Sign in to use this feature.

Years

Between: -

Subjects

remove_circle_outline
remove_circle_outline
remove_circle_outline
remove_circle_outline
remove_circle_outline
remove_circle_outline
remove_circle_outline
remove_circle_outline
remove_circle_outline

Journals

remove_circle_outline
remove_circle_outline
remove_circle_outline
remove_circle_outline
remove_circle_outline
remove_circle_outline
remove_circle_outline
remove_circle_outline
remove_circle_outline
remove_circle_outline
remove_circle_outline
remove_circle_outline
remove_circle_outline
remove_circle_outline
remove_circle_outline
remove_circle_outline
remove_circle_outline
remove_circle_outline
remove_circle_outline
remove_circle_outline

Article Types

Countries / Regions

remove_circle_outline
remove_circle_outline
remove_circle_outline
remove_circle_outline
remove_circle_outline
remove_circle_outline

Search Results (3,283)

Search Parameters:
Keywords = boundary point

Order results
Result details
Results per page
Select all
Export citation of selected articles as:
27 pages, 9984 KB  
Article
Parameter Effects on Dynamic Characteristics Analysis of Multi-Layer Foil Thrust Bearing
by Yulong Jiang, Qianjing Zhu, Zhongwen Huang and Dongyan Gao
Lubricants 2025, 13(11), 472; https://doi.org/10.3390/lubricants13110472 (registering DOI) - 24 Oct 2025
Abstract
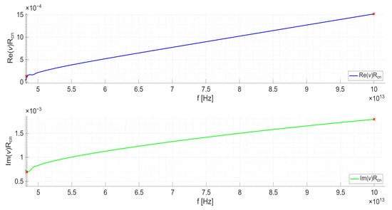
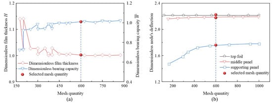
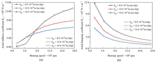
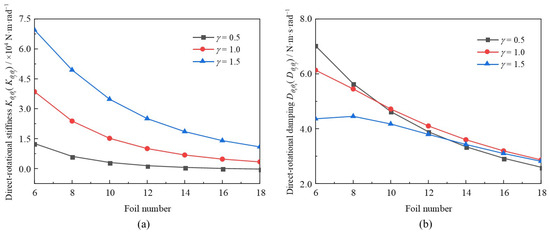
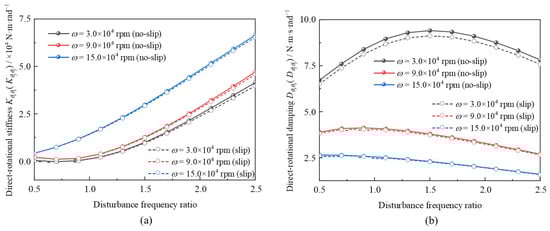
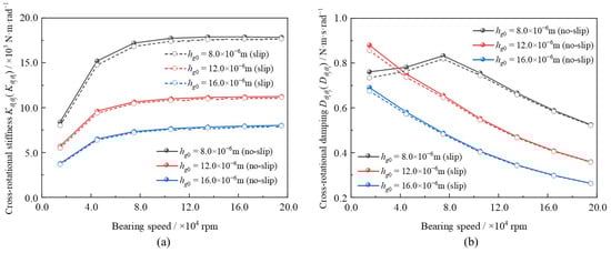
The paper studies the dynamic characteristics of a multi-layer foil thrust bearing (MLFTB). A modified efficient dynamic characteristic model is established, and the revised Reynolds equation coupled with the thick plate element and the boundary slip model is adopted. During the solving process, [...] Read more.
The paper studies the dynamic characteristics of a multi-layer foil thrust bearing (MLFTB). A modified efficient dynamic characteristic model is established, and the revised Reynolds equation coupled with the thick plate element and the boundary slip model is adopted. During the solving process, the small perturbation method is implemented. The elasto-hydrodynamic effect under geometric and operational parameters is investigated. It reflects that the dynamic characteristics can be visibly influenced by the slip effect when under tiny clearance with low bearing speed, and ought to be considered. Specifically, the maximum deviation of the axial and direct-rotational stiffness coefficients could be up to −4.93% and −5.02%, respectively. The direct-rotational stiffness is increased with the perturbation frequency; however, a turning point may exist in the cross-rotational stiffness. Additionally, both the rotational stiffness and rotational damping can be expanded at a smaller original clearance. It aims to provide prediction methods with high effectiveness and efficiency, and enrich theoretical guidance for the important MLFTB. Full article
Show Figures

Figure 1

19 pages, 558 KB  
Article
New Jacobi Galerkin Operational Matrices of Derivatives: A Highly Accurate Method for Solving Two-Point Fractional-Order Nonlinear Boundary Value Problems with Robin Boundary Conditions
by Hany Mostafa Ahmed
Fractal Fract. 2025, 9(11), 686; https://doi.org/10.3390/fractalfract9110686 (registering DOI) - 24 Oct 2025
Abstract
A novel numerical scheme is developed in this work to approximate solutions (APPSs) for nonlinear fractional differential equations (FDEs) governed by Robin boundary conditions (RBCs). The methodology is founded on a spectral collocation method (SCM) that uses a set of basis functions derived [...] Read more.
A novel numerical scheme is developed in this work to approximate solutions (APPSs) for nonlinear fractional differential equations (FDEs) governed by Robin boundary conditions (RBCs). The methodology is founded on a spectral collocation method (SCM) that uses a set of basis functions derived from generalized shifted Jacobi (GSJ) polynomials. These basis functions are uniquely formulated to satisfy the homogeneous form of RBCs (HRBCs). Key to this approach is the establishment of operational matrices (OMs) for ordinary derivatives (Ods) and fractional derivatives (Fds) of the constructed polynomials. The application of this framework effectively reduces the given FDE and its RBC to a system of nonlinear algebraic equations that are solvable by standard numerical routines. We provide theoretical assurances of the algorithm’s efficacy by establishing its convergence and conducting an error analysis. Finally, the efficacy of the proposed algorithm is demonstrated through three problems, with our APPSs compared against exact solutions (ExaSs) and existing results by other methods. The results confirm the high accuracy and efficiency of the scheme. Full article
(This article belongs to the Section Numerical and Computational Methods)
15 pages, 340 KB  
Article
Nonlinear Almost Relational Contractions via a Triplet of Test Functions and Applications to Second-Order Ordinary Differential Equations
by Doaa Filali and Faizan Ahmad Khan
Symmetry 2025, 17(11), 1798; https://doi.org/10.3390/sym17111798 (registering DOI) - 24 Oct 2025
Abstract
After the introduction of the relation-theoretic contraction principle, the branch of metric fixed-point theory has attracted much attention in this direction, and various fixed-point results have been proven in the framework of relational metric space via different approaches. The aim of this article [...] Read more.
After the introduction of the relation-theoretic contraction principle, the branch of metric fixed-point theory has attracted much attention in this direction, and various fixed-point results have been proven in the framework of relational metric space via different approaches. The aim of this article is to establish some fixed-point outcomes in the framework of relational metric space verifying a generalized nonlinear contraction utilizing three test functions Φ, Ψ and Θ satisfying the appropriate characteristics. The findings obtained herein expand, sharpen, improve, modify and unify a few well-known findings. To demonstrate the utility of our outcomes, several examples are furnished. We utilized our outcomes to investigate a unique solution of second-order ordinary differential equations prescribed with specific boundary conditions. Full article
31 pages, 5227 KB  
Article
Electrodynamics of Carbon Nanotubes with Non-Local Surface Conductivity
by Tomer Berghaus, Touvia Miloh, Oded Gottlieb and Gregory Ya. Slepyan
Appl. Sci. 2025, 15(21), 11398; https://doi.org/10.3390/app152111398 (registering DOI) - 24 Oct 2025
Abstract
A new framework that can be utilized for the electrodynamics of carbon nanotubes (CNTs) with non-local surface conductivity (spatial dispersion) is presented. The model of non-local conductivity is developed on the basis of the Kubo technique applied to the Dirac equation for pseudospins. [...] Read more.
A new framework that can be utilized for the electrodynamics of carbon nanotubes (CNTs) with non-local surface conductivity (spatial dispersion) is presented. The model of non-local conductivity is developed on the basis of the Kubo technique applied to the Dirac equation for pseudospins. As a result, the effective boundary conditions for the electromagnetic (EM) field on a CNT surface are formulated. The dispersion relation for the eigenmodes of an infinitely long CNT is obtained and analyzed. It is shown that due to nonlocality, a new type of eigenmode is created that disappears in the local conductivity limit. These eigenmodes should be properly accounted for in the correct formulation of the CNT end conditions for the surface current, which are manifested in the EM-field scattering problem. Additional boundary conditions that consider nonlocality effects are also formulated based on the exact solution obtained for the surface current by means of using the Wiener–Hopf (WH) technique for a semi-infinite CNT. The scattering pattern of the EM-field is simulated by a finite-length model of a CNT, using a numerically solved integral equation for the surface current density and its approximate analytical solution. Thus, the scattering field of a CNT, prevailing in a wide frequency range from THz to infrared light, is analytically solved and analyzed. Potential applications for the design of nanoantennas and other electronic devices, including pointing out some future directions, are also discussed. Full article
Show Figures

Figure 1

19 pages, 4246 KB  
Article
Development of a Machine Learning Interatomic Potential for Zirconium and Its Verification in Molecular Dynamics
by Yuxuan Wan, Xuan Zhang and Liang Zhang
Nanomaterials 2025, 15(21), 1611; https://doi.org/10.3390/nano15211611 - 22 Oct 2025
Abstract
Molecular dynamics (MD) can dynamically reveal the structural evolution and mechanical response of Zirconium (Zr) at the atomic scale under complex service conditions such as high temperature, stress, and irradiation. However, traditional empirical potentials are limited by their fixed function forms and parameters, [...] Read more.
Molecular dynamics (MD) can dynamically reveal the structural evolution and mechanical response of Zirconium (Zr) at the atomic scale under complex service conditions such as high temperature, stress, and irradiation. However, traditional empirical potentials are limited by their fixed function forms and parameters, making it difficult to accurately describe the multi-body interactions of Zr under conditions such as multi-phase structures and strong nonlinear deformation, thereby limiting the accuracy and generalization ability of simulation results. This paper combines high-throughput first-principles calculations (DFT) with the machine learning method to develop the Deep Potential (DP) for Zr. The developed DP of Zr was verified by performing molecular dynamic simulations on lattice constants, surface energies, grain boundary energies, melting point, elastic constants, and tensile responses. The results show that the DP model achieves high consistency with DFT in predicting multiple key physical properties, such as lattice constants and melting point. Also, it can accurately capture atomic migration, local structural evolution, and crystal structural transformations of Zr under thermal excitation. In addition, the DP model can accurately capture plastic deformation and stress softening behavior in Zr under large strains, reproducing the characteristics of yielding and structural rearrangement during tensile loading, as well as the stress-induced phase transition of Zr from HCP to FCC, demonstrating its strong physical fidelity and numerical stability. Full article
(This article belongs to the Section Theory and Simulation of Nanostructures)
Show Figures

Figure 1

23 pages, 1098 KB  
Article
Process Mining of Sensor Data for Predictive Process Monitoring: A HACCP-Guided Pasteurization Study Case
by Azin Moradbeikie, Ana Paula Ayub da Costa Barbon, Iuliana Malina Grigore, Douglas Fernandes Barbin and Sylvio Barbon Junior
Systems 2025, 13(11), 935; https://doi.org/10.3390/systems13110935 - 22 Oct 2025
Abstract
Industrial processes governed by food safety regulations, such as high-temperature short-time (HTST) pasteurization, rely on continuous sensor monitoring to ensure compliance with standards like Hazard Analysis and Critical Control Points (HACCP). However, extracting actionable process insights from raw sensor data remains a non-trivial [...] Read more.
Industrial processes governed by food safety regulations, such as high-temperature short-time (HTST) pasteurization, rely on continuous sensor monitoring to ensure compliance with standards like Hazard Analysis and Critical Control Points (HACCP). However, extracting actionable process insights from raw sensor data remains a non-trivial task, largely due to the continuous, multivariate, and often high-frequency characteristics of the signals, which can obscure clear activity boundaries and introduce significant variability in temporal patterns. This paper proposes a process mining framework to extract activity-based representations from multivariate sensor data in a pasteurization scenario. By modelling temperature, pH, conductivity, viscosity, turbidity, flow, and pressure signals, the approach segments continuous data into discrete operational phases and generates event logs aligned with domain semantics. Unsupervised learning techniques, including Hidden Markov Models (HMMs), are used to infer latent process stages, while domain knowledge guides their interpretation in accordance with critical control points (CCPs). The extracted models support conformance checking against HACCP-based procedures and enable predictive process-monitoring tasks such as next-activity prediction and remaining time estimation. Experimental results on synthetic (literature-grounded data) demonstrated the method’s ability to enhance safety, compliance, and operational efficiency. This study illustrates how integrating process mining with regulatory principles can bridge the gap between continuous sensor streams and structured process analysis in food manufacturing. Full article
(This article belongs to the Special Issue Data-Driven Analysis of Industrial Systems Using AI)
Show Figures

Figure 1

23 pages, 11949 KB  
Article
MDAS-YOLO: A Lightweight Adaptive Framework for Multi-Scale and Dense Pest Detection in Apple Orchards
by Bo Ma, Jiawei Xu, Ruofei Liu, Junlin Mu, Biye Li, Rongsen Xie, Shuangxi Liu, Xianliang Hu, Yongqiang Zheng, Hongjian Zhang and Jinxing Wang
Horticulturae 2025, 11(11), 1273; https://doi.org/10.3390/horticulturae11111273 - 22 Oct 2025
Abstract
Accurate monitoring of orchard pests is vital for green and efficient apple production. Yet images captured by intelligent pest-monitoring lamps often contain small targets, weak boundaries, and crowded scenes, which hamper detection accuracy. We present MDAS-YOLO, a lightweight detection framework tailored for smart [...] Read more.
Accurate monitoring of orchard pests is vital for green and efficient apple production. Yet images captured by intelligent pest-monitoring lamps often contain small targets, weak boundaries, and crowded scenes, which hamper detection accuracy. We present MDAS-YOLO, a lightweight detection framework tailored for smart pest monitoring in apple orchards. At the input stage, we adopt the LIME++ enhancement to mitigate low illumination and non-uniform lighting, improving image quality at the source. On the model side, we integrate three structural innovations: (1) a C3k2-MESA-DSM module in the backbone to explicitly strengthen contours and fine textures via multi-scale edge enhancement and dual-domain feature selection; (2) an AP-BiFPN in the neck to achieve adaptive cross-scale fusion through learnable weighting and differentiated pooling; and (3) a SimAM block before the detection head to perform zero-parameter, pixel-level saliency re-calibration, suppressing background redundancy without extra computation. On a self-built apple-orchard pest dataset, MDAS-YOLO attains 95.68% mAP, outperforming YOLOv11n by 6.97 percentage points while maintaining a superior trade-off among accuracy, model size, and inference speed. Overall, the proposed synergistic pipeline—input enhancement, early edge fidelity, mid-level adaptive fusion, and end-stage lightweight re-calibration—effectively addresses small-scale, weak-boundary, and densely distributed pests, providing a promising and regionally validated approach for intelligent pest monitoring and sustainable orchard management, and offering methodological insights for future multi-regional pest monitoring research. Full article
(This article belongs to the Section Insect Pest Management)
Show Figures

Figure 1

21 pages, 5247 KB  
Article
Machine Learning Synthesis of Fire-Following-Earthquake Fragility Surfaces for Steel Moment-Resisting Frames
by Mojtaba Harati and John W. van de Lindt
Infrastructures 2025, 10(11), 280; https://doi.org/10.3390/infrastructures10110280 - 22 Oct 2025
Abstract
This paper presents a probabilistic methodology for generating fragility surfaces for low- to mid-rise steel moment-resisting frames (MRFs) under fire-following-earthquake (FFE). The framework integrates nonlinear dynamic seismic analysis, residual deformation transfer, and temperature-dependent fire simulations within a Monte Carlo environment, while explicitly accounting [...] Read more.
This paper presents a probabilistic methodology for generating fragility surfaces for low- to mid-rise steel moment-resisting frames (MRFs) under fire-following-earthquake (FFE). The framework integrates nonlinear dynamic seismic analysis, residual deformation transfer, and temperature-dependent fire simulations within a Monte Carlo environment, while explicitly accounting for uncertainties in structural properties, ground motions, and fire simulation. A fiber-based modeling strategy is employed, combining temperature-sensitive steel materials with fatigue and fracture wrappers to capture cyclic deterioration and abrupt failure. This formulation yields earthquake-only and fire-only fragility curves along the surface boundaries, while interior points quantify the joint fragility response under sequential hazards. The methodology is benchmarked against a machine learning (ML) synthesis framework originally developed for earthquake–tsunami applications and extended here to FFE. Numerical results for a three-story steel MRF show excellent agreement (R2 > 0.95, RMSE < 0.02) between simulated and ML-generated surfaces, demonstrating both the efficiency and hazard-neutral adaptability of the ML framework for multi-hazard resilience assessment. Full article
Show Figures

Figure 1

29 pages, 6329 KB  
Article
Non-Contact Measurement of Sunflower Flowerhead Morphology Using Mobile-Boosted Lightweight Asymmetric (MBLA)-YOLO and Point Cloud Technology
by Qiang Wang, Xinyuan Wei, Kaixuan Li, Boxin Cao and Wuping Zhang
Agriculture 2025, 15(21), 2180; https://doi.org/10.3390/agriculture15212180 - 22 Oct 2025
Viewed by 67
Abstract
The diameter of the sunflower flower head and the thickness of its margins are important crop phenotypic parameters. Traditional, single-dimensional two-dimensional imaging methods often struggle to balance precision with computational efficiency. This paper addresses the limitations of the YOLOv11n-seg model in the instance [...] Read more.
The diameter of the sunflower flower head and the thickness of its margins are important crop phenotypic parameters. Traditional, single-dimensional two-dimensional imaging methods often struggle to balance precision with computational efficiency. This paper addresses the limitations of the YOLOv11n-seg model in the instance segmentation of floral disk fine structures by proposing the MBLA-YOLO instance segmentation model, achieving both lightweight efficiency and high accuracy. Building upon this foundation, a non-contact measurement method is proposed that combines an improved model with three-dimensional point cloud analysis to precisely extract key structural parameters of the flower head. First, image annotation is employed to eliminate interference from petals and sepals, whilst instance segmentation models are used to delineate the target region; The segmentation results for the disc surface (front) and edges (sides) are then mapped onto the three-dimensional point cloud space. Target regions are extracted, and following processing, separate models are constructed for the disc surface and edges. Finally, with regard to the differences between the surface and edge structures, targeted methods are employed for their respective calculations. Whilst maintaining lightweight characteristics, the proposed MBLA-YOLO model achieves simultaneous improvements in accuracy and efficiency compared to the baseline YOLOv11n-seg. The introduced CKMB backbone module enhances feature modelling capabilities for complex structural details, whilst the LADH detection head improves small object recognition and boundary segmentation accuracy. Specifically, the CKMB module integrates MBConv and channel attention to strengthen multi-scale feature extraction and representation, while the LADH module adopts a tri-branch design for classification, regression, and IoU prediction, structurally improving detection precision and boundary recognition. This research not only demonstrates superior accuracy and robustness but also significantly reduces computational overhead, thereby achieving an excellent balance between model efficiency and measurement precision. This method avoids the need for three-dimensional reconstruction of the entire plant and multi-view point cloud registration, thereby reducing data redundancy and computational resource expenditure. Full article
(This article belongs to the Section Artificial Intelligence and Digital Agriculture)
Show Figures

Figure 1

18 pages, 10539 KB  
Article
Coal Shearer Drum Detection in Underground Mines Based on DCS-YOLO
by Tao Hu, Jinbo Qiu, Libo Zheng, Zehai Yu and Cong Liu
Electronics 2025, 14(20), 4132; https://doi.org/10.3390/electronics14204132 - 21 Oct 2025
Viewed by 91
Abstract
To address the challenges of low illumination, heavy dust, and severe occlusion in fully mechanized mining faces, this paper proposes a shearer drum detection algorithm named DCS-YOLO. To enhance the model’s ability to effectively capture features under drum deformation and occlusion, a C3k2_DCNv4 [...] Read more.
To address the challenges of low illumination, heavy dust, and severe occlusion in fully mechanized mining faces, this paper proposes a shearer drum detection algorithm named DCS-YOLO. To enhance the model’s ability to effectively capture features under drum deformation and occlusion, a C3k2_DCNv4 module based on deformable convolution (DCNv4) is incorporated into the network. This module adaptively adjusts convolution sampling points according to the drum’s size and position, enabling efficient and precise multi-scale feature extraction. To overcome the limitations of conventional convolution in global feature modeling, a convolution and attention fusion module (CAFM) is constructed, which combines lightweight convolution with attention mechanisms to selectively reweight feature maps at different resolutions. Under low-light conditions, the Shape-IoU loss function is employed to achieve accurate regression of irregular drum boundaries while considering both positional and shape similarity. In addition, GSConv is adopted to achieve model lightweighting while maintaining efficient feature extraction capability. Experiments were conducted on a dataset built from shearer drum images collected in underground coal mines. The results demonstrate that, compared with YOLOv11n, the proposed method reduces Params and Flops by 7.7% and 4.6%, respectively, while improving precision, recall, mAP@0.5, and mAP@0.5:0.95 by 2.9%, 3.2%, 1.1%, and 3.3%, respectively. These findings highlight the significant advantages of the proposed approach in both model lightweighting and detection performance. Full article
(This article belongs to the Section Artificial Intelligence)
Show Figures

Figure 1

14 pages, 12665 KB  
Article
Gamut Boundary Distortion Arises from Quantization Errors in Color Conversion
by Jingxu Li, Xifeng Zheng, Deju Huang, Fengxia Liu, Junchang Chen, Yufeng Chen, Hui Cao and Yu Chen
Appl. Sci. 2025, 15(20), 11278; https://doi.org/10.3390/app152011278 - 21 Oct 2025
Viewed by 59
Abstract
This paper undertakes an in-depth exploration into the issue of quantization errors that occur during color gamut conversion within LED full-color display systems. To commence, a CIE-xyY colorimetric framework, which is customized to the unique characteristics of LED, is constructed. This framework serves [...] Read more.
This paper undertakes an in-depth exploration into the issue of quantization errors that occur during color gamut conversion within LED full-color display systems. To commence, a CIE-xyY colorimetric framework, which is customized to the unique characteristics of LED, is constructed. This framework serves as the bedrock for formulating the principles governing the operation of LED color gamuts. Subsequently, the conversions among diverse color spaces are scrutinized with great meticulousness. The core emphasis then shifts to dissecting how discrete control systems, in conjunction with quantization errors at low grayscale levels, precipitate the distortion of color gamut boundaries during the conversion process. The Laplacian operator is deployed to furnish a geometric comprehension of the distortion points, thereby delineating the topological discrepancies between the target and actual points. The quantitative analysis precisely delineates the correlation between quantization precision and the quantity of distortion points. The research endeavors to disclose the intricate relationships among quantization, color spaces, and colorimetric fidelity. This paper is conducive to the prospective calibration and rectification of LED display systems, furnishing a theoretical underpinning for the further enhancement of color reproduction in LED displays. Consequently, LED monitors can be rendered capable of satisfying the stringent accuracy requisites of advanced imaging and media. Full article
Show Figures

Figure 1

29 pages, 13306 KB  
Article
Building Outline Extraction via Topology-Aware Loop Parsing and Parallel Constraint from Airborne LiDAR
by Ke Liu, Hongchao Ma, Li Li, Shixin Huang, Liang Zhang, Xiaoli Liang and Zhan Cai
Remote Sens. 2025, 17(20), 3498; https://doi.org/10.3390/rs17203498 - 21 Oct 2025
Viewed by 195
Abstract
Building outlines are important vector data for various applications, but due to the uneven point density and complex building structures, extracting satisfactory building outlines from airborne light detection and ranging point cloud data poses significant challenges. Thus, a building outline extraction method based [...] Read more.
Building outlines are important vector data for various applications, but due to the uneven point density and complex building structures, extracting satisfactory building outlines from airborne light detection and ranging point cloud data poses significant challenges. Thus, a building outline extraction method based on topology-aware loop parsing and parallel constraint is proposed. First, constrained Delaunay triangulation (DT) is used to organize scattered projected building points, and initial boundary points and edges are extracted based on the constrained DT. Subsequently, accurate semantic boundary points are obtained by parsing the topology-aware loops searched from an undirected graph. Building dominant directions are estimated through angle normalization, merging, and perpendicular pairing. Finally, outlines are regularized using the parallel constraint-based method, which simultaneously considers the fitness between the dominant direction and boundary points, and the length of line segments. Experiments on five datasets, including three datasets provided by ISPRS and two datasets with high-density point clouds and complex building structures, verify that the proposed method can extract sequential and semantic boundary points, with over 97.88% correctness. Additionally, the regularized outlines are attractive, and most line segments are parallel or perpendicular. The RMSE, PoLiS, and RCC metrics are better than 0.94 m, 0.84 m, and 0.69 m, respectively. The extracted building outlines can be used for building three-dimensional (3D) reconstruction. Full article
Show Figures

Figure 1

24 pages, 3113 KB  
Article
What Is Environmental Biotechnology? Although Widely Applied, a Clear Definition of the Term Is Still Needed
by Sonia Heaven, Sigrid Kusch-Brandt, Louise Byfield, Angela Bywater, Frederic Coulon, Thomas Curtis, Tony Gutierrez, Adrian Higson and Jhuma Sadhukhan
Environments 2025, 12(10), 393; https://doi.org/10.3390/environments12100393 - 21 Oct 2025
Viewed by 237
Abstract
The term Environmental Biotechnology is widely used, but lacks a universally accepted definition, with varying interpretations across disciplines and sectors leading to challenges in funding, policy formulation, and interdisciplinary collaboration. Through a literature review and engagement activities, this study examines existing definitions, identifies [...] Read more.
The term Environmental Biotechnology is widely used, but lacks a universally accepted definition, with varying interpretations across disciplines and sectors leading to challenges in funding, policy formulation, and interdisciplinary collaboration. Through a literature review and engagement activities, this study examines existing definitions, identifies key areas of divergence, and explores pathways toward a more cohesive understanding. Findings reveal a spectrum of valid interpretations, often shaped by specific contexts, with researchers generally recognising a shared conceptual framework within their own subfields but encountering ambiguities across subject boundaries. Common points of difference include whether Environmental Biotechnology is restricted to microorganisms or encompasses other biological systems. Some understandings reflect sector-specific needs, contributing to fragmentation, though a broader approach could strengthen the field’s identity by providing a unifying framework, mapping overlaps with related fields such as Industrial Biotechnology. A working definition is proposed for Environmental Biotechnology as the use of biologically mediated systems for environmental protection and bioremediation, incorporating resource recovery and bioenergy production where these enhance system sustainability. Importantly, it was recognised that any definition must remain adaptable, reflecting the evolving nature of both the science and its applications. Full article
Show Figures

Figure 1

23 pages, 8417 KB  
Article
A Skewness-Based Density Metric and Deep Learning Framework for Point Cloud Analysis: Detection of Non-Uniform Regions and Boundary Extraction
by Cheng Li, Xianghong Hua, Wenbo Wang and Pengju Tian
Symmetry 2025, 17(10), 1770; https://doi.org/10.3390/sym17101770 - 20 Oct 2025
Viewed by 145
Abstract
This paper redefines point cloud density by utilizing statistical skewness derived from the geometric relationships between points and their local centroids. By comparing with a symmetric uniform reference model, this method can efficiently describe distribution patterns and detect non-uniform regions. Furthermore, a deep [...] Read more.
This paper redefines point cloud density by utilizing statistical skewness derived from the geometric relationships between points and their local centroids. By comparing with a symmetric uniform reference model, this method can efficiently describe distribution patterns and detect non-uniform regions. Furthermore, a deep learning model trained on these skewness features achieves 85.96% accuracy in automated boundary extraction, significantly reducing omission errors compared to conventional density-based methods. The proposed framework offers an effective solution for automated point cloud segmentation and modeling. Full article
(This article belongs to the Section Computer)
Show Figures

Figure 1

22 pages, 2804 KB  
Article
Research on an Adaptive Hole Layout Method for Bench Blasting Based on Voronoi Diagram
by Maolin He, Xiaojun Zhang, Xiaoshuai Li and Wenxue Gao
Appl. Sci. 2025, 15(20), 11182; https://doi.org/10.3390/app152011182 - 18 Oct 2025
Viewed by 127
Abstract
In open-pit bench blasting design, conventional hole placement methods are limited by their inability to handle irregular blast area boundaries effectively. To address this, an adaptive hole placement algorithm based on Voronoi diagrams is proposed. This algorithm uses Voronoi diagram principles to divide [...] Read more.
In open-pit bench blasting design, conventional hole placement methods are limited by their inability to handle irregular blast area boundaries effectively. To address this, an adaptive hole placement algorithm based on Voronoi diagrams is proposed. This algorithm uses Voronoi diagram principles to divide the blast area according to its boundary conditions. Using Lloyd’s algorithm achieves a uniform distribution of blast hole points within the blast zone, enabling the p3rediction of hole coordinates. The algorithm has been developed into a bench blasting design programme using MATLAB R2021a. The programme calculates the required number of blast holes based on coverage area per blast hole charge and blast area. It then completes the entire bench blasting design by incorporating parameters such as the blast area boundary. In practice, this method enables more scientific blast design, demonstrating excellent algorithm stability and computational efficiency. It is particularly adaptable when handling irregular blast area boundaries. Full article
Show Figures

Figure 1

Back to TopTop