Sign in to use this feature.

Years

Between: -

Subjects

remove_circle_outline
remove_circle_outline
remove_circle_outline
remove_circle_outline
remove_circle_outline

Journals

Article Types

Countries / Regions

Search Results (107)

Search Parameters:
Keywords = c-Myc/N-Myc

Order results
Result details
Results per page
Select all
Export citation of selected articles as:
15 pages, 2575 KB  
Article
The Therapeutic Effect of a Biodegradable Long-Acting Intravitreal Implant Containing CGK012 on Neovascular Age-Related Macular Degeneration by Promoting β-Catenin Degradation
by Seoyoung Park, Jihyun Won, Jong Beom Heo, Juhyung Kang, Ye Woon Oh, Geunji Park, Giseong Lee, Jee-Hyun Lee, Gyu-Yong Song, Wonku Kang and Sangtaek Oh
Pharmaceuticals 2025, 18(12), 1884; https://doi.org/10.3390/ph18121884 - 12 Dec 2025
Viewed by 247
Abstract
Background/Objectives: Neovascular age-related macular degeneration (nAMD) poses a serious threat to the eyesight of older adults, representing a leading cause of irreversible vision loss. Anti-vascular endothelial growth factor (anti-VEGF) treatments are effective but require repeated intraocular injections and show poor responses in some [...] Read more.
Background/Objectives: Neovascular age-related macular degeneration (nAMD) poses a serious threat to the eyesight of older adults, representing a leading cause of irreversible vision loss. Anti-vascular endothelial growth factor (anti-VEGF) treatments are effective but require repeated intraocular injections and show poor responses in some patients. CGK012 is a novel derivative of decursin that inhibits the Wnt/β-catenin pathway. This study aimed to elucidate the mode of action of CGK012 and examine its therapeutic effects. Methods: We performed in vitro cellular studies in a retinal pigment epithelial (RPE) cell line (ARPE-19) and human umbilical vein endothelial cells (HUVECs). We examined the in vivo efficacy of CGK012-loaded implants in laser-induced choroidal neovascularization (CNV) rabbit models. We also determined the implants’ in vitro dissolution, intraocular release, and disposition characteristics. Results: CGK012 decreased angiogenic/proinflammatory factor expression and suppressed the epithelial–mesenchymal transition (EMT) in RPE cells by promoting intracellular β-catenin degradation. Additionally, it repressed the expression of cyclin D1 and c-myc, downstream target genes of β-catenin, and inhibited HUVEC capillary tube formation. CGK012-loaded poly (lactic-co-glycolic acid) (PLGA) intravitreal implants significantly reduced vascular leakage in a laser-induced CNV rabbit model. Notably, CGK012 released from the implant was highly permeable to retina/choroid tissue and downregulated β-catenin, angiogenic/inflammatory factors, and vimentin in the rabbit model. The CGK012 concentration reached a plateau at 28–42 days in the vitreous humor and decayed with a half-life of 14 days without systemic exposure. Conclusions: Our findings demonstrate that CGK012 implants prevent choroidal neovascularization through the Wnt/β-catenin pathway suppression and produce high concentrations of CGK012 in the posterior eye segment with prolonged release. Thus, these implants provide more therapeutic choices for nAMD treatment. Full article
(This article belongs to the Section Medicinal Chemistry)
Show Figures

Graphical abstract

22 pages, 9779 KB  
Article
Dietary Polyphenol Combinations Have a Multifaceted Inhibitory Effect on Metabolic Rewiring and Signaling Pathways in Neuroblastoma
by Natalia Karpova, Elizaveta Fefilova, Alexandra Daks, Sergey Parfenyev, Alexander Nazarov, Nick A. Barlev and Oleg Shuvalov
Pharmaceuticals 2025, 18(11), 1717; https://doi.org/10.3390/ph18111717 - 12 Nov 2025
Viewed by 637
Abstract
Background/Objectives: Numerous studies have demonstrated that dietary plant-derived polyphenols suppress signaling and metabolic pathways in various malignancies, including neuroblastoma. In the present study, we compared the inhibitory activities of selected polyphenols and their combinations on key metabolic and signaling pathways in two [...] Read more.
Background/Objectives: Numerous studies have demonstrated that dietary plant-derived polyphenols suppress signaling and metabolic pathways in various malignancies, including neuroblastoma. In the present study, we compared the inhibitory activities of selected polyphenols and their combinations on key metabolic and signaling pathways in two human neuroblastoma cell lines and two noncancerous cell lines—mesenchymal stem cells (MSCs). Methods: The influence of polyphenols on neuroblastoma cells and MSCs were studied via an MTT-assay, cell cycle analysis, and an apoptosis assay (flow cytometry). Chou-Talalay algorithms were used to quantify drug interactions. SeaHorse energy profiling was applied to study energy metabolism. The influence of the compounds on metabolic enzymes and signaling pathways was examined using immunoblotting. Total protein biosynthesis was assessed using o-propargyl-puromycin labeling (flow cytometry). Results: While most of the studied polyphenols displayed a more significant inhibitory effect on neuroblastoma cells than on mesenchymal stem cells (MSCs), we found that the combinations of curcumin and quercetin (CQ) and curcumin, quercetin, and resveratrol (CQR) were significantly superior to the individual compounds. These combinations displayed synergistic effects and inhibited the cell cycle while inducing apoptosis. The CQ and CQR combinations effectively suppressed metabolic reprogramming by downregulating key enzymes of glycolysis, respiration, one-carbon metabolism, glutaminolysis, and fatty acid biosynthesis, as well as N-Myc and c-Myc, which are master regulators of metabolic processes. Furthermore, CQ and CQR inhibited AKT/mTOR, MAPK/ERK, and WNT/β-catenin signaling pathways and total protein biosynthesis and sensitized malignant cells to doxorubicin. Conclusions: Polyphenol combinations exert multifaceted inhibitory effects on metabolic rewiring and signaling networks in neuroblastoma cells. Full article
Show Figures

Graphical abstract

17 pages, 1275 KB  
Article
miRNA Signatures in Endometrial Cancer: Implications for Oncogenesis and Polymerase Epsilon (POLE) Mutation Status
by Alexandros Lazaridis, Nikolas Dovrolis, Hector Katifelis, Despoina Myoteri, Iakovos Vlahos, Nikos F. Vlahos and Maria Gazouli
Int. J. Mol. Sci. 2025, 26(21), 10438; https://doi.org/10.3390/ijms262110438 - 27 Oct 2025
Viewed by 831
Abstract
MicroRNAs (miRNAs) are key regulators of gene expression with critical roles in oncogenic signaling. Endometrial cancer (EC) has been redefined with the identification of POLE-ultramutated tumors which, despite their hypermutated phenotype, show more favorable prognosis. We profiled miRNA expression in tumor tissues from [...] Read more.
MicroRNAs (miRNAs) are key regulators of gene expression with critical roles in oncogenic signaling. Endometrial cancer (EC) has been redefined with the identification of POLE-ultramutated tumors which, despite their hypermutated phenotype, show more favorable prognosis. We profiled miRNA expression in tumor tissues from forty (40) EC patients and twenty (20) healthy controls using qPCR panels. POLE exonuclease domain mutations (P286R, V411L) were genotyped, and subgroup analyses were conducted between POLE-mutated (n = 7) and POLE-wild-type (n = 33) tumors. Bioinformatic analyses included validated miRNA–mRNA interactions, target enrichment, and Gene Ontology (GO) pathway mapping. Comparison of EC versus healthy endometrium revealed 50 significantly dysregulated (∣log2 (FoldReg)∣ > 1 and BH FDR < 0.05) miRNAs, including up-regulation of the oncogenic hsa-miR-181a-5p, hsa-miR-23a-3p, hsa-miR-200c-3p, and down-regulation of tumor-suppressive let-7 family members. Target enrichment implicated canonical oncogenic regulators such as MYC, TP53, and VEGFA. POLE-mutated tumor analysis demonstrated a miRNA signature, with 19 miRNAs significantly down-regulated, including let-7f-5p and hsa-miR-200b-3p. Findings for the EC versus healthy endometrium comparison were validated against TCGA-UCEC sequencing data which confirmed concordant dysregulation of key miRNAs across platforms. Our findings reveal that EC is characterized by widespread miRNA deregulation, with a unique global down-regulation signature in POLE-mutated tumors. These results highlight the potential of miRNAs as complementary biomarkers for classification and potential targets in EC. Full article
(This article belongs to the Special Issue 25th Anniversary of IJMS: Updates and Advances in Molecular Oncology)
Show Figures

Figure 1

19 pages, 11017 KB  
Article
Functional Recovery by Transplantation of Human iPSC-Derived A2B5 Positive Neural Progenitor Cell After Spinal Cord Injury in Mice
by Yiyan Zheng, Xiaohui Chen, Ping Bu, Haipeng Xue, Dong H. Kim, Hongxia Zhou, Xugang Xia, Ying Liu and Qilin Cao
Int. J. Mol. Sci. 2025, 26(18), 8940; https://doi.org/10.3390/ijms26188940 - 13 Sep 2025
Viewed by 1883
Abstract
Human induced pluripotent stem cells (hiPSCs) hold great potential for patient-specific therapies. Transplantation of hiPSC-derived neural progenitor cells (NPCs) is a promising reparative strategy for spinal cord injury (SCI), but clinical translation requires efficient differentiation into desired neural lineages and purification before transplantation. [...] Read more.
Human induced pluripotent stem cells (hiPSCs) hold great potential for patient-specific therapies. Transplantation of hiPSC-derived neural progenitor cells (NPCs) is a promising reparative strategy for spinal cord injury (SCI), but clinical translation requires efficient differentiation into desired neural lineages and purification before transplantation. Here, differentiated hiPSCs—reprogrammed from human skin fibroblasts using Sendai virus-mediated expression of OCT4, SOX2, KLF4, and C-MYC—into neural rosettes expressing SOX1 and PAX6, followed by neuronal precursors (β-tubulin III+/NESTIN+) and glial precursors (GFAP+/NESTIN+). Both neuronal and glial precursors expressed the A2B5 surface antigen. A2B5+ NPCs, purified by fluorescence-activated cell sorting (FACS), proliferated in vitro with mitogens, and differentiated into mature neurons and astrocytes under lineage-specific conditions. Then, NOD-SCID mice received a T9 contusion injury followed by transplantation of A2B5+ NPCs, human fibroblasts, or control medium at 8 days post-injury. At two months, grafted NPCs showed robust survival, progressive neuronal maturation (β-tubulin III+→doublecortin+→NeuN+), and astrocytic differentiation (GFAP+), particularly in spared white matter. Transplantation significantly increased spared white matter volume and improved hindlimb locomotor recovery, with no teratoma formation observed. These results demonstrate that hiPSC-derived, FACS-purified A2B5+ NPCs can survive, differentiate into neurons and astrocytes, and enhance functional recovery after SCI. This approach offers a safe and effective candidate cell source for treating SCI and potentially other neurological disorders. Full article
(This article belongs to the Special Issue Molecular and Cellular Mechanisms of Spinal Cord Injury and Repair)
Show Figures

Figure 1

15 pages, 8707 KB  
Article
Identification of the HSP20 Gene Family in L. barbarum and Their Contrasting Response to Heat Stress Between Two Varieties
by Qichen Wu, Yuejie Wang and Zixin Mu
Genes 2025, 16(4), 440; https://doi.org/10.3390/genes16040440 - 8 Apr 2025
Cited by 1 | Viewed by 1162
Abstract
Background: Small heat shock proteins (sHsps), particularly Hsp20 family members, are pivotal for plant thermotolerance and abiotic stress adaptation. However, their evolutionary dynamics and functional roles in Lycium barbarum (goji berry), a commercially significant stress-tolerant crop, remain uncharacterized. This study [...] Read more.
Background: Small heat shock proteins (sHsps), particularly Hsp20 family members, are pivotal for plant thermotolerance and abiotic stress adaptation. However, their evolutionary dynamics and functional roles in Lycium barbarum (goji berry), a commercially significant stress-tolerant crop, remain uncharacterized. This study aims to comprehensively identify LbHsp20 genes, delineate their evolutionary patterns, and decipher their regulatory mechanisms under heat stress to accelerate molecular breeding of resilient cultivars. Methods: Forty-three LbHsp20 genes were identified from the goji genome using HMMER and BLASTP. Phylogenetic relationships were reconstructed via MEGA-X (maximum likelihood, 1000 bootstraps), while conserved motifs and domains were annotated using MEME Suite and InterProScan. Promoter cis-elements were predicted via PlantCARE. Heat-responsive expression profiles of candidate genes were validated by qRT-PCR in two contrasting lines (N7 and 1402) under 42 °C treatment. Results: The LbHsp20 family clustered into 14 subfamilies, predominantly cytoplasmic (subfamilies I–VII). Chromosomal mapping revealed a tandem duplication hotspot on Chr4 (12 genes) and absence on Chr9, suggesting lineage-specific gene loss. All proteins retained the conserved α-crystallin domain (ACD), with 19 members harboring the ScHsp26-like ACD variant. Promoters were enriched in stress-responsive elements (HSE, ABRE, MYC). Heat stress induced significant upregulation (>15-fold in LbHsp17.6A and LbHsp18.3) in N7, whereas 1402 showed weaker induction (<5-fold). Subfamily specific divergence was observed, with cytoplasmic subfamily I genes exhibiting the strongest heat responsiveness. Conclusions: This study unveils the evolutionary conservation and functional diversification of LbHsp20 genes in L. barbarum. The tandem duplication-driven expansion on Chr4 and subfamily specific expression patterns underpin their roles in thermotolerance. These findings establish a foundation for engineering climate-resilient goji varieties. Full article
(This article belongs to the Section Plant Genetics and Genomics)
Show Figures

Figure 1

16 pages, 2177 KB  
Article
A Plasmid System That Utilises Phosphoribosylanthranilate Isomerase to Select Against Cells Expressing Truncated Proteins
by Aditi A. Ghuge, Susanne Gottfried, Anja H. Schiemann and Evelyn Sattlegger
Biomolecules 2025, 15(3), 412; https://doi.org/10.3390/biom15030412 - 14 Mar 2025
Viewed by 1125
Abstract
We have generated a vector that enables the removal of plasmids coding for truncated proteins. This vector expresses a protein of interest in the yeast Saccharomyces cerevisiae from a galactose-inducible promoter. The gene of interest is fused in-frame to a downstream sequence coding [...] Read more.
We have generated a vector that enables the removal of plasmids coding for truncated proteins. This vector expresses a protein of interest in the yeast Saccharomyces cerevisiae from a galactose-inducible promoter. The gene of interest is fused in-frame to a downstream sequence coding for phosphoribosylanthranilate isomerase (PRAI), which catalyses the third step in tryptophan biosynthesis. As a consequence, only the full-length protein of interest renders the host cell tryptophan prototrophic, allowing for selection against cells expressing truncated proteins. Our proof-of-principle study demonstrates that PRAI is functional when fused C-terminally to a protein, robustly rendering cells tryptophan prototrophic. The N-terminal GST tag and C-terminal myc tag allow for tag-mediated protein purification, co-precipitation studies, determination of relative expression levels, as well as validation of full-length expression of the protein via Western blotting. Full article
(This article belongs to the Section Molecular Biology)
Show Figures

Figure 1

18 pages, 5456 KB  
Article
SJB2-043, a USP1 Inhibitor, Suppresses A549 Cell Proliferation, Migration, and EMT via Modulation of PI3K/AKT/mTOR, MAPK, and Wnt Signaling Pathways
by Lipeng Wu, Meng Yu, Huosheng Liang, Long Lin, Huajian Li, Guangyang Chen, Halimulati Muhetaer, Jingjing Li, Bo Wu, Xuejing Jia, Yuanye Dang, Guodong Zheng and Chuwen Li
Curr. Issues Mol. Biol. 2025, 47(3), 155; https://doi.org/10.3390/cimb47030155 - 27 Feb 2025
Cited by 3 | Viewed by 2605
Abstract
Objective: Non-small cell lung cancer (NSCLC) remains one of the most significant contributors to cancer-related mortality. This investigation explores the influence and underlying mechanisms of the USP1 inhibitor SJB2-043 on A549 cells, with the aim of advancing the development of anti-NSCLC therapeutics. Methods: [...] Read more.
Objective: Non-small cell lung cancer (NSCLC) remains one of the most significant contributors to cancer-related mortality. This investigation explores the influence and underlying mechanisms of the USP1 inhibitor SJB2-043 on A549 cells, with the aim of advancing the development of anti-NSCLC therapeutics. Methods: Publicly available databases were utilized to assess USP1 expression and its association with the progression of NSCLC. Gene expression variations were ascertained through RNA sequencing, followed by the Kyoto Encyclopedia of Genes and Genomes and Gene Ontology pathway enrichment evaluations. Various doses of SJB2-043 were administered to A549 cells to evaluate its impact on cell multiplication, motility, apoptosis, and the cell cycle using CCK-8 assays, colony formation, wound healing, flow cytometry, and Western blotting (WB). Results: USP1 was found to be overexpressed in NSCLC specimens and linked to adverse prognosis. Treatment with SJB2-043 markedly inhibited A549 cell proliferation and migration, diminished clonogenic potential, and triggered apoptosis in a dose-dependent manner. Modifications in the cell cycle were observed, showing an elevated percentage of cells in the G2 phase while exhibiting a parallel decline in the G1 phase. WB examination demonstrated diminished protein levels of N-cadherin, CyclinB1, CDK1, C-myc, Bcl-2, p-ERK/ERK, p-p38/p38, p-JNK/JNK, p-AKT/AKT, and p-mTOR/mTOR, alongside an upregulation of E-cadherin, ZO-1, occludin, p53, Bax, p-β-catenin/β-catenin, and GSK3β. Conclusions: SJB2-043 exerts a suppressive effect on A549 cell proliferation, migration, and epithelial–mesenchymal transition while enhancing apoptosis. These cellular effects appear to be mediated through the inhibition of the MAPK, Wnt/β-catenin, and PI3K/AKT/mTOR signaling cascades, in addition to modulation of the cell cycle. Full article
(This article belongs to the Special Issue Linking Genomic Changes with Cancer in the NGS Era, 2nd Edition)
Show Figures

Figure 1

22 pages, 6699 KB  
Article
Antitumor Activity of USP7 Inhibitor GNE-6776 in Non-Small Cell Lung Cancer Involves Regulation of Epithelial-Mesenchymal Transition, Cell Cycle, Wnt/β-Catenin, and PI3K/AKT/mTOR Pathways
by Lipeng Wu, Long Lin, Meng Yu, Huajian Li, Yuanye Dang, Huosheng Liang, Guangyang Chen, Halimulati Muhetaer, Guodong Zheng, Jingjing Li, Xuejing Jia, Bo Wu and Chuwen Li
Pharmaceuticals 2025, 18(2), 245; https://doi.org/10.3390/ph18020245 - 12 Feb 2025
Cited by 7 | Viewed by 2785
Abstract
Objective: Non-small cell lung cancer (NSCLC) is a major cause of cancer-related deaths worldwide. This study investigated the effects and mechanisms of the USP7 inhibitor GNE-6776 on human NSCLC A549 and H1299 cells, providing insights for anti-NSCLC drug development. Methods: USP7 expression was [...] Read more.
Objective: Non-small cell lung cancer (NSCLC) is a major cause of cancer-related deaths worldwide. This study investigated the effects and mechanisms of the USP7 inhibitor GNE-6776 on human NSCLC A549 and H1299 cells, providing insights for anti-NSCLC drug development. Methods: USP7 expression was analyzed in lung cancer tissue using data from public databases. RNA sequencing and functional enrichment analyses were conducted to explore differentially expressed genes (DEGs) and potentially related pathways. A549 and H1299 cells were treated with GNE-6776 at different concentrations, and its effects on cell proliferation, migration, invasion, apoptosis, mitochondrial membrane potential, and cell cycle were evaluated. Changes in protein expression following GNE-6776 treatment were assessed by Western blot. A xenograft tumor model in nude mice was used to evaluate the in vivo effects of GNE-6776. Results: GNE-6776 inhibited the proliferation, migration, and invasion of A549 and H1299 cells, induced apoptosis, and caused cells to arrest in the G1 phase in a concentration-dependent manner. GNE-6776 decreased the mitochondrial membrane potential, suppressed epithelial-mesenchymal transition (EMT) markers, and downregulated the PI3K/AKT/mTOR and Wnt/β-catenin signaling pathways. GNE-6776 significantly inhibited tumor growth without affecting body weight, reduced expression of CDK6, C-myc, and N-cadherin, and increased GSK3β expression in tumor tissue. Conclusions: In summary, GNE-6776 demonstrated potent anti-tumor activity in NSCLC both in vitro and in vivo. GNE-6776 suppresses NSCLC cell proliferation, invasion, and migration while promoting apoptosis by inhibiting the EMT and modulating the PI3K/AKT/mTOR and Wnt/β-catenin pathways. These findings support its potential as a therapeutic agent for treating NSCLC. Full article
(This article belongs to the Section Pharmacology)
Show Figures

Figure 1

19 pages, 1624 KB  
Article
A New Blood-Based Epigenetic Diagnostic Biomarker Test (EpiSwitch®® NST) with High Sensitivity and Positive Predictive Value for Colorectal Cancer and Precancerous Polyps
by Ewan Hunter, Heba Alshaker, Cicely Weston, Mutaz Issa, Shekinah Bautista, Abel Gebregzabhar, Anya Virdi, Ann Dring, Ryan Powell, Jayne Green, Roshan Lal, Vamsi Velchuru, Kamal Aryal, Muhammad Radzi Bin Abu Hassan, Goh Tiong Meng, Janisha Suriakant Patel, Shameera Pharveen Mohamed Gani, Chun Ren Lim, Thomas Guiel, Alexandre Akoulitchev and Dmitri Pchejetskiadd Show full author list remove Hide full author list
Cancers 2025, 17(3), 521; https://doi.org/10.3390/cancers17030521 - 4 Feb 2025
Cited by 4 | Viewed by 3169
Abstract
Background/Objectives: Colorectal cancer (CRC) arises from the epithelial lining of the colon or rectum, often following a progression from benign adenomatous polyps to malignant carcinoma. Screening modalities such as colonoscopy, faecal immunochemical tests (FIT), and FIT-DNA are critical for early detection and prevention, [...] Read more.
Background/Objectives: Colorectal cancer (CRC) arises from the epithelial lining of the colon or rectum, often following a progression from benign adenomatous polyps to malignant carcinoma. Screening modalities such as colonoscopy, faecal immunochemical tests (FIT), and FIT-DNA are critical for early detection and prevention, but non-invasive methods lack sensitivity to polyps and early CRC. Chromosome conformations (CCs) are potent epigenetic regulators of gene expression. We have previously developed an epigenetic assay, EpiSwitch®®, that employs an algorithmic-based CCs analysis. Using EpiSwitch®® technology, we have shown the presence of cancer-specific CCs in peripheral blood mononuclear cells (PBMCs) and primary tumours of patients with melanoma and prostate cancer. EpiSwitch®®-based commercial tests are now available to diagnose prostate cancer with 94% accuracy (PSE test) and response to immune checkpoint inhibitors across 14 cancers with 85% accuracy (CiRT test). Methods/Results/Conclusions: Using blood samples collected from n = 171 patients with CRC, n = 44 patients with colorectal polyps and n = 110 patients with a ‘clear’ colonoscopy we performed whole Genome DNA screening for CCs correlating to CRC diagnosis. Our findings suggest the presence of two eight-marker CC signatures (EpiSwitch®® NST) in whole blood that allow diagnosis of CRC and precancerous polyps, respectively. Independent validation cohort testing demonstrated high accuracy in identifying colorectal polyps and early versus late stages of CRC with an exceptionally high sensitivity of 79–90% and a high positive prediction value of 60–84%. Linking the top diagnostic CCs to nearby genes, we have built pathways maps that likely underline processes contributing to the pathology of polyp and CRC progression, including TGFβ, cMYC, Rho GTPase, ROS, TNFa/NFκB, and APC. Full article
(This article belongs to the Special Issue New Biomarkers in Cancers 2nd Edition)
Show Figures

Figure 1

19 pages, 38791 KB  
Article
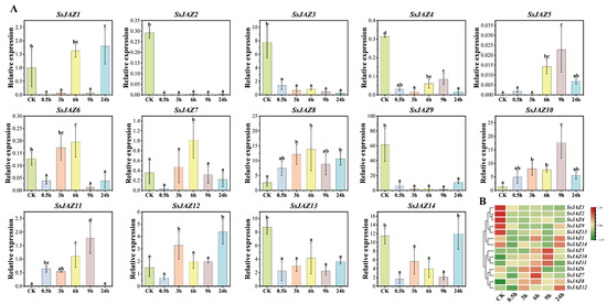
Genome-Wide Identification, Characterization, and Expression Pattern Analysis of the JAZ Gene Family in Wax Apple (Syzygium samarangense)
by Liang Li, Weijie Huang, Limei Tang, Ling Xu, Yajun Tang, Xiuqing Wei and Jiahui Xu
Horticulturae 2024, 10(10), 1011; https://doi.org/10.3390/horticulturae10101011 - 24 Sep 2024
Cited by 1 | Viewed by 1524
Abstract
Wax apple (Syzygium samarangense) is a characteristic tropical fruit with great potential value, but the cold sensitivity and male sterility limit its cultivation and breeding. Despite the important role in JA-mediated cold-stress resistance and flower development, jasmonate ZIM-domain (JAZ) proteins have [...] Read more.
Wax apple (Syzygium samarangense) is a characteristic tropical fruit with great potential value, but the cold sensitivity and male sterility limit its cultivation and breeding. Despite the important role in JA-mediated cold-stress resistance and flower development, jasmonate ZIM-domain (JAZ) proteins have not been identified in wax apple. This study employed sequence blast, phylogenetic analysis, and RT-PCR to identify SsJAZs in wax apple systematically. First, 14 SsJAZs family members with TIFY and Jas domains were identified and named according to the distribution on ten chromosomes. Low-temperature responsiveness elements and TGACG-motif (response to MeJA) were abundant in the promoters of most SsJAZs. The transcription factors ERF and MYB were predicted to be involved in the regulation of SsJAZs. RT-PCR analyses showed that SsJAZs were mainly expressed in mature leaves and flowers. Further analysis revealed differences in the expression patterns of SsJAZs under cold treatment, as well as in different anther stages. SsJAZ proteins were predicted to interact with the N terminus of SsMYC2 protein via the Jas motif at the C-terminal domain. This study characterized the SsJAZs family members and examined the expression patterns in different samples. The results will advance our understanding of the role of SsJAZs in wax apple. Full article
(This article belongs to the Section Genetics, Genomics, Breeding, and Biotechnology (G2B2))
Show Figures

Figure 1

16 pages, 6419 KB  
Article
Phospholipase Cδ-4 (PLCδ4) Acts as a Nuclear Player to Influence Cyclin B Expression in the Embryonal Rhabdomyosarcoma Cell Lines RD and A204
by Sara Salucci, Alberto Bavelloni, Ilaria Versari, Sabrina Burattini, Francesco Bavelloni, Pietro Gobbi, Alessandro Fanzani, Silvia Codenotti, William Blalock, Katia Scotlandi and Irene Faenza
Biomolecules 2024, 14(9), 1180; https://doi.org/10.3390/biom14091180 - 20 Sep 2024
Cited by 2 | Viewed by 1812
Abstract
Rhabdomyosarcoma (RMS), the most common form of sarcoma typical of pediatric age, arises from the malignant transformation of the mesenchymal precursors that fail to differentiate into skeletal muscle cells. Here, we investigated whether the protein phospholipase C δ4 (PLCδ4), a member of the [...] Read more.
Rhabdomyosarcoma (RMS), the most common form of sarcoma typical of pediatric age, arises from the malignant transformation of the mesenchymal precursors that fail to differentiate into skeletal muscle cells. Here, we investigated whether the protein phospholipase C δ4 (PLCδ4), a member of the PLC family involved in proliferation and senescence mechanisms of mesenchymal stromal stem cells, may play a role in RMS. Our molecular and morpho-functional data reveal that PLCδ4 is highly expressed in the fusion-negative, p53-positive, SMARCB1 heterozygous mutated embryonal RMS (ERMS) cell line A204, while it is poorly expressed in the ERMS cell lines RD (fusion-negative, MYC amplification, N-RAS (Q61H), homozygous mutated p53) and Hs729 (homozygous mutated p53) and the alveolar rhabdosarcoma (ARMS) cell line SJCRH30 (RH30; fusion positive, heterozygous mutated RARA, polyheterozygous mutated p53). To characterize the role of PLCδ4, the RD cell line was stably transfected with wild-type PLCδ4 (RD/PLCδ4). Overexpressed PLCδ4 mainly localized to the nucleus in RD cells and contributed to the phosphorylation of PRAS40 (T246), Chk2(T68), WNK1(T60), and Akt 1/273 (S473), as revealed by proteome profiler array analysis. Overexpression of PLCδ4 in RD cells enhanced cyclin B1 expression and resulted in G2/M-phase cell cycle arrest. In contrast, siRNA-mediated knockdown of PLCδ4 in A204 cells resulted in reduced cyclin B1 expression. Our study identifies a novel role for nuclear PLCδ4 as a regulator of cyclin B1 via Akt-dependent phosphorylation. The modulation of PLCδ4 expression and its downstream targets could represent a crucial signaling pathway to block embryonal RMS cell proliferation. Full article
(This article belongs to the Special Issue State-of-the-Art of Myology 2024–2025)
Show Figures

Figure 1

25 pages, 1970 KB  
Review
O-GlcNAcylation: Crosstalk between Hemostasis, Inflammation, and Cancer
by Itzel Patricia Vásquez Martínez, Eduardo Pérez-Campos, Laura Pérez-Campos Mayoral, Holanda Isabel Cruz Luis, María del Socorro Pina Canseco, Edgar Zenteno, Irma Leticia Bazán Salinas, Margarito Martínez Cruz, Eduardo Pérez-Campos Mayoral and María Teresa Hernández-Huerta
Int. J. Mol. Sci. 2024, 25(18), 9896; https://doi.org/10.3390/ijms25189896 - 13 Sep 2024
Cited by 7 | Viewed by 5481
Abstract
O-linked β-N-acetylglucosamine (O-GlcNAc, O-GlcNAcylation) is a post-translational modification of serine/threonine residues of proteins. Alterations in O-GlcNAcylation have been implicated in several types of cancer, regulation of tumor progression, inflammation, and thrombosis through its interaction with signaling pathways. We aim to explore the relationship [...] Read more.
O-linked β-N-acetylglucosamine (O-GlcNAc, O-GlcNAcylation) is a post-translational modification of serine/threonine residues of proteins. Alterations in O-GlcNAcylation have been implicated in several types of cancer, regulation of tumor progression, inflammation, and thrombosis through its interaction with signaling pathways. We aim to explore the relationship between O-GlcNAcylation and hemostasis, inflammation, and cancer, which could serve as potential prognostic tools or clinical predictions for cancer patients’ healthcare and as an approach to combat cancer. We found that cancer is characterized by high glucose demand and consumption, a chronic inflammatory state, a state of hypercoagulability, and platelet hyperaggregability that favors thrombosis; the latter is a major cause of death in these patients. Furthermore, we review transcription factors and pathways associated with O-GlcNAcylation, thrombosis, inflammation, and cancer, such as the PI3K/Akt/c-Myc pathway, the nuclear factor kappa B pathway, and the PI3K/AKT/mTOR pathway. We also review infectious agents associated with cancer and chronic inflammation and potential inhibitors of cancer cell development. We conclude that it is necessary to approach both the diagnosis and treatment of cancer as a network in which multiple signaling pathways are integrated, and to search for a combination of potential drugs that regulate this signaling network. Full article
(This article belongs to the Topic Cancer Cell Metabolism (2nd Edition))
Show Figures

Figure 1

16 pages, 2621 KB  
Article
Overexpression of PER2 Promotes De Novo Fatty Acid Synthesis, Fatty Acid Desaturation, and Triglyceride Accumulation in Bovine Mammary Epithelial Cells
by Yifei Chen, Yujia Jing, Liangyu Hu, Zanna Xi, Zhiqi Lu, Juan J. Loor and Mengzhi Wang
Int. J. Mol. Sci. 2024, 25(18), 9785; https://doi.org/10.3390/ijms25189785 - 10 Sep 2024
Cited by 4 | Viewed by 2545
Abstract
The core clock gene Period2 (PER2) is associated with mammary gland development and lipid synthesis in rodents and has recently been found to have a diurnal variation in the process of lactation, but has not yet been demonstrated in bovine mammary epithelial cells [...] Read more.
The core clock gene Period2 (PER2) is associated with mammary gland development and lipid synthesis in rodents and has recently been found to have a diurnal variation in the process of lactation, but has not yet been demonstrated in bovine mammary epithelial cells (BMECs). To explore the regulatory function of PER2 on milk fat synthesis in bovine mammary epithelial cells, we initially assessed the expression of clock genes and milk fat metabolism genes for 24 h using real-time quantitative PCR and fitted the data to a cosine function curve. Subsequently, we overexpressed the PER2 in BMECs using plasmid vector (pcDNA3.1-PER2), with empty vector pcDNA3.1-myc as the control. After transfecting BMECs for 48 h, we assessed the protein abundance related to milk fat synthesis by Western blot, the expression of genes coding for these proteins using real time-quantitative PCR, the production of triacylglycerol, and the fatty acid profile. The findings indicated that a total of nine clock genes (PER1/2, CRY1/2, REV-ERBα, BMAL1, NCOR1, NR2F2, FBXW11), seven fatty acid metabolism genes (CD36, ACSS2, ACACA, SCD, FADS1, DGAT1, ADFP), and six nuclear receptor-related genes (INSIG1, SCAP, SREBF1, C/EBP, PPARG, LXR) exhibited oscillation with a period close to 24 h in non-transfected BMECs (R2 ≥ 0.7). Compared to the control group (transfected with empty pcDNA3.1-myc), the triglyceride content significantly increased in the PER2 overexpression group (p < 0.05). The lipogenic genes for fatty acid transport and triglyceride synthesis (ACACA, SCD, LPIN1, DGAT1, and SREBF1) were upregulated after PER2 overexpression, along with the upregulation of related protein abundance (p < 0.05). The contents and ratios of palmitic acid (C16:0), oleic acid (C18:1n9c), and trans-oleic acid (C18:1n9t) were significantly increased in the overexpression group (p < 0.05). Overall, the data supported that PER2 participated in the process of milk fat metabolism and is potentially involved in the de novo synthesis and desaturation of fatty acid in bovine mammary epithelial cells. Full article
(This article belongs to the Section Molecular Genetics and Genomics)
Show Figures

Figure 1

19 pages, 4025 KB  
Article
Oncogenic Role of SATB2 In Vitro: Regulator of Pluripotency, Self-Renewal, and Epithelial–Mesenchymal Transition in Prostate Cancer
by Wei Yu, Rashmi Srivastava, Shivam Srivastava, Yiming Ma, Sharmila Shankar and Rakesh K. Srivastava
Cells 2024, 13(11), 962; https://doi.org/10.3390/cells13110962 - 3 Jun 2024
Cited by 4 | Viewed by 2173
Abstract
Special AT-rich sequence binding protein-2 (SATB2) is a nuclear matrix protein that binds to nuclear attachment regions and is involved in chromatin remodeling and transcription regulation. In stem cells, it regulates the expression of genes required for maintaining pluripotency and self-renewal and epithelial–mesenchymal [...] Read more.
Special AT-rich sequence binding protein-2 (SATB2) is a nuclear matrix protein that binds to nuclear attachment regions and is involved in chromatin remodeling and transcription regulation. In stem cells, it regulates the expression of genes required for maintaining pluripotency and self-renewal and epithelial–mesenchymal transition (EMT). In this study, we examined the oncogenic role of SATB2 in prostate cancer and assessed whether overexpression of SATB2 in human normal prostate epithelial cells (PrECs) induces properties of cancer stem cells (CSCs). The results demonstrate that SATB2 is highly expressed in prostate cancer cell lines and CSCs, but not in PrECs. Overexpression of SATB2 in PrECs induces cellular transformation which was evident by the formation of colonies in soft agar and spheroids in suspension. Overexpression of SATB2 in PrECs also resulted in induction of stem cell markers (CD44 and CD133), pluripotency-maintaining transcription factors (cMYC, OCT4, SOX2, KLF4, and NANOG), CADHERIN switch, and EMT-related transcription factors. Chromatin immunoprecipitation assay demonstrated that SATB2 can directly bind to promoters of BCL-2, BSP, NANOG, MYC, XIAP, KLF4, and HOXA2, suggesting SATB2 is capable of directly regulating pluripotency/self-renewal, cell survival, and proliferation. Since prostate CSCs play a crucial role in cancer initiation, progression, and metastasis, we also examined the effects of SATB2 knockdown on stemness. SATB2 knockdown in prostate CSCs inhibited spheroid formation, cell viability, colony formation, cell motility, migration, and invasion compared to their scrambled control groups. SATB2 knockdown in CSCs also upregulated the expression of E-CADHERIN and inhibited the expression of N-CADHERIN, SNAIL, SLUG, and ZEB1. The expression of SATB2 was significantly higher in prostate adenocarcinoma compared to normal tissues. Overall, our data suggest that SATB2 acts as an oncogenic factor where it is capable of inducing malignant changes in PrECs by inducing CSC characteristics. Full article
(This article belongs to the Section Cell Signaling)
Show Figures

Figure 1

17 pages, 1464 KB  
Article
Opaganib Downregulates N-Myc Expression and Suppresses In Vitro and In Vivo Growth of Neuroblastoma Cells
by Lynn W. Maines, Staci N. Keller, Ryan A. Smith, Randy S. Schrecengost and Charles D. Smith
Cancers 2024, 16(9), 1779; https://doi.org/10.3390/cancers16091779 - 5 May 2024
Cited by 1 | Viewed by 2831
Abstract
Neuroblastoma (NB), the most common cancer in infants and the most common solid tumor outside the brain in children, grows aggressively and responds poorly to current therapies. We have identified a new drug (opaganib, also known as ABC294640) that modulates sphingolipid metabolism by [...] Read more.
Neuroblastoma (NB), the most common cancer in infants and the most common solid tumor outside the brain in children, grows aggressively and responds poorly to current therapies. We have identified a new drug (opaganib, also known as ABC294640) that modulates sphingolipid metabolism by inhibiting the synthesis of sphingosine 1-phosphate (S1P) by sphingosine kinase-2 and elevating dihydroceramides by inhibition of dihydroceramide desaturase. The present studies sought to determine the potential therapeutic activity of opaganib in cell culture and xenograft models of NB. Cytotoxicity assays demonstrated that NB cells, including cells with amplified MYCN, are effectively killed by opaganib concentrations well below those that accumulate in tumors in vivo. Opaganib was shown to cause dose-dependent decreases in S1P and hexosylceramide levels in Neuro-2a cells, while concurrently elevating levels of dihydroceramides. As with other tumor cells, opaganib reduced c-Myc and Mcl-1 protein levels in Neuro-2a cells, and also reduced the expression of the N-Myc protein. The in vivo growth of xenografts of human SK-N-(BE)2 cells with amplified MYCN was suppressed by oral administration of opaganib at doses that are well tolerated in mice. Combining opaganib with temozolomide plus irinotecan, considered the backbone for therapy of relapsed or refractory NB, resulted in increased antitumor activity in vivo compared with temozolomide plus irinotecan or opaganib alone. Mice did not lose additional weight when opaganib was combined with temozolomide plus irinotecan, indicating that the combination is well tolerated. Opaganib has additive antitumor activity toward Neuro-2a tumors when combined with the checkpoint inhibitor anti-CTLA-4 antibody; however, the combination of opaganib with anti-PD-1 or anti-PD-L1 antibodies did not provide increased antitumor activity over that seen with opaganib alone. Overall, the data demonstrate that opaganib modulates sphingolipid metabolism and intracellular signaling in NB cells and inhibits NB tumor growth alone and in combination with other anticancer drugs. Amplified MYCN does not confer resistance to opaganib, and, in fact, the drug attenuates the expression of both c-Myc and N-Myc. The safety of opaganib has been established in clinical trials with adults with advanced cancer or severe COVID-19, and so opaganib has excellent potential for treating patients with NB, particularly in combination with temozolomide and irinotecan or anti-CTLA-4 antibody. Full article
(This article belongs to the Special Issue Targeted Therapy of Pediatric Cancer)
Show Figures

Figure 1

Back to TopTop