Google Scholar] [CrossRef]
  16. Merlet, J.P.; Tissot, R. A Panorama of Methods for Dealing with Sagging Cables in Cable-Driven Parallel Robots. In Advances in Robot Kinematics 2022; Altuzarra, O., Kecskeméthy, A., Eds.; Springer International Publishing: Cham, Switzerland, 2022; pp. 122–130. [Google Scholar]
  17. Zou, Y.; Wu, X.; Zhang, B.; Zhang, Q.; Zhang, A.; Qin, T. Stiffness analysis of parallel cable-driven upper limb rehabilitation robot. Micromachines 2022, 13, 253. [Google Scholar] [CrossRef] [PubMed]
  18. Behzadipour, S.; Khajepour, A. Stiffness of Cable-based Parallel Manipulators with Application to Stability Analysis. J. Mech. Des. 2005, 128, 303–310. [Google Scholar] [CrossRef]
  19. Picard, E.; Caro, S.; Plestan, F.; Claveau, F. Stiffness oriented tension distribution algorithm for cable-driven parallel robots. In Advances in Robot Kinematics 2020; Springer International Publishing: Cham, Switzerland, 2021. [Google Scholar]
  20. Fang, S.; Franitza, D.; Torlo, M.; Bekes, F.; Hiller, M. Motion control of a tendon-based parallel manipulator using optimal tension distribution. IEEE/ASME Trans. Mechatron. 2004, 9, 561–568. [Google Scholar] [CrossRef]
  21. Mattioni, V.; Idà, E.; Carricato, M. Force-distribution sensitivity to cable-tension errors in overconstrained cable-driven parallel robots. Mech. Mach. Theory 2022, 175, 104940. [Google Scholar] [CrossRef]
  22. Idà, E.; Mattioni, V. Cable-driven parallel robot actuators: State of the art and novel servo-winch concept. Actuators 2022, 11, 290. [Google Scholar] [CrossRef]
  23. Vu, M.-T.; Hsia, K.-H.; El-Sousy, F.F.M.; Rojsiraphisal, T.; Rahmani, R.; Mobayen, S. Adaptive Fuzzy Control of a Cable-Driven Parallel Robot. Mathematics 2022, 10, 3826. [Google Scholar] [CrossRef]
  24. Merlet, J.P. Comparison of Actuation Schemes for Wire-Driven Parallel Robots. In New Trends in Mechanism and Machine Science; Viadero, F., Ceccarelli, M., Eds.; Springer: Dordrecht, The Netherlands, 2013; pp. 245–254. [Google Scholar]
  25. Khosravi, M.A.; Taghirad, H.D. Robust PID control of fully-constrained cable driven parallel robots. Mechatronics 2014, 24, 87–97. [Google Scholar] [CrossRef]
  26. Heap, W.E.; Keeley, C.T.; Yao, E.B.; Naclerio, N.D.; Hawkes, E.W. Miniature, Lightweight, High-Force, Capstan Winch for Mobile Robots. IEEE Robot. Autom. Lett. 2022, 7, 9873–9880. [Google Scholar] [CrossRef]
  27. Gonzalez-Rodriguez, A.; Castillo-Garcia, F.; Ottaviano, E.; Rea, P.; Gonzalez-Rodriguez, A. On the effects of the design of cable-Driven robots on kinematics and dynamics models accuracy. Mechatronics 2017, 43, 18–27. [Google Scholar] [CrossRef]
  28. Abdelaziz, S.; Barbé, L.; Renaud, P.; de Mathelin, M.; Bayle, B. Control of cable-driven manipulators in the presence of friction. Mech. Mach. Theory 2017, 107, 139–147. [Google Scholar] [CrossRef]
  29. Dallej, T.; Gouttefarde, M.; Andreff, N.; Michelin, M.; Martinet, P. Towards vision-based control of cable-driven parallel robots. In Proceedings of the 2011 IEEE/RSJ International Conference on Intelligent Robots and Systems, San Francisco, CA, USA, 25–30 September 2011; pp. 2855–2860. [Google Scholar]
  30. Babaghasabha, R.; Khosravi, M.A.; Taghirad, H.D. Adaptive robust control of fully-constrained cable driven parallel robots. Mechatronics 2015, 25, 27–36. [Google Scholar] [CrossRef]
  31. Qi, R.; Rushton, M.; Khajepour, A.; Melek, W.W. Decoupled modeling and model predictive control of a hybrid cable-driven robot (HCDR). Robot. Auton. Syst. 2019, 118, 1–12. [Google Scholar] [CrossRef]
  32. Merlet, J.-P. Improving cable length measurements for large CDPR using the Vernier principle. In Cable-Driven Parallel Robots; Pott, A., Bruckmann, T., Eds.; Springer: Cham, Switzerland, 2019; Volume 74, pp. 47–58. [Google Scholar]
  33. Wang, R.; Li, J.; Li, Y. A Review on Design, Modeling and Control Technology of Cable-Driven Parallel Robots. Robotics 2025, 14, 116. [Google Scholar] [CrossRef]
  34. Hazem, Z.B.; Fotuhi, M.J.; Bingül, Z. A Comparative Study of the Friction Models with Adaptive Coefficients for a Rotary Triple Inverted Pendulum. In Proceedings of the 6th International Conference on Control Engineering & Information Technology (CEIT), Istanbul, Turkey, 25–27 October 2018; pp. 1–6. [Google Scholar] [CrossRef]
  35. Meunier, G.; Boulet, B.; Nahon, M. Control of an Overactuated Cable-Driven Parallel Mechanism for a Radio Telescope Application. IEEE Trans. Control. Syst. Technol. 2009, 17, 1043–1054. [Google Scholar] [CrossRef]
  36. Cavalcanti Santos, J.; Gouttefarde, M. A simple and efficient non-model-based cable tension control. In Proceedings of the CableCon 2021—5th International Conference on Cable-Driven Parallel Robots, Virtual, 7–9 July 2021. [Google Scholar]
  37. Jamshidifar, H.; Khosravani, S.; Fidan, B.; Khajepour, A. Vibration decoupled modeling and robust control of redundant cable-driven parallel robots. IEEE/ASME Trans. Mechatron. 2018, 23, 690–701. [Google Scholar] [CrossRef]
  38. Miermeister, P.; Pott, A. Auto Calibration Method for Cable-Driven Parallel Robots Using Force Sensors. In Latest Advances in Robot Kinematics; Lenarcic, J., Husty, M., Eds.; Springer: Dordrecht, The Netherlands, 2012; pp. 269–276. [Google Scholar]
  39. Tempel, P.; Schnelle, F.; Pott, A.; Eberhard, P. Design and programming for cable-driven parallel robots in the German pavilion at the EXPO 2015. Machines 2015, 3, 223–241. [Google Scholar] [CrossRef]
  40. Miermeister, P.; Pott, A.; Verl, A. Dynamic modeling and hardware-in-the-loop simulation for the cable-driven parallel robot IPAnema. In Proceedings of the ISR 2010 (41st International Symposium on Robotics) and ROBOTIK 2010 (6th German Conference on Robotics), Munich, Germany, 7–9 June 2010; pp. 1–8. [Google Scholar]
Figure 1. Schematic illustration of the cable-driven actuator configuration investigated in this study, showing: (a) Overall mechanical configuration; (b) Detail of the transmission and cable routing.
Figure 1. Schematic illustration of the cable-driven actuator configuration investigated in this study, showing: (a) Overall mechanical configuration; (b) Detail of the transmission and cable routing.
Applsci 16 01220 g001
Figure 2. Simulated force tracking response for different values of equivalent mechanical stiffness.
Figure 2. Simulated force tracking response for different values of equivalent mechanical stiffness.
Applsci 16 01220 g002
Figure 3. Experimental force tracking response under different mechanical stiffness conditions.
Figure 3. Experimental force tracking response under different mechanical stiffness conditions.
Applsci 16 01220 g003
Figure 4. Comparison of RMSE values obtained from simulation and experimental tests for different levels of mechanical stiffness.
Figure 4. Comparison of RMSE values obtained from simulation and experimental tests for different levels of mechanical stiffness.
Applsci 16 01220 g004
Figure 5. Bode magnitude and phase plots obtained from a linearized, control-oriented representation of the force control loop for two representative effective mechanical stiffness conditions.
Figure 5. Bode magnitude and phase plots obtained from a linearized, control-oriented representation of the force control loop for two representative effective mechanical stiffness conditions.
Applsci 16 01220 g005
Table 1. Simulation-based force control performance indicators under variable mechanical stiffness.
Table 1. Simulation-based force control performance indicators under variable mechanical stiffness.
Case k e g N / m RMSE [N] e m a x N σ e N
S12.0 × 1044.859.722.41
S25.0 × 1042.976.011.53
S31.0 × 1051.823.880.96
Table 2. Experimental force control performance indicators under variable mechanical stiffness.
Table 2. Experimental force control performance indicators under variable mechanical stiffness.
Case k e g N / m RMSE [N] e m a x N σ e N
E11.8 × 1045.6211.052.88
E24.7 × 1043.547.421.91
E39.2 × 1042.314.961.18
Table 3. Relative deviation between simulation and experimental RMSE values.
Table 3. Relative deviation between simulation and experimental RMSE values.
Case R M S E s i m N R M S E e x p N Deviation [%]
Low stiffness4.855.6215.9
Medium stiffness2.973.5419.2
High stiffness1.822.3126.9
Disclaimer/Publisher’s Note: The statements, opinions and data contained in all publications are solely those of the individual author(s) and contributor(s) and not of MDPI and/or the editor(s). MDPI and/or the editor(s) disclaim responsibility for any injury to people or property resulting from any ideas, methods, instructions or products referred to in the content.

Share and Cite

MDPI and ACS Style

Ifrim, A.-M.; Oncioiu, I. Variable Cable Stiffness Effects on Force Control Performance in Cable-Driven Robotic Actuators. Appl. Sci. 2026, 16, 1220. https://doi.org/10.3390/app16031220

AMA Style

Ifrim A-M, Oncioiu I. Variable Cable Stiffness Effects on Force Control Performance in Cable-Driven Robotic Actuators. Applied Sciences. 2026; 16(3):1220. https://doi.org/10.3390/app16031220

Chicago/Turabian Style

Ifrim, Ana-Maria, and Ionica Oncioiu. 2026. "Variable Cable Stiffness Effects on Force Control Performance in Cable-Driven Robotic Actuators" Applied Sciences 16, no. 3: 1220. https://doi.org/10.3390/app16031220

APA Style

Ifrim, A.-M., & Oncioiu, I. (2026). Variable Cable Stiffness Effects on Force Control Performance in Cable-Driven Robotic Actuators. Applied Sciences, 16(3), 1220. https://doi.org/10.3390/app16031220

Note that from the first issue of 2016, this journal uses article numbers instead of page numbers. See further details here.

Article Metrics

Back to TopTop