Sign in to use this feature.

Years

Between: -

Subjects

remove_circle_outline
remove_circle_outline
remove_circle_outline
remove_circle_outline
remove_circle_outline
remove_circle_outline
remove_circle_outline
remove_circle_outline
remove_circle_outline

Journals

Article Types

Countries / Regions

Search Results (156)

Search Parameters:
Keywords = bulimia nervosa

Order results
Result details
Results per page
Select all
Export citation of selected articles as:
23 pages, 688 KB  
Systematic Review
Understanding Pride in Eating Disorders and Disordered Eating Behaviors: A PRISMA-Informed Scoping Review
by Edoardo Del Conte, Lucia Tecuta and Elena Tomba
J. Clin. Med. 2026, 15(2), 522; https://doi.org/10.3390/jcm15020522 - 8 Jan 2026
Viewed by 112
Abstract
Background: Pride may play a role in eating disorders and related symptomatology. This PRISMA-informed scoping review explores the emotion of pride in eating disorders and in related symptoms. Methods: Four databases (PubMed, PsycINFO, Web of Science, Scopus) were searched (July 2025). [...] Read more.
Background: Pride may play a role in eating disorders and related symptomatology. This PRISMA-informed scoping review explores the emotion of pride in eating disorders and in related symptoms. Methods: Four databases (PubMed, PsycINFO, Web of Science, Scopus) were searched (July 2025). This systematic scoping review followed PRISMA guidelines and PICOS procedures. The included reports were written in English language and assessed pride in relation to eating disorder-related symptoms both in diagnosed individuals and in the general population. Results: Twenty-three studies were selected, including sixteen quantitative and seven qualitative studies. Pride was evaluated in various forms, including appearance-related pride, body pride, and LGBT pride. In general population samples, high levels of maladaptive pride and low levels of adaptive pride were associated with greater eating disorder-related symptomatology. In patients, pride was associated with control and illness identification and was found to contribute to illness onset, maintenance, and recovery. Conclusions: Integrating pride experiences in the assessment of eating disorders may be clinically useful and provide guidance for treatment planning. Main gaps consist in the great heterogeneity of the instruments used to assess pride and in the major focus on anorexia nervosa, with only a few studies investigating bulimia nervosa and binge-eating disorder. Full article
(This article belongs to the Section Mental Health)
Show Figures

Figure 1

14 pages, 535 KB  
Article
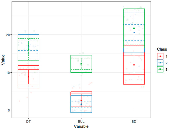
The Role of Self-Compassion and Shame-Proneness Among Anorexia and Bulimia Nervosa
by Lorenzo Antichi, Chiara Rossi, Elisa Scerrati, Daniel Kořínek, Jan Benda and Giuseppe Riva
Healthcare 2026, 14(1), 47; https://doi.org/10.3390/healthcare14010047 - 24 Dec 2025
Viewed by 303
Abstract
Background: Self-compassion (SC) and shame-proneness (SP) are likely transdiagnostic factors implicated in the onset and maintenance of eating disorders (EDs). However, limited research has examined how these variables vary across distinct ED symptom profiles. To address this gap, this exploratory study aimed [...] Read more.
Background: Self-compassion (SC) and shame-proneness (SP) are likely transdiagnostic factors implicated in the onset and maintenance of eating disorders (EDs). However, limited research has examined how these variables vary across distinct ED symptom profiles. To address this gap, this exploratory study aimed to identify latent symptom profiles among individuals diagnosed with Anorexia Nervosa (AN) or Bulimia Nervosa (BN) and assess whether SC and SP levels and their association differ across classes. Methods: A clinical sample of 55 women with AN or BN completed self-report measures for assessing drive for thinness (DT), bulimia (BUL), body dissatisfaction (BD), self-compassion (SC), and SP. Latent Profile Analysis (LPA) was conducted, followed by ANOVA and moderation analysis. Results: LPA revealed three distinct profiles: (1) Low-symptom (i.e., low DT and BUL, moderate BD), (2) Restrictive (i.e., high DT and BD, low BUL), and (3) Multi-symptomatic (i.e., medium-high DT, BUL, and BD). SC significantly differed across profiles, with the Low-symptom group reporting higher SC than the others. No significant differences in SP were found. SC was negatively associated with ED symptoms and significantly moderated the relationship between SP and BD, but not DT or BUL. Conclusions: Findings highlight the heterogeneity of ED symptomatology and the importance of SC as a protective factor, particularly against body dissatisfaction. Full article
Show Figures

Figure 1

18 pages, 513 KB  
Article
Perspectives of Non-Medical Professionals Working in a Mental Health Service on Eating Disorders: Awareness, Knowledge, and Stigmatisation
by Hakan Öğütlü, Uğur Tekeoğlu and Fiona McNicholas
Nutrients 2025, 17(24), 3878; https://doi.org/10.3390/nu17243878 - 12 Dec 2025
Viewed by 360
Abstract
Background: Eating disorders (EDs) are serious mental health conditions often beginning in adolescence and are associated with significant morbidity and mortality. Although previous research has focused on medical staff, little is known about how EDs are recognised and managed by non-medical mental [...] Read more.
Background: Eating disorders (EDs) are serious mental health conditions often beginning in adolescence and are associated with significant morbidity and mortality. Although previous research has focused on medical staff, little is known about how EDs are recognised and managed by non-medical mental health professionals within community-based systems. This study examined their awareness, knowledge, and stigmatising beliefs toward EDs in Türkiye, highlighting implications for training and policy development. Methods: A study-specific questionnaire adapted from a validated tool previously used with general practitioners was administered to 42 non-medical professionals (95.2% female; mean age = 33.2 ± 5.6 years) working in community mental health services in Ankara, Türkiye. Participants were randomly assigned to one of six clinical vignettes depicting a young person with anorexia nervosa (AN), bulimia nervosa, binge eating disorder, avoidant/restrictive food intake disorder (ARFID), depression, or type-1 diabetes. The questionnaire assessed illness perception, causal attributions, emotional reactions, professional knowledge, and stigmatising beliefs. Results: Only 28.6% (n = 12) correctly identified the disorder in their assigned vignette. BED had the highest diagnostic accuracy (50%), while AN and ARFID were most frequently misidentified. Participants commonly believed that EDs mainly affected females, had a short duration, and were less responsive to treatment. Stigmatising beliefs—such as personal blame—were also noted. Conclusions: Findings revealed limited awareness and knowledge of EDs—particularly AN and ARFID—among non-medical mental health professionals. Misconceptions that EDs are self-inflicted may delay recognition and referral. The results underscore the need for targeted education, anti-stigma interventions, and integration of ED content into professional training to improve early detection and community-based support. Full article
(This article belongs to the Section Nutrition and Public Health)
Show Figures

Figure 1

13 pages, 272 KB  
Article
Pregnancy and Pregnancy Outcomes in Women with Eating Disorders: A Four-Year Longitudinal Study with Case Series
by Bárbara César Machado, Sónia Gonçalves, Sofia Duarte, Isabel Brandão, António Roma-Torres and Filipa Soares
Pediatr. Rep. 2025, 17(6), 114; https://doi.org/10.3390/pediatric17060114 - 3 Nov 2025
Viewed by 998
Abstract
Background/Objectives: Eating disorders (EDs) often affect fertility, yet many women with ED still become mothers. The pattern of ED symptoms during pregnancy and postpartum, along with their effects on maternal and child health, is not yet fully understood. This longitudinal study aimed to [...] Read more.
Background/Objectives: Eating disorders (EDs) often affect fertility, yet many women with ED still become mothers. The pattern of ED symptoms during pregnancy and postpartum, along with their effects on maternal and child health, is not yet fully understood. This longitudinal study aimed to (1) examine the course of ED symptoms from conception to postpartum, (2) evaluate pregnancy outcomes and children’s health and developmental milestones, and (3) assess ED status approximately four years after the initial evaluation. Methods: Thirty women with a prior ED diagnosis (21 with anorexia nervosa, 9 with bulimia nervosa) were evaluated at two time points. Time 1 with the Eating Disorders Examination and the Oxford Risk Factors for Eating Disorders: Interview Schedule; Time 2, approximately four years later, with the Eating Disorders Examination and the Clinical Interview on Reproductive History and Eating Behavior that also included clinical data related to mother’s health and baby’s health and development accessed through the Pregnant Women’s Health Bulletin and the Child and Youth Health Bulletin using the national health records. Results: ED symptoms (dietary restriction, self-induced vomiting, laxative misuse) persisted from conception through postpartum. BN participants reported more severe symptoms and higher rates of pregnancy complications (hyperemesis gravidarum, gestational diabetes, preeclampsia), while premature births occurred only in AN participants. Children of mothers with AN more frequently showed delays in developmental milestones (sitting, walking, speaking, sphincter control) compared to those of BN mothers. Conclusions: A substantial proportion of women with prior ED continued to experience symptoms during and after pregnancy, and nearly half still met diagnostic criteria four years later and are still in treatment. Cognitive features such as body dissatisfaction persisted despite partial symptom remission. These findings highlight the chronicity of ED and underscore the need for systematic screening, psychological support, and interdisciplinary follow-up during pregnancy and early motherhood. Full article
26 pages, 889 KB  
Review
The Body as a Battlefield: Identity Development and Psychosomatic Expression in Eating Disorders Across Childhood and Adolescence
by Giuseppe Marano, Daniele Napolitano, Esmeralda Capristo, Gianandrea Traversi, Osvaldo Mazza, Eleonora Gaetani and Marianna Mazza
Children 2025, 12(11), 1465; https://doi.org/10.3390/children12111465 - 29 Oct 2025
Viewed by 1542
Abstract
Background/Objectives: Eating disorders (EDs) frequently emerge during critical stages of childhood and adolescence, when identity development and emotional regulation are still maturing. Disturbances in self-concept clarity and identity integration may transform the body into a symbolic battlefield for autonomy, belonging, and self-worth. This [...] Read more.
Background/Objectives: Eating disorders (EDs) frequently emerge during critical stages of childhood and adolescence, when identity development and emotional regulation are still maturing. Disturbances in self-concept clarity and identity integration may transform the body into a symbolic battlefield for autonomy, belonging, and self-worth. This review synthesizes developmental, psychosocial, neurocognitive, and therapeutic perspectives on the role of identity disturbance in EDs. Methods: A narrative review was conducted (2010–2025) using combinations of terms related to identity, self-concept clarity, self-discrepancy, objectification, interoception, and eating disorders (anorexia nervosa, bulimia nervosa, and binge-eating disorder). Results: Findings indicate that identity vulnerability (expressed as low self-concept clarity, heightened self-discrepancies, and self-objectification) mediates the association between early adversity, sociocultural pressures, and ED symptoms. Neurocognitive studies reveal altered self-referential processing, default mode network connectivity, and interoceptive signaling. Clinically, comorbid borderline personality features further exacerbate identity disturbance and complicate recovery. Evidence-based treatments such as enhanced cognitive-behavioral therapy (CBT-E) effectively target core maintaining mechanisms, while adjunctive interventions (mentalization-based therapy, schema therapy, narrative approaches, and compassion- or acceptance-based methods) show promise in addressing identity-related processes and improving outcomes. Conclusions: Identity disturbance provides a unifying framework for understanding why ED symptoms become entrenched despite adverse consequences. Integrating identity-focused approaches with nutritional and medical care may enhance recovery and reduce chronicity in youth. Future research should adopt longitudinal and mechanistic designs to clarify pathways linking identity change to clinical improvement and test identity-specific augmentations to standard ED treatments. Full article
Show Figures

Figure 1

24 pages, 744 KB  
Systematic Review
The Hidden Challenge: Male Eating Disorders in the Middle East: A Systematic Review of Prevalence and Cultural Factors
by Tariq A. Alalwan, Simone Perna, Ayesha Rafique, Sabika Allehdan, Iolanda Cioffi and Mariangela Rondanelli
Psychiatry Int. 2025, 6(3), 115; https://doi.org/10.3390/psychiatryint6030115 - 16 Sep 2025
Viewed by 2254
Abstract
Middle Eastern males face unique eating disorder (ED) risks due to cultural transitions from traditional masculine ideals that emphasized functional strength to Western aesthetic standards. Male EDs in Middle Eastern populations constitute an emerging public health concern that has received limited systematic research [...] Read more.
Middle Eastern males face unique eating disorder (ED) risks due to cultural transitions from traditional masculine ideals that emphasized functional strength to Western aesthetic standards. Male EDs in Middle Eastern populations constitute an emerging public health concern that has received limited systematic research attention, despite increasing clinical recognition. This systematic review synthesized available epidemiological data on ED prevalence among Middle Eastern males to examine regional patterns and associated risk factors. We conducted a systematic review following PRISMA guidelines by searching PubMed, Scopus, and Google Scholar databases for studies published between 2000 and 2023 that examined EDs in males aged 15 years and above across Middle Eastern countries. Thirteen studies encompassing 5236 male participants from 11 countries met the inclusion criteria. ED prevalence demonstrated substantial variation from 2.2% to 81.4% depending on population and assessment methodology, with Gulf Cooperation Council countries showing consistently higher rates. Age-stratified analysis revealed the highest rates among adolescents aged 15–18 years (mean: 35.0%) compared to adults over 25 years (mean: 2.1%), with university students showing intermediate levels (mean: 29.0%). Muscle dysmorphia emerged as particularly prevalent among bodybuilders (5.7–81.4%), while university students showed rates of 9.7–49.1%. Depression, body dissatisfaction, and cultural transition stress were consistently identified as correlates across multiple populations. These findings underscore late adolescence as a critical risk period and highlight the urgent need for culturally adapted diagnostic tools, healthcare provider training, and region-specific prevention strategies. Full article
Show Figures

Figure 1

16 pages, 285 KB  
Review
Psychedelics and the Serotonin Hypothesis of Eating Disorders
by Dean Bilenker and Nicole M. Avena
Brain Sci. 2025, 15(8), 893; https://doi.org/10.3390/brainsci15080893 - 21 Aug 2025
Viewed by 3043
Abstract
Recent advances in psychedelic research have renewed interest in their therapeutic potential for psychiatric disorders characterized by cognitive and behavioral rigidity. This review examines the rationale for using serotonergic psychedelics—particularly 5-HT2A receptor agonists such as psilocybin—in the treatment of eating disorders [...] Read more.
Recent advances in psychedelic research have renewed interest in their therapeutic potential for psychiatric disorders characterized by cognitive and behavioral rigidity. This review examines the rationale for using serotonergic psychedelics—particularly 5-HT2A receptor agonists such as psilocybin—in the treatment of eating disorders (EDs), including anorexia nervosa (AN), bulimia nervosa (BN), and binge eating disorder (BED). The paper contextualizes these interventions within the broader serotonin hypothesis of EDs, emphasizing serotonergic dysregulation and impaired cognitive flexibility as central features of these conditions. Drawing from animal models, human neuroimaging studies, and emerging clinical trials, the authors outline how psychedelics may promote neuroplasticity and psychological insight through modulation of 5-HT2A signaling. Preliminary evidence from open-label studies suggests psilocybin may improve ED symptoms and quality of life, though findings are early and methodologically limited. The paper also reviews data on ayahuasca, MDMA, and non-psychedelic serotonergic agents, highlighting both the promise and complexity of psychedelic-assisted therapy in EDs. The authors conclude that while further controlled trials are needed to clarify efficacy, safety, and optimal treatment parameters, psychedelics offer a novel, mechanistically distinct avenue for addressing entrenched ED psychopathology. Full article
(This article belongs to the Special Issue Psychedelic and Interventional Psychiatry)
12 pages, 753 KB  
Article
Reducing State and Trait Anxiety Through Art Therapy in Adolescents with Eating Disorders: Results from a Pilot Repeated-Measures Study
by Francesco Monaco, Annarita Vignapiano, Stefania Landi, Ernesta Panarello, Benedetta Di Gruttola, Naomi Gammella, Silvia Adiutori, Eleonora Acierno, Valeria Di Stefano, Ilaria Pullano, Giulio Corrivetti and Luca Steardo Jr
J. Clin. Med. 2025, 14(15), 5298; https://doi.org/10.3390/jcm14155298 - 27 Jul 2025
Viewed by 1877
Abstract
Background: Art therapy is increasingly recognized as a valuable complementary intervention for individuals with eating disorders (EDs), who frequently experience comorbid anxiety and difficulties with emotional regulation. However, few studies have examined its short-term effects on state and trait anxiety within structured clinical [...] Read more.
Background: Art therapy is increasingly recognized as a valuable complementary intervention for individuals with eating disorders (EDs), who frequently experience comorbid anxiety and difficulties with emotional regulation. However, few studies have examined its short-term effects on state and trait anxiety within structured clinical settings. Methods: This pilot study involved 19 adolescent females (mean age 17.7 ± 2.1 years) diagnosed with anorexia nervosa (AN) or bulimia nervosa (BN) and admitted to the Mariconda Regional Residence for Eating Disorders (ASL Salerno, Italy) in residential or semi-residential treatment. Participants completed a structured six-week cycle of weekly textile-based art therapy sessions, designed to promote emotional expression and body reconnection. State and trait anxiety levels were assessed pre- and post-session using the State-Trait Anxiety Inventory (STAI). Repeated-measures ANOVA was used to analyze state anxiety changes; a linear mixed-effects model was applied to trait anxiety. Results: State anxiety significantly decreased immediately after sessions (p = 0.002). A significant main effect of session (p = 0.01) and a time × session interaction (p = 0.025) indicated variability across sessions. Trait anxiety showed a non-significant trend toward reduction (p = 0.11); however, reductions were significant at sessions 4 (p = 0.015), 5 (p < 0.001), and 6 (p = 0.005). Conclusions: Art therapy may offer immediate reductions in state anxiety and may contribute to a longer-term reduction in trait anxiety with 4–6 sessions. These findings support integrating creative interventions within multidisciplinary ED treatment programs. Future research with larger samples and control groups is needed to confirm and expand upon these preliminary results. Full article
Show Figures

Figure 1

36 pages, 914 KB  
Review
Gut Microbiota in Women with Eating Disorders: A New Frontier in Pathophysiology and Treatment
by Giuseppe Marano, Sara Rossi, Greta Sfratta, Mariateresa Acanfora, Maria Benedetta Anesini, Gianandrea Traversi, Francesco Maria Lisci, Lucio Rinaldi, Roberto Pola, Antonio Gasbarrini, Gabriele Sani, Eleonora Gaetani and Marianna Mazza
Nutrients 2025, 17(14), 2316; https://doi.org/10.3390/nu17142316 - 14 Jul 2025
Cited by 5 | Viewed by 6104
Abstract
Emerging evidence highlights the critical role of the gut microbiota in the development and progression of eating disorders (EDs), particularly in women, who are more frequently affected by these conditions. Women with anorexia nervosa, bulimia nervosa, and binge eating disorder exhibit distinct alterations [...] Read more.
Emerging evidence highlights the critical role of the gut microbiota in the development and progression of eating disorders (EDs), particularly in women, who are more frequently affected by these conditions. Women with anorexia nervosa, bulimia nervosa, and binge eating disorder exhibit distinct alterations in gut microbiota composition compared to healthy controls. These alterations, collectively termed dysbiosis, involve reduced microbial diversity and shifts in key bacterial populations responsible for regulating metabolism, inflammation, and gut–brain signaling. The gut microbiota is known to influence appetite regulation, mood, and stress responses—factors closely implicated in the pathogenesis of EDs. In women, hormonal fluctuations related to menstruation, pregnancy, and menopause may further modulate gut microbial profiles, potentially compounding vulnerabilities to disordered eating. Moreover, the restrictive eating patterns, purging behaviors, and altered dietary intake often observed in women with EDs exacerbate microbial imbalances, contributing to intestinal permeability, low-grade inflammation, and disturbances in neurotransmitter production. This evolving understanding suggests that microbiota-targeted therapies, such as probiotics, prebiotics, dietary modulation, and fecal microbiota transplantation (FMT), could complement conventional psychological and pharmacological treatments in women with EDs. Furthermore, precision nutrition and personalized microbiome-based interventions tailored to an individual’s microbial and metabolic profile offer promising avenues for improving treatment efficacy, even though these approaches remain exploratory and their clinical applicability has yet to be fully validated. Future research should focus on sex-specific microbial signatures, causal mechanisms, and microbiota-based interventions to enhance personalized treatment for women struggling with eating disorders. Full article
(This article belongs to the Section Clinical Nutrition)
Show Figures

Figure 1

10 pages, 248 KB  
Article
Psychiatric Comorbidities Associated with Food Addiction in Post-Bariatric Patients: Toward Personalized Mental Health Screening and Postoperative Care
by Ligia Florio, Maria Olivia Pozzolo Pedro, Kae Leopoldo, Maria Amalia Accari Pedrosa and João Mauricio Castaldelli-Maia
J. Pers. Med. 2025, 15(7), 313; https://doi.org/10.3390/jpm15070313 - 14 Jul 2025
Viewed by 722
Abstract
Background: Food addiction (FA) is an emerging construct that mirrors the behavioral and neurobiological characteristics of substance use disorders. Despite growing interest, its association with specific psychiatric disorders among bariatric patients remains understudied. Objective: Our aim was to examine the prevalence and strength [...] Read more.
Background: Food addiction (FA) is an emerging construct that mirrors the behavioral and neurobiological characteristics of substance use disorders. Despite growing interest, its association with specific psychiatric disorders among bariatric patients remains understudied. Objective: Our aim was to examine the prevalence and strength of associations between FA and seven major psychiatric disorders in individuals who underwent bariatric surgery. Methods: In a sample of 100 post-bariatric patients referred for psychiatric evaluation, FA was assessed using the modified Yale Food Addiction Scale 2.0 (mYFAS 2.0), and psychiatric disorders were diagnosed using the Mini International Neuropsychiatric Interview (MINI). Logistic regression models were used to estimate adjusted odds ratios (aORs) for the association between FA and each psychiatric disorder, controlling for sex, age, body mass index (BMI), employment status, the number of children, clinical comorbidities, physical activity, family psychiatric history, and region of residence. Results: FA was present in 51% of the sample. Descriptive analyses revealed a significantly higher prevalence of major depressive disorder, panic disorder, generalized anxiety disorder, social anxiety disorder, agoraphobia, obsessive–compulsive disorder, and bulimia nervosa among individuals with FA. Multivariate models showed robust associations between FA and bulimia nervosa (aOR = 19.42, p < 0.05), generalized anxiety disorder (aOR = 2.88, p < 0.05), obsessive–compulsive disorder (aOR = 6.64, p < 0.05), agoraphobia (aOR = 3.14, p < 0.05), social anxiety disorder (aOR = 4.28, p < 0.05) and major depressive disorder (aOR = 2.79, p < 0.05). Conclusions: FA is strongly associated with a range of psychiatric comorbidities in post-bariatric patients, reinforcing the need for comprehensive mental health screening in this population. These findings underscore the potential role of FA as a clinical marker for stratified risk assessment, supporting more personalized approaches to mental health monitoring and intervention following bariatric surgery. Full article
(This article belongs to the Special Issue Recent Advances in Bariatric Surgery)
17 pages, 416 KB  
Article
Cognitive and Mental Health Profiles of Binge-Eating Adults with and Without Comorbid Addictive Behaviors
by Jake Jeong, Jungwon Jang, Giho Jeon and Kwangyeol Baek
Healthcare 2025, 13(13), 1524; https://doi.org/10.3390/healthcare13131524 - 26 Jun 2025
Viewed by 1040
Abstract
Background: Binge eating is a disordered eating behavior implicated in eating disorders such as binge eating disorder (BED) and bulimia nervosa; it significantly affects an individual’s physical and mental health. Recent studies suggest shared neurobiological mechanisms between binge eating and addictive behaviors. [...] Read more.
Background: Binge eating is a disordered eating behavior implicated in eating disorders such as binge eating disorder (BED) and bulimia nervosa; it significantly affects an individual’s physical and mental health. Recent studies suggest shared neurobiological mechanisms between binge eating and addictive behaviors. Comorbid addiction (e.g., substance use disorders and behavioral addictions) is also frequently reported in binge-eating patients. However, it is still unclear whether binge-eating individuals with comorbid addictions differ in their cognitive and mental health characteristics from those without comorbid addictions. Objectives: The present study aimed to examine the cognitive and mental health profiles of binge-eating individuals with and without co-occurring addictions. We hypothesized that binge-eating individuals with comorbid addictions would show greater impairments in impulsivity and self-control, as well as elevated depression and emotion dysregulation. Methods: In the present study, we assessed psychometric scales on various cognitive and mental health domains (e.g., impulsivity, behavioral inhibition, self-control, emotion regulation, mood, and anxiety) across 30 binge-eating individuals with co-occurring addictive behaviors (i.e., alcohol, nicotine, gambling, and video games), 32 binge-eating individuals without addiction, and 180 healthy control subjects with neither binge-eating tendencies nor addiction. Results: Both binge-eating groups showed a significant increase in punishment sensitivity, perceived stress, and state/trait anxiety compared to healthy controls, but there was no difference between the two binge-eating groups. Higher impulsivity and lower self-control were observed in both binge-eating groups to a significantly greater degree in the group with comorbid addiction. Notably, significantly increased depression and impaired emotion regulation (reduced use of cognitive reappraisal) were observed only in the binge-eating group with comorbid addiction when compared to the healthy controls. Conclusions: Our findings demonstrated the commonalities and differences in binge-eating populations with and without comorbid addiction. It will help to elucidate cognitive and mental health aspects of comorbid addiction in the binge-eating population and to develop more tailored diagnoses and treatments. Full article
Show Figures

Figure 1

16 pages, 527 KB  
Article
Awareness of Eating Disorders, Nutritional Knowledge, and Emotionally Driven Eating Among Polish Adolescents Aged 15–17—A Pilot Study
by Marlena Zięba, Marta Jaskuła and Sabina Lachowicz-Wiśniewska
Nutrients 2025, 17(12), 1994; https://doi.org/10.3390/nu17121994 - 13 Jun 2025
Cited by 2 | Viewed by 2725
Abstract
Background/Objectives: Despite the growing awareness of nutrition and the popularity of healthy lifestyles among adolescents, disordered eating behaviors—such as anorexia nervosa, bulimia nervosa, binge eating disorder (BED), and avoidant/restrictive food intake disorder (ARFID)—remain significant public health concerns. ARFID, officially recognized only in 2013, [...] Read more.
Background/Objectives: Despite the growing awareness of nutrition and the popularity of healthy lifestyles among adolescents, disordered eating behaviors—such as anorexia nervosa, bulimia nervosa, binge eating disorder (BED), and avoidant/restrictive food intake disorder (ARFID)—remain significant public health concerns. ARFID, officially recognized only in 2013, is still poorly understood among youth. This study aimed to assess the relationship between adolescents’ nutritional knowledge, emotional regulation, media influence, and eating behaviors. Methods: A cross-sectional study was conducted in 2024 among 120 students aged 15–17 attending W. Reymont Secondary School No. II in Ostrów Wielkopolski, Poland. Participants completed a custom-designed, paper-based questionnaire consisting of 30 single-choice questions and demographic items. The instrument assessed knowledge of eating disorders, body satisfaction, social media impact, and the emotional determinants of food choices. The tool was developed with expert input but has not undergone formal psychometric validation. While many adolescents demonstrated basic nutritional knowledge—such as awareness of BMI norms and food group distribution—they often failed to apply this knowledge to their dietary behaviors. Results: Significant gender differences were observed: girls were more likely to restrict food intake, report emotional eating, and engage in slimming behaviors, while boys were less emotionally reactive and less influenced by social media. Most participants reported eating one meal daily with family but rarely discussed nutrition at home. Emotional involvement in eating, particularly among girls, emerged as a key factor, more influential than social media in shaping dietary behaviors. Conclusions: The findings highlight a clear gap between nutritional knowledge and actual behavior among adolescents, driven in part by emotional dysregulation and body image concerns. School-based interventions should incorporate not only nutritional education but also emotional regulation strategies and media literacy to effectively support healthy eating behaviors in youth. Full article
(This article belongs to the Special Issue Lifestyle Factors, Nutrition and Mental Health in Adolescents)
Show Figures

Figure 1

12 pages, 213 KB  
Article
Investigating Associations Between the Diagnostic Specifiers for Binge-Eating Disorder, Other Clinical Features, and the Presence of a High Body Mass Index: A Population-Based Study
by Mohammed Mohsin, Malakeh Hamoui, Stella Kozmér, Stephen Touyz, David Currow and Phillipa Hay
Obesities 2025, 5(2), 45; https://doi.org/10.3390/obesities5020045 - 10 Jun 2025
Viewed by 1400
Abstract
Binge eating is the cardinal feature of Binge-Eating Disorder (BED) and is known to be associated with obesity with bidirectional causality. This study aimed to investigate the association of diagnostic specifiers of binge eating, as mandated in the DSM-5 definition of BED, i.e., [...] Read more.
Binge eating is the cardinal feature of Binge-Eating Disorder (BED) and is known to be associated with obesity with bidirectional causality. This study aimed to investigate the association of diagnostic specifiers of binge eating, as mandated in the DSM-5 definition of BED, i.e., Criteria B and C (presence of marked distress) and weight/shape overvaluation with body mass index (BMI); and to examine the associations of high BMI with distress, pain, anxiety, and physical and mental health-related quality of life (PHRQoL and MHRQoL). Data for a sub-sample of 255 adults with recurrent binge eating (Criterion A) and without anorexia or bulimia nervosa diagnoses were extracted from the 2017 South Australian Health Omnibus Survey. Bivariate analyses were used to explore the association of DSM-5 BED specifiers with BMI and other measures. This study found that specific BED diagnostic specifiers related to binge eating were associated with higher BMI and distress levels. Additionally, individuals with BED who experience weight/shape overvaluation and higher BMI levels were associated with heigh levels of pain and anxiety, and had poorer PHRQoL and MHRQoL. These findings in relation to the association of higher BMI with different BED specifiers support the clinical significance of the DSM-5 Criterion B and C for BED. Full article
19 pages, 465 KB  
Article
Psychopathological Comorbidities in Children and Adolescents with Feeding and Eating Disorders: An Italian Clinical Study
by Maria Califano, Jacopo Pruccoli, Oliviero Cavallino, Alessandra Lenzi and Antonia Parmeggiani
Pediatr. Rep. 2025, 17(3), 61; https://doi.org/10.3390/pediatric17030061 - 19 May 2025
Viewed by 1256
Abstract
Objectives: Feeding and eating disorders (FED) represent a major public health issue and are the second leading cause of death among psychiatric conditions in children and adolescents. Psychopathological comorbidities play a significant role in the onset and persistence of FED, yet research on [...] Read more.
Objectives: Feeding and eating disorders (FED) represent a major public health issue and are the second leading cause of death among psychiatric conditions in children and adolescents. Psychopathological comorbidities play a significant role in the onset and persistence of FED, yet research on their underlying structure remains limited. This study explores the psychiatric comorbidities associated with FED, focusing on common etiopathogenetic factors and their clinical implications. Methods: Data were retrospectively collected from the Italian Regional Center for FED in the Emilia-Romagna Region between June 2023 and April 2024. Diagnoses were assigned following DSM-5 criteria using the Italian version of the semi-structured K-SADS-PL diagnostic interview. Principal component analysis (PCA) was performed to identify latent psychological dimensions underlying FED psychopathology, retaining five components based on the scree plot. Additionally, an analysis of covariance (ANCOVA) was conducted to examine differences in factor scores across FED subtypes, while adjusting for potential confounders. Results: Seventy-two participants were included (mean age: 14.6 years; mean BMI: 18.3 kg/m2; male-to-female ratio: 1:8). Diagnoses were distributed as follows: 63.9% anorexia nervosa (AN), 13.9% other specified feeding and eating disorder (OSFED), 6.9% avoidant restrictive food intake disorder (ARFID), 4.2% binge eating disorder (BED), 4.2% unspecified feeding and eating disorder (UFED), and 2.7% bulimia nervosa (BN). All participants met the criteria for at least one psychiatric comorbidity. Identified psychopathological clusters include the following: (1) mood disorders (66.5%); (2) anxiety disorders (87.5%); (3) obsessive–compulsive and related disorders (47.2%); (4) neurodevelopmental disorders, i.e., attention-deficit/hyperactivity disorder (ADHD) (30.5%); (5) disruptive and impulse-control disorders (13.9%); and (6) psychotic symptoms (40.3%). No instances of tic or elimination disorders were detected. Conduct disorder was more prevalent among UFED, BED, and BN patients compared to other FED (p = 0.005), and moderate/severe ADHD was associated with higher body mass index (BMI) (p = 0.035). PCA revealed distinct psychological dimensions underlying FED, while ANCOVA indicated significant differences in factor scores across FED subtypes, supporting the presence of shared transdiagnostic mechanisms. Conclusions: This study highlights the complex interplay between FED and psychiatric comorbidities, emphasizing the need for early intervention and personalized treatment approaches. The dimensional structure identified through PCA suggests that common psychopathological factors may drive FED development, and ANCOVA findings support their differential expression across FED types. Future research should further investigate these transdiagnostic mechanisms to optimize clinical care. Full article
(This article belongs to the Special Issue Mental Health and Psychiatric Disorders of Children and Adolescents)
Show Figures

Figure 1

14 pages, 249 KB  
Article
Predictors and Moderators of Outcomes in a Trial of Cognitive Behavioural Therapy Integrated with Behavioural Weight Loss for High Weight Individuals with Disorders of Recurrent Binge Eating
by Haider Mannan, Marly Amorim Palavras, Angelica Claudino and Phillipa Jane Hay
Nutrients 2025, 17(7), 1288; https://doi.org/10.3390/nu17071288 - 7 Apr 2025
Viewed by 1484
Abstract
Background/Objectives: To inform person-centred clinical practice, it is important to know what features may predict or moderate treatment outcomes. Thus, we investigated pre-treatment clinical features and mid-therapy reduction in loss of control over eating (MTLOCE), including impacts on treatment outcomes of a [...] Read more.
Background/Objectives: To inform person-centred clinical practice, it is important to know what features may predict or moderate treatment outcomes. Thus, we investigated pre-treatment clinical features and mid-therapy reduction in loss of control over eating (MTLOCE), including impacts on treatment outcomes of a new manualised psychotherapy, a healthy approach to weight management and food in eating disorders (HAPIFED). HAPIFED was developed as an integrated psychological and behavioural treatment for individuals with bulimia nervosa or binge eating disorder, which are co-morbid with a high body mass index (BMI). Methods: In total, 50 participants were randomised to HAPIFED and 48 were randomised to the control cognitive behaviour therapy-enhanced group. Assessments included mental health-related quality of life (MHRQoL), eating disorder symptom severity, binge-eating frequency, BMI, and loss of control over eating (LOCE) at baseline, mid-treatment, end-treatment, and 6 and 12 months end of follow-up (EndFU). These were measured with the SF-12, the EDE-Q, and the LOCES, respectively. Linear and negative binomial mixed models were used. Missing data were imputed multiple times, assuming intention of treatment for the analysis. Results: Pre-treatment eating disorder symptom severity, MHRQoL, and BMI positively predicted eating disorder symptom severity, MHRQoL, and BMI up to 6 and 12 months end of follow-up. Mid-treatment LOCE MTLOCE predicted improved MHRQoL (coefficient = 0.387, 95% CI 0.0824–0.6921, p = 0.004), reduced binge-eating frequency (IRR = 0.5637, 95% CI 0.3539–0.8977, p = 0.0191), and eating disorder symptom severity (coefficient= −0.65, 95% CI −1.0792–−0.2217, p = 0.0139). Neither purging nor illness duration were a significant predictor of any of the outcomes. The effect of HAPIFED was not moderated by baseline weight/BMI but was moderated negatively by MTLOCE for binge-eating frequency (coefficient = −0.636, SE = 0.28, p < 0.05, IRR = 0.529) and eating disorder symptom severity (coefficient = −0.268, SE = 0.13, p < 0.05, Cohen’s d = −0.102). Conclusions: Greater control over eating improved MHRQoL and decreased the frequency of binge-eating episodes and eating disorder symptom severity. These positive effects were moderated by being in the HAPIFED group, supporting previous findings of benefits to people’s mental health through participation in the HAPIFED trial. Full article
(This article belongs to the Special Issue Cognitive and Dietary Behaviour Interventions in Eating Disorders)
Back to TopTop