Sign in to use this feature.

Years

Between: -

Subjects

remove_circle_outline
remove_circle_outline
remove_circle_outline
remove_circle_outline
remove_circle_outline
remove_circle_outline
remove_circle_outline
remove_circle_outline
remove_circle_outline

Journals

remove_circle_outline
remove_circle_outline
remove_circle_outline
remove_circle_outline
remove_circle_outline
remove_circle_outline
remove_circle_outline
remove_circle_outline
remove_circle_outline

Article Types

Countries / Regions

remove_circle_outline
remove_circle_outline
remove_circle_outline
remove_circle_outline
remove_circle_outline
remove_circle_outline

Search Results (1,888)

Search Parameters:
Keywords = building height

Order results
Result details
Results per page
Select all
Export citation of selected articles as:
21 pages, 10860 KB  
Article
The Effect of Build Orientation and Heat Treatment on Properties of Molten Metal Jetted AlSi7Mg Aluminum Alloy
by Usama Abdullah Rifat, Khushbu Zope, Paarth Mehta, Valeria Marin-Montealegre and Denis Cormier
Metals 2026, 16(4), 363; https://doi.org/10.3390/met16040363 - 25 Mar 2026
Abstract
Molten Metal Jetting (MMJ) is an emerging metal additive manufacturing process that produces components via on-demand jetting of discrete droplets. This paper reports properties of T6 heat-treated AlSi7Mg alloy produced in different build orientations via MMJ. A Xerox ElemX machine was used to [...] Read more.
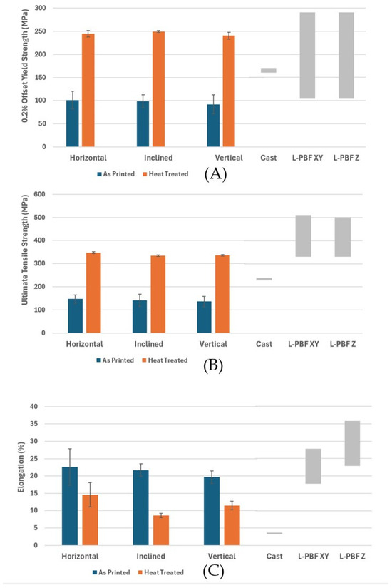
Molten Metal Jetting (MMJ) is an emerging metal additive manufacturing process that produces components via on-demand jetting of discrete droplets. This paper reports properties of T6 heat-treated AlSi7Mg alloy produced in different build orientations via MMJ. A Xerox ElemX machine was used to print AlSi7Mg coupons in horizontal, tilted, and vertical orientations. The aluminum feedstock was melted at 825 °C and was printed onto a 475 °C heated print bed using a jetting frequency of 400 Hz and a drop spacing of 500 μm. Coupons were heat treated to a T6 temper. The average yield strengths of heat-treated coupons in vertical and horizontal orientations were 240.4 ± 7.3 MPa and 244.6 ± 7.1 MPa respectively. This indicates that the vertical build orientation had minimal adverse effect on strength. However, average strain (11.5% ± 1.2% versus 14.6% ± 3.5%) values for the vertical and horizontal orientations, respectively, showed more pronounced effects. X-ray CT analysis of vertically oriented coupons revealed increases in porosity in material deposited above heights of ~90 mm. Above this build height, the measured surface temperature dropped below ~455 °C. External heating methods are therefore advised in order to maintain a surface temperature ≥ 455 ° and avoid excess porosity. Full article
Show Figures

Figure 1

32 pages, 1186 KB  
Article
Performance-Based Seismic Loss and Recovery Assessment of Residential Buildings in Bucharest Using FEMA P-58 and SP3: Implications for Seismic Resilience
by Bogdan Gheorghe and Radu Vacareanu
Appl. Sci. 2026, 16(7), 3118; https://doi.org/10.3390/app16073118 - 24 Mar 2026
Abstract
This study presents a probabilistic assessment of seismic loss and recovery for residential buildings in Bucharest, Romania, using the FEMA P-58 framework implemented in SP3. A typology set is developed to represent the building stock, accounting for structural system, construction period, and height. [...] Read more.
This study presents a probabilistic assessment of seismic loss and recovery for residential buildings in Bucharest, Romania, using the FEMA P-58 framework implemented in SP3. A typology set is developed to represent the building stock, accounting for structural system, construction period, and height. The analysis evaluates scenario-based losses, functional recovery times, and expected annual loss (EAL) across seismic hazard levels representative of Vrancea earthquakes. Results show that frame-based systems are highly sensitive to building height, with the highest losses and longest recovery times in older mid- and high-rise buildings. For pre-1990 construction, masonry-infilled reinforced concrete frames are more representative than bare frames and drive the vulnerability of the older building stock. Reinforced concrete shear wall systems perform better, with lower losses and faster recovery across all categories. Nonstructural damage, especially drift-sensitive components, is a contributor to both repair cost and downtime. The results are interpreted comparatively, highlighting the role of structural system, code era, and height. While absolute values depend on modeling assumptions, the study provides a consistent basis for identifying vulnerable typologies and supporting risk mitigation and resilience planning. Full article
(This article belongs to the Section Earth Sciences)
Show Figures

Figure 1

28 pages, 14645 KB  
Article
HeritageTwin Lite: A GIS-Driven 2D-to-3D Workflow for Digital Twins of Protected Cultural Heritage Building
by Asimina Dimara, Myrto Stogia, Christoforos Papaioannou, Alexios Papaioannou, Stelios Krinidis and Christos-Nikolaos Anagnostopoulos
Heritage 2026, 9(3), 121; https://doi.org/10.3390/heritage9030121 - 20 Mar 2026
Viewed by 135
Abstract
Digital Twins for cultural heritage buildings commonly depend on high-fidelity 3D scanning, detailed onsite surveys, and unrestricted data acquisition. In many countries, however, legal, regulatory, and conservation constraints render such methods inaccessible or explicitly prohibited, significantly limiting the deployment of digital-heritage technologies in [...] Read more.
Digital Twins for cultural heritage buildings commonly depend on high-fidelity 3D scanning, detailed onsite surveys, and unrestricted data acquisition. In many countries, however, legal, regulatory, and conservation constraints render such methods inaccessible or explicitly prohibited, significantly limiting the deployment of digital-heritage technologies in real settings. This paper introduces HeritageTwin Lite, a regulation-compliant workflow for constructing low-detail yet operational Digital Twins of protected cultural heritage buildings using only publicly permissible data sources. The proposed approach relies on a GIS-based 2D application through which users select a site and manually delineate building footprints and structural outlines. These 2D sketches are combined with satellite imagery, publicly available photographs, archival records, and open datasets to generate a massing-level 3D model. Building height and volumetric characteristics are estimated using contextual cues such as surrounding structures, known architectural typologies, and scale references derived from people or urban elements. The resulting Digital Twin prioritizes geometric plausibility over fine architectural detail, enabling simulation, analysis, and decision-support tasks, such as environmental modeling, airflow and CFD approximation, and high-level Heritage BIM integration, while fully respecting cultural heritage restrictions. Three case studies illustrate the proposed workflow and systematically identify which components of conventional smart-building and Digital Twin pipelines remain feasible and which become infeasible under heritage regulations. The results demonstrate a practical and scalable path toward compliant Digital Twins for protected buildings, positioning low-detail modeling not as a limitation but as a regulatory necessity. Full article
(This article belongs to the Section Cultural Heritage)
Show Figures

Figure 1

19 pages, 4637 KB  
Article
Response Characteristics of Buildings and Pile Foundations Under Blasting Vibration at the Adjacent Waterway
by Peng Yuan, Qingqing Liu, Yao Huang, Junyi Liu, Nan Jiang and Shiwei Peng
Eng 2026, 7(3), 140; https://doi.org/10.3390/eng7030140 - 20 Mar 2026
Viewed by 95
Abstract
Clarifying the dynamic response characteristics of buildings and pile foundations under the action of blasting vibration is of great significance to ensure the safety and stability of the buildings adjacent to the underwater drill blasting project in the waterway. Based on the blasting [...] Read more.
Clarifying the dynamic response characteristics of buildings and pile foundations under the action of blasting vibration is of great significance to ensure the safety and stability of the buildings adjacent to the underwater drill blasting project in the waterway. Based on the blasting construction project of the HD13 section of the Western Land-Sea New Passage (Pinglu) Canal Waterway Project, the attenuation law of the blasting vibration along the riverbank was obtained through the on-site blasting vibration monitoring. Based on on-site blasting vibration monitoring results, the dynamic response characteristics of residential buildings in the adjacent waterway were analyzed using the LS-DYNA dynamic finite element analysis method. The numerical results show that the roof’s peak vibration velocity decreases with increasing height from the foundation within the same building, and the peak attenuation is 67.76%. The peak vibration velocity and the maximum principal stress of the pile foundation increase with increasing pile depth. Based on the numerical analysis results, a linear relationship formula is established between the peak vertical vibration velocity of the pile body and the peak maximum principal stress. It is calculated that the safe control threshold value of pile foundation blasting vibration within the parameter range of this study is 13.92 cm/s. Full article
(This article belongs to the Section Chemical, Civil and Environmental Engineering)
Show Figures

Figure 1

26 pages, 3959 KB  
Article
Research on Radio Altimetry in Urban Environments Based on Electromagnetic Simulation Echo Modeling Technology
by Jian Xiong, Xin Xie, Xujun Guan, Yunye Xu and Chao Li
Sensors 2026, 26(6), 1932; https://doi.org/10.3390/s26061932 - 19 Mar 2026
Viewed by 95
Abstract
As the low-altitude economy develops rapidly, precise radar altimetry is crucial for ensuring the safety and reliability of drone flights. In the context of urban radio detection, the presence of numerous buildings and ground surfaces gives rise to electromagnetic wave multipath propagation. This [...] Read more.
As the low-altitude economy develops rapidly, precise radar altimetry is crucial for ensuring the safety and reliability of drone flights. In the context of urban radio detection, the presence of numerous buildings and ground surfaces gives rise to electromagnetic wave multipath propagation. This objective factor gives rise to errors in radar altimetry. Existing channel models often lack the intricate details required to accurately quantify multipath error mechanisms in kilometer-scale complex electromagnetic environments. Therefore, there is an urgent need for a high-fidelity simulation framework. The present study has put forward a pioneering approach to radio altimetry simulation and accuracy assessment in intricate urban environments. The objective of this study is to investigate the impact of multipath propagation on radar altimetry precision. The present study has proposed a novel integration of radar altimetry simulation with kilometre-scale urban electromagnetic simulation models. The simulation of echo signals has been achieved through the utilization of the shooting and bouncing rays (SBR) method and inverse fast Fourier transform (IFFT). A comparative analysis has been conducted based on ranging results from radar systems for different urban models, thereby enabling a mechanism analysis of factors affecting radar altimetry. The study has demonstrated that increased building density and height, along with reduced elevation angles during altimetry, exacerbate ranging errors. Full article
(This article belongs to the Section Radar Sensors)
Show Figures

Figure 1

20 pages, 33249 KB  
Article
Spatiotemporal Analysis of Temperature Distribution in Semi-Underground Potato Storage Facilities in Cold and Arid Regions of China
by Yunfeng Sun, Tana, Qi Zhen, Caixia Yan, Chasuna and Kunyu Liu
Sustainability 2026, 18(6), 2927; https://doi.org/10.3390/su18062927 - 17 Mar 2026
Viewed by 117
Abstract
Precise regulation of the postharvest storage environment is critical for reducing losses and maintaining potato quality. Semi-underground storage facilities are widely used in major potato-producing regions of northern China; however, pronounced spatiotemporal heterogeneity in the internal temperature field often leads to localized quality [...] Read more.
Precise regulation of the postharvest storage environment is critical for reducing losses and maintaining potato quality. Semi-underground storage facilities are widely used in major potato-producing regions of northern China; however, pronounced spatiotemporal heterogeneity in the internal temperature field often leads to localized quality deterioration. To enable accurate sensing and proactive prediction of temperature dynamics in such facilities, this study investigated a typical semi-underground potato storage cellar in Wuchuan County, Inner Mongolia. A high-density sensor network was deployed to collect temperature data, and the spatiotemporal variation patterns of the internal temperature field were systematically analyzed. The results indicate that, at the same vertical height, spatial temperature gradually increases from the entrance toward the interior of the cellar. Both the maximum and minimum temperatures in the entrance zone are lower than those in other regions, while the highest temperatures are observed near the rear wall. Based on the collected data, hierarchical clustering was employed to partition the internal temperature field into three spatiotemporal pattern clusters with significant differences. Key representative monitoring locations were then identified using the Spearman correlation coefficient. An AdaBoost-based prediction model was subsequently developed to estimate the temperatures at other test locations within each cluster using measurements from the representative points. The results demonstrate that the proposed model maintains high prediction accuracy while substantially reducing dependence on a dense sensor network. The overall MAE ranges from 0.075 to 0.373 °C, and the sensor reduction ratio reaches 87%. This approach provides a paradigm for low-cost intelligent monitoring and offers theoretical support and decision-making guidance for the smart regulation of potato storage environments. By optimizing the monitoring of potato storage environments, this study can reduce monitoring system costs and resource consumption, providing technical support for building a sustainable potato supply chain and delivering significant economic benefits in promoting the development of a resource-conserving potato industry. Full article
Show Figures

Figure 1

16 pages, 2359 KB  
Article
Design Optimization of a Prismatic Compact High-Power Molten-Salt Reactor Based on Graphite Lifetime and Fuel Efficiency
by Fangyuan Zhang, Rui Yan, Ye Dai and Yang Zou
Energies 2026, 19(6), 1486; https://doi.org/10.3390/en19061486 - 17 Mar 2026
Viewed by 195
Abstract
This study investigates the core optimization of a Prismatic Solid Molten-Salt Reactor (PSMSR) to meet key objectives of compactness, high power density, and extended operational life. With graphite irradiation resistance being a paramount concern in high-flux environments, the analysis focuses on the influence [...] Read more.
This study investigates the core optimization of a Prismatic Solid Molten-Salt Reactor (PSMSR) to meet key objectives of compactness, high power density, and extended operational life. With graphite irradiation resistance being a paramount concern in high-flux environments, the analysis focuses on the influence of core height-to-diameter ratio, active zone size, and reflector thickness on the graphite displacement per atom (DPA) distribution and burnup performance. The results indicate an optimal active core configuration characterized by a 1:1 height-to-diameter ratio, a 175 cm active zone radius, and a 55 cm reflector. Building on these findings, reactivity-control strategies were refined. An evaluation of burnable-poison addition against fuel-loading optimization revealed that the latter, by adjusting the TRISO (TRi-structural ISOtropic) packing factor and control-rod dimensions, can meet the safety shutdown margin requirements and substantially improve the fuel utilization efficiency, ultimately achieving a burnup depth of 50.3 MWd/kgU and a 10-year operation lifetime without refueling at a 500 MWt power level. This research provides an effective technical solution for the modular deployment of solid-state molten-salt reactors in remote areas and in special application scenarios. This research offers a viable technical pathway for implementing solid-fueled molten-salt reactors in remote and specialized scenarios, enabling their modular deployment. Full article
(This article belongs to the Section A: Sustainable Energy)
Show Figures

Figure 1

30 pages, 11087 KB  
Article
Estimation of Individual Tree-Level Structural and Biochemical Traits for Seabuckthorn Forests in Lhasa Valley Plain by Coupling UAV-Based LiDAR and Multispectral Images with N-PROSAIL Model
by Wenkai Xue, Kai Zhou, Pubu Dunzhu, Zhen Xing, Yunhua Wu, Ling Lin, Xin Shen and Lin Cao
Remote Sens. 2026, 18(6), 909; https://doi.org/10.3390/rs18060909 - 16 Mar 2026
Viewed by 163
Abstract
The accurate and efficient extraction of individual tree phenotypic traits for seabuckthorn (Hippophae rhamnoides L.) in natural forests is crucial for germplasm exploration, precision silviculture, and ecological restoration. This study extracted structural and biochemical traits of seabuckthorn in Tibet’s Lhasa valley using [...] Read more.
The accurate and efficient extraction of individual tree phenotypic traits for seabuckthorn (Hippophae rhamnoides L.) in natural forests is crucial for germplasm exploration, precision silviculture, and ecological restoration. This study extracted structural and biochemical traits of seabuckthorn in Tibet’s Lhasa valley using Unmanned aerial vehicle (UAV) LiDAR, multispectral imagery, and the N-PROSAIL model. Firstly, building on a classification conducted through multi-scale spatial analysis and hierarchical clustering with dynamic thresholds, shrub interference was effectively reduced, thereby improving the accuracy of individual tree segmentation. Tree height and crown width were derived from the segmentation results, and a DBH estimation model was developed using handheld LiDAR data. Finally, leaf nitrogen content was mapped within canopies using random forest combined with the N-PROSAIL model and nitrogen reference data. The results demonstrated that the optimized segmentation method successfully extracted structural traits (F1 = 84.21%). Tree height was accurately estimated (R2 = 0.814, RMSE = 0.580 m), and the DBH prediction model performed satisfactorily (R2 = 0.779, RMSE = 1.725 cm). The random forest model also effectively estimated leaf nitrogen content (R2 = 0.680, RMSE = 2.074 mg/g). Full article
Show Figures

Figure 1

16 pages, 3261 KB  
Article
Design Method of a Stepped Integrated Natural Lighting System
by Jing Xu, Shilong Xu, Yuying Han, Xuqing Zheng, Borui Zhang, Sirui Du, Yueyang Ma, Jingcheng Shi, Yue Yu, Shuhang Li, Boran Li and Peng Yin
Photonics 2026, 13(3), 285; https://doi.org/10.3390/photonics13030285 - 16 Mar 2026
Viewed by 188
Abstract
To address the problems of insufficient light energy utilization and light leakage in existing concentrator lighting systems, this paper proposes a novel Stepped Integrated No-Leakage Concentrator Lighting System. This system adopts a design that combines a concentrator module array with a stepped light [...] Read more.
To address the problems of insufficient light energy utilization and light leakage in existing concentrator lighting systems, this paper proposes a novel Stepped Integrated No-Leakage Concentrator Lighting System. This system adopts a design that combines a concentrator module array with a stepped light guide plate. By constructing a stepped integrated concentrator structure and a composite parabolic coupling configuration, the system enables efficient solar energy collection and delivery, significantly improving concentration efficiency and energy utilization. First, based on the principles of geometric optics, theoretical modeling of the concentrator modules and light guide plate was conducted. The relationships among the paraboloid coefficient, step height of the light guide plate, and the number of concentrator modules were analyzed to clarify their influence on the geometric concentration ratio and concentration efficiency of the system. Subsequently, optical performance simulations under varying structural parameters were performed using a joint simulation platform based on SolidWorks Premium 2024 SP5.0 and LightTools(64) 8.6.0 Copyright (c) 1994-2018 Synopsys, Inc. The results indicate that the proposed structure achieves excellent light-guiding performance and high optical efficiency, with a maximum concentration efficiency of 94% and a geometric concentration ratio of 50. On this basis, a physical prototype was fabricated, and experimental testing was carried out. The results validated the accuracy of the simulation, with the system reaching a concentration efficiency of 54.6% at noon, further confirming the feasibility and superior performance of the proposed design. This study demonstrates that the Stepped Integrated No-Leakage Concentrator Lighting System offers significant advantages in enhancing light energy utilization and reducing leakage losses, providing an efficient solution for natural daylighting and interior illumination in green buildings. Full article
(This article belongs to the Special Issue Innovation in Optical Design)
Show Figures

Figure 1

11 pages, 3184 KB  
Article
CMOS-Compatible Fabrication Module for Sub-100 nm TiN and TaN Pillar Electrodes for Carbon Nanotube Test Structures
by Guohai Chen, Takeshi Fujii, Takeo Yamada and Kenji Hata
Nanomaterials 2026, 16(6), 357; https://doi.org/10.3390/nano16060357 - 14 Mar 2026
Viewed by 252
Abstract
We report a versatile, CMOS-compatible fabrication module for sub-100 nm TiN and TaN pillar electrodes, a key building block for sandwich-type test structures. As a demonstration, the electrodes were integrated into carbon nanotube-based nonvolatile random-access memory (CRAM) test structures. High-resolution hydrogen silsesquioxane (HSQ) [...] Read more.
We report a versatile, CMOS-compatible fabrication module for sub-100 nm TiN and TaN pillar electrodes, a key building block for sandwich-type test structures. As a demonstration, the electrodes were integrated into carbon nanotube-based nonvolatile random-access memory (CRAM) test structures. High-resolution hydrogen silsesquioxane (HSQ) masks defined by electron beam lithography were transferred into TiN films using optimized Ar/Cl2 inductively coupled plasma reactive ion etching. Optical emission spectroscopy was used for real-time endpoint detection, ensuring precise etch control. The process achieved a TiN-to-HSQ selectivity of ~1.6 and reproducible nanoscale features with smooth sidewalls and an average taper angle of ~77°. Buffered hydrogen fluoride treatment effectively removed residual HSQ, revealing sharp TiN features and preserving pillar geometry. Atomic force microscopy (AFM) confirmed pillar height and profile fidelity, while conductive AFM verified electrical conductivity after planarization. The module was further demonstrated through the fabrication of TiN pillar arrays, TaN pillars, and sub-100 nm TiN line arrays. A CRAM test structure incorporating TiN pillars exhibited preliminary switching, indicating that both the test structure and fabrication process are feasible. This fabrication module provides a reproducible platform for nanoscale TiN and TaN electrodes, supporting laboratory-scale research and providing a pathway toward future integration of emerging memory and nanoelectronic technologies. Full article
Show Figures

Graphical abstract

18 pages, 1287 KB  
Article
Soil-Dependent Optimization of TMD- and Inerter-Based Devices for Seismic Retrofit of Multi-Story Structures
by Konstantinos Kapasakalis, Georgios Florakis, Maria Spanea and Evangelos Sapountzakis
Appl. Sci. 2026, 16(6), 2745; https://doi.org/10.3390/app16062745 - 13 Mar 2026
Viewed by 135
Abstract
Distributed passive vibration control systems (VCSs) offer an attractive solution for improving the seismic response of multi-story buildings, particularly in seismic retrofit applications and when soil–structure interaction (SSI) effects are explicitly considered. This study presents a soil-dependent optimization framework of distributed Tuned Mass [...] Read more.
Distributed passive vibration control systems (VCSs) offer an attractive solution for improving the seismic response of multi-story buildings, particularly in seismic retrofit applications and when soil–structure interaction (SSI) effects are explicitly considered. This study presents a soil-dependent optimization framework of distributed Tuned Mass Damper (TMD) and Tuned Mass Damper Inerter (TMDI) systems applied to a ten-story building. The proposed framework determines the optimal number, tuning, damping and spatial distribution of these VCS, including non-collocated inerter configurations for TMDI layouts, while also examining different auxiliary mass ratios. Soil–structure interaction effects are explicitly incorporated by considering four soil classes (A–D) in accordance with Eurocode 8, enabling a systematic evaluation of soil-dependent vibration control effectiveness. Structural performance is evaluated using normalized performance criteria associated with peak absolute floor displacements, floor accelerations and inter-story drifts. The results indicate that distributing control devices along the height of the structure enhances seismic mitigation for both TMD and TMDI configurations, with performance improvements becoming more pronounced as the number of devices increases. Moreover, TMDI systems consistently achieve superior response reduction compared to TMDs across all soil classes, highlighting their potential as a robust, efficient, and lightweight passive vibration control solution for seismic retrofit applications involving SSI effects. Full article
(This article belongs to the Special Issue Advances in Earthquake Engineering and Seismic Resilience)
Show Figures

Figure 1

50 pages, 25225 KB  
Article
Mitigating Damage in Laterally Supported URM Walls Under Severe Catastrophic Blast Using UHPC and UHPFRC Coatings with and Without Embedded Steel-Welded Wire Mesh
by S. M. Anas, Rayeh Nasr Al-Dala’ien, Mohammed Benzerara and Mohammed Jalal Al-Ezzi
Appl. Mech. 2026, 7(1), 23; https://doi.org/10.3390/applmech7010023 - 11 Mar 2026
Viewed by 320
Abstract
In many densely populated towns and semi-urban areas, masonry buildings often stand close to busy roads, exposing them to blasts from improvised explosives or other localized sources. Such structures are rarely designed to resist sudden explosive forces, making severe damage or even progressive [...] Read more.
In many densely populated towns and semi-urban areas, masonry buildings often stand close to busy roads, exposing them to blasts from improvised explosives or other localized sources. Such structures are rarely designed to resist sudden explosive forces, making severe damage or even progressive collapse likely. Even moderate-intensity blasts can weaken walls, endanger occupants, and cause significant property loss. Unlike reinforced concrete, masonry is highly susceptible to explosive impact. Therefore, understanding how these buildings behave under blast loads and developing affordable protection methods is crucial. Low-rise unreinforced masonry (URM) structures, usually up to about 13 m in height (roughly 2–4 stories), common in villages, semi-urban regions, and conflict-prone zones, are particularly at risk. In many areas, these poorly constructed buildings lack proper engineering design and are therefore highly vulnerable to blast damage. Non-load-bearing internal dividers and perimeter enclosures are especially prone to lateral displacement, which can initiate instability and, in severe cases, lead to overall structural failure. This research focuses on reducing catastrophic damage in URM walls when exposed to close-proximity blast forces using concrete-based protective coatings, both with and without embedded steel-welded wire mesh. The study references a previously tested laterally supported clay brick wall built with cement–sand mortar as the baseline model, with its behavior validated against experimental findings from existing literature. Two blast cases were considered corresponding to scaled stand-off distances of 2.19 m/kg1/3 and 1.83 m/kg1/3, representing moderate flexural-shear cracking and full structural failure, respectively. To replicate the observed behavior, a comprehensive 3D numerical simulation was developed using the ABAQUS/Explicit 2020 solver. The model’s predictions were benchmarked and verified through comparison with reported test data. While both blast intensities were used to confirm computational accuracy, the effectiveness of UHPC and UHPFRC protective coatings with and without embedded wire mesh was specifically evaluated under the more severe collapse scenario (Z = 1.83 m/kg1/3). Results indicated that at a scaled distance of 1.83 m/kg1/3, the uncoated URM wall could not withstand the blast because of poor tensile and bending capacity. In contrast, the UHPC- and UHPFRC-coatings provided improved confinement and better stress distribution. When welded wire mesh was embedded, crack control improved further, the interface bond strengthened, and a larger portion of blast energy was absorbed and dissipated. Full article
Show Figures

Figure 1

25 pages, 2978 KB  
Article
Process Modeling of 3D Electrodeposition Printing of Metallic Materials
by Satyaki Sinha, Saumitra Bhate and Tuhin Mukherjee
Modelling 2026, 7(2), 53; https://doi.org/10.3390/modelling7020053 - 11 Mar 2026
Viewed by 291
Abstract
3D electrodeposition printing is an emerging process for fabricating metallic parts with controllable geometry, yet the coupled influences of electrochemical kinetics, ion transport, and tool motion on layer height remain difficult to interpret. This work presents a physics-based process model that links key [...] Read more.
3D electrodeposition printing is an emerging process for fabricating metallic parts with controllable geometry, yet the coupled influences of electrochemical kinetics, ion transport, and tool motion on layer height remain difficult to interpret. This work presents a physics-based process model that links key process inputs, current density, electrolyte concentration, the inter-electrode gap, and tool scanning speed, to the resulting layer height in 3D electrodeposition printing of nickel-based structures. The model combines species transport in the inter-electrode gap with Butler–Volmer kinetics, under carefully stated assumptions regarding current efficiency, overpotential, and lateral spreading. Model predictions are validated against experimentally reported layer heights over a range of process conditions, yielding average errors (9–15%) and root-mean-square errors (0.13–0.28 µm) that demonstrate good agreement and highlight the impact of simplifying assumptions. Systematic parametric studies reveal how each process input monotonically influences layer height in ways consistent with Faraday’s law and diffusion-controlled growth, while also quantifying the relative sensitivity to different parameters. Building on these results, we introduce a dimensionless 3D Electrodeposition Printing Index that consolidates the key process and material parameters into a single scalar describing the geometric growth regime. The index enables construction of process maps that capture how combinations of current density, scan speed, concentration, and gap affect achievable layer height within the validated operating window. The scope and limitations of the proposed modeling framework and the index, particularly regarding other materials, more complex geometries, and pulsed or strongly convective regimes, are explicitly discussed, providing a basis for future model extensions and experimental validation. Full article
Show Figures

Figure 1

22 pages, 5127 KB  
Article
Wind-Driven Structure-to-Structure Fire Spread: Validating a Physics-Based Model for Outdoor Built Environments
by Mahmoud S. Waly, Guan Heng Yeoh and Maryam Ghodrat
Fire 2026, 9(3), 119; https://doi.org/10.3390/fire9030119 - 6 Mar 2026
Viewed by 450
Abstract
Recently, numerous countries have experienced devastating wildfires, leading to significant destruction and loss of life. These catastrophic events highlight the shortcomings in current building regulations and testing methods. There is a pressing need for a more profound understanding of the characteristics and behaviour [...] Read more.
Recently, numerous countries have experienced devastating wildfires, leading to significant destruction and loss of life. These catastrophic events highlight the shortcomings in current building regulations and testing methods. There is a pressing need for a more profound understanding of the characteristics and behaviour of large outdoor fires to address these inadequacies effectively. Wildfires can spread to structures located at the wildland–urban interface, leading to further fire propagation from one building to another. In this study, the Fire Dynamics Simulator (FDS) model was validated using experimental data from the National Institute of Standards and Technology (NIST). The experiment consisted of a target wall and a small wooden shed containing six wooden cribs as fuel, with a separation distance of 3 m. Both FDS and the experiment proved that 3 m is the safe separation distance. Different shed materials, such as steel, were used, which reduced the total heat release rate by 40% and the flame height by 20%. The effects of wind speed and direction were investigated using two wooden sheds in FDS to observe fire spread between them. The safe separation distance was 3 m for both wind speeds (2 and 5 m/s) in all directions, where the critical temperature was not reached to cause self-ignition of the second shed, except in the north direction (inward) at a speed of 5 m/s. When the separation distance increased to 3.5 m, the average heat flux at the other shed reduced to 3.18 kW/m2, which did not cause self-ignition. Therefore, the safe separation distance between two structures for a wind speed of 5 m/s should be 3.5 m to mitigate the spread of fire based on the shed dimensions and the fire source load. Full article
(This article belongs to the Special Issue Fire Safety in the Built Environment)
Show Figures

Figure 1

25 pages, 7543 KB  
Article
Methodology for the Structural Analysis of Compliant Towers at Ultimate and Serviceability Limit States
by Pedro Vladimir Hernández-Varona, Ivan Félix-González and Rolando Salgado-Estrada
Infrastructures 2026, 11(3), 85; https://doi.org/10.3390/infrastructures11030085 - 6 Mar 2026
Viewed by 158
Abstract
The short service life of oil fields and limited oil deposits in shallow waters requires a constant search for new oil fields in deeper waters. Compliant towers are one of the most suitable structures for water depths between 300 m and 600 m, [...] Read more.
The short service life of oil fields and limited oil deposits in shallow waters requires a constant search for new oil fields in deeper waters. Compliant towers are one of the most suitable structures for water depths between 300 m and 600 m, where fixed structures are economically unfeasible. The principal characteristics of compliant towers include a minimal number of cross sections in their main structural elements throughout their height, combined with significant flexibility and buoyancy. Due to their flexibility and buoyancy, gravitational loads at the deck do not significantly impact the foundation. Moreover, compliant towers do not need advanced building systems, installation processes or special maintenance. Additionally, the large height of compliant towers reduces their natural frequencies, which prevents them from being within the frequency range of environmental forces capable of producing structural resonance. For this reason, efforts are made to design compliant towers to be as flexible as possible. Hence, this research is focused on examining a methodology for the structural analysis of compliant towers at ultimate and serviceability limit states for a water depth of 550 m in the Mexican waters of the Gulf of Mexico. Full article
(This article belongs to the Section Infrastructures and Structural Engineering)
Show Figures

Figure 1

Back to TopTop