Sign in to use this feature.

Years

Between: -

Subjects

remove_circle_outline
remove_circle_outline
remove_circle_outline
remove_circle_outline
remove_circle_outline
remove_circle_outline
remove_circle_outline

Journals

Article Types

Countries / Regions

Search Results (26)

Search Parameters:
Keywords = buried pipe heat exchange

Order results
Result details
Results per page
Select all
Export citation of selected articles as:
19 pages, 3511 KB  
Article
A Hybrid Earth–Air Heat Exchanger with a Subsurface Water Tank: Experimental Validation in a Hot–Arid Climate
by Safieddine Ounis, Okba Boucherit, Abdelhafid Moummi, Tallal Abdel Karim Bouzir, Djihed Berkouk, Fabrizio Leonforte, Claudio Del Pero and Mohammed M. Gomaa
Sustainability 2025, 17(22), 10216; https://doi.org/10.3390/su172210216 - 14 Nov 2025
Viewed by 752
Abstract
Earth–Air Heat Exchangers (EAHEs) exploit stable subsurface temperatures to pre-condition supply air. To address limitations of conventional systems in hot–arid climates, this study investigates the performance of a hybrid EAHE prototype combining a serpentine subsurface pipe with a buried water tank. Installed in [...] Read more.
Earth–Air Heat Exchangers (EAHEs) exploit stable subsurface temperatures to pre-condition supply air. To address limitations of conventional systems in hot–arid climates, this study investigates the performance of a hybrid EAHE prototype combining a serpentine subsurface pipe with a buried water tank. Installed in a residential building in Lichana, Biskra (Algeria), the system was designed to enhance land compactness, thermal stability, and soil–water heat harvesting. Experimental monitoring was conducted across 13 intervals strategically spanning seasonal transitions and extremes and was complemented by calibrated numerical simulations. From over 30,000 data points, outlet trajectories, thermal efficiency, Coefficient of Performance (COP), and energy savings were assessed against a straight-pipe baseline. Results showed that the hybrid EAHE delivered smoother outlet profiles under moderate gradients while the baseline achieved larger instantaneous ΔT. Thermal efficiencies exceeded 90% during high-gradient episodes and averaged above 70% annually. COP values scaled with the inlet–soil gradient, ranging from 1.5 to 4.0. Cumulative recovered energy reached 80.6 kWh (3.92 kWh/day), while the heat pump electricity referred to a temperature-dependent ASHP totaled 34.59 kWh (1.40 kWh/day). Accounting for the EAHE fan yields a net saving of 25.46 kWh across the campaign, only one interval (5) was net-negative, underscoring the value of bypass/fan shut-off under weak gradients. Overall, the hybrid EAHE emerges as a footprint-efficient option for arid housing, provided operation is dynamically controlled. Future work will focus on controlling logic and soil–moisture interactions to maximize net performance. Full article
(This article belongs to the Special Issue Sustainability and Energy Performance of Buildings)
Show Figures

Figure 1

13 pages, 4110 KB  
Article
Development of a Hybrid Heat Exchange Air Conditioner with a Ground Heat Exchanger Placed Downstream from the Outdoor Unit Heat Exchanger
by Shumpei Funatani, Yusaku Tsukamoto and Koji Toriyama
Processes 2025, 13(6), 1925; https://doi.org/10.3390/pr13061925 - 18 Jun 2025
Viewed by 1891
Abstract
This study presents an innovative hybrid geothermal air conditioning system that combines conventional air-based heat exchange with ground heat exchange technology. The system features a ground heat exchanger placed downstream from the outdoor unit heat exchanger, requiring minimal modifications to conventional air conditioners [...] Read more.
This study presents an innovative hybrid geothermal air conditioning system that combines conventional air-based heat exchange with ground heat exchange technology. The system features a ground heat exchanger placed downstream from the outdoor unit heat exchanger, requiring minimal modifications to conventional air conditioners through the addition of bypass flow paths and a four-way valve. This design ensures that the ground heat exchanger consistently operates after the outdoor unit heat exchanger in both cooling and heating modes. The researchers evaluated the proposed system’s performance through both computational simulation (1D-CAE) and experimental testing. Simulation results demonstrated significant efficiency improvements, with the hybrid system achieving a coefficient of performance (COP) of 4.51 compared to just 1.24 for conventional air conditioners under extreme temperature conditions (38 °C). The experimental validation with a shallow-buried (20 cm) ground heat exchanger confirmed an approximately 20% COP improvement across various ambient temperatures. The main advantages of this hybrid system over conventional geothermal systems include reduced installation costs due to shorter borehole lengths, separate air conditioning units and underground piping, and compatibility with existing control systems. The design addresses skilled labor shortages while enabling large-scale demonstration operations with minimal initial investment. Future work will focus on optimizing the burial depth and conducting long-term durability testing to advance practical implementation. Full article
(This article belongs to the Special Issue Energy Storage Systems and Thermal Management)
Show Figures

Figure 1

14 pages, 7040 KB  
Article
Thermal Performance of Deep Borehole Heat Exchangers (DBHEs) Installed in a Groundwater-Filled Hot Dry Rock (HDR) Well in Qinghai, China
by Qixing Zhang, Feiyang Lu, Yong Huang, Liwei Tan, Jin Luo and Longcheng Duan
Energies 2025, 18(9), 2229; https://doi.org/10.3390/en18092229 - 27 Apr 2025
Viewed by 826
Abstract
Deep borehole heat exchangers (DBHEs) have been widely used for extracting geothermal energy in China. However, the application of this technology in an open well with high temperature remains unknown. In this paper, the thermal performance of a DBHE installed in a groundwater-filled [...] Read more.
Deep borehole heat exchangers (DBHEs) have been widely used for extracting geothermal energy in China. However, the application of this technology in an open well with high temperature remains unknown. In this paper, the thermal performance of a DBHE installed in a groundwater-filled hot dry rock (HDR) well in the Gonghe Basin of Qinghai Province in China was investigated. A U-shaped pipe subjected to a hydraulic pressure of 30 MPa and a temperature of 180 °C was tested successfully. Severe heat loss was detected during the test, which might have been due to the pipe not being well-insulated. To better understand the performance of DBHEs, a numerical model was developed. The results indicate that the pipe’s thermal performance increased by 247% using insulation with a 15 mm layer thickness and a thermal conductivity of 0.042 W/m·K. Thermal performance was significantly improved by increasing the fluid flow rate and pipe diameter. Among the different pipe configurations, double U-shaped buried pipes can achieve the highest performance. The heat-specific rate can reach up to 341.33 W/m with a double U-shaped pipe with a diameter of 63 mm. The second highest rate can be achieved with a coaxial pipe, while single U-shaped pipes have the lowest one. Full article
(This article belongs to the Section J1: Heat and Mass Transfer)
Show Figures

Figure 1

20 pages, 1876 KB  
Article
Assessment of the Development Potential of Shallow Geothermal Energy Heating and Cooling Projects in Southern China Based on Whole-Lifecycle Methodology
by Yiqirui Deng, Zhi Yao, Mengyu Chen and Yu-Jie Hu
Energies 2025, 18(9), 2200; https://doi.org/10.3390/en18092200 - 25 Apr 2025
Viewed by 1015
Abstract
The development of shallow geothermal energy projects in southern China can meet the demand for regional heating and cooling energy and carbon emission reduction. However, research on constructing evaluation models for the development potential of shallow geothermal energy projects needs to be expanded. [...] Read more.
The development of shallow geothermal energy projects in southern China can meet the demand for regional heating and cooling energy and carbon emission reduction. However, research on constructing evaluation models for the development potential of shallow geothermal energy projects needs to be expanded. Therefore, this study adopted a hierarchical analysis method to construct a project development potential evaluation model based on the four aspects of resource endowment, economic evaluation, environmental impact, and social support for the shallow geothermal energy heating and cooling project (vertical buried pipe heat exchange system) in southern China and carried out case application and evaluation verification. The results of the study show that: (a) the weights of the four primary indicators for evaluating the development potential of shallow geothermal energy projects in southern China were resource endowment (0.3960) > economic evaluation (0.2847) > social support (0.1725) > environmental impact (0.1468); (b) four secondary indicators, namely heat exchange performance, incentive and supportive policies, geotechnical and thermal-physical parameters, and groundwater conditions, were more important; (c) the case evaluation score was 6.2911, and case application and evaluation verification were carried out. For projects with good potential for investment, contrary to the single financial NPV index evaluation results, our results are more in line with the actual operation results of the project. Thus, this evaluation system can provide a more comprehensive reference for shallow geothermal energy development and investment decision-making. Full article
(This article belongs to the Special Issue Challenges and Opportunities for Renewable Energy)
Show Figures

Figure 1

20 pages, 6484 KB  
Article
Cross-Seasonal Storage of Flue Gas Waste Heat from Power Plants Based on Soil Heat Storage Using Buried Pipes: Geotechnical Thermal Response Experiment
by Fan Yang, Ming Liu, Yu Shen, Lijun Zheng, Xinyue Fang and Siming Ma
Energies 2025, 18(9), 2191; https://doi.org/10.3390/en18092191 - 25 Apr 2025
Cited by 2 | Viewed by 725
Abstract
A large amount of low-grade waste heat (flue gas waste heat) cannot be fully utilized in thermal power plants in non-heating seasons; therefore, this study combines cross-seasonal heat storage technology with the cross-seasonal storage of low-grade waste heat in power plants. We propose [...] Read more.
A large amount of low-grade waste heat (flue gas waste heat) cannot be fully utilized in thermal power plants in non-heating seasons; therefore, this study combines cross-seasonal heat storage technology with the cross-seasonal storage of low-grade waste heat in power plants. We propose a cross-seasonal underground heat storage and gas turbine co-generation coupling system to recover low-grade waste heat and large-scale cross-seasonal space–time migration and utilization. The basic law of soil heat storage and release was elucidated through a geotechnical thermal response experiment. The results show that the initial average temperature of the rock and soil mass within a depth range of 0–300 m in the study area was 16.7 °C, λ was 1.97 W/(m∙K), Cv was 2655 kJ/(m3∙K), and R was 0.353 (m∙K)/W. An increase in the operating share decreases unit heat transfer per linear meter of buried pipe heat exchanger. The heat release per unit linear meter increases with the average temperature of the circulating medium in the heat release mode. Similarly, the heat absorption per unit linear meter increases with the rock and soil temperature in the heat absorption mode. Full article
(This article belongs to the Section D: Energy Storage and Application)
Show Figures

Figure 1

24 pages, 5807 KB  
Article
Research on the Optimized Design of Medium and Deep Ground-Source Heat Pump Systems Considering End-Load Variation
by Jianlin Li, Xupeng Qi, Xiaoli Li, Huijie Huang and Jian Gao
Sustainability 2025, 17(7), 3234; https://doi.org/10.3390/su17073234 - 4 Apr 2025
Cited by 1 | Viewed by 1639
Abstract
Ground-source heat pump (GSHP) systems with medium-depth and deeply buried pipes in cold regions are highly important for addressing global climate change and the energy crisis because of their efficient, clean, and sustainable energy characteristics. However, unique geological conditions in cold climates pose [...] Read more.
Ground-source heat pump (GSHP) systems with medium-depth and deeply buried pipes in cold regions are highly important for addressing global climate change and the energy crisis because of their efficient, clean, and sustainable energy characteristics. However, unique geological conditions in cold climates pose serious challenges to the heat transfer efficiency, long-term stability, and adaptability of systems. This study comprehensively analyses the effects of various factors, including well depth, inner-to-outer tube diameter ratios, cementing material, the thermal conductivity of the inner tube, the flow rate, and the start–stop ratio, on the performance of a medium-depth coaxial borehole heat exchanger. Field tests, numerical simulations, and sensitivity analyses are combined to determine the full-cycle thermal performance and heat-transfer properties of medium-depth geological formations and their relationships with system performance. The results show that the source water temperature increases by approximately 4 °C and that the heat transfer increases by 50 kW for every 500 m increase in well depth. The optimization of the inner and outer pipe diameter ratios effectively improves the heat-exchange efficiency, and a larger pipe diameter ratio design can significantly reduce the flow resistance and improve system stability. When the thermal conductivity of the cementing cement increases from 1 W/(m·K) to 2 W/(m·K), the outlet water temperature at the source side increases by approximately 1 °C, and the heat transfer increases by 13 kW. However, the improvement effect of further increasing the thermal conductivity on the heat-exchange efficiency gradually decreases. When the flow rate is 0.7 m/s, the heat transfer is stable at approximately 250 kW, and the system economy and heat-transfer efficiency reach a balance. These findings provide a robust scientific basis for promoting medium-deep geothermal energy heating systems in cold regions and offer valuable references for the green and low-carbon transition in building heating systems. Full article
Show Figures

Figure 1

21 pages, 11342 KB  
Article
Efficient Development and Utilization of Geothermal Energy: An Analysis of the Operational Strategy for Deep-Buried Pipe-Type Energy Piles Considering Seepage Effects
by Xianglin Liu, Yuhan Tian, Yongli Liu, Wen Liu, Lifei Zheng and Xiaoqing Li
Sustainability 2025, 17(4), 1634; https://doi.org/10.3390/su17041634 - 16 Feb 2025
Viewed by 1121
Abstract
As a shallow geothermal energy development technology, energy pile contributes to sustainable development. The seepage effect has a positive effect on the heat transfer performance of the energy pile, and the heat transfer efficiency of the energy pile can also be improved by [...] Read more.
As a shallow geothermal energy development technology, energy pile contributes to sustainable development. The seepage effect has a positive effect on the heat transfer performance of the energy pile, and the heat transfer efficiency of the energy pile can also be improved by optimizing the operation strategy. Combined with the structural characteristics of the deep-buried energy pile, the heat transfer characteristics of the deep-buried energy pile are analyzed under continuous and intermittent operation conditions, and the effect of seepage on the heat transfer performance is further investigated under the intermittent operation mode. The results show that the long-term operation of the deep-buried energy pile will reduce its heat exchange performance and aggravate the heat accumulation phenomenon inside the pile body, and the intermittent operation can maintain a higher instantaneous heat exchange rate (HER) in the long-term operation compared with the continuous operation. Considering the energy demand, when the intermittent ratio is 5, the average HER of the pile body only decreases by 68.93 W, and the overall energy efficiency of the pile body is improved by 7.7%. Combined with the operating effects of different intermittent ratios, the optimal range of the circulating medium flow rate for deep buried pipe energy piles should be selected from 1.0 m3/h to 1.2 m3/h. Groundwater seepage can weaken the degree of heat accumulation inside the DBP-EP piles and improve the overall heat exchange efficiency of DBP-EP, and combined with the intermittent operation mode will be able to further alleviate the DBP-EP heat buildup. The two factors promote each other and have a positive impact on the piles, positively affecting the soil’s long-term heat exchange. Full article
Show Figures

Figure 1

29 pages, 2721 KB  
Review
Coaxial Pipes Used as Ground Buried Heat Exchangers—A Review of Research in Recent Years
by Geng Wang, Nai Rong, Xuefei Li, Ning Hu, Zhi Zhang, Yuan Zhang and Yuhan Wang
Buildings 2025, 15(2), 243; https://doi.org/10.3390/buildings15020243 - 15 Jan 2025
Viewed by 3196
Abstract
The efficient utilization of geothermal energy depends heavily on high-performance ground heat exchangers. Coaxial pipe is a high-efficiency heat exchanger composed of two nested tubes of different diameters. In this paper, the structure and thermal exchange characteristics of coaxial pipe geothermal exchangers are [...] Read more.
The efficient utilization of geothermal energy depends heavily on high-performance ground heat exchangers. Coaxial pipe is a high-efficiency heat exchanger composed of two nested tubes of different diameters. In this paper, the structure and thermal exchange characteristics of coaxial pipe geothermal exchangers are introduced, which are superior to single-U and double-U geothermal exchangers in respect of installation, heat transporting, and deep geothermal application. Thermal test research of coaxial pipe geothermal exchangers is investigated. Relevant studies in recent years on the factors affecting the thermal performance of coaxial pipe ground heat exchangers, including exchanger configurations, circulating fluids, subsurface conditions, flow patterns, and operational modes, are reviewed. In addition, research on the impact of coaxial pipe ground heat exchangers on the ground, as well as applications for coaxial pipe ground heat exchangers, is summarized. Recommendations are made for potential future research on coaxial pipe ground heat exchangers. It is believed that the results of these studies will help to raise awareness of coaxial pipe ground heat exchangers and to continue to promote their application. Full article
(This article belongs to the Special Issue Research on Indoor Air Environment and Energy Conservation)
Show Figures

Figure 1

16 pages, 3749 KB  
Article
Impact of Energy System Optimization Based on Different Ground Source Heat Pump Models
by Yingjun Lai, Yan Gao and Yaping Gao
Energies 2024, 17(23), 6023; https://doi.org/10.3390/en17236023 - 29 Nov 2024
Cited by 2 | Viewed by 1299
Abstract
With rapidly developing new energy technologies, rational energy planning has become an important area of research. Ground source heat pumps (GSHPs) have shown themselves to be highly efficient. effective in reducing building or district energy consumption and operating costs. However, when optimizing integrated [...] Read more.
With rapidly developing new energy technologies, rational energy planning has become an important area of research. Ground source heat pumps (GSHPs) have shown themselves to be highly efficient. effective in reducing building or district energy consumption and operating costs. However, when optimizing integrated energy systems, most studies simplify the GSHP model by using the rated coefficient of performance (COP) of the GSHP unit, neglecting factors such as soil, buried piping, and actual operating conditions. This simplification leads to a deviation from the actual operation of GSHPs, creating a gap between the derived operational guidelines and real-world performance. Therefore, this paper examines a hotel equipped with photovoltaic panels, a GSHP, and a hybrid energy storage unit. By constructing models of the underground pipes, GSHP units, and pumps, this paper considers the thermal exchanger between the underground pipes and the soil, the thermal pump, and the operating status of the unit. The purpose is to optimize the running expenses using an enhanced mote swarm optimization (PSO) algorithm to calculate the optimal operating strategy of system equipment. Compared to the simplified energy system optimization model, the detailed GSHP unit model shows a 21.36% increase in energy consumption, a 13.64% decrease in the mean COP of the GSHP unit, and a 44.4% rise in system running expenses. The differences in the GSHP model affect the energy consumption results of the unit by changing the relationship between the power consumption of the PV system and the GSHP at different times, which in turn affects the operation of the energy storage unit. The final discussion highlights significant differences in the calculated system operating results derived from the two models, suggesting that these may profoundly affect the architectural and enhancement processes of more complex GSHP configurations. Full article
(This article belongs to the Section G: Energy and Buildings)
Show Figures

Figure 1

33 pages, 15689 KB  
Article
Analysis of the Heat Transfer Performance of a Buried Pipe in the Heating Season Based on Field Testing
by Yongjie Ma, Jingyong Wang, Fuhang Hu, Echuan Yan, Yu Zhang, Yibin Huang, Hao Deng, Xuefeng Gao, Jianguo Kang, Haoxin Shi, Xin Zhang, Jianqiao Zheng and Jixiang Guo
Energies 2024, 17(21), 5466; https://doi.org/10.3390/en17215466 - 31 Oct 2024
Cited by 2 | Viewed by 2380
Abstract
Ground source heat pump (GSHP) systems have been widely used in the field of shallow geothermal heating and cooling because of their high thermal efficiency and environmental friendliness. A borehole heat exchanger (BHE) is the key part of a ground source heat pump [...] Read more.
Ground source heat pump (GSHP) systems have been widely used in the field of shallow geothermal heating and cooling because of their high thermal efficiency and environmental friendliness. A borehole heat exchanger (BHE) is the key part of a ground source heat pump system, and its performance and investment cost have a direct and significant impact on the performance and cost of the whole system. The ground temperature gradient, air temperature, seepage flow rate, and injection flow rate affect the heat exchange performance of BHEs, but most of the research on BHEs lacks field test verification. Therefore, this study relied on the results of a field thermal response test (TRT) based on a distributed optical fiber temperature sensor (DOFTS) and site hydrological, geological, and geothermal data to establish a corrected numerical model of buried pipe heat transfer and carry out the heat transfer performance analysis of a buried pipe in the heating season. The results showed that the ground temperature gradient of the test site was about 3.0 °C/100 m, and the temperature of the constant-temperature layer was about 9.17 °C. Increasing the air temperature could improve the heat transfer performance. The temperature of the surrounding rock and soil mass of the single pipe spread uniformly, and the closer it was to the buried pipe, the lower the temperature. When there is groundwater seepage, the seepage carries the cold energy generated by a buried pipe’s heat transfer through heat convection to form a plume zone, which can effectively alleviate the phenomenon of cold accumulation. With an increase in seepage velocity, the heat transfer of the buried pipe increases nonlinearly. The heat transfer performance can be improved by appropriately reducing the temperature and velocity of the injected fluid. Selecting a backfill material with higher thermal conductivity than the ground body can improve the heat transfer performance. These research results can provide support for the optimization of the heat transfer performance of a buried tube heat exchanger. Full article
(This article belongs to the Section H2: Geothermal)
Show Figures

Figure 1

19 pages, 10501 KB  
Article
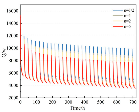
Heat Transfer Performance and Operation Scheme of the Deeply Buried Pipe Energy Pile Group
by Yuhan Tian, Zhi Chen, Jianghuai Yuan and Anqi Mao
Appl. Sci. 2024, 14(13), 5928; https://doi.org/10.3390/app14135928 - 7 Jul 2024
Cited by 1 | Viewed by 2112
Abstract
This paper describes a study on the heat transfer properties of the deeply buried pipeline energy pile group, which is an efficient and convenient geothermal development technology. Through in situ experiments and a simulation algorithm, the research investigated the heat transmission characteristics of [...] Read more.
This paper describes a study on the heat transfer properties of the deeply buried pipeline energy pile group, which is an efficient and convenient geothermal development technology. Through in situ experiments and a simulation algorithm, the research investigated the heat transmission characteristics of the deeply buried pipe energy pile group and optimized different intermittent operation schemes. The findings suggest that prolonged operation of the pile cluster intensifies heat buildup within the pile foundation, thereby adversely affecting the system’s overall heat exchange efficiency. Employing an intermittent operating mode can alleviate this heat accumulation phenomenon, thereby promoting sustained heat exchange performance of the piles over time. To evaluate the comprehensive thermal interaction and energy efficiency ratio of the energy pile heat exchange system, various intermittent operation strategies were compared in the study. Among them, the intermittent operational scheme with a ratio of n = 5 was found to be optimal, with the total average heat transfer rate of the pile set only 0.51% lower than that of the continuous operational mode, but the overall energy efficiency ratio improved by 19.6%. The intermittent operational mode proposed in this study can achieve the goal of saving energy and efficiently extracting geothermal resources, providing theoretical guidance for the extraction and utilization of subsurface geothermal power by energy piles. Full article
(This article belongs to the Section Applied Thermal Engineering)
Show Figures

Figure 1

23 pages, 7242 KB  
Article
A Multiphysics Simulation Study of the Thermomechanical Coupling Response of Energy Piles
by Chang Xu, Yawen Wang, Xiaolin Meng, Qihang Lv, Hui Chen and Qingdong Wu
Buildings 2024, 14(5), 1440; https://doi.org/10.3390/buildings14051440 - 16 May 2024
Cited by 2 | Viewed by 2128
Abstract
The global demand for energy is on the rise, accompanied by increasing requirements for low-carbon environmental protection. In recent years, China’s “double carbon action” initiative has brought about new development opportunities across various sectors. The concept of energy pile foundation aims to harness [...] Read more.
The global demand for energy is on the rise, accompanied by increasing requirements for low-carbon environmental protection. In recent years, China’s “double carbon action” initiative has brought about new development opportunities across various sectors. The concept of energy pile foundation aims to harness geothermal energy, aligning well with green, low-carbon, and sustainable development principles, thus offering extensive application prospects in engineering. Drawing from existing research globally, this paper delves into four key aspects impacting the thermodynamic properties of energy piles: the design of buried pipes, pile structure, heat storage materials within the pipe core, and soil treatment around the pile using carbon fiber urease mineralization. Leveraging the innovative mineralization technique known as urease-induced carbonate mineralization precipitation (EICP), this study employs COMSOL Multiphysics simulation software to analyze heat transfer dynamics and establish twelve sets of numerical models for energy piles. The buried pipe design encompasses two types, U-shaped and spiral, while the pile structure includes concrete solid energy piles and tubular energy piles. Soil conditions around the pile are classified into undisturbed sand and carbon fiber-infused EICP mineralized sand. Different inner core heat storage materials such as air, water, unaltered sand, and carbon fiber-based EICP mineralized sand are examined within tubular piles. Key findings indicate that spiral buried pipes outperform U-shaped ones, especially when filled with liquid thermal energy storage (TES) materials, enhancing temperature control of energy piles. The carbon fiber urease mineralization technique significantly improves heat exchange between energy piles and surrounding soil, reducing soil porosity to 4.9%. With a carbon fiber content of 1.2%, the ultimate compressive strength reaches 1419.4 kPa. Tubular energy piles mitigate pile stress during summer temperature fluctuations. Pile stress distribution varies under load and temperature stresses, with downward and upward friction observed at different points along the pile length. Overall, this research underscores the efficacy of energy pile technologies in optimizing energy efficiency while aligning with sustainable development goals. Full article
(This article belongs to the Special Issue Trends and Prospects in Civil Engineering Structures)
Show Figures

Figure 1

23 pages, 11898 KB  
Article
Heat Transfer Mechanism of Heat–Cold Alternate Extraction in a Shallow Geothermal Buried Pipe System under Multiple Heat Exchanger Groups
by Jianlong Shi, Wei Zhang, Mingjian Wang, Chunguang Wang, Zhengnan Wei, Dong Wang and Peng Zheng
Energies 2023, 16(24), 8067; https://doi.org/10.3390/en16248067 - 14 Dec 2023
Cited by 2 | Viewed by 2106
Abstract
Shallow geothermal energy usually uses underground buried pipes to achieve the purpose of extracting heat while storing cold in winter and extracting cold while storing heat in summer. However, the heat transfer mechanism under the alternate operation of heat–cold extraction in winter and [...] Read more.
Shallow geothermal energy usually uses underground buried pipes to achieve the purpose of extracting heat while storing cold in winter and extracting cold while storing heat in summer. However, the heat transfer mechanism under the alternate operation of heat–cold extraction in winter and summer under multiple heat exchanger groups is still worth studying. Based on the constructed flow and heat transfer model in pipelines and reservoirs, this study first analyzes the temperature field evolution of a shallow buried pipe system (SBPS) under the alternate operation of heat–cold extraction, and then discusses the heat transfer performance under different pipeline flow rates, pipeline wall thermal conductivity, heat injection durations, numbers of heat exchanger groups, and flows of underground fluid. The results show that the continuous alternating process of heat–cold extraction has a promoting effect on the temperature increase or decrease in the next operating cycle due to the low- or high-temperature zone produced in the previous operating cycle. As the number of multiple heat exchanger groups increases, the heat transfer efficiency of the SBPS significantly improves. With a rise in the groundwater flow velocity, the heat transfer efficiency first decreases and then increases. Full article
(This article belongs to the Section A: Sustainable Energy)
Show Figures

Figure 1

16 pages, 2550 KB  
Article
Research on Sustainable Shallow Geothermal Potential in Jinan Start-Up Area, China
by Zhenkai Hao, Xiaofei Ji, Ningbo Li, Dongchen Bao, Yulin Liu and Ke Zhu
Energies 2023, 16(21), 7293; https://doi.org/10.3390/en16217293 - 27 Oct 2023
Cited by 1 | Viewed by 1668
Abstract
Shallow geothermal energy (SGE), as an important renewable energy, playing an important role in reducing carbon emissions. In order to efficiently and sustainably utilize SGE, field investigation and storage estimation are needed. In this study, the hydrogeological data obtained from the field exploration [...] Read more.
Shallow geothermal energy (SGE), as an important renewable energy, playing an important role in reducing carbon emissions. In order to efficiently and sustainably utilize SGE, field investigation and storage estimation are needed. In this study, the hydrogeological data obtained from the field exploration of Jinan Start-up Area were collected and compiled. By analyzing the geotechnical property data and thermal response test results, the information of geotechnical and thermal properties and underground temperature distribution characteristics were collected. Subsequently, the analytic hierarchy process (AHP) combined with the comprehensive index method (CIM) were used to classify the shallow geothermal potential of Jinan Start-up Area. The entire area was divided into a high-potential area, medium-potential area and general area, of which 92.2% was high-potential area. The preliminary results, combined with the parameters obtained from the testing, indicate that the SGE storage at a borehole depth of 120 m is estimated to be approximately 2.68 × 1012 kJ·K−1, while the heat exchanger power of the buried pipe at the same depth is calculated to be around 1.73 × 105 kW. Finally, suggestions are given for sustainable development and utilization of SGE in this area. Full article
Show Figures

Figure 1

21 pages, 13529 KB  
Article
Optimization of Thermal Conductivity and Tensile Properties of High-Density Polyethylene by Addition of Expanded Graphite and Boron Nitride
by Lovro Travaš, Maja Rujnić Havstad and Ana Pilipović
Polymers 2023, 15(17), 3645; https://doi.org/10.3390/polym15173645 - 4 Sep 2023
Cited by 12 | Viewed by 3322
Abstract
Due to its mechanical, rheological, and chemical properties, high-density polyethylene (HDPE) is commonly used as a material for producing the pipes for transport of various media. Low thermal conductivity (0.4 W/mK) narrows down the usage of HDPE in the heat exchanger systems. The [...] Read more.
Due to its mechanical, rheological, and chemical properties, high-density polyethylene (HDPE) is commonly used as a material for producing the pipes for transport of various media. Low thermal conductivity (0.4 W/mK) narrows down the usage of HDPE in the heat exchanger systems. The main goal of the work is to reduce the vertical depth of the HDPE pipe buried in the borehole by increasing the thermal conductivity of the material. This property can be improved by adding certain additives to the pure HDPE matrix. Composites made of HDPE with metallic and non-metallic additives show increased thermal conductivity several times compared to the thermal conductivity of pure HDPE. Those additives affect the mechanical properties too, by enhancing or degrading them. In this research, the thermal conductivity and tensile properties of composite made of HDPE matrix and two types of additives, expanded graphite (EG) and boron nitride (BN), were tested. Micro-sized particles of EG and two different sizes of BN particles, micro and nano, were used to produce composite. The objective behind utilizing composite materials featuring dual additives is twofold: firstly, to enhance thermal properties, and secondly, to improve mechanical properties when compared with the pure HDPE. As anticipated, the thermal conductivity of the composites exhibited an eightfold rise in comparison to the pure HDPE. The tensile modulus experienced augmentation across all variations of additive ratios within the composites, albeit with a marginal reduction in tensile strength. This implies that the composite retains a value similar to pure HDPE in terms of tensile strength. Apart from the enhancement observed in all the aforementioned properties, the most significant downside of these composites pertains to their strain at yield, which experienced a reduction, declining from the initial 8.5% found in pure HDPE to a range spanning from 6.6% to 1.8%, dependent upon the specific additive ratios and the size of the BN particles. Full article
(This article belongs to the Special Issue Polymer Composites: Structure, Properties and Processing)
Show Figures

Graphical abstract

Back to TopTop