Sign in to use this feature.

Years

Between: -

Subjects

remove_circle_outline
remove_circle_outline
remove_circle_outline
remove_circle_outline
remove_circle_outline
remove_circle_outline
remove_circle_outline
remove_circle_outline
remove_circle_outline

Journals

remove_circle_outline
remove_circle_outline
remove_circle_outline
remove_circle_outline
remove_circle_outline
remove_circle_outline
remove_circle_outline
remove_circle_outline
remove_circle_outline
remove_circle_outline
remove_circle_outline
remove_circle_outline
remove_circle_outline
remove_circle_outline
remove_circle_outline
remove_circle_outline
remove_circle_outline
remove_circle_outline

Article Types

Countries / Regions

remove_circle_outline
remove_circle_outline
remove_circle_outline
remove_circle_outline
remove_circle_outline
remove_circle_outline

Search Results (1,746)

Search Parameters:
Keywords = beam quality

Order results
Result details
Results per page
Select all
Export citation of selected articles as:
12 pages, 2454 KB  
Article
Meter-Scale Discharge Capillaries for Plasma-Based Accelerators
by Lucio Crincoli, Romain Demitra, Valerio Lollo, Donato Pellegrini, Massimo Ferrario and Angelo Biagioni
Appl. Sci. 2026, 16(7), 3291; https://doi.org/10.3390/app16073291 (registering DOI) - 28 Mar 2026
Abstract
Gas-filled discharge capillaries are widely used in the field of plasma-based particle accelerators, due to their compactness, cost-effectiveness and versatility for different applications. Technological improvement of such plasma sources is necessary to enable high energy gain acceleration at the meter scale, as required [...] Read more.
Gas-filled discharge capillaries are widely used in the field of plasma-based particle accelerators, due to their compactness, cost-effectiveness and versatility for different applications. Technological improvement of such plasma sources is necessary to enable high energy gain acceleration at the meter scale, as required for next-generation particle colliders and light sources. Beam quality preservation within such an acceleration length involves accurate tuning of the plasma properties. In particular, precise tailoring of the plasma density distribution is required to control the emittance growth of particle bunches during the acceleration process. In this context, this paper presents a scalable and versatile approach for the design of meter-scale discharge capillaries, aimed at achieving fine tuning of the plasma density distribution, with the possibility of locally controlling the density profile by acting on the source geometry. Forty-centimeter-long capillaries are designed using numerical fluid dynamics simulations and tested in a dedicated plasma module. Different arrangements of the gas inlets are tested, with their number and diameter varied, to assess the effect of the capillary geometry on the plasma properties. Plasma density measurements show that a higher number of inlets with variable diameter along the plasma formation channel provides an enhancement in the homogeneity of the electron plasma density distribution. Longitudinal density plateaus are observed along most of the plasma channel length, with a center-to-end density uniformity of up to 80%. The experimental results highlight the proposed approach’s capability to modulate the longitudinal plasma density distribution by acting on the capillary geometry, thus providing uniform density profiles over the meter scale, as required for plasma-based acceleration experiments. Full article
(This article belongs to the Special Issue New Challenges in Plasma Accelerators)
19 pages, 3679 KB  
Article
Guide to a Deterministic Control of Laser Materials Processing with Dynamic Beam Shaping
by Rudolf Weber, Thomas Graf, Kim Glumann, Christian Hagenlocher, Ami Spira, Nina Armon, Ehud Greenberg, Rachel Assa and Eyal Shekel
J. Manuf. Mater. Process. 2026, 10(4), 113; https://doi.org/10.3390/jmmp10040113 - 27 Mar 2026
Abstract
Dynamic beam shaping opens new possibilities for improving the quality and productivity of industrial laser material processing applications such as welding and cutting. However, dynamic beam shaping involves time constants and frequencies that must be selected correctly to successfully modify a given laser [...] Read more.
Dynamic beam shaping opens new possibilities for improving the quality and productivity of industrial laser material processing applications such as welding and cutting. However, dynamic beam shaping involves time constants and frequencies that must be selected correctly to successfully modify a given laser process. This paper proposes a standardized nomenclature for the possible types of dynamic beam shaping and the resulting dynamic process modifications, and relates these to characteristic time constants and frequencies at which the process modifications have a particularly strong influence on the process. These characteristic frequencies define three process regimes that have distinctly different effects on the process. An overview of typical time constants and frequencies in laser processes aids in understanding the occurrence of characteristic frequencies. Knowledge of the process regimes allows for a systematic selection of frequencies in dynamic beam shaping to achieve targeted dynamic process modifications, e.g., for pore reduction. Using a laser system capable of dynamic beam shaping at frequencies of up to 80 MHz, the influence of the three process zones on the porosity of the weld was demonstrated using deep welds in cast aluminum as an example. Full article
Show Figures

Figure 1

24 pages, 6552 KB  
Review
Ultrasonic Nondestructive Evaluation of Welded Steel Infrastructure: Techniques, Advances, and Applications
by Elsie Lappin, Bishal Silwal, Saman Hedjazi and Hossein Taheri
Appl. Sci. 2026, 16(7), 3206; https://doi.org/10.3390/app16073206 - 26 Mar 2026
Abstract
Welding is a critical joining process in civil and transportation infrastructure, enabling the fabrication of complex steel structural systems used in bridges, buildings, and other essential infrastructures. Despite strict adherence to established welding codes and standards, such as AWS D1.1 and AASHTO/AWS D1.5, [...] Read more.
Welding is a critical joining process in civil and transportation infrastructure, enabling the fabrication of complex steel structural systems used in bridges, buildings, and other essential infrastructures. Despite strict adherence to established welding codes and standards, such as AWS D1.1 and AASHTO/AWS D1.5, welding flaws and service-induced defects can occur in welded components. Cause of defects and their structural impact, along with detection, sizing, and localization of these anomalies and flaws, are crucial for adequate maintenance, repair, or replacement planning without compromising the functionality of in-service components. Among available NDT techniques, ultrasonic testing (UT) remains one of the most widely adopted methods of weld inspection due to its depth of penetration, sensitivity to internal defects, and suitability for field deployment. Recent advancements in ultrasonic technologies, particularly Phased Array Ultrasonic Testing (PAUT), along with its emerging approaches such as Full Matrix Capture (FMC) and the Total Focusing Method (TFM), have significantly enhanced inspection accuracy, repeatability, and interpretability. These techniques enable flexile beam steering, multi-angle interrogation, and improved imaging of complex geometries. This paper presents a comprehensive review of PAUT for the inspection of welded steel infrastructure adhering to the recommendations and requirements of the relevant codes and standards, synthesizing the current literature on PAUT principles, wave modes, probe configurations, and data acquisition strategies. Emphasis is placed on the practical implementation of PAUT in civil infrastructure inspection, its advantages over conventional NDT methods, and its potential to support informed decisions related to quality acceptance, repair, and long-term maintenance planning. This paper concludes by identifying current challenges and future research directions for advanced ultrasonic inspection of welded steel structures. Full article
(This article belongs to the Special Issue Application of Ultrasonic Non-Destructive Testing—Second Edition)
Show Figures

Figure 1

21 pages, 3469 KB  
Article
Three-Dimensional Imaging Based on Refractive Camera Model and Error Calibration for Risley-Prism Imaging System
by Wenjie Luo, Shumin Yang, Duanhao Huang, Feng Huang and Pengfei Wang
Sensors 2026, 26(7), 2013; https://doi.org/10.3390/s26072013 - 24 Mar 2026
Viewed by 162
Abstract
Three-dimensional (3D) reconstruction technology has found widespread applications across various domains, including intelligent driving and underwater exploration. But the existing imaging systems and methods still have deficiencies in terms of reconstruction accuracy, detection distance and system volume. Herein, this paper presents a three-dimensional [...] Read more.
Three-dimensional (3D) reconstruction technology has found widespread applications across various domains, including intelligent driving and underwater exploration. But the existing imaging systems and methods still have deficiencies in terms of reconstruction accuracy, detection distance and system volume. Herein, this paper presents a three-dimensional detection and reconstruction method based on a compact Risley-prism 3D imaging system that achieves multi-viewpoint imaging by rotating the Risley prism to adjust the camera’s optical axis. A refractive camera model that integrates the pinhole camera model with the vector form of Snell’s law is established to precisely describe beam trajectory. A forward projection method suitable for refractive interfaces is developed based on Fermat’s principle, and the influence of systematic errors on the reconstruction is analyzed in detail through simulation. Furthermore, a new 3D reconstruction method combining error calibration based on the optimization iteration is introduced to avoid the influence of error and improve reconstruction quality. Experimental results demonstrate that the proposed approach markedly enhances 3D reconstruction accuracy, reducing the Normalized Root Mean Square Error (NRMSE) from 0.9076 to 0.0207. Full article
(This article belongs to the Section Sensing and Imaging)
Show Figures

Figure 1

23 pages, 6469 KB  
Article
Integrated CFD Modeling of Combustion, Heat Transfer, and Oxide Scale Growth in Steel Slab Reheating
by Mario Ulises Calderón Rojas, Constantin Alberto Hernández Bocanegra, José Ángel Ramos Banderas, Nancy Margarita López Granados, Nicolás David Herrera Sandoval and Juan Carlos Hernández Bocanegra
Processes 2026, 14(6), 1011; https://doi.org/10.3390/pr14061011 - 21 Mar 2026
Viewed by 250
Abstract
In this study, a three-dimensional simulation of a walking-beam reheating furnace was developed to improve the steel slab reheating process and reduce surface oxidation kinetics using computational fluid dynamics (CFD). Combustion, heat transfer, fluid dynamics, and chemical reaction models were integrated into the [...] Read more.
In this study, a three-dimensional simulation of a walking-beam reheating furnace was developed to improve the steel slab reheating process and reduce surface oxidation kinetics using computational fluid dynamics (CFD). Combustion, heat transfer, fluid dynamics, and chemical reaction models were integrated into the numerical framework of this study. In addition, dynamic mesh remeshing was coupled through user-defined functions (UDFs), enabling the simultaneous simulation of slab movement and evolution of the involved transport phenomena. Turbulence was modeled with the realizable k-ε formulation, combustion with the Eddy Dissipation model, and radiation with the P-1 model coupled with WSGGM to include CO2 and H2O gas radiation. Scale formation was modeled using customized functions based on Arrhenius-type kinetics and Wagner’s oxidation model, evaluating its growth as a function of time, temperature, and furnace atmosphere. The predicted thermal evolution inside the furnace was validated using industrial data, yielding an average deviation of 5%. Furthermore, the proposed operating conditions led to an average slab temperature of 1289.77 °C at the exit of the homogenization zone, which was 16 °C higher than that under the current operation but still within the target range (1250 ± 50 °C). The reduction in combustion air decreased energy losses and improved product quality, lowering the molar oxygen content in the furnace atmosphere from 4.9 × 102 mol to 6.7 × 101 mol. Additionally, annual savings of 4,793,472 kg of natural gas and 13,884 tons of steel were estimated owing to reduced oxidation losses. The proposed air–fuel adjustment led to estimated annual energy savings (equivalent to 4,793,472 kg of natural gas) and a reduction in material loss due to oxidation from 4.5% to 3.75% (an absolute reduction of 0.75 percentage points; relative reduction ≈ 16.7%), which has a significant industrial impact on metal conservation and descaling cost reduction. Although there are CFD studies on plate overheating and scale growth separately, this work presents three main contributions: (1) the integration, within a single numerical framework, of combustion, radiation, species transport, oxidation kinetics, and actual plate movement using a dynamic mesh; (2) validation against continuous industrial records (16 thermocouples) and quantification of operational benefits such as fuel savings and reduced material loss; and (3) a comparative analysis between actual and optimized conditions, which standardize the air–methane ratio. Full article
Show Figures

Graphical abstract

8 pages, 2546 KB  
Communication
A 6 mJ, 4 ns Pulse Generation at 2.09 µm from a Diode-Pumped Ho:YAG Thin-Disk Laser
by Yuya Koshiba, Jiří Mužík, Martin Smrž, Matyáš Dvořák, Sabina Kudělková, Antonín Fajstavr and Tomáš Mocek
Photonics 2026, 13(3), 306; https://doi.org/10.3390/photonics13030306 - 21 Mar 2026
Viewed by 206
Abstract
A holmium-doped yttrium aluminum garnet (Ho:YAG) thin disk was experimentally investigated under Q-switching and cavity-dumping operation schemes, pumped by a 1.9 µm laser diode (LD). The laser generated pulses at 2090 nm with energies more than 6 mJ and pulse duration down to [...] Read more.
A holmium-doped yttrium aluminum garnet (Ho:YAG) thin disk was experimentally investigated under Q-switching and cavity-dumping operation schemes, pumped by a 1.9 µm laser diode (LD). The laser generated pulses at 2090 nm with energies more than 6 mJ and pulse duration down to 3.8 ns, corresponding to a peak power of 1.6 MW with near-diffraction-limited beam quality. The compact and robust system was used for laser-induced breakdown spectroscopy (LIBS) experiments, demonstrating its practical usability. These results represent, to the best of our knowledge, the first demonstration of a Ho:YAG thin-disk laser providing MW peak power in the nanosecond regime. Full article
(This article belongs to the Special Issue Laser Technology and Applications)
Show Figures

Figure 1

34 pages, 10156 KB  
Article
Seismic Performance of Precast Reinforced Concrete Beam–Column Connections with Embedded Steel Sections
by Banu Ardi Hidayat, Yanuar Haryanto, Hsuan-Teh Hu, Feng-Chien Su, Fu-Pei Hsiao, Laurencius Nugroho, Bobby Rio Indriyantho and Erich
Materials 2026, 19(6), 1233; https://doi.org/10.3390/ma19061233 - 20 Mar 2026
Viewed by 224
Abstract
Precast reinforced concrete (RC) structures offer advantages in terms of construction efficiency and quality control; however, their seismic performance is governed by the behavior of the beam–column connections. This study presents an experimental investigation of the cyclic response of precast RC beam–column joints [...] Read more.
Precast reinforced concrete (RC) structures offer advantages in terms of construction efficiency and quality control; however, their seismic performance is governed by the behavior of the beam–column connections. This study presents an experimental investigation of the cyclic response of precast RC beam–column joints that include a composite steel connection, designed to enhance strength, stiffness, and damage control in critical regions. A composite joint specimen was tested under displacement-controlled cyclic loading, and its behavior was compared with that of a corresponding pure RC connection. Experimental results showed that the composite configuration effectively prevented premature failure at the beam–column interface, relocated plastic hinges away from the joint core, and significantly improved the load-carrying capacity, stiffness, and energy dissipation. To interpret the experimental observations and examine the internal stress transfer and evolution of damage, a three-dimensional nonlinear finite-element model was developed. The simulations reproduced the observed modes of failure, shapes of deformation, hysteretic responses, and moment distribution trends, particularly in the post-yield and strain-hardening ranges. Although the pinching effects observed experimentally were not fully captured numerically, the overall levels of agreement in the ultimate strength and plastic hinge locations were satisfactory. The combined results indicate that composite steel-reinforced precast beam–column joints represent a promising solution for improving seismic performance. Full article
Show Figures

Figure 1

31 pages, 3578 KB  
Review
Measurement of Percentage Depth–Dose Distributions in Clinical Dosimetry: Conventional Techniques and Emerging Sensor Technologies
by Giada Petringa, Luigi Raffaele, Giacomo Cuttone, Mariacristina Guarrera, Alma Kurmanova, Roberto Catalano and Giuseppe Antonio Pablo Cirrone
Sensors 2026, 26(6), 1908; https://doi.org/10.3390/s26061908 - 18 Mar 2026
Viewed by 217
Abstract
Percentage depth–dose (PDD) distributions are fundamental to characterizing radiation beams in radiotherapy. This review provides an overview of both methods and sensor technologies for measuring PDD in photon, electron, proton, and carbon-ion beams. We summarize conventional dosimetry techniques, including water-phantom scanning with ionization [...] Read more.
Percentage depth–dose (PDD) distributions are fundamental to characterizing radiation beams in radiotherapy. This review provides an overview of both methods and sensor technologies for measuring PDD in photon, electron, proton, and carbon-ion beams. We summarize conventional dosimetry techniques, including water-phantom scanning with ionization chambers (cylindrical and parallel-plate) and radiochromic film, and discuss their strengths (established accuracy, calibration traceability) and limitations (volume averaging, delayed readout). We then examine emerging sensor technologies designed to improve spatial resolution, speed, and radiation hardness: multi-layer ionization chambers and Faraday cups for one-shot PDD acquisition; scintillator-based detectors (liquid, plastic, and fiber-optic) enabling real-time and high-resolution depth–dose measurements; advanced semiconductor detectors including silicon carbide diodes; as well as novel approaches such as ionoacoustic range sensing for proton beams. For each modality and detector type, we emphasize clinical relevance, measurement accuracy, spatial resolution, radiation durability, and suitability for high dose-per-pulse environments (e.g., FLASH radiotherapy). Current challenges, such as detector response in regions of steep dose gradient, saturation or recombination at ultra-high dose rates, and energy-dependent sensitivity in mixed radiation fields, are analyzed in detail. We also highlight the limitations of each technique and discuss ongoing improvements and prospects for clinical implementation. In summary, no single detector technology fully satisfies all requirements for fast, high-accuracy, high-resolution, radiation-hard PDD measurement, but the integration of emerging sensor innovations into clinical dosimetry promises to enhance the precision and efficiency of radiotherapy quality assurance. Full article
(This article belongs to the Special Issue Advanced Sensors for Human Health Management)
Show Figures

Figure 1

17 pages, 3166 KB  
Article
Multirod Side-Pumped Ce:Nd:YAG Architectures for Sustainable Solar Laser Power Generation
by Cláudia R. Vistas, Dawei Liang, Bruno D. Tibúrcio, Hugo Costa and Joana Almeida
Sustainability 2026, 18(6), 2972; https://doi.org/10.3390/su18062972 - 18 Mar 2026
Viewed by 199
Abstract
A detailed numerical optimization of side-pumped cerium- and neodymium-codoped yttrium aluminum garnet (Ce:Nd:YAG) solar laser architectures was performed using Zemax® and LASCADTM, aiming for both high-power multimode and TEM00-mode performances. Multiple rod configurations and laser resonator geometries were [...] Read more.
A detailed numerical optimization of side-pumped cerium- and neodymium-codoped yttrium aluminum garnet (Ce:Nd:YAG) solar laser architectures was performed using Zemax® and LASCADTM, aiming for both high-power multimode and TEM00-mode performances. Multiple rod configurations and laser resonator geometries were evaluated to maximize absorbed pump power, improve mode overlap, and ensure thermal stability. For multimode operation, the optimal design was a four-rod cross side-pumped configuration employing 4.0 mm diameter, 25 mm length rods, which numerically delivered a solar laser output power of 134 W (resulting in a collection efficiency of 49.1 W/m2 and solar-to-laser conversion efficiency of 4.91%), representing a 1.50-times improvement over the best previously reported value of 89.29 W. For TEM00-mode generation, the best performance was obtained with a three-rod horizontal side-pumped configuration using 2.5 mm diameter, 34 mm length rods, achieving a collection efficiency of 21.1 W/m2 and solar-to-laser conversion efficiency of 2.11%, surpassing the record 16.49 W/m2 reported in earlier literature. Thermal analyses revealed low peak temperatures, reduced thermally induced stress, and minimized refractive-index gradients in both architectures, confirming that multirod side pumping significantly improves the thermal environment and enables stable operation at high absorbed pump powers. These results demonstrate that carefully engineered multirod geometries can simultaneously enhance collection efficiency, beam quality, and thermal robustness, highlighting multirod side-pumped solar lasers as a promising pathway for further power scaling and next-generation high-performance solar laser systems. Full article
(This article belongs to the Special Issue Solar Energy Technology in Sustainable Development)
Show Figures

Figure 1

33 pages, 35113 KB  
Article
Operation of a Modular 3D-Pixelated Liquid Argon Time-Projection Chamber in a Neutrino Beam
by S. Abbaslu, A. Abed Abud, R. Acciarri, L. P. Accorsi, M. A. Acero, M. R. Adames, G. Adamov, M. Adamowski, C. Adriano, F. Akbar, F. Alemanno, N. S. Alex, K. Allison, M. Alrashed, A. Alton, R. Alvarez, T. Alves, A. Aman, H. Amar, P. Amedo, J. Anderson, D. A. Andrade, C. Andreopoulos, M. Andreotti, M. P. Andrews, F. Andrianala, S. Andringa, F. Anjarazafy, S. Ansarifard, D. Antic, M. Antoniassi, A. Aranda-Fernandez, L. Arellano, E. Arrieta Diaz, M. A. Arroyave, M. Arteropons, J. Asaadi, M. Ascencio, A. Ashkenazi, D. Asner, L. Asquith, E. Atkin, D. Auguste, A. Aurisano, V. Aushev, D. Autiero, D. Ávila Gómez, M. B. Azam, F. Azfar, A. Back, J. J. Back, Y. Bae, I. Bagaturia, L. Bagby, D. Baigarashev, S. Balasubramanian, A. Balboni, P. Baldi, W. Baldini, J. Baldonedo, B. Baller, B. Bambah, F. Barao, D. Barbu, G. Barenboim, P. B̃arham Alzás, G. J. Barker, W. Barkhouse, G. Barr, A. Barros, N. Barros, D. Barrow, J. L. Barrow, A. Basharina-Freshville, A. Bashyal, V. Basque, M. Bassani, D. Basu, C. Batchelor, L. Bathe-Peters, J. B. R. Battat, F. Battisti, J. Bautista, F. Bay, J. L. L. Bazo Alba, J. F. Beacom, E. Bechetoille, B. Behera, E. Belchior, B. Bell, G. Bell, L. Bellantoni, G. Bellettini, V. Bellini, O. Beltramello, A. Belyaev, C. Benitez Montiel, D. Benjamin, F. Bento Neves, J. Berger, S. Berkman, J. Bermudez, J. Bernal, P. Bernardini, A. Bersani, E. Bertholet, E. Bertolini, S. Bertolucci, M. Betancourt, A. Betancur Rodríguez, Y. Bezawada, A. T. Bezerra, A. Bhat, V. Bhatnagar, M. Bhattacharjee, S. Bhattacharjee, M. Bhattacharya, S. Bhuller, B. Bhuyan, S. Biagi, J. Bian, K. Biery, B. Bilki, M. Bishai, A. Blake, F. D. Blaszczyk, G. C. Blazey, E. Blucher, B. Bogart, J. Boissevain, S. Bolognesi, T. Bolton, L. Bomben, M. Bonesini, C. Bonilla-Diaz, A. Booth, F. Boran, R. Borges Merlo, N. Bostan, G. Botogoske, B. Bottino, R. Bouet, J. Boza, J. Bracinik, B. Brahma, D. Brailsford, F. Bramati, A. Branca, A. Brandt, J. Bremer, S. J. Brice, V. Brio, C. Brizzolari, C. Bromberg, J. Brooke, A. Bross, G. Brunetti, M. B. Brunetti, N. Buchanan, H. Budd, J. Buergi, A. Bundock, D. Burgardt, S. Butchart, G. Caceres V., R. Calabrese, R. Calabrese, J. Calcutt, L. Calivers, E. Calvo, A. Caminata, A. F. Camino, W. Campanelli, A. Campani, A. Campos Benitez, N. Canci, J. Capó, I. Caracas, D. Caratelli, D. Carber, J. M. Carceller, G. Carini, B. Carlus, M. F. Carneiro, P. Carniti, I. Caro Terrazas, H. Carranza, N. Carrara, L. Carroll, T. Carroll, A. Carter, E. Casarejos, D. Casazza, J. F. Castaño Forero, F. A. Castaño, C. Castromonte, E. Catano-Mur, C. Cattadori, F. Cavalier, F. Cavanna, S. Centro, G. Cerati, C. Cerna, A. Cervelli, A. Cervera Villanueva, J. Chakrani, M. Chalifour, A. Chappell, A. Chatterjee, B. Chauhan, C. Chavez Barajas, H. Chen, M. Chen, W. C. Chen, Y. Chen, Z. Chen, D. Cherdack, S. S. Chhibra, C. Chi, F. Chiapponi, R. Chirco, N. Chitirasreemadam, K. Cho, S. Choate, G. Choi, D. Chokheli, P. S. Chong, B. Chowdhury, D. Christian, M. Chung, E. Church, M. F. Cicala, M. Cicerchia, V. Cicero, R. Ciolini, P. Clarke, G. Cline, A. G. Cocco, J. A. B. Coelho, A. Cohen, J. Collazo, J. Collot, H. Combs, J. M. Conrad, L. Conti, T. Contreras, M. Convery, K. Conway, S. Copello, P. Cova, C. Cox, L. Cremonesi, J. I. Crespo-Anadón, M. Crisler, E. Cristaldo, J. Crnkovic, G. Crone, R. Cross, A. Cudd, C. Cuesta, Y. Cui, F. Curciarello, D. Cussans, J. Dai, O. Dalager, W. Dallaway, R. D’Amico, H. da Motta, Z. A. Dar, R. Darby, L. Da Silva Peres, Q. David, G. S. Davies, S. Davini, J. Dawson, R. De Aguiar, P. Debbins, M. P. Decowski, A. de Gouvêa, P. C. De Holanda, P. De Jong, P. Del Amo Sanchez, G. De Lauretis, A. Delbart, M. Delgado, A. Dell’Acqua, G. Delle Monache, N. Delmonte, P. De Lurgio, R. Demario, G. De Matteis, J. R. T. de Mello Neto, A. P. A. De Mendonca, D. M. DeMuth, S. Dennis, C. Densham, P. Denton, G. W. Deptuch, A. De Roeck, V. De Romeri, J. P. Detje, J. Devine, K. Dhanmeher, R. Dharmapalan, M. Dias, A. Diaz, J. S. Díaz, F. Díaz, F. Di Capua, A. Di Domenico, S. Di Domizio, S. Di Falco, L. Di Giulio, P. Ding, L. Di Noto, E. Diociaiuti, G. Di Sciascio, V. Di Silvestre, C. Distefano, R. Di Stefano, R. Diurba, M. Diwan, Z. Djurcic, S. Dolan, M. Dolce, M. J. Dolinski, D. Domenici, S. Dominguez, S. Donati, S. Doran, D. Douglas, T. A. Doyle, F. Drielsma, D. Duchesneau, K. Duffy, K. Dugas, P. Dunne, B. Dutta, D. A. Dwyer, A. S. Dyshkant, S. Dytman, M. Eads, A. Earle, S. Edayath, D. Edmunds, J. Eisch, W. Emark, P. Englezos, A. Ereditato, T. Erjavec, C. O. Escobar, J. J. Evans, E. Ewart, A. C. Ezeribe, K. Fahey, A. Falcone, M. Fani’, D. Faragher, C. Farnese, Y. Farzan, J. Felix, Y. Feng, M. Ferreira da Silva, G. Ferry, E. Fialova, L. Fields, P. Filip, A. Filkins, F. Filthaut, G. Fiorillo, M. Fiorini, S. Fogarty, W. Foreman, J. Fowler, J. Franc, K. Francis, D. Franco, J. Franklin, J. Freeman, J. Fried, A. Friedland, M. Fucci, S. Fuess, I. K. Furic, K. Furman, A. P. Furmanski, R. Gaba, A. Gabrielli, A. M Gago, F. Galizzi, H. Gallagher, M. Galli, N. Gallice, V. Galymov, E. Gamberini, T. Gamble, R. Gandhi, S. Ganguly, F. Gao, S. Gao, D. Garcia-Gamez, M. Á. García-Peris, S. Gardiner, A. Gartman, A. Gauch, P. Gauzzi, S. Gazzana, G. Ge, N. Geffroy, B. Gelli, S. Gent, L. Gerlach, A. Ghosh, T. Giammaria, D. Gibin, I. Gil-Botella, A. Gioiosa, S. Giovannella, A. K. Giri, V. Giusti, D. Gnani, O. Gogota, S. Gollapinni, K. Gollwitzer, R. A. Gomes, L. S. Gomez Fajardo, D. Gonzalez-Diaz, J. Gonzalez-Santome, M. C. Goodman, S. Goswami, C. Gotti, J. Goudeau, C. Grace, E. Gramellini, R. Gran, P. Granger, C. Grant, D. R. Gratieri, G. Grauso, P. Green, S. Greenberg, W. C. Griffith, K. Grzelak, L. Gu, W. Gu, V. Guarino, M. Guarise, R. Guenette, M. Guerzoni, D. Guffanti, A. Guglielmi, F. Y. Guo, A. Gupta, V. Gupta, G. Gurung, D. Gutierrez, P. Guzowski, M. M. Guzzo, S. Gwon, A. Habig, L. Haegel, R. Hafeji, L. Hagaman, A. Hahn, J. Hakenmüller, T. Hamernik, P. Hamilton, J. Hancock, M. Handley, F. Happacher, B. Harris, D. A. Harris, L. Harris, A. L. Hart, J. Hartnell, T. Hartnett, J. Harton, T. Hasegawa, C. M. Hasnip, R. Hatcher, S. Hawkins, J. Hays, M. He, A. Heavey, K. M. Heeger, A. Heindel, J. Heise, P. Hellmuth, L. Henderson, K. Herner, V. Hewes, A. Higuera, A. Himmel, E. Hinkle, L. R. Hirsch, J. Ho, J. Hoefken Zink, J. Hoff, A. Holin, T. Holvey, C. Hong, S. Horiuchi, G. A. Horton-Smith, R. Hosokawa, T. Houdy, B. Howard, R. Howell, I. Hristova, M. S. Hronek, H. Hua, J. Huang, R. G. Huang, X. Huang, Z. Hulcher, A. Hussain, G. Iles, N. Ilic, A. M. Iliescu, R. Illingworth, G. Ingratta, A. Ioannisian, M. Ismerio Oliveira, C. M. Jackson, V. Jain, E. James, W. Jang, B. Jargowsky, D. Jena, I. Jentz, C. Jiang, J. Jiang, A. Jipa, J. H. Jo, F. R. Joaquim, W. Johnson, C. Jollet, R. Jones, N. Jovancevic, M. Judah, C. K. Jung, K. Y. Jung, T. Junk, Y. Jwa, M. Kabirnezhad, A. C. Kaboth, I. Kadenko, O. Kalikulov, D. Kalra, M. Kandemir, S. Kar, G. Karagiorgi, G. Karaman, A. Karcher, Y. Karyotakis, S. P. Kasetti, L. Kashur, A. Kauther, N. Kazaryan, L. Ke, E. Kearns, P. T. Keener, K. J. Kelly, R. Keloth, E. Kemp, O. Kemularia, Y. Kermaidic, W. Ketchum, S. H. Kettell, N. Khan, A. Khvedelidze, D. Kim, J. Kim, M. J. Kim, S. Kim, B. King, M. King, M. Kirby, A. Kish, J. Klein, J. Kleykamp, A. Klustova, T. Kobilarcik, L. Koch, K. Koehler, L. W. Koerner, D. H. Koh, M. Kordosky, T. Kosc, V. A. Kostelecký, I. Kotler, W. Krah, R. Kralik, M. Kramer, F. Krennrich, T. Kroupova, S. Kubota, M. Kubu, V. A. Kudryavtsev, G. Kufatty, S. Kuhlmann, A. Kumar, J. Kumar, M. Kumar, P. Kumar, P. Kumar, S. Kumaran, J. Kunzmann, V. Kus, T. Kutter, J. Kvasnicka, T. Labree, M. Lachat, T. Lackey, I. Lalău, A. Lambert, B. J. Land, C. E. Lane, N. Lane, K. Lang, T. Langford, M. Langstaff, F. Lanni, J. Larkin, P. Lasorak, D. Last, A. Laundrie, G. Laurenti, E. Lavaut, H. Lay, I. Lazanu, R. LaZur, M. Lazzaroni, S. Leardini, J. Learned, T. LeCompte, G. Lehmann Miotto, R. Lehnert, M. Leitner, H. Lemoine, D. Leon Silverio, L. M. Lepin, J.-Y. Li, S. W. Li, Y. Li, R. Lima, C. S. Lin, D. Lindebaum, S. Linden, R. A. Lineros, A. Lister, B. R. Littlejohn, J. Liu, Y. Liu, S. Lockwitz, I. Lomidze, K. Long, J. Lopez, I. López de Rego, N. López-March, J. M. LoSecco, A. Lozano Sanchez, X.-G. Lu, K. B. Luk, X. Luo, E. Luppi, A. A. Machado, P. Machado, C. T. Macias, J. R. Macier, M. MacMahon, S. Magill, C. Magueur, K. Mahn, A. Maio, N. Majeed, A. Major, K. Majumdar, A. Malige, S. Mameli, M. Man, R. C. Mandujano, J. Maneira, S. Manly, K. Manolopoulos, M. Manrique Plata, S. Manthey Corchado, L. Manzanillas-Velez, E. Mao, M. Marchan, A. Marchionni, D. Marfatia, C. Mariani, J. Maricic, F. Marinho, A. D. Marino, T. Markiewicz, F. Das Chagas Marques, M. Marshak, C. M. Marshall, J. Marshall, L. Martina, J. Martín-Albo, D. A. Martinez Caicedo, M. Martinez-Casales, F. Martínez López, S. Martynenko, V. Mascagna, A. Mastbaum, M. Masud, F. Matichard, G. Matteucci, J. Matthews, C. Mauger, N. Mauri, K. Mavrokoridis, I. Mawby, F. Mayhew, T. McAskill, N. McConkey, B. McConnell, K. S. McFarland, C. McGivern, C. McGrew, A. McNab, C. McNulty, J. Mead, L. Meazza, V. C. N. Meddage, A. Medhi, M. Mehmood, B. Mehta, P. Mehta, F. Mei, P. Melas, L. Mellet, T. C. D. Melo, O. Mena, H. Mendez, D. P. Méndez, A. Menegolli, G. Meng, A. C. E. A. Mercuri, A. Meregaglia, M. D. Messier, S. Metallo, W. Metcalf, M. Mewes, H. Meyer, T. Miao, J. Micallef, A. Miccoli, G. Michna, R. Milincic, F. Miller, G. Miller, W. Miller, A. Minotti, L. Miralles Verge, C. Mironov, S. Miscetti, C. S. Mishra, P. Mishra, S. R. Mishra, D. Mladenov, I. Mocioiu, A. Mogan, R. Mohanta, T. A. Mohayai, N. Mokhov, J. Molina, L. Molina Bueno, E. Montagna, A. Montanari, C. Montanari, D. Montanari, D. Montanino, L. M. Montaño Zetina, M. Mooney, A. F. Moor, M. Moore, Z. Moore, D. Moreno, G. Moreno-Granados, O. Moreno-Palacios, L. Morescalchi, C. Morris, E. Motuk, C. A. Moura, G. Mouster, W. Mu, L. Mualem, J. Mueller, M. Muether, A. Muir, Y. Mukhamejanov, A. Mukhamejanova, M. Mulhearn, D. Munford, L. J. Munteanu, H. Muramatsu, J. Muraz, M. Murphy, T. Murphy, A. Mytilinaki, J. Nachtman, Y. Nagai, S. Nagu, D. Naples, S. Narita, J. Nava, A. Navrer-Agasson, N. Nayak, M. Nebot-Guinot, A. Nehm, J. K. Nelson, O. Neogi, J. Nesbit, M. Nessi, D. Newbold, M. Newcomer, D. Newmark, R. Nichol, F. Nicolas-Arnaldos, A. Nielsen, A. Nikolica, J. Nikolov, E. Niner, X. Ning, K. Nishimura, A. Norman, A. Norrick, P. Novella, A. Nowak, J. A. Nowak, M. Oberling, J. P. Ochoa-Ricoux, S. Oh, S. B. Oh, A. Olivier, T. Olson, Y. Onel, Y. Onishchuk, A. Oranday, M. Osbiston, J. A. Osorio Vélez, L. O’Sullivan, L. Otiniano Ormachea, L. Pagani, G. Palacio, O. Palamara, S. Palestini, J. M. Paley, M. Pallavicini, C. Palomares, S. Pan, M. Panareo, P. Panda, V. Pandey, W. Panduro Vazquez, E. Pantic, V. Paolone, A. Papadopoulou, R. Papaleo, D. Papoulias, S. Paramesvaran, J. Park, S. Parke, S. Parsa, S. Parveen, M. Parvu, D. Pasciuto, S. Pascoli, L. Pasqualini, J. Pasternak, G. Patel, J. L. Paton, C. Patrick, L. Patrizii, R. B. Patterson, T. Patzak, A. Paudel, J. Paul, L. Paulucci, Z. Pavlovic, G. Pawloski, D. Payne, A. Peake, V. Pec, E. Pedreschi, S. J. M. Peeters, W. Pellico, E. Pennacchio, A. Penzo, O. L. G. Peres, Y. F. Perez Gonzalez, L. Pérez-Molina, C. Pernas, J. Perry, D. Pershey, G. Pessina, G. Petrillo, C. Petta, R. Petti, M. Pfaff, V. Pia, G. M. Piacentino, L. Pickering, L. Pierini, F. Pietropaolo, V. L. Pimentel, G. Pinaroli, S. Pincha, J. Pinchault, K. Pitts, P. Plesniak, K. Pletcher, K. Plows, C. Pollack, T. Pollmann, F. Pompa, X. Pons, N. Poonthottathil, V. Popov, F. Poppi, J. Porter, L. G. Porto Paixão, M. Potekhin, M. Pozzato, R. Pradhan, T. Prakash, M. Prest, F. Psihas, D. Pugnere, D. Pullia, X. Qian, J. Queen, J. L. Raaf, M. Rabelhofer, V. Radeka, J. Rademacker, F. Raffaelli, A. Rafique, A. Rahe, S. Rajagopalan, M. Rajaoalisoa, I. Rakhno, L. Rakotondravohitra, M. A. Ralaikoto, L. Ralte, M. A. Ramirez Delgado, B. Ramson, S. S. Randriamanampisoa, A. Rappoldi, G. Raselli, T. Rath, P. Ratoff, R. Ray, H. Razafinime, R. F. Razakamiandra, E. M. Rea, J. S. Real, B. Rebel, R. Rechenmacher, J. Reichenbacher, S. D. Reitzner, E. Renner, S. Repetto, S. Rescia, F. Resnati, C. Reynolds, M. Ribas, S. Riboldi, C. Riccio, G. Riccobene, J. S. Ricol, M. Rigan, A. Rikalo, E. V. Rincón, A. Ritchie-Yates, D. Rivera, A. Robert, A. Roberts, E. Robles, M. Roda, D. Rodas Rodríguez, M. J. O. Rodrigues, J. Rodriguez Rondon, S. Rosauro-Alcaraz, P. Rosier, D. Ross, M. Rossella, M. Ross-Lonergan, T. Rotsy, N. Roy, P. Roy, P. Roy, C. Rubbia, D. Rudik, A. Ruggeri, G. Ruiz Ferreira, K. Rushiya, B. Russell, S. Sacerdoti, N. Saduyev, S. K. Sahoo, N. Sahu, S. Sakhiyev, P. Sala, G. Salmoria, S. Samanta, M. C. Sanchez, A. Sánchez-Castillo, P. Sanchez-Lucas, D. A. Sanders, S. Sanfilippo, D. Santoro, N. Saoulidou, P. Sapienza, I. Sarcevic, I. Sarra, G. Savage, V. Savinov, G. Scanavini, A. Scanu, A. Scaramelli, T. Schefke, H. Schellman, S. Schifano, P. Schlabach, D. Schmitz, A. W. Schneider, K. Scholberg, A. Schroeder, A. Schukraft, B. Schuld, S. Schwartz, A. Segade, E. Segreto, A. Selyunin, C. R. Senise, J. Sensenig, S. H. Seo, D. Seppela, M. H. Shaevitz, P. Shanahan, P. Sharma, R. Kumar, S. Sharma Poudel, K. Shaw, T. Shaw, K. Shchablo, J. Shen, C. Shepherd-Themistocleous, J. Shi, W. Shi, S. Shin, S. Shivakoti, A. Shmakov, I. Shoemaker, D. Shooltz, R. Shrock, M. Siden, J. Silber, L. Simard, J. Sinclair, G. Sinev, Jaydip Singh, J. Singh, L. Singh, P. Singh, V. Singh, S. Singh Chauhan, R. Sipos, C. Sironneau, G. Sirri, K. Siyeon, K. Skarpaas, J. Smedley, J. Smith, P. Smith, J. Smolik, M. Smy, M. Snape, E. L. Snider, P. Snopok, M. Soares Nunes, H. Sobel, M. Soderberg, H. Sogarwal, C. J. Solano Salinas, S. Söldner-Rembold, N. Solomey, V. Solovov, W. E. Sondheim, M. Sorbara, M. Sorel, J. Soto-Oton, A. Sousa, K. Soustruznik, D. Souza Correia, F. Spinella, J. Spitz, N. J. C. Spooner, D. Stalder, M. Stancari, L. Stanco, J. Steenis, R. Stein, H. M. Steiner, A. F. Steklain Lisbôa, J. Stewart, B. Stillwell, J. Stock, T. Stokes, T. Strauss, L. Strigari, A. Stuart, J. G. Suarez, J. Subash, A. Surdo, L. Suter, A. Sutton, K. Sutton, Y. Suvorov, R. Svoboda, S. K. Swain, C. Sweeney, B. Szczerbinska, A. M. Szelc, A. Sztuc, A. Taffara, N. Talukdar, J. Tamara, H. A. Tanaka, S. Tang, N. Taniuchi, A. M. Tapia Casanova, A. Tapper, S. Tariq, E. Tatar, R. Tayloe, A. M. Teklu, K. Tellez Giron Flores, J. Tena Vidal, P. Tennessen, M. Tenti, K. Terao, F. Terranova, G. Testera, T. Thakore, A. Thea, S. Thomas, A. Thompson, C. Thorpe, S. C. Timm, E. Tiras, V. Tishchenko, S. Tiwari, N. Todorović, L. Tomassetti, A. Tonazzo, D. Torbunov, D. Torres Muñoz, M. Torti, M. Tortola, Y. Torun, N. Tosi, D. Totani, M. Toups, C. Touramanis, V. Trabattoni, D. Tran, J. Trevor, E. Triller, S. Trilov, D. Trotta, J. Truchon, D. Truncali, W. H. Trzaska, Y. Tsai, Y.-T. Tsai, Z. Tsamalaidze, K. V. Tsang, N. Tsverava, S. Z. Tu, S. Tufanli, C. Tunnell, J. Turner, M. Tuzi, M. Tzanov, M. A. Uchida, J. Ureña González, J. Urheim, T. Usher, H. Utaegbulam, S. Uzunyan, M. R. Vagins, P. Vahle, G. A. Valdiviesso, E. Valencia, R. Valentim, Z. Vallari, E. Vallazza, J. W. F. Valle, R. Van Berg, D. V. Forero, A. Vannozzi, M. Van Nuland-Troost, F. Varanini, D. Vargas Oliva, N. Vaughan, K. Vaziri, A. Vázquez-Ramos, J. Vega, J. Vences, S. Ventura, A. Verdugo, M. Verzocchi, K. Vetter, M. Vicenzi, H. Vieira de Souza, C. Vignoli, C. Vilela, E. Villa, S. Viola, B. Viren, G. V. Stenico, R. Vizarreta, A. P. Vizcaya Hernandez, S. Vlachos, G. Vorobyev, Q. Vuong, A. V. Waldron, L. Walker, H. Wallace, M. Wallach, J. Walsh, T. Walton, L. Wan, B. Wang, H. Wang, J. Wang, M. H. L. S. Wang, X. Wang, Y. Wang, D. Warner, L. Warsame, M. O. Wascko, D. Waters, A. Watson, K. Wawrowska, A. Weber, C. M. Weber, M. Weber, H. Wei, A. Weinstein, S. Westerdale, M. Wetstein, K. Whalen, A. J. White, L. H. Whitehead, D. Whittington, F. Wieler, J. Wilhlemi, M. J. Wilking, A. Wilkinson, C. Wilkinson, F. Wilson, R. J. Wilson, P. Winter, J. Wolcott, J. Wolfs, T. Wongjirad, A. Wood, K. Wood, E. Worcester, M. Worcester, K. Wresilo, M. Wright, M. Wrobel, S. Wu, W. Wu, Z. Wu, M. Wurm, J. Wyenberg, B. M. Wynne, Y. Xiao, I. Xiotidis, B. Yaeggy, N. Yahlali, E. Yandel, G. Yang, J. Yang, T. Yang, A. Yankelevich, L. Yates, U. Yevarouskaya, K. Yonehara, T. Young, B. Yu, H. Yu, J. Yu, W. Yuan, M. Zabloudil, R. Zaki, J. Zalesak, L. Zambelli, B. Zamorano, A. Zani, O. Zapata, L. Zazueta, G. P. Zeller, J. Zennamo, J. Zettlemoyer, K. Zeug, C. Zhang, S. Zhang, Y. Zhang, L. Zhao, M. Zhao, E. D. Zimmerman, S. Zucchelli, V. Zutshi, R. Zwaska and On behalf of the DUNE Collaborationadd Show full author list remove Hide full author list
Instruments 2026, 10(1), 18; https://doi.org/10.3390/instruments10010018 - 17 Mar 2026
Viewed by 397
Abstract
The 2x2 Demonstrator, a prototype for the Deep Underground Neutrino Experiment (DUNE) liquid argon (LAr) Near Detector, was exposed to the Neutrinos from the Main Injector (NuMI) neutrino beam at Fermi National Accelerator Laboratory (Fermilab). This detector is a prototype of a new [...] Read more.
The 2x2 Demonstrator, a prototype for the Deep Underground Neutrino Experiment (DUNE) liquid argon (LAr) Near Detector, was exposed to the Neutrinos from the Main Injector (NuMI) neutrino beam at Fermi National Accelerator Laboratory (Fermilab). This detector is a prototype of a new modular design for a liquid argon time-projection chamber (LArTPC), comprising a two-by-two array of four modules, each further segmented into two optically isolated LArTPCs. The 2x2 Demonstrator features a number of pioneering technologies, including a low-profile resistive field shell to establish drift fields, native 3D ionization pixelated imaging, and a high-coverage dielectric light readout system. The 2.4-tonne active mass detector is flanked upstream and downstream by supplemental solid-scintillator tracking planes, repurposed from the MINERvA experiment, which track ionizing particles exiting the argon volume. The antineutrino beam data collected by the detector over a 4.5 day period in 2024 include over 30,000 neutrino interactions in the LAr active volume—the first neutrino interactions reported by a DUNE detector prototype. During its physics-quality run, the 2x2 Demonstrator operated at a nominal drift field of 500 V/cm and maintained good LAr purity, with a stable electron lifetime of approximately 1.25 ms. This paper describes the detector and supporting systems, summarizes the installation and commissioning, and presents the initial validation of collected NuMI beam and off-beam self-triggers. In addition, it highlights observed interactions in the detector volume, including candidate muon antineutrino events. Full article
Show Figures

Figure 1

24 pages, 3028 KB  
Article
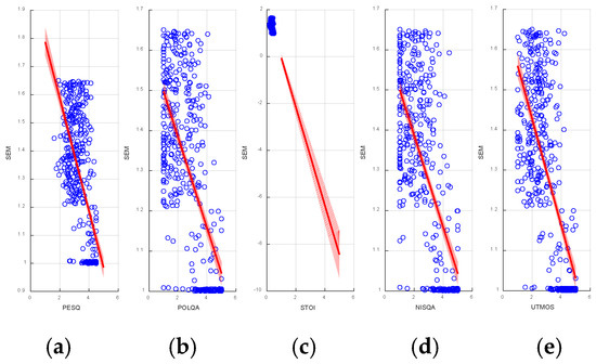
A Spectral Entropy-Based Metric for Evaluating Speech Perceptual Quality with Emphasis on Spectral Coherence
by Ali Sarafnia, M. Omair Ahmad and M.N.S. Swamy
Signals 2026, 7(2), 27; https://doi.org/10.3390/signals7020027 - 16 Mar 2026
Viewed by 222
Abstract
Distortion of speech in real-life communication is inevitable, affecting its quality. Conventionally, the effectiveness of a speech system in terms of the perceptual quality of the speech it produces has been assessed using a time-consuming subjective metric, the mean opinion score. There are [...] Read more.
Distortion of speech in real-life communication is inevitable, affecting its quality. Conventionally, the effectiveness of a speech system in terms of the perceptual quality of the speech it produces has been assessed using a time-consuming subjective metric, the mean opinion score. There are a number of objective metrics that can be used instead of the mean opinion score to assess the perceptual quality of the speech signal. The objective of this paper is to propose and validate a new objective metric, the spectral entropy-based metric (SEM), designed to evaluate the perceptual quality of speech and perceptual naturalness by quantifying spectral coherence. While other metrics focus on intelligibility, this study aims to fill a gap in naturalness assessment. The core novelty of this work lies in offering a diagnostic perspective on spectral coherence, an indicator of speech naturalness that is often not explicitly addressed by other metrics. To demonstrate the effectiveness of the proposed metric in evaluating the perceptual quality, we consider fixed-beam and steerable-beam first-order differential microphone arrays. Compared with other objective metrics, it is shown that the proposed SEM is more sensitive to spectral coherence, a predominant indicator of the naturalness of the output speech signal of a speech system. Full article
Show Figures

Figure 1

20 pages, 1670 KB  
Article
Assessing How CBCT Image Quality Influences Diagnostic Evaluability of Periodontal Bone: Establishing Human Baselines for AI Training (In Vitro Study)
by Michael Moncher, Vera Zimprich, Jonathan von See, Jörg Philipp Tchorz, Theodor von See and Constantin von See
Oral 2026, 6(2), 35; https://doi.org/10.3390/oral6020035 - 16 Mar 2026
Viewed by 230
Abstract
Background: Cone-beam computed tomography (CBCT) is increasingly applied for the assessment of periodontal bone levels. However, its measurement reliability and consistency depend strongly on image quality parameters such as voxel size, noise, and reconstruction sharpness. With the growing use of CBCT datasets for [...] Read more.
Background: Cone-beam computed tomography (CBCT) is increasingly applied for the assessment of periodontal bone levels. However, its measurement reliability and consistency depend strongly on image quality parameters such as voxel size, noise, and reconstruction sharpness. With the growing use of CBCT datasets for artificial intelligence (AI)-based diagnostics, it is essential to understand how image degradation conditions affect examiner-derived measurement outcomes and the reliability of reference data used for AI training. Methods: An anonymized CBCT dataset containing one periodontally healthy tooth (31) and one tooth with pronounced periodontal bone loss (41) was analyzed. The original DICOM data were systematically degraded using controlled voxel enlargement (double and triple voxel size) and simulated image blur (Gaussian and median filtering). Six dentists (n = 6) independently performed standardized linear bone-level measurements, with three repeated measurements per tooth and image condition. Data were analyzed using the Shapiro–Wilk test for normality assessment, the Kruskal–Wallis H test for group comparisons, Bonferroni-adjusted Mann–Whitney U tests for post hoc pairwise comparisons, and intraclass correlation coefficients (ICC (2,1)) for inter-examiner reliability assessment. Results: A total of 180 measurements were evaluated. Image degradation conditions were associated with statistically significant differences in bone-level measurements for both teeth (tooth 31: p = 0.017; tooth 41: p = 0.0049). Significant pairwise differences were primarily observed between the original dataset and specific degraded conditions involving blur and reduced spatial resolution, while several comparisons remained non-significant. Inter-examiner reliability varied across image groups and decreased notably with pronounced voxel enlargement, particularly in the periodontally compromised tooth. Conclusions: Controlled image degradation conditions of CBCT image quality significantly affect measurement outcomes and inter-examiner reproducibility of periodontal bone measurements. These findings demonstrate that image quality is a critical determinant of measurement reliability and examiner-dependent interpretation. From both a clinical and AI-development perspective, maintaining adequate CBCT resolution may contribute to more consistent measurement behavior and more reliable training datasets. Full article
Show Figures

Graphical abstract

10 pages, 3337 KB  
Article
Study on Side-Pumping and Electro-Optical Q-Switched Laser Performance of a Novel Near-Infrared Laser Crystal Nd:GYSAG
by Jianling Gu, Haiyue Wang, Lei Huang, Qingli Zhang and Guihua Sun
Photonics 2026, 13(3), 284; https://doi.org/10.3390/photonics13030284 - 16 Mar 2026
Viewed by 241
Abstract
The Nd:GYSAG crystal enables multi-wavelength near-infrared laser output, with adjustable wavelengths tailored for specific application requirements, making it highly valuable for space-borne water vapor detection. This study reports, for the first time, the side-pumping characteristics and electro-optical Q-switching performance of this crystal. Using [...] Read more.
The Nd:GYSAG crystal enables multi-wavelength near-infrared laser output, with adjustable wavelengths tailored for specific application requirements, making it highly valuable for space-borne water vapor detection. This study reports, for the first time, the side-pumping characteristics and electro-optical Q-switching performance of this crystal. Using Ø3 × 73 mm and Ø4 × 73 mm crystal rods doped with 1.21 at.% Nd:GYSAG (chemical formula Nd0.033Gd0.93Y1.79Sc0.70Al4.54O11.99), 1060.4 nm laser output was achieved under 808 nm laser diode (LD) side-pumping at a repetition rate of 100 Hz and a pump pulse width of 250 μs. The experimental results show that the Ø4 × 73 mm rod had a higher laser threshold but exhibited significantly superior slope efficiency and maximum output power compared to the Ø3 × 73 mm rod. Using a flat–flat resonator, optimal laser performance was obtained with an output coupler transmission of 35%, yielding a slope efficiency of 37.2%. A maximum output energy of 179.4 mJ was achieved at a pump energy of 646 mJ. Thermal lensing effects were compensated using a flat–convex cavity, leading to improved laser performance and beam quality. Electro-optical Q-switching experiments were conducted using a KD*P crystal. A comparison between voltage-applied and voltage-removed Q-switching techniques revealed superior performance for the voltage-applied method. High-performance laser output was realized, achieving a maximum pulse energy of 59.6 mJ, a pulse width of 14.93 ns, and a peak power of 3.99 MW. This study provides an important foundation for the development of near-infrared laser devices based on Nd:GYSAG. Full article
(This article belongs to the Section Lasers, Light Sources and Sensors)
Show Figures

Figure 1

16 pages, 1063 KB  
Article
Integrating Inverse Prompting and Chain-of-Thought Reasoning for Automated Flood Control Text Generation: A Case Study of the Lixiahe Region
by Hui Min, Feng Ye, Dong Xu, Jin Xu and Xiaoping Liao
Water 2026, 18(6), 686; https://doi.org/10.3390/w18060686 - 15 Mar 2026
Viewed by 238
Abstract
Flood control briefings are critical emergency response documents that provide timely decision support for urban safety and regional development under climate change challenges. However, existing large language models (LLMs) face significant difficulties in domain-specific adaptation, content controllability, and logical consistency when processing complex [...] Read more.
Flood control briefings are critical emergency response documents that provide timely decision support for urban safety and regional development under climate change challenges. However, existing large language models (LLMs) face significant difficulties in domain-specific adaptation, content controllability, and logical consistency when processing complex water conservancy data. This study aims to develop a robust automated text generation method that ensures high accuracy and logical rigor for flood prevention in the Lixiahe region. We propose an IP-CoT method that integrates Chain-of-Thought (CoT) reasoning for structured information extraction and an Inverse Prompting (IP) mechanism with beam search to optimize content relevance using the DeepSeek-R1 model. Validated on a constructed dataset comprising flood control records from the Lixia River network from 2010 to 2024, the proposed method achieved an accuracy rate of 95.32% in the verification of emotional attributes, which is 2% to 15% higher than most traditional models. Additionally, in the verification of thematic attributes, fluency and diversity were improved, showing significant enhancements compared to the baseline model. This approach significantly enhances the quality and efficiency of domain-specific text generation, providing a reliable intelligent solution for modernizing regional flood control decision-making systems. Full article
(This article belongs to the Section Hydrology)
Show Figures

Figure 1

20 pages, 2991 KB  
Article
Advancing Defect Detection in Laser Welding: A Machine Learning Approach Based on Spatter Feature Analysis
by Gleb Solovev, Evgenii Klokov, Dmitrii Krasnov and Mikhail Sokolov
Sensors 2026, 26(6), 1825; https://doi.org/10.3390/s26061825 - 13 Mar 2026
Viewed by 285
Abstract
Full-penetration laser welding (FPLW) is increasingly adopted in manufacturing pipelines, yet its industrial scalability is constrained by in-process defect formation, particularly incomplete penetration. To address this, we propose a sensor-driven framework for non-destructive monitoring and automated defect detection that uses infrared (IR) thermography [...] Read more.
Full-penetration laser welding (FPLW) is increasingly adopted in manufacturing pipelines, yet its industrial scalability is constrained by in-process defect formation, particularly incomplete penetration. To address this, we propose a sensor-driven framework for non-destructive monitoring and automated defect detection that uses infrared (IR) thermography as the primary in situ sensing modality and applies deep learning to the acquired thermal signals. High-speed IR camera recordings were processed to track spatter and the weld zone, yielding a time series of physically interpretable spatiotemporal features (mean spatter area, mean spatter temperature, number of spatters, and mean welding zone temperature). Defect recognition is formulated as a multi-label classification problem targeting incomplete penetration, sagging, shrinkage groove, and linear misalignment, and multiple temporal models were evaluated on the same sensor-derived feature sequences. Experimental validation on 09G2S pipeline steel demonstrates that the proposed time series pipeline based on a hybrid CNN–transformer achieves a mean Average Precision (mAP) of 0.85 while preserving near-real-time inference on a CPU. The results indicate that IR thermography-based spatter dynamics provide actionable sensing signatures for automated defect prediction and can serve as a foundation for closed-loop quality control in industrial laser pipeline welding. Full article
(This article belongs to the Special Issue Sensing Technologies in Industrial Defect Detection)
Show Figures

Figure 1

Back to TopTop