Response of Soil Aggregate Composition and Stability to Secondary Succession and Plantation of a Broad-Leaved Korean Pine Forest after Clear-Cutting and Its Causes
Abstract
:1. Introduction
2. Materials and Methods
2.1. Study Site Background and Sample Plot Setting
2.2. Community Status Analysis
2.3. Soil Sample Collection and Index Determination
2.3.1. Determination of Humus Components
2.3.2. Determination of Iron Oxide Components
2.4. Analysis of Soil Stability
2.5. Data Analysis
3. Results
3.1. Characteristics of Soil Aggregates
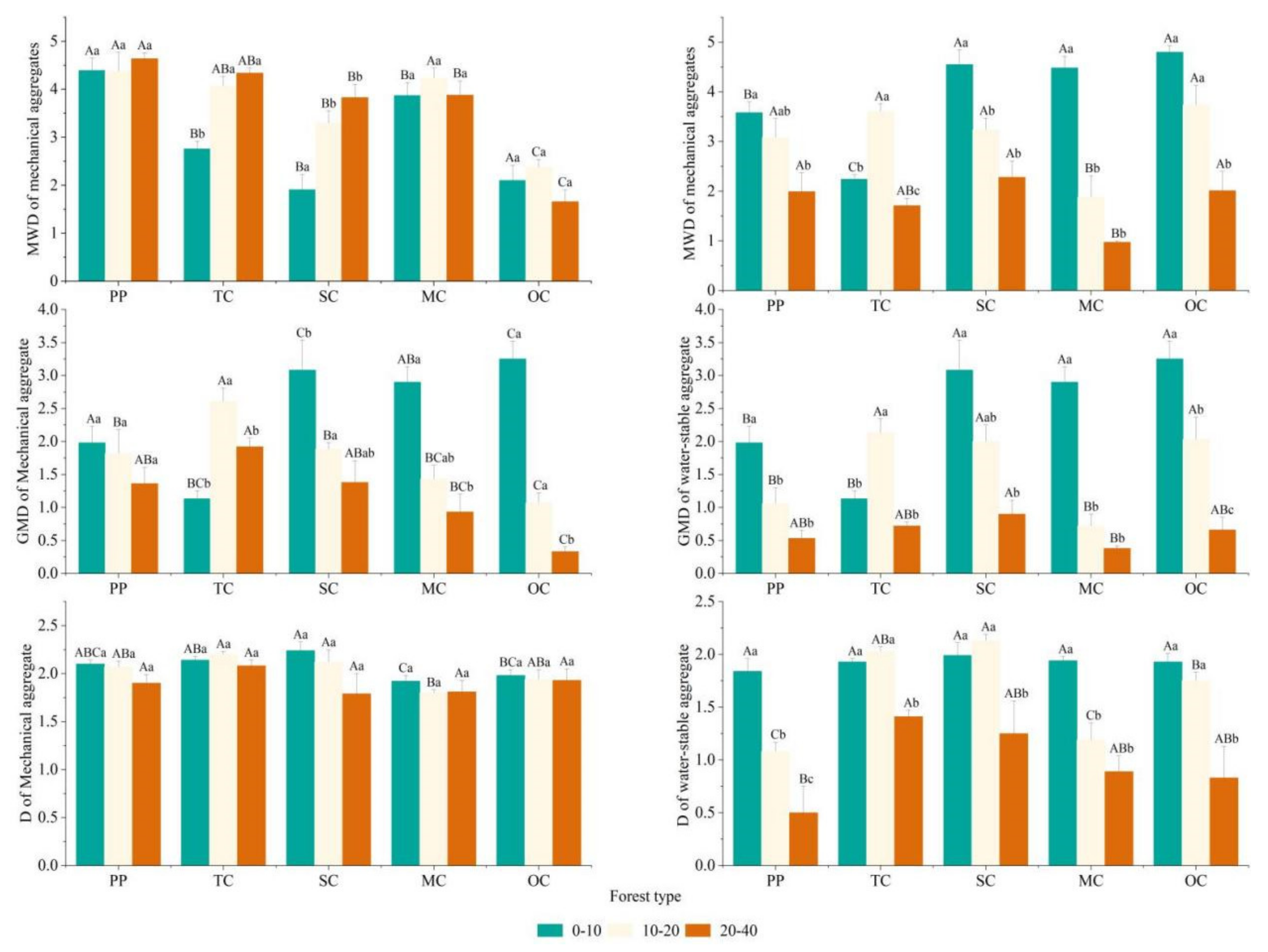
3.1.1. Composition Characteristics of Soil Aggregates
3.1.2. Stability Characteristics of Soil Aggregates
3.2. Effects of Soil Physical and Chemical Properties on the Stability of Soil Aggregates
3.2.1. Content of Cementing Materials in Soil Aggregates
3.2.2. Effects of Soil Physical Properties and Aggregate Cementing Materials on the Stability of Soil Aggregates
3.3. Effects of Community Characteristics on the Stability of Soil Aggregates
4. Discussion
4.1. Effects of Secondary Succession on Soil Aggregate Composition
4.2. Effects of Secondary Succession on the Stability of Soil Aggregates
4.3. Influence of Restoration Methods on the Stability of Soil Aggregate Composition
5. Conclusions
Author Contributions
Funding
Data Availability Statement
Conflicts of Interest
References
- Bell-Doyon, P.; Bellavance, V.; Bélanger, L.; Mazerolle, M.J.; Villarreal, A.J.C. Bacterial, fungal, and mycorrhizal communities in the soil differ between clearcuts and insect outbreaks in the boreal forest 50 years after disturbance. For. Ecol. Manag. 2022, 523, 120493. [Google Scholar] [CrossRef]
- Izbicki, B.J.; Alexander, H.D.; Paulson, A.K.; Frey, B.R.; Mcewan, R.W.; Berry, A.I. Prescribed fire and natural canopy gap disturbances: Impacts on upland oak regeneration. For. Ecol Manag. 2020, 465, 118107. [Google Scholar] [CrossRef]
- Ren, S.; Ali, A.; Liu, H.; Yuan, Z.; Yang, Q.; Shen, G.; Zhou, S.; Wang, X. Response of community diversity and productivity to canopy gap disturbance in subtropical forests. For. Ecol. Manag. 2021, 502, 119740. [Google Scholar] [CrossRef]
- Bertini, S.C.B.; Stromberger, M.; Azevedo, L.C.B.; Cardoso, E.J.B.N. Soil physicochemical and biological profiles as indicators for Araucaria forest disturbance levels. Appl. Soil Ecol. 2021, 158, 103794. [Google Scholar] [CrossRef]
- Lin, S.; Fan, C.; Zhang, C.; Zhao, X.; von Gadow, K. Anthropogenic disturbance mediates soil water effect on diversity-productivity relationships in a temperate forest region. For. Ecol. Manag. 2022, 525, 120544. [Google Scholar] [CrossRef]
- Napora, K.; Noe, G.; Ahn, C.; Fellows, M.Q.N. Urban stream restorations increase floodplain soil carbon and nutrient retention along a chronosequence. Ecol. Eng. 2023, 195, 107063. [Google Scholar] [CrossRef]
- Li, Y.; Liu, G.; Song, Z.; Zhang, B.; Sun, M.; Tian, X.; Yang, D.; Wang, Y.; Zhu, L.; Cao, Y. Organic matter enrichment due to high primary productivity in the deep-water shelf: Insights from the lower Cambrian Qiongzhusi shales of the central Sichuan Basin, SW China. J. Asian Earth Sci. 2022, 239, 105417. [Google Scholar] [CrossRef]
- Joseph Oyedele, D.; Schjønning, P.; Sibbesen, E.; Debosz, K. Aggregation and organic matter fractions of three Nigerian soils as affected by soil disturbance and incorporation of plant material. Soil Tillage Res. 1999, 50, 105–114. [Google Scholar] [CrossRef]
- Man, M.; Pierson, D.; Chiu, R.; Tabatabaei Anaraki, M.; Vandenenden, L.; Ye, R.; Lajtha, K.; Simpson, M.J. Twenty years of litter manipulation reveals that above-ground litter quantity and quality controls soil organic matter molecular composition. Biogeochemistry 2022, 159, 393–411. [Google Scholar] [CrossRef]
- von Haden, A.C.; Kucharik, C.J.; Jackson, R.D.; Marín-Spiotta, E. Litter quantity, litter chemistry, and soil texture control changes in soil organic carbon fractions under bioenergy cropping systems of the North Central, U.S. Biogeochemistry 2019, 143, 313–326. [Google Scholar] [CrossRef]
- Vaidya, B.P.; Hagmann, D.F.; Haramuniz, J.; Krumins, J.A.; Goodey, N.M. Artificial root exudates restore microbial functioning in a metal contaminated, barren, inactive soil. Environ. Pollut. 2022, 312, 120007. [Google Scholar] [CrossRef]
- Chotte, J. Importance of Microorganisms for Soil Aggregation. In Microorganisms in Soils: Roles in Genesis and Functions; Varma, A., Buscot, F., Eds.; Springer: Berlin/Heidelberg, Germany, 2005; pp. 107–119. [Google Scholar]
- Ma, R.; Hu, F.; Xu, C.; Liu, J.; Zhao, S. Response of soil aggregate stability and splash erosion to different breakdown mechanisms along natural vegetation restoration. Catena 2022, 208, 105775. [Google Scholar] [CrossRef]
- Liu, M.; Han, G.; Zhang, Q. Soil organic carbon sequestration following a secondary succession of agricultural abandonment in the karst region of southwest China. Environ. Earth Sci. 2022, 81, 467. [Google Scholar] [CrossRef]
- Menon, M.; Mawodza, T.; Rabbani, A.; Blaud, A.; Lair, G.J.; Babaei, M.; Kercheva, M.; Rousseva, S.; Banwart, S. Pore system characteristics of soil aggregates and their relevance to aggregate stability. Geoderma 2020, 366, 114259. [Google Scholar] [CrossRef]
- Tisdall, J.M.; Oades, J.M. Organic matter and water-stable aggregates in soils. J. Soil Sci. 1982, 33, 141–163. [Google Scholar] [CrossRef]
- Xiao, L.; Yao, K.; Li, P.; Liu, Y.; Chang, E.; Zhang, Y.; Zhu, T. Increased soil aggregate stability is strongly correlated with root and soil properties along a gradient of secondary succession on the Loess Plateau. Ecol. Eng. 2020, 143, 105671. [Google Scholar] [CrossRef]
- Zhou, W.; Sun, X.; Li, S.; Du, T.; Zheng, Y.; Fan, Z. Effects of organic mulching on soil aggregate stability and aggregate binding agents in an urban forest in Beijing, China. J. For. Res. 2022, 33, 1083–1094. [Google Scholar] [CrossRef]
- Yang, P.; Luo, Y.; Shi, Y. Fractal features of soils characterized by grain size weight distribution. Chin. Sci. Bull. 1993, 38, 1896–1899. [Google Scholar] [CrossRef]
- Shirazi, M.A.; Boersma, L. A Unifying Quantitative Analysis of Soil Texture. Soil Sci. Soc. Am. J. 1984, 48, 142–147. [Google Scholar] [CrossRef]
- Aksakal, E.L.; Angin, I.; Sari, S. A new approach for calculating aggregate stability: Mean weight aggregate stability (MWAS). Catena 2020, 194, 104708. [Google Scholar] [CrossRef]
- Turcotte, D.L. Fractals and fragmentation. J. Geophys. Res. Solid Earth 1986, 91, 1921–1926. [Google Scholar] [CrossRef]
- Kong, T.; Liu, B.; Henderson, M.; Zhou, W.; Su, Y.; Wang, S.; Wang, L.; Wang, G. Effects of shelterbelt transformation on soil aggregates characterization and erodibility in China black soil farmland. Agriculture 2022, 12, 1917. [Google Scholar] [CrossRef]
- Ran, Y.; Wu, S.; Zhu, K.; Li, W.; Liu, Z.; Huang, P. Soil types differentiated their responses of aggregate stability to hydrological stresses at the riparian zones of the Three Gorges Reservoir. J. Soils Sediments 2020, 20, 951–962. [Google Scholar] [CrossRef]
- Dou, Y.; Yang, Y.; An, S.; Zhu, Z. Effects of different vegetation restoration measures on soil aggregate stability and erodibility on the Loess Plateau, China. Catena 2020, 185, 104294. [Google Scholar] [CrossRef]
- Xiao, L.; Yao, K.; Li, P.; Liu, Y.; Zhang, Y. Effects of freeze-thaw cycles and initial soil moisture content on soil aggregate stability in natural grassland and Chinese pine forest on the Loess Plateau of China. J. Soil Sediments 2020, 20, 1222–1230. [Google Scholar] [CrossRef]
- Demenois, J.; Carriconde, F.; Rey, F.; Stokes, A. Tropical plant communities modify soil aggregate stability along a successional vegetation gradient on a Ferralsol. Ecol. Eng. 2017, 109, 161–168. [Google Scholar] [CrossRef]
- Yu, D.; Zhou, L.; Zhou, W.; Ding, H.; Wang, Q.; Wang, Y.; Wu, X.; Dai, L. Forest Management in Northeast China: History, Problems, and Challenges. Environ. Manag. 2011, 48, 1122–1135. [Google Scholar] [CrossRef] [PubMed]
- Fang, J.; Wang, G.G.; Liu, G.; Xu, S. Forest biomass of china: An estimate based on the biomass–volume relationship. Ecol. Appl. 1998, 8, 1084–1091. [Google Scholar] [CrossRef]
- Qianwen, G.; Arif, M.; Zhongxun, Y.; Jie, Z.; Xinrui, H.; Dongdong, D.; Fan, Y.; Changxiao, L. Plant species composition and diversity along successional gradients in arid and semi-arid regions of China. For. Ecol. Manag. 2022, 524, 120542. [Google Scholar] [CrossRef]
- Zhao, S.; Yu, F.; Zhai, C.; Zhong, R.; Zhao, Y.; Wang, Y.; Zhang, J.; Meng, Q. Long-term effects of cattle manure application on the soil aggregate stability of salt-affected soil on the Songnen Plain of North-Eastern China. J. Soil Sediments 2023, 23, 344–354. [Google Scholar] [CrossRef]
- Lin, Y.; Ye, G.; Kuzyakov, Y.; Liu, D.; Fan, J.; Ding, W. Long-term manure application increases soil organic matter and aggregation, and alters microbial community structure and keystone taxa. Soil Biol. Biochem. 2019, 134, 187–196. [Google Scholar] [CrossRef]
- Levi, E.M.; Archer, S.R.; Throop, H.L.; Rasmussen, C. Soil-litter mixing promotes decomposition and soil aggregate formation on contrasting geomorphic surfaces in a shrub-invaded Sonoran Desert grassland. Plant Soil 2020, 450, 397–415. [Google Scholar] [CrossRef]
- Yavitt, J.B.; Fahey, T.J.; Sherman, R.E.; Groffman, P.M. Lumbricid earthworm effects on incorporation of root and leaf litter into aggregates in a forest soil, New York State. Biogeochemistry 2015, 125, 261–273. [Google Scholar] [CrossRef]
- Xu, Y.; Gao, X.; Pei, J.; Sun, L.; Wang, J. Crop root vs. shoot incorporation drives microbial residue carbon accumulation in soil aggregate fractions. Biol. Fertil. Soils 2022, 58, 843–854. [Google Scholar] [CrossRef]
- Xue, Z.; Wen, Z.; Zhou, Z.; An, S. The distribution of soil microbial parameters based on aggregate fractions in successional grassland restoration ecosystems on the Loess Plateau. SN Appl. Sci. 2020, 2, 1468. [Google Scholar] [CrossRef]
- Erktan, A.; Cécillon, L.; Graf, F.; Roumet, C.; Legout, C.; Rey, F. Increase in soil aggregate stability along a Mediterranean successional gradient in severely eroded gully bed ecosystems: Combined effects of soil, root traits and plant community characteristics. Plant Soil 2016, 398, 121–137. [Google Scholar] [CrossRef]
- Garcia, L.; Damour, G.; Gary, C.; Follain, S.; Le Bissonnais, Y.; Metay, A. Trait-based approach for agroecology: Contribution of service crop root traits to explain soil aggregate stability in vineyards. Plant Soil 2019, 435, 1–14. [Google Scholar] [CrossRef]
- Ali, W.; Hussain, S.; Chen, J.; Hu, F.; Liu, J.; He, Y.; Yang, M. Cover crop root-derived organic carbon influences aggregate stability through soil internal forces in a clayey red soil. Geoderma 2023, 429, 116271. [Google Scholar] [CrossRef]
- Wachendorf, C.; Potthoff, M.; Ludwig, B.; Joergensen, R.G. Effects of addition of maize litter and earthworms on C mineralization and aggregate formation in single and mixed soils differing in soil organic carbon and clay content. Pedobiologia 2014, 57, 161–169. [Google Scholar] [CrossRef]
- Liu, K.; Xu, Y.; Feng, W.; Zhang, X.; Yao, S.; Zhang, B. Modeling the dynamics of protected and primed organic carbon in soil and aggregates under constant soil moisture following litter incorporation. Soil Biol. Biochem. 2020, 151, 108039. [Google Scholar] [CrossRef]
- Hu, N.; Lan, J. Impact of vegetation restoration on soil organic carbon stocks and aggregates in a karst rocky desertification area in Southwest China. J. Soil Sediments 2020, 20, 1264–1275. [Google Scholar] [CrossRef]
- Ma, R.; Hu, F.; Liu, J.; Zhao, S. Evaluating the effect of soil internal forces on the stability of natural soil aggregates during vegetation restoration. J. Soil Sediments 2021, 21, 3034–3043. [Google Scholar] [CrossRef]
- Xue, Z.; Zhou, Z.; An, S. Changes in the soil microbial communities of different soil aggregations after vegetation restoration in a semiarid grassland, China. Soil Ecol. Lett. 2021, 3, 6–21. [Google Scholar] [CrossRef]
- Sun, L.; He, L.; Wang, G.; Jing, H.; Liu, G. Natural vegetation restoration of Liaodong oak (Quercus liaotungensis Koidz.) forests rapidly increased the content and ratio of inert carbon in soil macroaggregates. J. Arid Land 2019, 11, 928–938. [Google Scholar] [CrossRef]
- Ji, W.; Huang, Y.; Shi, P.; Li, Z. Recharge mechanism of deep soil water and the response to land use change in the loess deposits. J. Hydrol. 2021, 592, 125817. [Google Scholar] [CrossRef]
- Tong, Y.; Wang, Y.; Song, Y.; Sun, H.; Xu, Y. Spatiotemporal variations in deep soil moisture and its response to land-use shifts in the Wind–Water Erosion Crisscross Region in the Critical Zone of the Loess Plateau (2011–2015), China. Catena 2020, 193, 104643. [Google Scholar] [CrossRef]
- Wang, B.; Gao, L.; Yu, W.; Wei, X.; Li, J.; Li, S.; Song, X.; Liang, G.; Cai, D.; Wu, X. Distribution of soil aggregates and organic carbon in deep soil under long-term conservation tillage with residual retention in dryland. J. Arid Land 2019, 11, 241–254. [Google Scholar] [CrossRef]
- Pérès, G.; Cluzeau, D.; Menasseri, S.; Soussana, J.F.; Bessler, H.; Engels, C.; Habekost, M.; Gleixner, G.; Weigelt, A.; Weisser, W.W.; et al. Mechanisms linking plant community properties to soil aggregate stability in an experimental grassland plant diversity gradient. Plant Soil 2013, 373, 285–299. [Google Scholar] [CrossRef]
- Hua, F.; Bruijnzeel, L.A.; Meli, P.; Martin, P.A.; Zhang, J.; Nakagawa, S.; Miao, X.; Wang, W.; Mcevoy, C.; Peña-Arancibia, J.L.; et al. The biodiversity and ecosystem service contributions and trade-offs of forest restoration approaches. Science 2022, 376, 839–844. [Google Scholar] [CrossRef]
- Lyu, M.; Xie, J.; Ukonmaanaho, L.; Jiang, M.; Li, Y.; Chen, Y.; Yang, Z.; Zhou, Y.; Lin, W.; Yang, Y. Land use change exerts a strong impact on deep soil C stabilization in subtropical forests. J. Soil Sediments 2017, 17, 2305–2317. [Google Scholar] [CrossRef]








| Forest Type | Slope Positions | Longitude | Latitude | Altitude | Slope Degree |
|---|---|---|---|---|---|
| PP | Upper | 47°10′31.738336″ N | 113°54′28.572476″ E | 430 m | 10° |
| Middle | 47°10′31.511359″ N | 113°54′28.192955″ E | 415 m | 10° | |
| Lower | 47°10′31.250620″ N | 113°54′26.103884″ E | 400 m | 14° | |
| TC | Upper | 47°10′23.615927″ N | 113°54′35.329703″ E | 476 m | 24° |
| Middle | 47°10′23.453121″ N | 113°54′34.190286″ E | 473 m | 23° | |
| Lower | 47°08′32.693833″ N | 113°52′06.256239″ E | 471 m | 24° | |
| SC | Upper | 47°08′35.485177″ N | 113°52′41.417581″ E | 373 m | 13° |
| Middle | 47°08′35.554057″ N | 113°52′15.598903″ E | 361 m | 12° | |
| Lower | 47°10′21.422000″ N | 113°54′45.685519″ E | 356 m | 13° | |
| MC | Upper | 47°10′23.977963″ N | 113°54′42.832089″ E | 535 m | 16° |
| Middle | 47°10′27.727074″ N | 113°54′33.660653″ E | 493 m | 15° | |
| Lower | 47°10′18.375036″ N | 113°54′41.654207″ E | 454 m | 16° | |
| OC | Upper | 47°10′19.668607″ N | 113°54′39.467591″ E | 520 m | 20° |
| Middle | 47°10′19.796133″ N | 113°54′36.903218″ E | 498 m | 13° | |
| Lower | 47°10′31.738336″ N | 113°54′28.572476″ E | 484 m | 15° |
| Forest Type | Abbreviation | Crown Density | Stand Age | Standardize |
|---|---|---|---|---|
| Natural maple birch secondary forest | OC | ≥0.8 | 39 years old | Contains a large number of Korean pine seedlings and maple birch distribution in the forest. |
| Secondary broad-leaved forest | MC | ≥0.8 | 69 years old | Korean pine reached subforest canopy, and maple birch is the predominant species. |
| Secondary conifer–broad-leaved mixed forest | SC | ≥0.8 | 125 years old | Korean pine reached the main forest canopy, with Korean pine and maple birch as the predominant tree species in the sample plots. |
| Original broad-leaved Korean pine forest | TC | ≥0.7 | 230 years old | Korean pine is the predominant tree species, with the canopy density being higher than 0.7, and no human or natural interference was found in this region throughout the forest’s history. |
| Korean pine plantation | PP | ≥0.8 | 61 years old | The secondary broad-leaved forest age was similar to that of the planted Korean pine plantation, and this region was selected for a comparative study. |
| Dependent Variable | Forest Type | Soil Layer | Forest Type * Soil Layer | |||
|---|---|---|---|---|---|---|
| F | Sig. | F | Sig. | F | Sig. | |
| MWD of mechanical aggregate | 42.23 | 0.001 | 11.63 | 0.000 | 4.54 | 0.001 |
| GMD of mechanical aggregate | 12.72 | 0.001 | 8.68 | 0.001 | 4.13 | 0.002 |
| D of mechanical aggregate | 4.16 | 0.009 | 4.52 | 0.019 | 0.97 | 0.479 |
| MWD of water-stable aggregate | 8.57 | 0.000 | 71.42 | 0.000 | 7.40 | 0.000 |
| GMD of water-stable aggregate | 8.35 | 0.000 | 76.42 | 0.000 | 7.39 | 0.000 |
| D of water-stable aggregate | 10.39 | 0.000 | 50.18 | 0.000 | 2.53 | 0.031 |
| Forest Type | Soil | Extractable Humus C | Humic Acid C | Fulvic Acid C | Humin | Organic Carbon |
|---|---|---|---|---|---|---|
| Layer | g/kg | g/kg | g/kg | g/kg | g/kg | |
| PP | 0–10 | 15.57 ± 2.21 Aa | 1.78 ± 0.40 Ba | 13.79 ± 2.35 Aa | 43.44 ± 6.58 BCa | 59.02 ± 8.76 Ba |
| 10~20 | 9.24 ± 1.14 Ab | 1.59 ± 0.29 Aa | 7.65 ± 0.85 Ab | 18.68 ± 2.64 Ab | 27.92 ± 3.77 Ab | |
| 20–40 | 6.11 ± 0.34 Bb | 1.85 ± 0.75 Aa | 4.26 ± 0.81 Bb | 9.19 ± 2.04 Ab | 15.29 ± 2.38 Bb | |
| TC | 0–10 | 18.07 ± 3.08 Aa | 4.8 ± 1.29 ABa | 13.28 ± 3.64 Aa | 79.62 ± 10.15 Aa | 97.69 ± 12.15 Aa |
| 10~20 | 9.15 ± 1.32 Ab | 1.76 ± 0.67 Aa | 7.4 ± 0.70 Aab | 21.47 ± 4.02 Ab | 30.63 ± 5.33 Ab | |
| 20–40 | 6.06 ± 0.72 Bb | 2.59 ± 0.74 Aa | 3.48 ± 0.31 Bb | 10.98 ± 2.07 Ab | 17.04 ± 2.77 Abb | |
| SC | 0–10 | 18.09 ± 3.69 Aa | 4.73 ± 1.04 ABa | 13.36 ± 3.26 Aa | 63 ± 9.57 ABCa | 81.09 ± 12.38 Aba |
| 10~20 | 11.83 ± 2.22 Aa | 2.8 ± 0.56 Aa | 9.03 ± 1.66 Aa | 31.83 ± 2.51 Ab | 43.66 ± 4.37 Ab | |
| 20–40 | 15.42 ± 4.40 Aa | 3.3 ± 1.14 Aa | 12.12 ± 3.38 Aa | 9.32 ± 3.34 Ac | 24.74 ± 1.62 Ab | |
| MC | 0–10 | 21.26 ± 2.86 Aa | 3.75 ± 1.40 ABa | 17.51 ± 3.41 Aa | 33.57 ± 1.59 Ca | 54.83 ± 3.57 Ba |
| 10~20 | 15.04 ± 3.44 Ab | 1.87 ± 0.89 Aa | 13.17 ± 3.75 Aa | 26.46 ± 8.00 Aa | 41.49 ± 5.59 Ab | |
| 20–40 | 7.69 ± 1.87 Bc | 0.82 ± 0.04 Aa | 6.88 ± 1.91 ABa | 7.57 ± 1.72 Ab | 15.26 ± 0.59 Bc | |
| OC | 0–10 | 17.53 ± 2.55 Aa | 5.85 ± 0.56 Aa | 11.68 ± 2.13 Aa | 71.29 ± 12.78 ABa | 88.83 ± 11.45 Aba |
| 10~20 | 10.60 ± 1.68 Ab | 2.64 ± 0.77 Ab | 7.97 ± 1.00 Aab | 25.4 ± 6.72 Ab | 36 ± 8.40 Ab | |
| 20–40 | 4.60 ± 1.34 Bb | 1.39 ± 0.56 Ab | 3.21 ± 1.27 Bb | 11.88 ± 2.84 Ab | 16.48 ± 3.69 Bb |
| Forest Type | Soil Layer | Fed | Feo | Fep |
|---|---|---|---|---|
| cm | g/kg | g/kg | g/kg | |
| PP | 0~10 | 49.92 ± 9.98 Aa | 15.85 ± 1.31 ABa | 9.39 ± 0.19 Ab |
| 10~20 | 54.21 ± 8.76 Aa | 15.69 ± 0.21 ABa | 16.61 ± 0.70 Aa | |
| 20~40 | 50.89 ± 4.93 Aa | 13.86 ± 2.05 Aa | 10.79 ± 0.16 Bb | |
| TC | 0~10 | 46.91 ± 0.86 Aa | 13.21 ± 0.12 Bb | 12.83 ± 0.32 Ab |
| 10~20 | 45.27 ± 0.61 Aa | 17.49 ± 0.68 ABa | 17.18 ± 2.09 Aab | |
| 20~40 | 46.6 ± 0.93 Aa | 16.87 ± 1.90 Aab | 20.07 ± 2.73 Aa | |
| SC | 0~10 | 45.85 ± 9.26 Aa | 19.21 ± 1.61 Aa | 14.61 ± 4.92 Aa |
| 10~20 | 50.49 ± 2.37 Aa | 18.64 ± 0.72 Aa | 15.44 ± 1.21 Aa | |
| 20~40 | 33.25 ± 13.55 Aa | 16.97 ± 1.51 Aa | 10.98 ± 2.36 Ba | |
| MC | 0~10 | 44.92 ± 0.65 Aa | 15.98 ± 1.19 ABa | 10.35 ± 1.52 Aa |
| 10~20 | 44.17 ± 15.17 Aa | 15.32 ± 2.34 ABa | 9.16 ± 0.48 Ba | |
| 20~40 | 42.40 ± 7.07 Aa | 13.79 ± 1.48 Aa | 13.46 ± 1.35 Ba | |
| OC | 0~10 | 42.04 ± 4.27 Aa | 13.13 ± 0.94 Ba | 11.32 ± 2.20 Aa |
| 10~20 | 51.27 ± 10.49 Aa | 14.41 ± 0.18 Ba | 1.30 ± 1.84 ABa | |
| 20~40 | 44.66 ± 0.64 Aa | 14.1 ± 1.35 Aa | 12.98 ± 1.89 Ba |
| Factor | Explains% | Pseudo-F | p |
|---|---|---|---|
| Litter yield | 23.4 | 4 | 0.014 |
| Tree diversity | 19.5 | 4.1 | 0.002 |
| Conifer–broadleaf radio | 14.5 | 3.7 | 0.010 |
| CFL | 9 | 5.3 | 0.018 |
| CFL carbon storage | 6.6 | 2 | 0.108 |
| Carbon storage of litter yield | 5.6 | 1.5 | 0.154 |
| SFL | 4.9 | 1.7 | 0.194 |
| SFL carbon storage | 4.4 | 1.4 | 0.125 |
| UFL carbon storage | 3.7 | 1 | 0.366 |
| Tree Biomass | 2.6 | 1.7 | 0.216 |
| UFL | 0.7 | 0.4 | 0.76 |
| Name | Explains % | Pseudo-F | p |
|---|---|---|---|
| Populus cathayana | 21.3 | 3.5 | 0.006 |
| Pinus koraiensis | 19.5 | 3.9 | 0.004 |
| Betula costata | 15 | 3.7 | 0.012 |
| Phellodendron amurense | 8.7 | 2.4 | 0.064 |
| Fraxinus mandshurica | 7.4 | 2.4 | 0.046 |
| Juglans mandshurica | 6.4 | 2.4 | 0.068 |
| Picea koraiensis | 4.3 | 1.7 | 0.176 |
| Betula platyphylla | 5.9 | 3.1 | 0.032 |
| Ulmus pumila | 4.8 | 3.6 | 0.024 |
| Acer ukurunduense | 2.7 | 2.8 | 0.068 |
| Syringa reticulata | 1.7 | 2.3 | 0.134 |
| Populus davidiana | 1.3 | 2.9 | 0.184 |
| Quercus mongolica | 0.5 | 1.4 | 0.284 |
| Acer pictum | 0.4 | <0.1 | 1 |
Disclaimer/Publisher’s Note: The statements, opinions and data contained in all publications are solely those of the individual author(s) and contributor(s) and not of MDPI and/or the editor(s). MDPI and/or the editor(s) disclaim responsibility for any injury to people or property resulting from any ideas, methods, instructions or products referred to in the content. |
© 2023 by the authors. Licensee MDPI, Basel, Switzerland. This article is an open access article distributed under the terms and conditions of the Creative Commons Attribution (CC BY) license (https://creativecommons.org/licenses/by/4.0/).
Share and Cite
Wang, Y.; Chen, L.; Qu, M.; Duan, W.; Wang, Z.; Tian, Z.; Yang, W. Response of Soil Aggregate Composition and Stability to Secondary Succession and Plantation of a Broad-Leaved Korean Pine Forest after Clear-Cutting and Its Causes. Forests 2023, 14, 2010. https://doi.org/10.3390/f14102010
Wang Y, Chen L, Qu M, Duan W, Wang Z, Tian Z, Yang W. Response of Soil Aggregate Composition and Stability to Secondary Succession and Plantation of a Broad-Leaved Korean Pine Forest after Clear-Cutting and Its Causes. Forests. 2023; 14(10):2010. https://doi.org/10.3390/f14102010
Chicago/Turabian StyleWang, Yafei, Lixin Chen, Meixue Qu, Wenbiao Duan, Zhizhen Wang, Zhen Tian, and Wen Yang. 2023. "Response of Soil Aggregate Composition and Stability to Secondary Succession and Plantation of a Broad-Leaved Korean Pine Forest after Clear-Cutting and Its Causes" Forests 14, no. 10: 2010. https://doi.org/10.3390/f14102010
APA StyleWang, Y., Chen, L., Qu, M., Duan, W., Wang, Z., Tian, Z., & Yang, W. (2023). Response of Soil Aggregate Composition and Stability to Secondary Succession and Plantation of a Broad-Leaved Korean Pine Forest after Clear-Cutting and Its Causes. Forests, 14(10), 2010. https://doi.org/10.3390/f14102010

