Sign in to use this feature.

Years

Between: -

Subjects

remove_circle_outline
remove_circle_outline
remove_circle_outline
remove_circle_outline
remove_circle_outline
remove_circle_outline
remove_circle_outline
remove_circle_outline

Journals

Article Types

Countries / Regions

Search Results (41)

Search Parameters:
Keywords = bullet currents

Order results
Result details
Results per page
Select all
Export citation of selected articles as:
21 pages, 8317 KB  
Article
Mechanical Properties and Ballistic Performance for Different Coatings on HARDOX 450 Steel for Defense Applications
by Cosmin Nicolescu, Tudor Viorel Tiganescu, Aurora Antoniac, Ovidiu Iorga, Brandusa Ghiban, Alexandru Pascu, Alexandru Streza and Iulian Antoniac
Crystals 2025, 15(8), 687; https://doi.org/10.3390/cryst15080687 - 29 Jul 2025
Viewed by 2273
Abstract
The aim of the current study is to investigate the mechanical properties and ballistic performance of HARDOX 450 steel for defense applications in different conditions: uncoated, alumina-coated, and LINE X polyurea-coated. Tensile tests and Vickers microhardness measurements were conducted, along with fracture surface [...] Read more.
The aim of the current study is to investigate the mechanical properties and ballistic performance of HARDOX 450 steel for defense applications in different conditions: uncoated, alumina-coated, and LINE X polyurea-coated. Tensile tests and Vickers microhardness measurements were conducted, along with fracture surface analysis using stereomicroscopy, scanning electron microscopy, and computed tomography. Experimental results showed that uncoated HARDOX 450 steel exhibited the highest strength and hardness, with ductile fracture features. Polyurea-coated HARDOX 450 steel samples retained good mechanical properties and demonstrated effective ballistic protection, including the containment of fragments. In contrast, alumina-coated HARDOX 450 steel samples exhibited reduced strength and ballistic resistance, attributed to the microstructural changes in HARDOX 450 steel caused by the high-temperature deposition process of alumina. Numerical simulations performed with the 5.56 × 45 mm bullet used in the simulation, along with its ballistic impact interaction with the Hardox 450 target model, aligned well with experimental ballistic impact results for all the samples. Overall, LINE X polyurea coating on HARDOX 450 steel proved to be the more suitable coating for applications requiring a balance of mechanical strength and ballistic impact resistance. Full article
Show Figures

Figure 1

30 pages, 3682 KB  
Review
Advanced Nanomaterials Functionalized with Metal Complexes for Cancer Therapy: From Drug Loading to Targeted Cellular Response
by Bojana B. Zmejkovski, Nebojša Đ. Pantelić and Goran N. Kaluđerović
Pharmaceuticals 2025, 18(7), 999; https://doi.org/10.3390/ph18070999 - 3 Jul 2025
Cited by 1 | Viewed by 1923
Abstract
Developments of nanostructured materials have a significant impact in various areas, such as energy technology and biomedical use. Examples include solar cells, energy management, environmental control, bioprobes, tissue engineering, biological marking, cancer diagnosis, therapy, and drug delivery. Currently, researchers are designing multifunctional nanodrugs [...] Read more.
Developments of nanostructured materials have a significant impact in various areas, such as energy technology and biomedical use. Examples include solar cells, energy management, environmental control, bioprobes, tissue engineering, biological marking, cancer diagnosis, therapy, and drug delivery. Currently, researchers are designing multifunctional nanodrugs that combine in vivo imaging (using fluorescent nanomaterials) with targeted drug delivery, aiming to maximize therapeutic efficacy while minimizing toxicity. These fascinating nanoscale “magic bullets” should be available in the near future. Inorganic nanovehicles are flexible carriers to deliver drugs to their biological targets. Most commonly, mesoporous nanostructured silica, carbon nanotubes, gold, and iron oxide nanoparticles have been thoroughly studied in recent years. Opposite to polymeric and lipid nanostructured materials, inorganic nanomaterial drug carriers are unique because they have shown astonishing theranostic (therapy and diagnostics) effects, expressing an undeniable part of future use in medicine. This review summarizes research from development to the most recent discoveries in the field of nanostructured materials and their applications in drug delivery, including promising metal-based complexes, platinum, palladium, ruthenium, titanium, and tin, to tumor cells and possible use in theranostics. Full article
(This article belongs to the Collection Feature Review Collection in Pharmaceutical Technology)
Show Figures

Figure 1

28 pages, 4256 KB  
Article
Accessible IoT Dashboard Design with AI-Enhanced Descriptions for Visually Impaired Users
by George Alex Stelea, Livia Sangeorzan and Nicoleta Enache-David
Future Internet 2025, 17(7), 274; https://doi.org/10.3390/fi17070274 - 21 Jun 2025
Cited by 2 | Viewed by 2205
Abstract
The proliferation of the Internet of Things (IoT) has led to an abundance of data streams and real-time dashboards in domains such as smart cities, healthcare, manufacturing, and agriculture. However, many current IoT dashboards emphasize complex visualizations with minimal textual cues, posing significant [...] Read more.
The proliferation of the Internet of Things (IoT) has led to an abundance of data streams and real-time dashboards in domains such as smart cities, healthcare, manufacturing, and agriculture. However, many current IoT dashboards emphasize complex visualizations with minimal textual cues, posing significant barriers to users with visual impairments who rely on screen readers or other assistive technologies. This paper presents AccessiDashboard, a web-based IoT dashboard platform that prioritizes accessible design from the ground up. The system uses semantic HTML5 and WAI-ARIA compliance to ensure that screen readers can accurately interpret and navigate the interface. In addition to standard chart presentations, AccessiDashboard automatically generates long descriptions of graphs and visual elements, offering a text-first alternative interface for non-visual data exploration. The platform supports multi-modal data consumption (visual charts, bullet lists, tables, and narrative descriptions) and leverages Large Language Models (LLMs) to produce context-aware textual representations of sensor data. A privacy-by-design approach is adopted for the AI integration to address ethical and regulatory concerns. Early evaluation suggests that AccessiDashboard reduces cognitive and navigational load for users with vision disabilities, demonstrating its potential as a blueprint for future inclusive IoT monitoring solutions. Full article
(This article belongs to the Special Issue Human-Centered Artificial Intelligence)
Show Figures

Graphical abstract

16 pages, 1315 KB  
Review
The Current Status of Virtual Autopsy Using Combined Imaging Modalities: A Scoping Review
by Romica Cergan, Iulian Alexandru Taciuc, Mihai Dumitru, Daniela Vrinceanu, Felicia Manole, Nicoleta Sanda and Andreea Nicoleta Marinescu
J. Clin. Med. 2025, 14(3), 782; https://doi.org/10.3390/jcm14030782 - 25 Jan 2025
Cited by 7 | Viewed by 4972
Abstract
Background/Objectives: Virtual autopsy (virtopsy) is a new domain of research for interdisciplinary teams of radiologists and forensic specialists. This scoping review aims to underline the current state-of-the-art research using combined imaging modalities. Methods: We searched the PubMed database using the term [...] Read more.
Background/Objectives: Virtual autopsy (virtopsy) is a new domain of research for interdisciplinary teams of radiologists and forensic specialists. This scoping review aims to underline the current state-of-the-art research using combined imaging modalities. Methods: We searched the PubMed database using the term virtopsy for articles that are available in free full text, indexed in the Medline Database, and published in English. The query returned 49 articles on this subject that have been published since 2002. Results: The main imaging modalities used for postmortem imaging were computed tomography (PMCT), angiography (PMCTA), magnetic resonance imaging (PMMRI), and ultrasonography (PMUS). PMCT is highly effective for detecting complex osseous injuries, tracing bullet trajectories, or identifying characteristic findings in drowning cases. PMCTA is valuable for evaluating vascular lesions, particularly in natural death cases. PMMRI is superior in analyzing soft tissues, including brain and spinal structures, cerebrospinal fluid, microbleeds, and laryngohyoid lesions, and identifying cardiomyopathies in young individuals. PMUS serves as an alternative, and its portability also allows for use in forensic settings. One specific situation observed was the increased number of studies published about virtopsy during the COVID-19 pandemic. Another aspect is the increased focus on this alternative to conventional autopsy in the regions where maneuvering of the deceased is limited according to cultural and social customs. Conclusions: We underline the advantages and limitations of each imaging modality used for virtopsy. Further studies need to be developed in order to gather supplementary data regarding the use of these imaging modalities in the new era of artificial intelligence in medicine. Full article
Show Figures

Figure 1

14 pages, 8849 KB  
Article
Complementary Metal Oxide Semiconductor-Based Optical Detection System for Fluidic Cellular Medium pH Quantification
by André A. Santos, Gabriel M. Ferreira, Paulo J. Sousa, Patrícia C. Sousa, Susana O. Catarino and Graça Minas
Photonics 2024, 11(12), 1130; https://doi.org/10.3390/photonics11121130 - 29 Nov 2024
Cited by 4 | Viewed by 1481
Abstract
Accurate pH sensing is essential for the effective physiological control of the culture media in organ-on-a-chip (OoC) systems. This work proposes a miniaturized optical detection system, based on optical transmittance, for pH level quantification of the EGM™-2 Endothelial Cell Growth Medium-2 BulletKit™ culture [...] Read more.
Accurate pH sensing is essential for the effective physiological control of the culture media in organ-on-a-chip (OoC) systems. This work proposes a miniaturized optical detection system, based on optical transmittance, for pH level quantification of the EGM™-2 Endothelial Cell Growth Medium-2 BulletKit™ culture medium. Firstly, using a commercial spectrophotometric setup, a set of wavelengths (500, 560, and 600 nm) was selected, as these wavelengths assure distinctive slope variations for the different pH levels. Then, a current-to-frequency converter, based on a low-power Schmitt trigger model with a voltage enhancer, was proposed as the readout electronics and simulated in Cadence Tools using UMC L180 MM/RF technology. A resolution of 0.002 nA was achieved in the linear range of 30 pA to 3800 nA. A miniaturized system composed of a CMOS n-well/p-substrate photodiode and a polydimethilsiloxane (PDMS) microchannel for the culture media substrate was experimentally tested. For a pH range from 6.6 to 6.2, the results clearly demonstrate a magnitude shift of the slope signal, which becomes negative in basic media and positive in acidic media. Additionally, in the 500–560 nm spectral range, the amplitude of the slopes increases for both basic and acidic culture media. In the 560–600 nm range, the slope decreases progressively as the pH of the medium lowers. This miniaturized system was able to quantify the pH of the culture medium, showing potential to be integrated into an organ-on-a-chip device. Full article
(This article belongs to the Special Issue Optical Sensors for Advanced Biomedical Applications)
Show Figures

Figure 1

12 pages, 1398 KB  
Article
A Bullet Screen Sentiment Analysis Method That Integrates the Sentiment Lexicon with RoBERTa-CNN
by Yupan Liu, Shuo Wang and Shengshi Yu
Electronics 2024, 13(20), 3984; https://doi.org/10.3390/electronics13203984 - 10 Oct 2024
Cited by 8 | Viewed by 2143
Abstract
Bullet screen, a form of online video commentary in emerging social media, is widely used on video websites frequented by young people. It has become a novel means of expressing emotions towards videos. The characteristics, such as varying text lengths and the presence [...] Read more.
Bullet screen, a form of online video commentary in emerging social media, is widely used on video websites frequented by young people. It has become a novel means of expressing emotions towards videos. The characteristics, such as varying text lengths and the presence of numerous new words, lead to ambiguous emotional information. To address these characteristics, this paper proposes a Robustly Optimized BERT Pretraining Approach (RoBERTa) + Convolutional Neural Network (CNN) sentiment classification algorithm integrated with a sentiment lexicon. RoBERTa encodes the input text to enhance semantic feature representation, and CNN extracts local features using multiple convolutional kernels of different sizes. Sentiment classification is then performed by a softmax classifier. Meanwhile, we use the sentiment lexicon to calculate the emotion score of the input text and normalize the emotion score. Finally, the classification results of the sentiment lexicon and RoBERTa+CNN are weighted and calculated. The bullet screens are grouped according to their length, and different weights are assigned to the sentiment lexicon based on their length to enhance the features of the model’s sentiment classification. The method combines the sentiment lexicon can be customized for the domain vocabulary and the pre-trained model can deal with the polysemy. Experimental results demonstrate that the proposed method achieves improvements in precision, recall, and F1 score. The experiments in this paper take the Russia–Ukraine war as the research topic, and the experimental methods can be extended to other events. The experiment demonstrates the effectiveness of the model in the sentiment analysis of bullet screen texts and has a positive effect on grasping the current public opinion status of hot events and guiding the direction of public opinion in a timely manner. Full article
(This article belongs to the Special Issue New Advances in Affective Computing)
Show Figures

Figure 1

20 pages, 310 KB  
Concept Paper
Innovating in an Uncertain World: Understanding the Social, Technical and Systemic Barriers to Farmers Adopting New Technologies
by Louise Manning
Challenges 2024, 15(2), 32; https://doi.org/10.3390/challe15020032 - 11 Jun 2024
Cited by 10 | Viewed by 5043
Abstract
The current geopolitical and socioeconomic landscape creates a difficult and uncertain operating environment for farming and agri-food businesses. Technological innovation has not been suggested to be a “silver bullet” but is one of the ways organizations can seek to reduce environmental impact, deliver [...] Read more.
The current geopolitical and socioeconomic landscape creates a difficult and uncertain operating environment for farming and agri-food businesses. Technological innovation has not been suggested to be a “silver bullet” but is one of the ways organizations can seek to reduce environmental impact, deliver net zero, address the rural skills and labor deficit and produce more output from fewer resources and as a result, make space for nature. But what barriers limit this promissory narrative from delivering in practice? The purpose of the paper is to firstly explore the reported social, technical and systemic barriers to agri-technology adoption in an increasingly uncertain world and then secondly identify potential research gaps that highlight areas for future research and inform key research questions. Socio-technical and infrastructural barriers have been identified within the context of the complex hollowing out and infilling of rural communities across the world. These barriers include seventeen factors that emerge, firstly those external to the farm (economic conditions, external conditions including bureaucracy, market conditions, weather uncertainty and the narratives about farmers), those internal to the farm business (farming conditions, employee relations, general finance, technology and time pressures) and then personal factors (living conditions, personal finances, physical health, role conflict, social isolation and social pressure). Adaptive resilience strategies at personal, organizational and community levels are essential to address these barriers and to navigate agri-technology adoption in an uncertain and dynamic world. Full article
23 pages, 11568 KB  
Article
Vector Optical Bullets in Dielectric Media: Polarization Structures and Group-Velocity Effects
by Klemensas Laurinavičius, Sergej Orlov and Ada Gajauskaitė
Appl. Sci. 2024, 14(10), 3984; https://doi.org/10.3390/app14103984 - 8 May 2024
Cited by 1 | Viewed by 1650
Abstract
Theoretical studies on the generation of nondiffracting and nondispersive light pulses and their experimental implementation are one of the renowned problems within electromagnetics. Current technologies enable the creation of short-duration pulses of a few cycles with high power and fluency. An application of [...] Read more.
Theoretical studies on the generation of nondiffracting and nondispersive light pulses and their experimental implementation are one of the renowned problems within electromagnetics. Current technologies enable the creation of short-duration pulses of a few cycles with high power and fluency. An application of these techniques to the field of nondiffracting and nondispersive pulses requires a proper mathematical description of highly focused vector pulses. In this work, we study vector optical bullets in a dielectric medium with different polarization structures: linear, azimuthal, and radial. We report the differences caused by the vector model compared to the scalar model. We analyze effects caused by superluminal, subluminal, or even negative group velocity on the properties of vector optical bullets inside a dielectric material. Full article
(This article belongs to the Section Optics and Lasers)
Show Figures

Figure 1

14 pages, 2759 KB  
Article
Impact of Micropulse and Radio Frequency Coupling in an Atmospheric Pressure Plasma Jet on the Synthesis of Gold Nanoparticles
by Tatiana Habib, Ludovica Ceroni, Alessandro Patelli, José Mauricio Almeida Caiut and Bruno Caillier
Plasma 2023, 6(4), 623-636; https://doi.org/10.3390/plasma6040043 - 13 Oct 2023
Cited by 3 | Viewed by 2733
Abstract
Gold nanoparticles have been extensively studied due to their unique optical and electronic properties which make them attractive for a wide range of applications in biomedicine, electronics, and catalysis. Over the past decade, atmospheric pressure plasma jets in contact with a liquid have [...] Read more.
Gold nanoparticles have been extensively studied due to their unique optical and electronic properties which make them attractive for a wide range of applications in biomedicine, electronics, and catalysis. Over the past decade, atmospheric pressure plasma jets in contact with a liquid have emerged as a sustainable and environmentally friendly approach for synthesizing stable and precisely controlled dispersions. Within the context of plasma jet/liquid configurations, researchers have explored various power sources, ranging from kHz frequencies to nanopulse regimes. In this study, we investigated the effects of coupling two distinct power supplies: a high-voltage micropulse and a radio frequency (RF) generator. The variations within the plasma induced by this coupling were explored by optical and electrical measurements. Our findings indicated a transition from a bullet plasma propagation mechanism to a capacitive coupling mechanism upon the introduction of RF energy. The impact on the production of metal nanoparticles was also examined as a function of the radio frequency power and of two distinct process gases, namely helium and argon. The characterization of gold nanoparticles included UV-visible spectroscopy, dynamic light scattering, and scanning electron microscopy. The results showed that the size distribution depended on the type of process gas used and on the power supplies coupling. In particular, the incorporation of RF power alongside the micropulse led to a decrease in both average particle size and distribution width. The comparison of the different set up suggested that the current density can influence the particle size distribution, highlighting the potential advantages of the use of a dual-frequency atmospheric pressure plasma jet configuration. Full article
(This article belongs to the Special Issue Dielectric Barrier Discharges 2023)
Show Figures

Figure 1

17 pages, 1399 KB  
Review
Antibody–Drug Conjugates for the Treatment of Renal Cancer: A Scoping Review on Current Evidence and Clinical Perspectives
by Stefano Sganga, Silvia Riondino, Giovanni Maria Iannantuono, Roberto Rosenfeld, Mario Roselli and Francesco Torino
J. Pers. Med. 2023, 13(9), 1339; https://doi.org/10.3390/jpm13091339 - 30 Aug 2023
Cited by 10 | Viewed by 4991
Abstract
Antibody–drug conjugates (ADCs) are complex chemical structures composed of a monoclonal antibody, serving as a link to target cells, which is conjugated with a potent cytotoxic drug (i.e., payload) through a chemical linker. Inspired by Paul Ehrlich’s concept of the ideal anticancer drug [...] Read more.
Antibody–drug conjugates (ADCs) are complex chemical structures composed of a monoclonal antibody, serving as a link to target cells, which is conjugated with a potent cytotoxic drug (i.e., payload) through a chemical linker. Inspired by Paul Ehrlich’s concept of the ideal anticancer drug as a “magic bullet”, ADCs are also highly specific anticancer agents, as they have been demonstrated to recognize, bind, and neutralize cancer cells, limiting injuries to normal cells. ADCs are among the newest pharmacologic breakthroughs in treating solid and hematologic malignancies. Indeed, in recent years, various ADCs have been approved by the Food and Drug Administration and European Medicines Agency for the treatment of several cancers, resulting in a “practice-changing” approach. However, despite these successes, no ADC is approved for treating patients affected by renal cell carcinoma (RCC). In the present paper, we thoroughly reviewed the current literature and summarized preclinical studies and clinical trials that evaluated the activity and toxicity profile of ADCs in RCC patients. Moreover, we scrutinized the potential causes that, until now, hampered the therapeutical success of ADCs in those patients. Finally, we discussed novel strategies that would improve the development of ADCs and their efficacy in treating RCC patients. Full article
(This article belongs to the Section Methodology, Drug and Device Discovery)
Show Figures

Figure 1

12 pages, 953 KB  
Viewpoint
Silicon in Plants: Alleviation of Metal(loid) Toxicity and Consequential Perspectives for Phytoremediation
by Daniel Puppe, Danuta Kaczorek, Mathias Stein and Jörg Schaller
Plants 2023, 12(13), 2407; https://doi.org/10.3390/plants12132407 - 21 Jun 2023
Cited by 24 | Viewed by 4001
Abstract
For the majority of higher plants, silicon (Si) is considered a beneficial element because of the various favorable effects of Si accumulation in plants that have been revealed, including the alleviation of metal(loid) toxicity. The accumulation of non-degradable metal(loid)s in the environment strongly [...] Read more.
For the majority of higher plants, silicon (Si) is considered a beneficial element because of the various favorable effects of Si accumulation in plants that have been revealed, including the alleviation of metal(loid) toxicity. The accumulation of non-degradable metal(loid)s in the environment strongly increased in the last decades by intensified industrial and agricultural production with negative consequences for the environment and human health. Phytoremediation, i.e., the use of plants to extract and remove elemental pollutants from contaminated soils, has been commonly used for the restoration of metal(loid)-contaminated sites. In our viewpoint article, we briefly summarize the current knowledge of Si-mediated alleviation of metal(loid) toxicity in plants and the potential role of Si in the phytoremediation of soils contaminated with metal(loid)s. In this context, a special focus is on metal(loid) accumulation in (soil) phytoliths, i.e., relatively stable silica structures formed in plants. The accumulation of metal(loid)s in phytoliths might offer a promising pathway for the long-term sequestration of metal(loid)s in soils. As specific phytoliths might also represent an important carbon sink in soils, phytoliths might be a silver bullet in the mitigation of global change. Thus, the time is now to combine Si/phytolith and phytoremediation research. This will help us to merge the positive effects of Si accumulation in plants with the advantages of phytoremediation, which represents an economically feasible and environmentally friendly way to restore metal(loid)-contaminated sites. Full article
(This article belongs to the Topic Effect of Heavy Metals on Plants)
Show Figures

Figure 1

17 pages, 353 KB  
Review
Candida spp. DNA Extraction in the Age of Molecular Diagnosis
by Smaranda Ioana Codreanu and Cristina Nicoleta Ciurea
Microorganisms 2023, 11(4), 818; https://doi.org/10.3390/microorganisms11040818 - 23 Mar 2023
Cited by 5 | Viewed by 4534
Abstract
The standard procedure for the detection of candidemia is blood culture, a method that might require 3–5 days for a positive result. Compared with culturing, molecular diagnosis techniques can provide faster diagnosis. The current paper aimed to present the main strengths and constraints [...] Read more.
The standard procedure for the detection of candidemia is blood culture, a method that might require 3–5 days for a positive result. Compared with culturing, molecular diagnosis techniques can provide faster diagnosis. The current paper aimed to present the main strengths and constraints of current molecular techniques for Candida spp. DNA extraction, analyzing their efficiency from a time, price, and ease of usage point of view. A comprehensive search was conducted using the PubMed NIH database for peer-reviewed full-text articles published before October 2022. The studies provided adequate data on the diagnosis of the infection with the Candida spp. DNA extraction is a relevant step in yielding pure qualitative DNA to be amplified in molecular diagnostic techniques. The most used fungal DNA extraction strategies are: mechanical (bead beating, ultrasonication, steel-bullet beating), enzymatic (proteinase K, lysozyme, lyticase), and chemical extraction (formic acid, liquid nitrogen, ammonium chloride). More clinical studies are needed to formulate adequate guidelines for fungal DNA extraction as the current paper highlighted discrepancies in the reported outcome. Full article
(This article belongs to the Special Issue Latest Review Papers in Molecular Microbiology and Immunology 2023)
12 pages, 3294 KB  
Article
Understanding the Role of Plasma Bullet Currents in Heating Skin to Mitigate Risks of Thermal Damage Caused by Low-Temperature Atmospheric-Pressure Plasma Jets
by Shunya Hashimoto, Hideo Fukuhara, Endre J. Szili, Chiaki Kawada, Sung-Ha Hong, Yuta Matsumoto, Tatsuru Shirafuji, Masayuki Tsuda, Atsushi Kurabayashi, Mutsuo Furihata, Hiroshi Furuta, Akimitsu Hatta, Keiji Inoue and Jun-Seok Oh
Plasma 2023, 6(1), 103-114; https://doi.org/10.3390/plasma6010009 - 27 Feb 2023
Cited by 5 | Viewed by 4094
Abstract
Low-temperature atmospheric-pressure plasma jets are generally considered a safe medical technology with no significant long-term side effects in clinical studies reported to date. However, there are studies emerging that show plasma jets can cause significant side effects in the form of skin burns [...] Read more.
Low-temperature atmospheric-pressure plasma jets are generally considered a safe medical technology with no significant long-term side effects in clinical studies reported to date. However, there are studies emerging that show plasma jets can cause significant side effects in the form of skin burns under certain conditions. Therefore, with a view of developing safer plasma treatment approaches, in this study we have set out to provide new insights into the cause of these skin burns and how to tailor plasma treatments to mitigate these effects. We discovered that joule heating by the plasma bullet currents is responsible for creating skin burns during helium plasma jet treatment of live mice. These burns can be mitigated by treating the mice at a further distance so that the visible plasma plume does not contact the skin. Under these treatment conditions we also show that the plasma jet treatment still retains its medically beneficial property of producing reactive oxygen species in vivo. Therefore, treatment distance is an important parameter for consideration when assessing the safety of medical plasma treatments. Full article
(This article belongs to the Special Issue Feature Papers in Plasma Sciences)
Show Figures

Figure 1

16 pages, 12869 KB  
Article
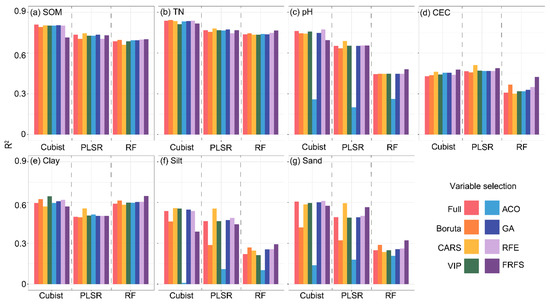
Towards Optimal Variable Selection Methods for Soil Property Prediction Using a Regional Soil Vis-NIR Spectral Library
by Xianglin Zhang, Jie Xue, Yi Xiao, Zhou Shi and Songchao Chen
Remote Sens. 2023, 15(2), 465; https://doi.org/10.3390/rs15020465 - 12 Jan 2023
Cited by 37 | Viewed by 4793
Abstract
Soil visible and near-infrared (Vis-NIR, 350–2500 nm) spectroscopy has been proven as an alternative to conventional laboratory analysis due to its advantages being rapid, cost-effective, non-destructive and environmentally friendly. Different variable selection methods have been used to deal with the high redundancy, heavy [...] Read more.
Soil visible and near-infrared (Vis-NIR, 350–2500 nm) spectroscopy has been proven as an alternative to conventional laboratory analysis due to its advantages being rapid, cost-effective, non-destructive and environmentally friendly. Different variable selection methods have been used to deal with the high redundancy, heavy computation, and model complexity of using full spectra in spectral modelling. However, most previous studies used a linear algorithm in the variable selection, and the application of a non-linear algorithm remains poorly explored. To address the current knowledge gap, based on a regional soil Vis-NIR spectral library (1430 soil samples), we evaluated seven variable selection algorithms together with three predictive algorithms in predicting seven soil properties. Our results showed that Cubist overperformed partial least squares regression (PLSR) and random forests (RF) in most soil properties (R2 > 0.75 for soil organic matter, total nitrogen and pH) when using the full spectra. Most of variable selection can greatly reduce the number of spectral bands and therefore simplified predictive models without losing accuracy. The results also showed that there was no silver bullet for the optimal variable selection algorithm among different predictive algorithms: (1) competitive adaptive reweighted sampling (CARS) always performed best for the PLSR algorithm, followed by forward recursive feature selection (FRFS); (2) recursive feature elimination (RFE) and genetic algorithm (GA) generally had better accuracy than others for the Cubist algorithm; and (3) FRFS had the best model performance for the RF algorithm. In addition, the performance was generally better when the algorithm used in the variable selection matched the predictive algorithm. The outcome of this study provides a valuable reference for predicting soil information using spectroscopic techniques together with variable selection algorithms. Full article
(This article belongs to the Section Remote Sensing in Agriculture and Vegetation)
Show Figures

Graphical abstract

29 pages, 3609 KB  
Review
Genetically Encoded Self-Assembling Protein Nanoparticles for the Targeted Delivery In Vitro and In Vivo
by Anastasiia S. Obozina, Elena N. Komedchikova, Olga A. Kolesnikova, Anna M. Iureva, Vera L. Kovalenko, Fedor A. Zavalko, Tatiana V. Rozhnikova, Ekaterina D. Tereshina, Elizaveta N. Mochalova and Victoria O. Shipunova
Pharmaceutics 2023, 15(1), 231; https://doi.org/10.3390/pharmaceutics15010231 - 10 Jan 2023
Cited by 20 | Viewed by 6466
Abstract
Targeted nanoparticles of different origins are considered as new-generation diagnostic and therapeutic tools. However, there are no targeted drug formulations within the composition of nanoparticles approved by the FDA for use in the clinic, which is associated with the insufficient effectiveness of the [...] Read more.
Targeted nanoparticles of different origins are considered as new-generation diagnostic and therapeutic tools. However, there are no targeted drug formulations within the composition of nanoparticles approved by the FDA for use in the clinic, which is associated with the insufficient effectiveness of the developed candidates, the difficulties of their biotechnological production, and inadequate batch-to-batch reproducibility. Targeted protein self-assembling nanoparticles circumvent this problem since proteins are encoded in DNA and the final protein product is produced in only one possible way. We believe that the combination of the endless biomedical potential of protein carriers as nanoparticles and the standardized protein purification protocols will make significant progress in “magic bullet” creation possible, bringing modern biomedicine to a new level. In this review, we are focused on the currently existing platforms for targeted self-assembling protein nanoparticles based on transferrin, lactoferrin, casein, lumazine synthase, albumin, ferritin, and encapsulin proteins, as well as on proteins from magnetosomes and virus-like particles. The applications of these self-assembling proteins for targeted delivery in vitro and in vivo are thoroughly discussed, including bioimaging applications and different therapeutic approaches, such as chemotherapy, gene delivery, and photodynamic and photothermal therapy. A critical assessment of these protein platforms’ efficacy in biomedicine is provided and possible problems associated with their further development are described. Full article
(This article belongs to the Special Issue Novel Metal-Based Drugs for Anticancer and Antiviral Applications)
Show Figures

Figure 1

Back to TopTop