Response Characteristics of Buildings and Pile Foundations Under Blasting Vibration at the Adjacent Waterway
Abstract
1. Introduction
2. Project Overview and On-Site Blasting Vibration Monitoring Analysis
2.1. Project Overview
2.2. Field Monitoring Scheme
2.3. Analysis of On-Site Blasting Vibration Velocity
3. Numerical Modeling of the Dynamic Response of Building Superstructure and Pile Foundation
3.1. Overall Model
3.2. Model Constitutive Parameters
3.2.1. Soil Layers and Concrete Structures
3.2.2. Explosive
| ρ g/cm3 | Detonation Velocity m/s | Detonation Pressure GPa | A GPa | B GPa | R1 | R2 | ω | E0 | V0 GPa |
|---|---|---|---|---|---|---|---|---|---|
| 1.08 | 3360 | 49.7 | 20.2 | 17 | 4.2 | 0.9 | 0.15 | 4.19 | 1 |
3.2.3. Steel Reinforcement
3.2.4. Water
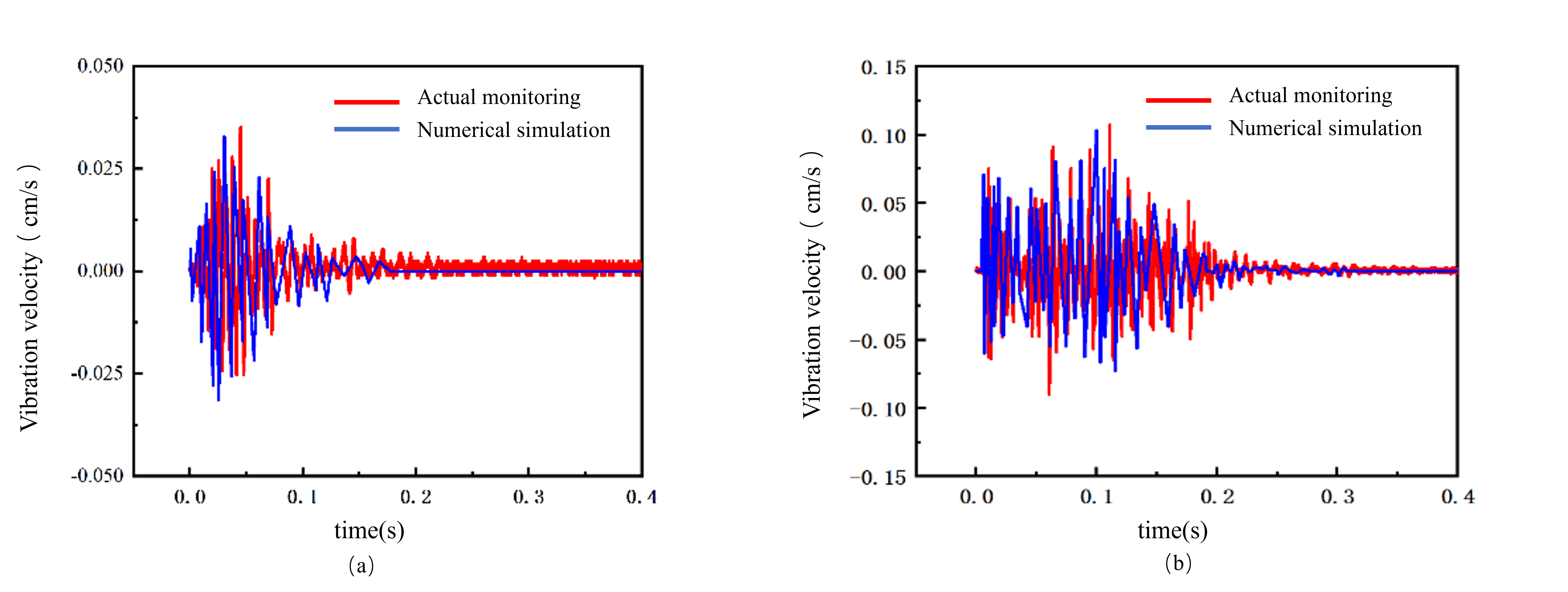
3.3. Numerical Simulation Results and Verification
4. Analysis of Dynamic Response Characteristics of Structures and Buildings
4.1. Analysis of Dynamic Response Characteristics of Building Superstructure
4.2. Analysis of Pile Foundation Dynamic Response Characteristics
4.2.1. Distribution Law of Vibration Velocity Along Pile Foundation Depth
4.2.2. Distribution Pattern of Maximum Principal Stress Along Pile Foundation Depth


4.3. Research on Vibration Safety Criteria for Piles
5. Conclusions
- (1)
- This study is based on field monitoring data under single charge quantity conditions, using field monitoring data to fit the blast center distance and blasting charge, and derived a formula representing the attenuation law of the vertical vibration component of seismic waves in the strata of the construction site.
- (2)
- By comparing the field monitoring results with the numerical simulation results, it was found that the numerical simulation results had a small error. The relative error in the peak vibration speed at the J3 measuring point between the two was 6.72%, which is within the reasonable range of <10%, indicating that the numerical model and its parameters are reliable.
- (3)
- According to field monitoring data and numerical simulation results, the blasting vibration in residential buildings shows an attenuation trend with increasing floor height. The vertical peak vibration velocities at the bottom and top of the residential building are 0.103 cm/s and 0.033 cm/s, respectively, both of which meet the safety control standards.
- (4)
- Through numerical simulation, the dynamic response characteristics of residential building friction pile foundations along the buried depth were analyzed. As the pile depth increases, both the pile vibration velocity and maximum stress show an increasing trend, with the maximum peak vibration velocity reaching 0.463 cm/s and the maximum peak principal stress reaching 0.064 MPa. A fitting was performed between the pile depth and the maximum principal stress of the pile foundation at 0.15 s after blasting, revealing a pattern of increasing maximum principal stress with increasing depth.
- (5)
- Based on the results of numerical simulation, a linear relationship formula between the peak vertical vibration velocity of the pile body and the peak maximum principal stress is established. Combining the concrete structure design code and the maximum tensile stress criterion, it is calculated that the safe control threshold value of pile body blasting vibration within the parameter range of this study is 13.92 cm/s. It should be specially noted that the theoretical ultimate vibration velocity of 13.92 cm/s for the pull failure of piles derived in this paper is an extrapolated result based on limited monitoring data, which exceeds the vibration range of the on-site measurements conducted this time, and can only serve as a theoretical reference for the ultimate state of the structure.
Author Contributions
Funding
Institutional Review Board Statement
Informed Consent Statement
Data Availability Statement
Conflicts of Interest
References
- Yu, C.X.; Qin, G.J.; Zeng, L. Research on the technology of underwater reef drilling blasting in an inland waterway. Eng. Blasting 2021, 27, 58–63. [Google Scholar]
- Wang, Y.L. Analysis and application of construction technology for underwater reef blasting in inland waterway regulation. Pearl River Water Transp. 2024, 96–98. [Google Scholar] [CrossRef]
- Norén-Cosgriff, K.M.; Ramstad, N.; Neby, A.; Madshus, C. Building damage due to vibration from rock blasting. Soil Dyn. Earthq. Eng. 2020, 138, 106331. [Google Scholar] [CrossRef]
- Ma, Y.Q.; Zhou, C.B.; Jiang, N. Study on dynamic response of adjacent high-rise frame structure under tunnel blasting. Eng. Blasting 2023, 29, 85–94. [Google Scholar]
- Ni, H.G.; Pan, Z.H.; Sun, K.; Zhang, Y.L.; Zhou, B.C. Field measurement and numerical simulation of dynamic response of masonry structure under blasting ground motion. Build. Struct. 2020, 50, 122–126. [Google Scholar]
- Ran, C. Study on the Dynamic Response of Building Structures Under Blasting Seismic Waves. Master’s Thesis, Wuhan University of Technology, Wuhan, China, 2017. [Google Scholar]
- Ma, H.Y.; Zhang, Y.P.; Liu, H.Y.; Liu, Y.L. Dynamic Response of Single-layer Masonry-concrete Building under Blasting Vibration. Explos. Mater. 2020, 49, 59–64. [Google Scholar]
- Lin, J.; Lin, C.M.; Lin, L.Q. Research on response characteristics of structure under dynamic blasting load. J. Vib. Shock. 2010, 29, 48–51. [Google Scholar]
- Zhang, Y.Q.; Jiang, N.; Zhou, C.B.; Wu, T.Y.; Luo, X.D.; Xia, Y.Q. Dynamic response of building structures with high-rise frames caused by blasting vibration at adjacent subway foundation pit. J. China Coal Soc. 2019, 44, 118–125. [Google Scholar]
- Liao, D.H.; Zhang, J.Q.; Hu, S.L.; Tang, M.J. Analysis of Elevation Effect of Blasting Vibration on High-rise Buildings near River in Channel Dredging. Blasting 2023, 40, 170–176. [Google Scholar]
- Xia, Y.Q. Study on the Vibration Effect of Adjacent Pile Foundations Caused by Tunnel Blasting Using the Drilling and Blasting Method in Urban Areas. Ph.D. Thesis, China University of Geosciences, Wuhan, China, 2023. [Google Scholar]
- Yang, N.H.; Xue, L.; Zhang, Z.Y. Influence of Tunnel Blasting on Top Pile Foundations. Blasting 2015, 32, 22–25. [Google Scholar]
- Jayasinghe, L.B.; Zhou, H.Y.; Goh, A.T.C.; Zhao, Z.Y.; Gui, Y.L. Pile response subjected to rock blasting-induced ground vibration near soil-rock interface. Comput. Geotech. 2017, 82, 1–15. [Google Scholar] [CrossRef]
- Zhou, X.; Chen, H.; Zhou, Y.; Hou, L.; Wang, J.; Du, S. Measured Spatiotemporal Development and Environmental Implications of Ground Settlement and Carbon Emissions Induced by Sequential Twin-Tunnel Shield Excavation. Buildings 2025, 16, 25. [Google Scholar] [CrossRef]
- Zhu, Y.; Tang, Y.; Wang, H.; Zhang, Q.B. Development of a dynamic cumulative damage model and its application to underground hydropower caverns under multiple blasting. Int. J. Rock Mech. Min. Sci. 2024, 184, 105948. [Google Scholar] [CrossRef]
- Che, Y.; Chi, E. Study on the Vibration Effects of Cyclic Blasting on Bridge Structures under Construction. Appl. Sci. 2024, 14, 5940. [Google Scholar] [CrossRef]
- Liu, C.H.; Zhu, B.; Jiang, N.; Zhou, C.B.; Zhang, Y.Q.; Liu, J. Dynamic Response Characteristics and Safety Evaluation of Frame Structures Adjacent to Foundation Pit Blasting in Subway Stations. Saf. Environ. Eng. 2023, 30, 35–43. [Google Scholar]
- Zhang, J.K.; Jiang, N.; Zhou, C.B.; Zhao, K.; Zhu, B. Quantitative evaluation method of human comfort under the influenceof blast vibration based on human physiological indexes and its application. Appl. Acoust. 2023, 202, 109175. [Google Scholar] [CrossRef]
- Pu, C.J.; Guo, W.L.; Qin, X.X.; Wu, S.H.; Zhang, S. Prediction of Blasting Vibration Velocity of Pile Foundation Based on BP Neural Network. Blasting 2018, 35, 177–181. [Google Scholar]
- Zhang, Z. Study on the Dynamic Effect of Building Structure Piles Induced by Subway Tunnel Blasting. Ph.D. Thesis, China University of Geosciences, Wuhan, China, 2020. [Google Scholar]
- GB 6722-2014; Safety Regulations for Blasting [Including MODIFICATION 1]. National Standards of People’s Republic of China: Beijing, China, 2014.












| Measurement Point Number | Peak Vibration Velocity (cm/s) | ||
|---|---|---|---|
| X | Y | Z | |
| J1 | 0.142 | 0.083 | 0.244 |
| J2 | 0.115 | 0.066 | 0.179 |
| J3 | 0.075 | 0.059 | 0.125 |
| J4 | 0.047 | 0.052 | 0.107 |
| M1 | 0.024 | 0.020 | 0.035 |
| Point Number | Blast Center Distance (m) | Vx | Vy | Vz |
|---|---|---|---|---|
| J1 | 46 | 0.142 | 0.083 | 0.244 |
| J2 | 54 | 0.115 | 0.066 | 0.179 |
| J3 | 62 | 0.075 | 0.059 | 0.125 |
| J4 | 70 | 0.047 | 0.052 | 0.107 |
| Blast Center Distance (m) | Explosive Amount (kg) | lnVz | |
|---|---|---|---|
| 46 | 8 | −3.135 | −1.410 |
| 54 | 8 | −3.296 | −1.720 |
| 62 | 8 | −3.434 | −2.079 |
| 70 | 8 | −3.555 | −2.235 |
| Material | ρ (g/cm3) | E0 (GPa) | μRS | σy (MPa) | b |
|---|---|---|---|---|---|
| Silty Fine Sand | 1.8 | 0.15 | 0.33 | 5 | 1 |
| Medium-Coarse Sand | 2.0 | 0.4 | 0.30 | 7 | 0.5 |
| Moderately Weathered Siltstone | 2.2 | 0.9 | 0.26 | 11 | 0.5 |
| Concrete | 2.5 | 30 | 0.19 | 14.3 | 1 |
| ρ | E | μRS | σv | ET | CRS | PiRS |
|---|---|---|---|---|---|---|
| g/cm3 | GPa | MPa | GPa | |||
| 7.8 | 210 | 0.3 | 548 | 2 | 40 | 5 |
| ρ g/cm3 | C m/s | S1 | S2 | S3 | γ0 | a | E |
|---|---|---|---|---|---|---|---|
| 1.025 | 1640 | 2.60 | −1.979 | 0.23 | 0.5 | 0.00 | 0.00 |
| Measurement Point | Peak Vibration Velocity (cm/s) | Error/% | |
|---|---|---|---|
| Numerical Simulation | Practical Monitoring | ||
| M1 | 0.033 | 0.035 | 5.71 |
| J1 | 0.236 | 0.244 | 3.28 |
| J2 | 0.185 | 0.179 | 3.24 |
| J3 | 0.134 | 0.125 | 6.72 |
| J4 | 0.103 | 0.107 | 3.74 |
| Point Number | Height (m) | Peak Vibration Velocity (cm/s) |
|---|---|---|
| M1 | 27 | 0.033 |
| M2 | 25 | 0.036 |
| M3 | 22 | 0.041 |
| M4 | 19 | 0.044 |
| M5 | 16 | 0.050 |
| M6 | 13 | 0.053 |
| M7 | 10 | 0.061 |
| M8 | 7 | 0.075 |
| M9 | 5 | 0.084 |
| M10 | 3 | 0.088 |
| M11 | 1 | 0.098 |
| M12 | 0 | 0.103 |
Disclaimer/Publisher’s Note: The statements, opinions and data contained in all publications are solely those of the individual author(s) and contributor(s) and not of MDPI and/or the editor(s). MDPI and/or the editor(s) disclaim responsibility for any injury to people or property resulting from any ideas, methods, instructions or products referred to in the content. |
© 2026 by the authors. Licensee MDPI, Basel, Switzerland. This article is an open access article distributed under the terms and conditions of the Creative Commons Attribution (CC BY) license.
Share and Cite
Yuan, P.; Liu, Q.; Huang, Y.; Liu, J.; Jiang, N.; Peng, S. Response Characteristics of Buildings and Pile Foundations Under Blasting Vibration at the Adjacent Waterway. Eng 2026, 7, 140. https://doi.org/10.3390/eng7030140
Yuan P, Liu Q, Huang Y, Liu J, Jiang N, Peng S. Response Characteristics of Buildings and Pile Foundations Under Blasting Vibration at the Adjacent Waterway. Eng. 2026; 7(3):140. https://doi.org/10.3390/eng7030140
Chicago/Turabian StyleYuan, Peng, Qingqing Liu, Yao Huang, Junyi Liu, Nan Jiang, and Shiwei Peng. 2026. "Response Characteristics of Buildings and Pile Foundations Under Blasting Vibration at the Adjacent Waterway" Eng 7, no. 3: 140. https://doi.org/10.3390/eng7030140
APA StyleYuan, P., Liu, Q., Huang, Y., Liu, J., Jiang, N., & Peng, S. (2026). Response Characteristics of Buildings and Pile Foundations Under Blasting Vibration at the Adjacent Waterway. Eng, 7(3), 140. https://doi.org/10.3390/eng7030140

