Sign in to use this feature.

Years

Between: -

Subjects

remove_circle_outline
remove_circle_outline

Journals

Article Types

Countries / Regions

Search Results (26)

Search Parameters:
Keywords = broadleaved Korean pine forest

Order results
Result details
Results per page
Select all
Export citation of selected articles as:
23 pages, 3927 KB  
Article
Effects of the Light-Felling Intensity on Hydrological Processes in a Korean Pine (Pinus koraiensis) Forest on Changbai Mountain in China
by Qian Liu, Zhenzhao Zhou, Xiaoyang Li, Xinhai Hao, Yaru Cui, Ziqi Sun, Haoyu Ma, Jiawei Lin and Changcheng Mu
Forests 2025, 16(7), 1050; https://doi.org/10.3390/f16071050 - 24 Jun 2025
Viewed by 551
Abstract
(1) Background: Understanding how forest management practices regulate hydrological cycles is critical for sustainable water resource management and addressing global water crises. However, the effects of light-felling (selective thinning) on hydrological processes in temperate mixed forests remain poorly understood. This study comprehensively evaluated [...] Read more.
(1) Background: Understanding how forest management practices regulate hydrological cycles is critical for sustainable water resource management and addressing global water crises. However, the effects of light-felling (selective thinning) on hydrological processes in temperate mixed forests remain poorly understood. This study comprehensively evaluated the impacts of light-felling intensity levels on three hydrological layers (canopy, litter, and soil) in mid-rotation Korean pine (Pinus koraiensis) forests managed under the “planting conifer and preserving broadleaved trees” (PCPBT) system on Changbai Mountain, China. (2) Methods: Hydrological processes—including canopy interception, throughfall, stemflow, litter interception, soil water absorption, runoff, and evapotranspiration—were measured across five light-felling intensity levels (control, low, medium, heavy, and clear-cutting) during the growing season. The stand structure and precipitation characteristics were analyzed to elucidate the driving mechanisms. (3) Results: (1) Low and heavy light-felling significantly increased the canopy interception by 18.9%~57.0% (p < 0.05), while medium-intensity light-felling reduced it by 20.6%. The throughfall was significantly decreased 10.7% at low intensity but increased 5.3% at medium intensity. The stemflow rates declined by 15.8%~42.7% across all treatments. (2) The litter interception was reduced by 22.1% under heavy-intensity light-felling (p < 0.05). (3) The soil runoff rates decreased by 56.3%, 16.1%, and 6.5% under the low, heavy, and clear-cutting intensity levels, respectively, although increased by 27.1% under medium-intensity activity (p < 0.05). (4) The monthly hydrological dynamics shifted from bimodal (control) to unimodal patterns under most treatments. (5) The canopy processes were primarily driven by precipitation, while litter interception was influenced by throughfall and tree diversity. The soil processes correlated strongly with throughfall. (4) Conclusions: Low and heavy light-felling led to enhanced canopy interception and reduced soil runoff and mitigated flood risks, whereas medium-intensity light-felling supports water supply during droughts by increasing the throughfall and runoff. These findings provide critical insights for balancing carbon sequestration and hydrological regulation in forest management. Full article
(This article belongs to the Section Forest Hydrology)
Show Figures

Figure 1

20 pages, 2591 KB  
Article
Influence of Canopy Environmental Characteristics on Regen-eration of Nine Tree Species in Broadleaved Korean Pine Forests
by Xin Du, Yelin Zhang, Huiwu Jiang and Xue Dong
Forests 2025, 16(5), 757; https://doi.org/10.3390/f16050757 - 29 Apr 2025
Cited by 1 | Viewed by 860
Abstract
This study aimed to investigate the impact of local canopy environmental characteristics on the regeneration of common tree species in the understory of broadleaved Korean pine forests, thus deepening the understanding of species coexistence and forest growth cycle mechanisms. This study focused on [...] Read more.
This study aimed to investigate the impact of local canopy environmental characteristics on the regeneration of common tree species in the understory of broadleaved Korean pine forests, thus deepening the understanding of species coexistence and forest growth cycle mechanisms. This study focused on nine tree species found in the Liangshui National Nature Reserve in Heilongjiang Province, China. We stratified trees by height and simulated the LAI distribution of each class using Voronoi polygons. These layers were overlaid to generate an integrated LAI spatial map. All these procedures were integrated into the self-developed R package Broadleaf.Korean.pine.LAI, which was used to calculate individual-level canopy environment indicators, including average local LAI, local LAI standard deviation, canopy percent, vertical distribution tendency degree, local coniferous LAI, and local broadleaf LAI. These indicators were then compared with the average values of uniformly distributed understory sampling points. A principal component analysis (PCA) was conducted to reduce the dimensionality of the local canopy environmental characteristics for both the uniformly distributed points and regeneration habitats of each tree species, resulting in comprehensive canopy environmental characteristics. Wilcoxon rank-sum tests were applied to assess the significance of differences between the regeneration habitats and the understory average, as well as between the regeneration habitats of seedlings and saplings within the same species. Cliff’s delta effect size was used to evaluate the impact of each environmental factor on the transition of regeneration from seedlings to saplings. The results showed that, based on both individual canopy environmental indicators and composite indices derived from principal component analysis, seedlings tended to regenerate in areas with higher canopy coverage, whereas saplings were more commonly established in relatively open habitats. Clear differences exist between the regeneration habitats of coniferous and broadleaf species, with coniferous species tending to regenerate in areas with higher local broadleaf LAIs compared with broadleaf species. The effect size analysis showed that canopy percent, vertical distribution tendency degree, average local LAI, and local coniferous LAI have greater impacts on the transition from seedlings to saplings, while the effect of local broadleaf LAI is relatively small. These findings suggest that strong shade tolerance allows species to establish seedling banks under canopy patches, while interspecific differences in growth response to microhabitats shape their roles in the forest growth cycle. Future research should explore the physiological responses and trait characteristics of tree regeneration under varying canopy patch environments. Long-term monitoring of regeneration processes—including invasion, growth, and mortality—across different canopy patches will help elucidate the mechanisms shaping understory spatial patterns. Full article
(This article belongs to the Section Forest Ecology and Management)
Show Figures

Figure 1

18 pages, 3352 KB  
Article
Latitudinal Gradients in Negative Density Dependence of Broad-Leaved Korean Pine Forests in Northeastern China
by Yue Liu, Yuxi Jiang, Chunjing Jiao, Wanju Feng, Bing Yang, Jun Wang, Lixue Yang, Yuchun Yang and Fang Wang
Forests 2025, 16(2), 377; https://doi.org/10.3390/f16020377 - 19 Feb 2025
Viewed by 1038
Abstract
Biodiversity maintenance mechanisms have been central to the study of community ecology, and the negative density dependence effect plays an important role in maintaining species diversity in forest communities. However, the strength and direction of the negative density dependence effect may change at [...] Read more.
Biodiversity maintenance mechanisms have been central to the study of community ecology, and the negative density dependence effect plays an important role in maintaining species diversity in forest communities. However, the strength and direction of the negative density dependence effect may change at different latitudinal gradients, and theory predicts that the negative density dependence effect increases with decreasing latitude. Using three provinces in northeastern China as the study target, we selected forest ecosystems in 15 locations according to the latitude gradient and analyzed the mixing of large- and small-diameter trees and adjacent tree species at different latitudinal gradients by the second-order characteristic function of mark mingling (The species mingling was used as “constructed marks” and we developed a second-order characteristic function of mark mingling useful for comparing spatial species mingling via random assignment of species patterns at specific ecological scales). It was found that the tree species mixed level of the large trees was higher, that of the small trees was lower in the stands at the middle and low latitudes (40, 41, and 43), and the tree species mixed level of the large or small trees was lower in the stands at high latitudes (45 and 46). Also, the level of mixing of large trees with surrounding tree species was significantly different among latitudes within the small scale (0–5 m). More importantly, the peak value of the difference in the second-order characteristic function of mark mingling (Δv(r)) of the stand increased gradually with decreasing latitude. The results indicated that the difference in tree species mixing degree between large and small trees was increasing, and this phenomenon was more obvious at the small scale (0–10 m). In general, we found that the negative density dependence effect in the late successional forest system showed a variation trend with latitude gradient, which showed that with the decrease in latitude, the negative density dependence effect in the stands was increasing. The results showed that in temperate forests, in low-latitude stands (40–43° N), there is significant peak in species mingling differences at small scales (0–10 m). Spatial heterogeneity thinning should be prioritized, and rare tree species should be replanted within a 10 m radius to alleviate intraspecific competition. In contrast, in high-latitude stands (45–46° N), human disturbance should be reduced to maintain the natural community structure. These measures can provide precise management strategies for regional biodiversity conservation. This study revealed the response of the intensity of the negative density dependence effect to changes in latitudinal gradients, and provides new ideas for maintaining and controlling regional species diversity. Full article
(This article belongs to the Section Forest Ecology and Management)
Show Figures

Figure 1

15 pages, 4791 KB  
Article
Freeze–Thaw Events Change Soil Greenhouse Gas Fluxes Through Modifying Soil Carbon and Nitrogen Cycling Processes in a Temperate Forest in Northeastern China
by Chuying Guo, Leiming Zhang, Shenggong Li and Yuxin Chen
Forests 2024, 15(12), 2082; https://doi.org/10.3390/f15122082 - 26 Nov 2024
Cited by 3 | Viewed by 1607
Abstract
Freeze–thaw events are predicted to be more frequent in temperate forest ecosystems. Whether and how freeze–thaw cycles change soil greenhouse gas fluxes remains elusive. Here, we compared the fluxes of three soil greenhouse gases (CO2, CH4, and N2 [...] Read more.
Freeze–thaw events are predicted to be more frequent in temperate forest ecosystems. Whether and how freeze–thaw cycles change soil greenhouse gas fluxes remains elusive. Here, we compared the fluxes of three soil greenhouse gases (CO2, CH4, and N2O) across the spring freeze–thaw (SFT) period, the growing season (GS), and the annual (ALL) period in a temperate broad-leaved Korean pine mixed forest in the Changbai Mountains in Jilin Province, Northeastern China from 2019 to 2020. To assess the mechanisms driving the temporal variation of soil fluxes, we measured eleven soil physicochemical factors, including temperature, volumetric water content, electrical conductivity, gravimetric water content, pH, total carbon, total nitrogen, total-carbon-to-total-nitrogen ratio, nitrate (NO3), ammonium (NH4+), and dissolved organic carbon, all of which play crucial roles in soil carbon (C) and nitrogen (N) cycling. Our findings indicate that the soil in this forest functioned as a source of CO2 and N2O and as a sink for CH4, with significant differences in greenhouse gas (GHG) fluxes among the SFT, GS, and ALL periods. Our results suggest freeze–thaw events significantly but distinctly impact soil C and N cycling processes compared to normal growing seasons in temperate forests. The soil N2O flux during the SFT (0.65 nmol m−2 s−1) was 4.6 times greater than during the GS (0.14 nmol m−2 s−1), likely due to the decreased NO3 concentrations that affect nitrification and denitrification processes throughout the ALL period, especially at a 5 cm depth. In contrast, soil CO2 and CH4 fluxes during the SFT (0.69 μmol m−2 s−1; −0.61 nmol m−2 s−1) were significantly lower than those during the GS (5.06 μmol m−2 s−1; −2.34 nmol m−2 s−1), which were positively influenced by soil temperature at both 5 cm and 10 cm depths. Soil CO2 fluxes increased with substrate availability, suggesting that the total nitrogen content at 10 cm depth and NH4+ concentration at both depths were significant positive factors. NO3 and NH4+ at both depths exhibited opposing effects on soil CH4 fluxes. Furthermore, the soil volumetric water content suppressed N2O emissions and CH4 oxidation, while the soil gravimetric water content, mainly at a 5 cm depth, was identified as a negative predictor of CO2 fluxes. The soil pH influenced CO2 and N2O emissions by regulating nutrient availability, particularly during the SFT period. These findings collectively contribute to a more comprehensive understanding of the factors driving GHG fluxes in temperate forest ecosystems and provide valuable insights for developing strategies to mitigate climate change impacts. Full article
(This article belongs to the Section Forest Meteorology and Climate Change)
Show Figures

Figure 1

19 pages, 2643 KB  
Article
The Responses of Soil Extracellular Enzyme Activities and Microbial Nutrients to the Interaction between Nitrogen and Phosphorus Additions and Apoplastic Litter in Broad-Leaved Korean Pine Forests in Northeast China
by Liming Chen, Lixin Chen, Meixuan Chen, Yafei Wang and Wenbiao Duan
Forests 2024, 15(10), 1764; https://doi.org/10.3390/f15101764 - 8 Oct 2024
Viewed by 2159
Abstract
The impact of nitrogen and phosphorus deposition alternations, as well as apoplastic litter quality and quantity, on soil nutrient cycling and soil carbon pool processes in forest ecosystems is of considerable importance. Soil ecological enzyme chemistry is a powerful tool for elucidating the [...] Read more.
The impact of nitrogen and phosphorus deposition alternations, as well as apoplastic litter quality and quantity, on soil nutrient cycling and soil carbon pool processes in forest ecosystems is of considerable importance. Soil ecological enzyme chemistry is a powerful tool for elucidating the nutrient limitations of microbial growth and metabolic processes. In order to explore the responding mechanisms of soil ecological enzyme chemistry to the simultaneous changes in apoplast input and nitrogen and phosphorus deposition in temperate coniferous and broad-leaved mixed forests, an outdoor simulating experiment was conducted. The results demonstrate that the treatments involving apoplastic material and nitrogen and phosphorus additions had significantly impacted soil nutrient levels across different forest types. Apoplastic treatments and N-P additions had a significant effect on the soil total organic carbon (TOC), dissolved organic carbon (DOC), soil total soluble nitrogen (TSN), soil available phosphorus (SAP), soil total nitrogen (TN), soil total phosphorus (TP), and microbial biomass carbon (MBC). However, the effects on soil microbial biomass (MBN) and microbial biomass phosphorus (MBP) were insignificant. The apomictic treatments with N and P addition did not result in a statistically significant change in soil C-hydrolase activities (β-1,4-glucosidase BG, β-1,4-xylosidase BX, cellobiohydrolase CBH, phenol oxidase POX, and peroxidase PER), N-hydrolase activities (β-1,4-N-acetylglucosaminidase NAG and L-leucine aminopeptidase LAP), or P-hydrolase activities (Acid phosphatase AP). Although the apomictic treatments did not yield a significant overall impact on carbon hydrolase activity, they influenced the activity of specific enzymes, such as CBH, LAP, and PER, to varying degrees. The effects on BG, BX, CBH, AP, and C-hydrolase activities were significant for different stand types. The impact of apomictic treatments and N-P additions on soil nitrogen hydrolase activities was inconsequential with a minimal interactive effect. The highest correlation between PER, LAP, and N-hydrolase activities was observed in conjunction with elevated levels of nitrogen and phosphorus addition (N3L0, original litter treatment, and high amounts of N and P addition). These findings may provide a theoretical foundation for the management of ecosystem function in broad-leaved Korean pine forests. Full article
(This article belongs to the Section Forest Soil)
Show Figures

Figure 1

17 pages, 8859 KB  
Article
The Effect of Elevation Gradient on Distribution and Body Size of Carabid Beetles in the Changbaishan Nature Reserve in Northeast Asia
by Shengdong Liu, Jiaqi Tong, Mingfeng Xu, Qingfan Meng, Ying Shi, Hongrui Zhao and Yan Li
Insects 2024, 15(9), 688; https://doi.org/10.3390/insects15090688 - 11 Sep 2024
Cited by 2 | Viewed by 2480
Abstract
The environment of mountain ecosystems can change greatly in short distances as elevation increases. The effects of elevation change on the distribution and body size of carabid beetles were investigated at elevations of 750–2600 m in the Changbaishan Nature Reserve (Northeast China). The [...] Read more.
The environment of mountain ecosystems can change greatly in short distances as elevation increases. The effects of elevation change on the distribution and body size of carabid beetles were investigated at elevations of 750–2600 m in the Changbaishan Nature Reserve (Northeast China). The richness and abundance of carabid species decreased significantly as elevation increased. However, the change trends are different in forests and tundra. In the broad-leaved Korean pine forest and coniferous forest at low elevations, carabid beetle species have high richness and abundance. The community composition of carabid beetles was significantly different at different elevations and among different vegetation types. Some species only occurred at specific elevations. There were fewer indicator species in high-elevation areas, but Carabus macleayi Dejean, Nebria pektusanica Horratovich and Pterostichus jaechi Kirschenhofer were mainly found in high-elevation areas. The average body size of species in the carabid beetle community was negatively correlated with elevation. The sizes of the larger Carabus canaliculatus Adams and Carabus venustus Morawitz were negatively correlated with elevation. Their body sizes decreased obviously in the tundra at elevations above 2000 m. Changes in vegetation types at high elevations affect the distribution and body sizes of beetles along the elevation gradient. Some large carabid species may be smaller at high elevations where a unique insect fauna has developed. The body size and distribution range of the carabid may be the factors that affect body size reduction at high elevation. Although some high-elevation species also occur in low-elevation areas, the protection of species diversity in high-elevation areas should be emphasized in the context of global climate change. The results illustrate the mechanisms of carabid beetles’ response to elevation change and the need for carabid beetles’ diversity conservation under global climate change. Full article
(This article belongs to the Section Insect Ecology, Diversity and Conservation)
Show Figures

Figure 1

13 pages, 2089 KB  
Article
The Application of Percolation Theory in Modeling the Vertical Distribution of Soil Organic Carbon in the Changbai Mountains
by Fang Yu and Chunnan Fan
Forests 2024, 15(7), 1155; https://doi.org/10.3390/f15071155 - 3 Jul 2024
Viewed by 1427
Abstract
A power-law formulation rooted in percolation theory has proven effective in depicting the vertical distribution of soil organic carbon (SOC) in temperate forest subsoils. While the model suggests the solute as the primary factor distributing SOC, this may not hold true in the [...] Read more.
A power-law formulation rooted in percolation theory has proven effective in depicting the vertical distribution of soil organic carbon (SOC) in temperate forest subsoils. While the model suggests the solute as the primary factor distributing SOC, this may not hold true in the surface soil in which roots contribute significantly to the SOC. This study in the Changbai Mountains Mixed Forests ecoregion (CMMF) evaluates the SOC profiles in three forests to assess the model’s efficacy throughout the soil column. Prediction of the SOC profile based on the regional average values was also assessed using field data. The observed scaling aligned well with predictions in mixed broadleaved and broadleaved Korean pine mixed forests, but disparities emerged in birch forest, possibly due to waterlogging. The predicted SOC levels correlate strongly with the field data and align well with the normalized average SOC levels. The findings suggest that the model remains applicable in the CMMF when considering root-derived carbon. However, the hindrance of solute transport may have a greater impact than roots do. The spatial heterogeneity of the SOC means that a single predicted SOC value at a specific depth may not fit all sites, but the overall agreement highlights the potential of the model for predicting the average or representative SOC profiles, which could further aid in regional-scale carbon stock estimation. Full article
(This article belongs to the Special Issue Forest Soil Carbon and Climate Change)
Show Figures

Figure 1

23 pages, 6536 KB  
Article
Passive Restoration Achieved through Natural Processes over 70 Years in the Korean DMZ
by Chi Hong Lim, Dong Uk Kim, Bong Soon Lim, Yong Chan Cho, Hyun Chul Shin and Chang Seok Lee
Forests 2024, 15(7), 1104; https://doi.org/10.3390/f15071104 - 26 Jun 2024
Viewed by 3430
Abstract
The Korean Demilitarized Zone (DMZ) is an area where human disturbance has been strictly restrained for about seven decades since 1953. As a result, compared with rural and urban areas in Korea with similar ecological conditions, the landscape structure of the Korean DMZ [...] Read more.
The Korean Demilitarized Zone (DMZ) is an area where human disturbance has been strictly restrained for about seven decades since 1953. As a result, compared with rural and urban areas in Korea with similar ecological conditions, the landscape structure of the Korean DMZ today shows a big difference in that it has a riparian forest and lacks any of the artificial landscape elements, such as agricultural and residential areas. The vegetation maps made in the 1950s and those made in recent years of a model site that extends throughout the DMZ, the Civilian Control Zone (CCZ), and adjacent rural areas show that successional changes in the DMZ and CCZ areas are remarkable, while changes in the rural areas are not clear. Rice fields have been replaced by riparian forests, whereas young forests in areas previously subjected to excessive use and pine forests have been replaced by broad-leaved forests. Among the three landscape elements that changed, it was found that riparian zones, where natural disturbance is usually frequent, could mitigate the impacts of human disturbance and restore the original features of nature sooner than any other elements. The results of analyses on landscape change that focused on rice fields before the Korean War also showed similar results: most of these fields had turned into riparian vegetation. Stand ordination of riparian vegetation investigated in the CCZ, rural areas, and urban areas showed clear differences in species composition and diversity among regions. In this study, we confirmed the passive restoration of the Korean DMZ and CCZ through natural regeneration processes as a result of restricted human disturbance over a period of about seven decades. Full article
(This article belongs to the Section Forest Soil)
Show Figures

Figure 1

17 pages, 3718 KB  
Article
Spatial Patterns and Associations of Tree Species in a Temperate Forest of National Forest Park, Huadian City, Jilin Province, Northeast China
by Longhui Lin, Xin Ren, Hideyuki Shimizu, Chenghuan Wang and Chunjing Zou
Forests 2024, 15(4), 714; https://doi.org/10.3390/f15040714 - 18 Apr 2024
Cited by 3 | Viewed by 2224
Abstract
Analyzing the spatial patterns and associations among tree species may help to elucidate the importance of the ecological processes behind population formation and the mechanisms of species coexistence. To explore this mechanism, we mapped and studied eight dominant tree species in Korean pine [...] Read more.
Analyzing the spatial patterns and associations among tree species may help to elucidate the importance of the ecological processes behind population formation and the mechanisms of species coexistence. To explore this mechanism, we mapped and studied eight dominant tree species in Korean pine broad-leaved mixed forests in a temperate forest region in Jilin Province, Northeast China. The spatial distribution patterns and spatial associations of the eight dominant tree species at different life history stages and spatial scales were analyzed using the second-order spatial point pattern method based on pair correlation functions. The results indicated the following: (1) The diameter class structure of all individuals in the plots showed an obvious “L” shape, indicating that the community was well regenerated and belonged to a growing stand. (2) The distribution of trees was affected by scale, size, and habitat heterogeneity. The degree of aggregation decreased as the diameter class increased. (3) Out of the 56 pairs of individuals, a small number showed a significant correlation, while most were negatively correlated. It is concluded that seed dispersal limitations, competitive ability, and topography and light requirements may influence the spatial distribution and association of species to maintain species coexistence and diversity in Korean pine broad-leaved mixed forests. The results can provide insights into the ecological processes of population assembly, the mechanisms of species coexistence, and the relationship between forest management and restoration. Full article
(This article belongs to the Section Forest Ecology and Management)
Show Figures

Figure 1

18 pages, 753 KB  
Article
Neighborhood Tree Position and Size Had Hierarchical Effects on Korean Pine Growth at Different Opening Degree Levels
by Xiao Ma, Cunxue Lin, Ye Luo, Haibo Wu, Peng Zhang and Hailong Shen
Forests 2024, 15(2), 228; https://doi.org/10.3390/f15020228 - 24 Jan 2024
Viewed by 1533
Abstract
Certain fluctuations were found when using the opening degree index to evaluate the effects of the adjacent broadleaved trees on the under-canopy target Korean pine (Pinus koraiensis Sieb. et Zucc.) trees in a mixed forest of planted Korean trees and natural broadleaved [...] Read more.
Certain fluctuations were found when using the opening degree index to evaluate the effects of the adjacent broadleaved trees on the under-canopy target Korean pine (Pinus koraiensis Sieb. et Zucc.) trees in a mixed forest of planted Korean trees and natural broadleaved trees. The fluctuations were probably caused by the different positions and sizes of the adjacent broadleaved trees over the target Korean pine trees. For the purpose of clarifying this issue, the effect of the position and size (marked by height and diameter) of the neighborhood broadleaved trees on the height and diameter growth of Korean pine trees under the canopy in a secondary forest at different opening degree levels was studied. Generally, the mean DBH (diameter at breast height) and mean height of P. koraiensis trees under the canopy were higher when the adjacent broadleaved trees were located on the north or east sides of the target P. koraiensis trees than when they were located on the south or west sides. This was the case at all opening degree levels except the 0.5 opening degree level, where no significant difference was observed among the growth indexes of Korean pine trees based on the different positions of neighborhood trees. The mean DBH and height of P. koraiensis trees under the canopy decreased with the increase in the DBH and height of the adjacent broadleaved trees at all orientations and at all opening degree levels, but only those of the Korean pine trees with adjacent broadleaved trees on the south side in the 12.6–13.5 m height range and those with adjacent broadleaved trees on most sides in the 18.6–21.0 cm and 13.6–14.5 m height ranges at opening degree levels of K = 2.0, 1.5, and 1.0 reached a significant level of difference; whereas those of most Korean pine trees with adjacent broadleaved trees on the south and west sides in the height range of 11.6–12.5 m and DBH ranges of 13.6–16 cm and 16.1–18.5 cm, as well as the ones with adjacent broadleaved trees on most sides in the DBH range of 18.6–21.0 cm and the height range of 13.6–14.5 m at the opening degree level of K = 0.5, reached a significant level of difference, with a few exceptions. In conclusion, the broadleaved trees with a large diameter, great height, and a south or west orientation of the target P. koraiensis trees had a negative impact on their growth, but influence intensities changed at different opening degree levels. Full article
(This article belongs to the Special Issue Silviculture and Management Strategy in Coniferous Forests)
14 pages, 1540 KB  
Article
Foraging Niche Differentiation of Five Woodpecker Species in the Primitive Broadleaved Korean Pine Forests of Northeast China
by Yuhui Si, Dehuai Meng, Han Zhong, Ziwei Zhu, Hongfei Zou and Ke Rong
Forests 2023, 14(11), 2166; https://doi.org/10.3390/f14112166 - 31 Oct 2023
Cited by 5 | Viewed by 2357
Abstract
Explaining the mechanism of the coexistence of sympatric species is an important goal of ecology. Five species of woodpeckers coexist in the broadleaved Korean pine forest of Liangshui National Nature Reserve, including the Black Woodpecker (Dryocopus martius), Great Spotted Woodpecker ( [...] Read more.
Explaining the mechanism of the coexistence of sympatric species is an important goal of ecology. Five species of woodpeckers coexist in the broadleaved Korean pine forest of Liangshui National Nature Reserve, including the Black Woodpecker (Dryocopus martius), Great Spotted Woodpecker (Dendrocopos major), Lesser Spotted Woodpecker (Dendrocopos minor), Three-toed Woodpecker (Picoides tridactylus), and White-backed Woodpecker (Dendrocopos leucotos). Woodpeckers are considered to be keystone species because of their role as ecosystem engineers, creating breeding and shelter sites for many vertebrate and invertebrate taxa. As woodpeckers are predominant in primary forests, they are sensitive to changes in forest ecosystems. To understand their coexistence mechanisms and propose conservation strategies, it is necessary to investigate their foraging niche differentiation. This study aimed to identify the foraging behavior parameters and foraging tree parameters of five woodpecker species in Liangshui Reserve from October to December. The foraging niches of five woodpecker species were observed, including the type of foraging techniques, foraging height, foraging site, foraging duration, tree species being foraged upon, diameter of the foraging tree at breast height, foraging tree height, and decay status of trees. Our results identified that there were significant differences in the overall foraging ecology of the five species of woodpecker at Liangshui Reserve. The Great Spotted Woodpecker and Lesser Spotted Woodpecker had more diverse foraging patterns and preferred to forage on live trees. The Black Woodpecker and Three-toed Woodpecker excavated and pecked at the trunks of decaying spruce and fir trees. The White-backed Woodpecker preferred to forage in broadleaved trees. The choice of foraging sites was complicated. The size of the foraging trees and decay status of trees were important bases for woodpeckers when choosing trees to forage from. Different woodpeckers achieve stable coexistence through the separation of their foraging niches. This information regarding foraging behavior and foraging tree characteristics provides a basis to study the coexistence patterns of woodpeckers. Our research into woodpecker foraging should be used to inform forest management practices, protect forest ecosystem diversities, and maintain woodpecker community diversity. Full article
(This article belongs to the Section Forest Biodiversity)
Show Figures

Figure 1

19 pages, 44174 KB  
Article
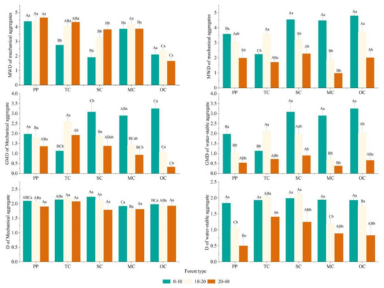
Response of Soil Aggregate Composition and Stability to Secondary Succession and Plantation of a Broad-Leaved Korean Pine Forest after Clear-Cutting and Its Causes
by Yafei Wang, Lixin Chen, Meixue Qu, Wenbiao Duan, Zhizhen Wang, Zhen Tian and Wen Yang
Forests 2023, 14(10), 2010; https://doi.org/10.3390/f14102010 - 7 Oct 2023
Cited by 2 | Viewed by 1813
Abstract
The composition and stability of soil aggregates are important characteristics for evaluating soil health. The objective of this study was to explore the effects of different restoration modes and secondary succession sequences of Korean pine on the stability of forest soil aggregates after [...] Read more.
The composition and stability of soil aggregates are important characteristics for evaluating soil health. The objective of this study was to explore the effects of different restoration modes and secondary succession sequences of Korean pine on the stability of forest soil aggregates after clear cutting and their causes. The stability and composition of soil aggregates in 0–10 cm, 10–20 cm, and 20–40 cm were analyzed in four natural forests in the secondary succession sequence and a Pinus koraiensis plantation in the clear-cutting area of Liangshui National Nature Reserve, and the effects of forest community characteristics and cementing materials on these aggregates were explored. With the advancement of succession, the large soil water-stable aggregates and mechanical aggregates increased, and the stability increased. From the pioneer community to the top community, the proportion of macroaggregates in the soil mechanical aggregates in the 20–40 cm soil layer increased by 36%, while that in the water-stable aggregates in the 10–20 cm soil layer increased by 19%. Compared with plantation, the stability of soil aggregates in natural forests with a similar age was stronger. Water-stable aggregates were negatively correlated with bulk density, density, and porosity, and positively correlated with organic-matter-related cement. The volume of the dominant tree, litter yield, tree species diversity, biomass of various tree species, and litter biomass in the undecomposed layer were the key indicators affecting the stability of aggregates. In terms of restoration measures, natural restoration is better than plantations with a single tree species. In addition, succession makes forest soil aggregates more stable. The change of dominant tree species leads to changes in soil aggregate stability, and the effect of organic-related cementing material was stronger than that of iron oxide. Full article
(This article belongs to the Section Forest Soil)
Show Figures

Figure 1

20 pages, 7181 KB  
Article
Spatial Distribution of Pinus koraiensis Trees and Community-Level Spatial Associations in Broad-Leaved Korean Pine Mixed Forests in Northeastern China
by Unil Pak, Qingxi Guo, Zhili Liu, Xugao Wang, Yankun Liu and Guangze Jin
Plants 2023, 12(16), 2906; https://doi.org/10.3390/plants12162906 - 9 Aug 2023
Cited by 2 | Viewed by 2794
Abstract
Investigating the spatial distributions and associations of tree populations provides better insights into the dynamics and processes that shape the forest community. Korean pine (Pinus koraiensis) is one of the most important tree species in broad-leaved Korean pine mixed forests (BKMFs), [...] Read more.
Investigating the spatial distributions and associations of tree populations provides better insights into the dynamics and processes that shape the forest community. Korean pine (Pinus koraiensis) is one of the most important tree species in broad-leaved Korean pine mixed forests (BKMFs), and little is known about the spatial point patterns of and associations between Korean pine and community-level woody species groups such as coniferous and deciduous trees in different developmental stages. This study investigated the spatial patterns of Korean pine (KP) trees and then analyzed how the spatial associations between KP trees and other tree species at the community level vary in different BKMFs. Extensive data collected from five relatively large sample plots, covering a substantial area within the natural distribution range of KP in northeastern China, were utilized. Uni- and bivariate pair correlation functions and mark correlation functions were applied to analyze spatial distribution patterns and spatial associations. The DBH (diameter at breast height) histogram of KP trees in northeastern China revealed that the regeneration process was very poor in the Changbai Mountain (CBS) plot, while the other four plots exhibited moderate or expanding population structures. KP trees were significantly aggregated at scales up to 10 m under the HPP null model, and the aggregation scales decreased with the increase in size classes. Positive or negative spatial associations were observed among different life stages of KP trees in different plots. The life history stages of the coniferous tree group showed positive spatial associations with KP saplings and juvenile trees at small scales, and spatial independence or negative correlations with larger KP trees at greater scales. All broad-leaved tree groups (canopy, middle, and understory layers) exhibited only slightly positive associations with KP trees at small scales, and dominant negative associations were observed at most scales. Our results demonstrate that mature KP trees have strong importance in the spatial patterns of KP populations, and site heterogeneity, limited seed dispersal, and interspecific competition characterize the spatial patterns of KP trees and community-level spatial associations with respect to KP trees, which can serve as a theoretical basis for the management and restoration of BKMFs in northeastern China. Full article
(This article belongs to the Collection Forest Environment and Ecology)
Show Figures

Figure 1

15 pages, 3261 KB  
Article
Forest Conversion Changes Soil Particulate Organic Carbon and Mineral-Associated Organic Carbon via Plant Inputs and Microbial Processes
by Fei Gao, Xiaoyang Cui, Mengdie Chen and Ying Sang
Forests 2023, 14(6), 1234; https://doi.org/10.3390/f14061234 - 14 Jun 2023
Cited by 5 | Viewed by 3907
Abstract
Primary forest conversion greatly influences soil organic carbon (SOC) sequestration. However, our understanding of how primary forest conversion affects SOC fractions and chemical component evenness remains limited. We examined how primary forest conversion (from primary mixed broadleaved Korean pine forest to secondary broadleaved [...] Read more.
Primary forest conversion greatly influences soil organic carbon (SOC) sequestration. However, our understanding of how primary forest conversion affects SOC fractions and chemical component evenness remains limited. We examined how primary forest conversion (from primary mixed broadleaved Korean pine forest to secondary broadleaved forest and coniferous plantation) affects free particulate OC (POC), aggregate-occluded POC, mineral-associated OC (MAOC), and their chemical component evenness via plant inputs (e.g., litter and fine roots) and microbial properties (e.g., microbial biomass and residue C) in Northeast China. Primary forest conversion led to a large increase in litter and fine root quality (lower C/N ratio), SOC, and MBC of secondary forests and a reduction in litter and fine root quantity and quality, SOC, MBC, and microbial residue C of plantations, which drove changes in POC and MAOC. As a result, after conversion to secondary forests, free POC decreased by 20.3% and aggregate-occluded POC increased by 57.2%. After conversion to plantations, free POC increased by 49.1%, while aggregate-occluded POC and MAOC decreased by 42.4% and 9.0%, respectively. Free POC was negatively correlated with fine root biomass. Aggregate-occluded POC and MAOC were positively correlated with litter and fine root quality, MBC, and microbial residue C. Meanwhile, forest conversion decreased the evenness of free and aggregate-occluded POC chemical components in secondary forests, with O-alky C being higher and aromatic C being lower, while MAOC was not affected by forest conversion. The evenness of free and aggregate-occluded POC chemical components was associated with litter and fine root quality, and that of MAOC was associated with MBC and microbial residue C. High-quality plant inputs benefit OC sequestration in soil aggregates and MAOM through microbial assimilation and residue accumulation after primary forest conversion. Future forest management should consider tree species with high-quality input as a possible compensation for climate change by sequestering more OC in soil aggregates. Full article
(This article belongs to the Section Forest Soil)
Show Figures

Figure 1

15 pages, 1758 KB  
Article
Do Tree Size and Tree Shade Tolerance Affect the Photosynthetic Capacity of Broad-Leaved Tree Species?
by Yuhan Song and Guangze Jin
Plants 2023, 12(3), 523; https://doi.org/10.3390/plants12030523 - 23 Jan 2023
Cited by 10 | Viewed by 4313
Abstract
(1) Background: leaf structure traits are closely related to leaf photosynthesis, reflecting the ability of trees to obtain external resources in the process of growth. (2) Methods: We studied the morphological, chemical, anatomical, stomatal traits and maximum net photosynthetic rate of six broad-leaf [...] Read more.
(1) Background: leaf structure traits are closely related to leaf photosynthesis, reflecting the ability of trees to obtain external resources in the process of growth. (2) Methods: We studied the morphological, chemical, anatomical, stomatal traits and maximum net photosynthetic rate of six broad-leaf species in northern temperate mixed broad-leaved Korean pine (Pinus koraiensis) forest. (3) Aim: To investigate whether there are differences in leaf structural traits of trees with different shade tolerances and different sizes and the effects of these differences on leaf photosynthetic capacity. (4) Results: the effects of leaf structure traits on leaf photosynthesis were different among trees with different shade tolerances or different sizes. Under the condition of light saturation, the net photosynthetic rate, nitrogen use efficiency, phosphorus use efficiency and stomatal conductance of shade-intolerant trees or small trees were higher than those of shade-tolerant trees or large trees. (5) Conclusions: the shade tolerance of tree species or the size of trees affect the traits of leaf structure and indirectly affect the photosynthetic ability of plants. When constructing the leaf trait–photosynthesis model, the shade tolerance and tree size of tree species should be taken into account. Full article
(This article belongs to the Special Issue Maintenance and Function of Biodiversity in Forests)
Show Figures

Figure 1

Back to TopTop