Combining Multi-Dimensional SAR Parameters to Improve RVoG Model for Coniferous Forest Height Inversion Using ALOS-2 Data
Abstract
1. Introduction
- (1)
- Using the semi-empirical improved RVoG inversion model to analyze the impact of temporal decorrelation on the inversion performance of repeat-pass spaceborne ALOS-2 data, introduce correction factors to reduce the coherence and phase errors caused by temporal decorrelation and other factors, use empirical iterations to achieve high-precision forest height inversion, and resolve the problem of precisely quantifying the errors in the coherence and phase caused by temporal decorrelation, which is generated by the small vertical wavenumber and long temporal baseline of satellite-based data.
- (2)
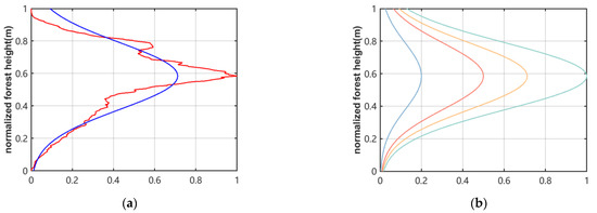
- The interference phase histogram and Gaussian function were used to fit the normalized extinction coefficient curve by considering the heterogeneous vertical structure indicated by the vertically variable extinction coefficient curve in the volume layer of the forest. The value of the extinction coefficient function with respect to height was established, reflecting the variation in the vegetation profiles and preventing the assumption of a homogeneous vegetation layer in the existing models from influencing the accuracy of the forest height inversion results. This was achieved by combining the structures of the vertical reflectance profiles to analyze the influence of vertical heterogeneity on the variation in the extinction coefficient.
- (3)
- The polarization decomposition technique of the physical model was introduced to investigate surface scattering as the ground contribution and double-bounce scattering and volume scattering as the contribution of the vegetation layer. By modeling the ground and volume contributions separately, the model estimation errors frequently induced by excessive ground scattering were avoided, and better ground and volume phase separation results were obtained, indicating that the physical model is more appropriate for forest height inversion of complex forest structures.
2. Study Area and Data
2.1. Study Area and Sample Plot Data
2.2. Satellite Data
3. Theoretical Background of the RVoG Model
4. Proposed Method of the Research
4.1. Semi-Empirical Improved RVoG Inversion Model
4.2. Extinction Coefficient
4.3. PolInSAR Decomposition Technique
5. Results
6. Discussion
6.1. Extinction Coefficient
6.2. GVR
6.3. Error Analysis of the Forest Height
6.4. Future Work
7. Conclusions
Author Contributions
Funding
Conflicts of Interest
References
- Oliveira, C.P.D.; Ferreira, R.L.C.; da Silva, J.A.A.; Lima, R.B.D.; Silva, E.A.; Silva, A.F.D.; Lucena, J.D.S.D.; dos Santos, N.A.T.; Lopes, I.J.C.; Pessoa, M.M.D.L.; et al. Modeling and Spatialization of Biomass and Carbon Stock Using LiDAR Metrics in Tropical Dry Forest. Brazil. For. 2021, 12, 473. [Google Scholar] [CrossRef]
- Chen, W.; Zheng, Q.; Xiang, H.; Chen, X.; Sakai, T. Forest Canopy Height Estimation Using Polarimetric Interferometric Synthetic Aperture Radar (PolInSAR) Technology Based on Full-Polarized ALOS/PALSAR Data. Remote Sens. 2021, 13, 174. [Google Scholar] [CrossRef]
- Schlund, M.; Baron, D.; Magdon, P.; Erasmi, S. Canopy penetration depth estimation with TanDEM-X and its compensation in temperate forests. ISPRS J. Photogramm. Remote Sens. 2019, 147, 232–241. [Google Scholar] [CrossRef]
- Lu, D.; Chen, Q.; Wang, G.; Liu, L.; Li, G.; Moran, E. A survey of remote sensing-based aboveground biomass estimation methods in forest ecosystems. Int. J. Digit. Earth 2014, 9, 63–105. [Google Scholar] [CrossRef]
- Fu, W.; Guo, H.; Li, X.; Tian, B.; Sun, Z. Extended Three-Stage Polarimetric SAR Interferometry Algorithm by Dual-Polarization Data. IEEE Trans. Geosci. Remote Sens. 2015, 54, 2792–2802. [Google Scholar] [CrossRef]
- Tan, L.; Yang, R. Investigation on Tree Height Retrieval with Polarimetric SAR Interferometry. In Proceedings of the IGARSS 2008—2008 IEEE International Geoscience and Remote Sensing Symposium, Boston, MA, USA, 7–11 July 2008; Volume 5, pp. 546–549. [Google Scholar] [CrossRef]
- Eini-Zinab, S.; Maghsoudi, Y.; Sayedain, S.A. Assessing the performance of indicators resulting from three-component Freeman–Durden polarimetric SAR interferometry decomposition at P-and L-band in estimating tropical forest aboveground biomass. Int. J. Remote Sens. 2019, 41, 433–454. [Google Scholar] [CrossRef]
- Berninger, A.; Lohberger, S.; Zhang, D.; Siegert, F. Canopy Height and Above-Ground Biomass Retrieval in Tropical Forests Using Multi-Pass X- and C-Band Pol-InSAR Data. Remote Sens. 2019, 11, 2105. [Google Scholar] [CrossRef]
- Papathanassiou, K.; Cloude, S.R. Single Baseline Polarimetric SAR Interferometry. IEEE Trans. Geosci. Remote Sens. 2001, 39, 2352–2363. [Google Scholar] [CrossRef]
- Managhebi, T.; Maghsoudi, Y.; Valadan Zoej, M.J. A new algorithm for forest height estimation based on the varied extinction random volume over ground (VERVoG) model using PolInSAR data. Int. J. Remote Sens. 2019, 41, 615–631. [Google Scholar] [CrossRef]
- Managhebi, T.; Maghsoudi, Y.; Valadan Zoej, M.J. Four-Stage Inversion Algorithm for Forest Height Estimation Using Repeat Pass Polarimetric SAR Interferometry Data. Remote Sens. 2018, 10, 1174. [Google Scholar] [CrossRef]
- Cloude, S.R.; Papathanassiou, K.P. Three-stage inversion process for polarimetric SAR interferometry. Radar, Sonar and Navigation. IEE Proc.-Radar Sonar Navig. 2003, 150, 125–134. [Google Scholar] [CrossRef]
- Managhebi, T.; Maghsoudi, Y.; Valadan Zoej, M.J. A Volume Optimization Method to Improve the Three-Stage Inversion Algorithm for Forest Height Estimation Using PolInSAR Data. IEEE Geosci. Remote Sens. Lett. 2018, 15, 1214–1218. [Google Scholar] [CrossRef]
- Lavalle, M.; Hensley, S. Extraction of Structural and Dynamic Properties of Forests From Polarimetric-Interferometric SAR Data Affected by Temporal Decorrelation. IEEE Trans. Geosci. Remote Sens. 2015, 53, 4752–4767. [Google Scholar] [CrossRef]
- Papathanassiou, K.; Kugler, F.; Lee, S.; Marotti, L.; Hajnsek, I. Recent Advances in Polarimetric SAR Interferometry for Forest Parameter Estimation. In Proceedings of the 2008 IEEE Radar Conference, Rome, Italy, 26–30 May 2008; pp. 1–6. [Google Scholar] [CrossRef]
- Lavalle, M.; Simard, M.; Pottier, E.; Solimini, D. PolinSAR forestry applications improved by modeling height dependent temporal decorrelation. In Proceedings of the 2010 IEEE International Geoscience and Remote Sensing Symposium, Honolulu, HI, USA, 25–30 July 2010; pp. 4772–4775. [Google Scholar] [CrossRef]
- Lei, Y.; Siqueira, P. An Automatic Mosaicking Algorithm for the Generation of a Large-Scale Forest Height Map Using Spaceborne Repeat-Pass InSAR Correlation Magnitude. Remote Sens. 2015, 7, 5639–5659. [Google Scholar] [CrossRef]
- Ahmed, R.; Siqueira, P.; Hensley, S.; Chapman, B.; Bergen, K. A survey of temporal decorrelation from spaceborne L-Band repeat-pass InSAR. Remote Sens. Environ. 2011, 115, 2887–2896. [Google Scholar] [CrossRef]
- Kugler, F.; Lee, S.-K.; Hajnsek, I.; Papathanassiou, K. Forest Height Estimation by Means of Pol-InSAR Data Inversion: The Role of the Vertical Wavenumber. IEEE Trans. Geosci. Remote Sens. 2015, 53, 5294–5311. [Google Scholar] [CrossRef]
- Du, K.; Lin, H.; Wang, G.; Jiangping, L.; Li, J.; Liu, Z. The Impact of Vertical Wavenumber on Forest Height Inversion by PolInSAR. In Proceedings of the 2018 Fifth International Workshop on Earth Observation and Remote Sensing Applications (EORSA), Xi’an, China, 18–20 June 2018; pp. 1–5. [Google Scholar] [CrossRef]
- Fu, W.; Guo, H.; Song, P.; Tian, B.; Li, X.; Sun, Z. Combination of PolInSAR and LiDAR techniques for forest height estimation. IEEE Geosci. Remote Sens. Lett. 2017, 14, 1218–1222. [Google Scholar] [CrossRef]
- Managhebi, T.; Maghsoudi, Y.; Valadan Zoej, M.J. An Improved Three-Stage Inversion Algorithm in Forest Height Estimation Using Single-Baseline Polarimetric SAR Interferometry Data. IEEE Geosci. Remote Sens. Lett. 2018, 15, 887–891. [Google Scholar] [CrossRef]
- Garestier, F.; Le Toan, T. Forest modeling for height inversion using single-baseline InSAR/Pol-InSAR data. IEEE Trans. Geosci. Remote Sens. 2010, 48, 1528–1539. [Google Scholar] [CrossRef]
- Balzter, H.; Rowland, C.S.; Saich, P. Forest canopy height and carbon estimation at Monks Wood National Nature Reserve, UK, using dual-wavelength SAR interferometry. Remote Sens. Environ. 2007, 108, 224–239. [Google Scholar] [CrossRef]
- Liao, Z.; He, B.; Quan, X.; van Dijk, A.; Qiu, S.; Yin, C. Biomass estimation in dense tropical forest using multiple information from single-baseline P-band PolInSAR data. Remote Sens. Environ. 2019, 221, 489–507. [Google Scholar] [CrossRef]
- Aghabalaei, A.; Ebadi, H.; Maghsoudi, Y. Forest height estimation based on the RVoG inversion model and the PolInSAR decomposition technique. Int. J. Remote Sens. 2019, 41, 2684–2703. [Google Scholar] [CrossRef]
- Yamada, H.; Yamaguchi, Y.; Sato, R. Polarimetric Scattering Model Decomposition for Pol-InSAR Data. In Proceedings of the IEEE International Geoscience and Remote Sensing Symposium, Boston, MA, USA, 7–11 July 2008; Volume 4, pp. 331–334. [Google Scholar] [CrossRef]
- Joshi, S.; Kumar, S. Performance of PolSAR backscatter and PolInSAR coherence for scattering characterization of forest vegetation using single pass X-band spaceborne synthetic aperture radar data. J. Appl. Remote Sens. 2017, 11, 026022. [Google Scholar] [CrossRef]
- Ballester-Berman, J.D.; Lopez-Sanchez, J. Applying the Freeman–Durden Decomposition Concept to Polarimetric SAR Interferometry. IEEE Trans. Geosci. Remote Sens. 2010, 48, 466–479. [Google Scholar] [CrossRef]
- Chen, A.; Zebker, H. Reducing Ionospheric Effects in InSAR Data Using Accurate Coregistration. IEEE Trans. Geosci. Remote Sens. 2014, 52, 60–70. [Google Scholar] [CrossRef]
- Jung, J.; Kim, D.-j.; Lavalle, M.; Yun, S.-H. Coherent Change Detection Using InSAR Temporal Decorrelation Model: A Case Study for Volcanic Ash Detection. IEEE Trans. Geosci. Remote Sens. 2016, 54, 5765–5775. [Google Scholar] [CrossRef]
- Rosen, P.; Hensley, S.; Joughin, I.R.; Li, F.K.; Madsen, S.; Rodriguez, E.; Goldstein, R.M. Synthetic Aperture Radar Interferometry. Proc. IEEE 2000, 88, 333–382. [Google Scholar] [CrossRef]
- Liao, Z.; He, B.; van Dijk, A.; Bai, X.; Quan, X. The impacts of spatial baseline on forest canopy height model and digital terrain model retrieval using P-band PolInSAR data. Remote Sens. Environ. 2018, 210, 403–421. [Google Scholar] [CrossRef]
- Tahraoui, S.; Ouarzeddine, M. Assess the Effects of Wind on Forest Parameters Inversion by Using Pol-InSAR Applications. In Advanced Control Engineering Methods in Electrical Engineering Systems; Lecture Notes in Electrical Engineering; Springer International Publishing: Berlin/Heidelberg, Germany, 2019; Volume 522, pp. 556–564. [Google Scholar] [CrossRef]
- Yadav, S.; Padalia, H.; Sinha, S.K.; Srinet, R.; Chauhan, P. Above-ground biomass estimation of Indian tropical forests using X band Pol-InSAR and Random Forest. Remote Sens. Appl. Soc. Environ. 2021, 21, 100462. [Google Scholar] [CrossRef]
- Lei, Y.; Siqueira, P. Estimation of Forest Height Using Spaceborne Repeat-Pass L-Band InSAR Correlation Magnitude over the US State of Maine. Remote Sens. 2014, 6, 10252–10285. [Google Scholar] [CrossRef]
- Mao, Y.; Michel, O.; Yu, Y.; Fan, W.; Sui, A.; Liu, Z.; Wu, G. Retrieval of Boreal Forest Heights Using an Improved Random Volume over Ground (RVoG) Model Based on Repeat-Pass Spaceborne Polarimetric SAR Interferometry: The Case Study of Saihanba, China. Remote Sens. 2021, 13, 4306. [Google Scholar] [CrossRef]
- Praks, J.; Antropov, O.; Hallikainen, M.T. LIDAR-Aided SAR Interferometry Studies in Boreal Forest: Scattering Phase Center and Extinction Coefficient at X- and L-Band. IEEE Trans. Geosci. Remote Sens. 2012, 50, 3831–3843. [Google Scholar] [CrossRef]
- Lee, S.-K.; Fatoyinbo, L. TanDEM-X Pol-InSAR Inversion for Mangrove Canopy Height Estimation. IEEE J. Sel. Top. Appl. Earth Obs. Remote Sens. 2015, 8, 3608–3618. [Google Scholar] [CrossRef]
- Cloude, S. Polarization coherence tomography. Radio Sci. 2006, 41, 1–27. [Google Scholar] [CrossRef]
- Sun, G.; Ranson, K.J.; Kimes, D.; Blair, J.; Kovacs, K. Forest vertical structure from GLAS: An evaluation using LVIS and SRTM data. Remote Sens. Environ. 2008, 112, 107–117. [Google Scholar] [CrossRef]
- Choi, C.; Pardini, M.; Heym, M.; Papathanassiou, K. Improving Forest Height-to-Biomass Allometry with Structure Information: A TanDEM-X Study. IEEE J. Sel. Top. Appl. Earth Obs. Remote Sens. 2021, 14, 10415–10427. [Google Scholar] [CrossRef]
- Garestier, F.; Dubois-Fernandez, P.; Champion, I.; Le Toan, T. Pine forest investigation using high resolution P-band Pol-InSAR data. Remote Sens. Environ. 2011, 115, 2897–2905. [Google Scholar] [CrossRef]
- Cui, Y.; Yamaguchi, Y.; Yang, J.; Park, S.-E.; Kobayashi, H.; Singh, G. Three-Component Power Decomposition for Polarimetric SAR Data Based on Adaptive Volume Scatter Modeling. Remote Sens. 2012, 4, 1559–1572. [Google Scholar] [CrossRef]
- Jiangping, L.; Lin, H.; Wang, G.; Sun, H.; Yan, E. Mapping Growing Stem Volume of Chinese Fir Plantation Using a Saturation-based Multivariate Method and Quad-polarimetric SAR Images. Remote Sens. 2019, 11, 1872. [Google Scholar] [CrossRef]
- Wang, C.; Wang, L.; Fu, H.; Xie, Q.; Zhu, J. The Impact of Forest Density on Forest Height Inversion Modeling from Polarimetric InSAR Data. Remote Sens. 2016, 8, 291. [Google Scholar] [CrossRef]
- Cloude, S.R.; Papathanassiou, K.P. Polarimetric SAR interferometry. IEEE Trans. Geosci. Remote Sens. 1998, 36, 1551–1565. [Google Scholar] [CrossRef]
- Ferro-Famil, L.; Reigber, A.; Pottier, E.; Boerner, W.M. Scene characterization using subaperture polarimetric SAR data. IEEE Trans. Geosci. Remote Sens. 2003, 41, 2264–2276. [Google Scholar] [CrossRef]
- Ferro-Famil, L.; Neumann, M. Recent Advances in the Derivation of PolInSAR Statistics: Study and Application. In Proceedings of the 7th European Conference on Synthetic Aperture Radar, Friedrichshafen, Germany, 2–5 June 2008; pp. 1–4. [Google Scholar]
- Neumann, M.; Ferro-Famil, L.; Reigber, A. Estimation of Forest Structure, Ground, and Canopy Layer Characteristics From Multibaseline Polarimetric Interferometric SAR Data. IEEE Trans. Geosci. Remote Sens. 2010, 48, 1086–1104. [Google Scholar] [CrossRef]
- Ni, W.; Zhang, Z.; Sun, G.; Liu, Q. Modeling Interferometric SAR Features of Forest Canopies Over Mountainous Area at Landscape Scales. IEEE Trans. Geosci. Remote Sens. 2018, 56, 2958–2967. [Google Scholar] [CrossRef]
- Thirion-Lefevre, L.; Colin-Koeniguer, E. Investigating Attenuation, Scattering Phase Center, and Total Height Using Simulated Interferometric SAR Images of Forested Areas. IEEE Trans. Geosci. Remote Sens. 2007, 45, 3172–3179. [Google Scholar] [CrossRef]
- Lucas, R.; Reid, N.; Lee, A.; Moghaddam, M.; Witte, C.; Tickle, P. Empirical relationships between AIRSAR backscatter and LiDAR-derived forest biomass, Queensland. Australia. Remote Sens. Environ. 2006, 100, 407–425. [Google Scholar] [CrossRef]
- Hussin, Y.A.; Reich, R.M.; Hoffer, R.M. Estimating splash pine biomass using radar backscatter. IEEE Trans. Geosci. Remote Sens. 1991, 29, 427–431. [Google Scholar] [CrossRef]
- Hagberg, J.O.; Ulander, L.M.H.; Askne, J. Repeat-pass SAR interferometry over forested terrain. IEEE Trans. Geosci. Remote Sens. 1995, 33, 331–340. [Google Scholar] [CrossRef]
- Hill, M.; Ticehurst, C.; Lee, J.-S.; Grunes, M.; Donald, G.; Henry, D. Integration of optical and radar classifications for mapping pasture type in Western Australia. IEEE Trans. Geosci. Remote Sens. 2005, 43, 1665–1681. [Google Scholar] [CrossRef]
- Parache, H.; Mayer, T.; Herndon, K.; Flores-Anderson, A.; Lei, Y.; Nguyen, Q.; Kunlamai, T.; Griffin, R. Estimating Forest Stand Height in Savannakhet, Lao PDR Using InSAR and Backscatter Methods with L-Band SAR Data. Remote Sens. 2021, 13, 4516. [Google Scholar] [CrossRef]
- Shiroma, G.; Lavalle, M. Digital Terrain, Surface, and Canopy Height Models From InSAR Backscatter-Height Histograms. IEEE Trans. Geosci. Remote Sens. 2020, 58, 3754–3777. [Google Scholar] [CrossRef]
- Khati, U.; Lavalle, M.; Singh, G. Spaceborne tomography of multi-species Indian tropical forests. Remote Sens. Environ. 2019, 229, 193–212. [Google Scholar] [CrossRef]
- Fu, H.; Wang, C.; Jian-Jun, Z.; Xie, Q.; Zhang, B. Estimation of pine forest height and underlying DEM using multi-baseline P-band PolInSAR data. Remote Sens. 2016, 8, 820. [Google Scholar] [CrossRef]
- Shi, Y.; He, B.; Liao, Z. An improved dual-baseline PolInSAR method for forest height inversion. Int. J. Appl. Earth Obs. Geoinf. 2021, 103, 102483. [Google Scholar] [CrossRef]
















| Parameter | Max | Min | Mean | STD |
|---|---|---|---|---|
| Forest stand density (stems/ha) | 5100 | 133 | 960 | 1083 |
| Mean tree height (m) | 27.8 | 5.81 | 17.3 | 4.88 |
| Mean DBH (cm) | 33.1 | 7.2 | 22.74 | 7.3 |
| Mean canopy thickness (m) | 17.9 | 4.6 | 9.5 | 2.8 |
| Parameter | —Spearman | |||
|---|---|---|---|---|
| Forest Stand Density | Mean Tree Height | Mean DBH | Mean Canopy Thickness | |
| Forest stand density | 1 | - | - | - |
| Mean tree height | −0.69 | 1 | - | - |
| Mean DBH | −0.8 | 0.89 | 1 | - |
| Mean canopy thickness | −0.55 | 0.72 | 0.75 | 1 |
| Master Image | Slave Image | Temporal Baseline (Days) | Vertical Wavenumber (rad/m) | Incidence Angle at the Scene Center (°) |
|---|---|---|---|---|
| 0711 | 0725 | 14 | 0.013–0.018 | 27.8054 |
| 0725 | 0808 | 14 | 0.010–0.015 | 27.8029 |
| 0905 | 0919 | 14 | 0.015–0.020 | 27.7991 |
| 0725 | 0905 | 42 | 0.010–0.016 | 27.8029 |
| 0808 | 0919 | 42 | 0.016–0.020 | 27.8012 |
| 0711 | 0919 | 70 | 0.019–0.027 | 27.8054 |
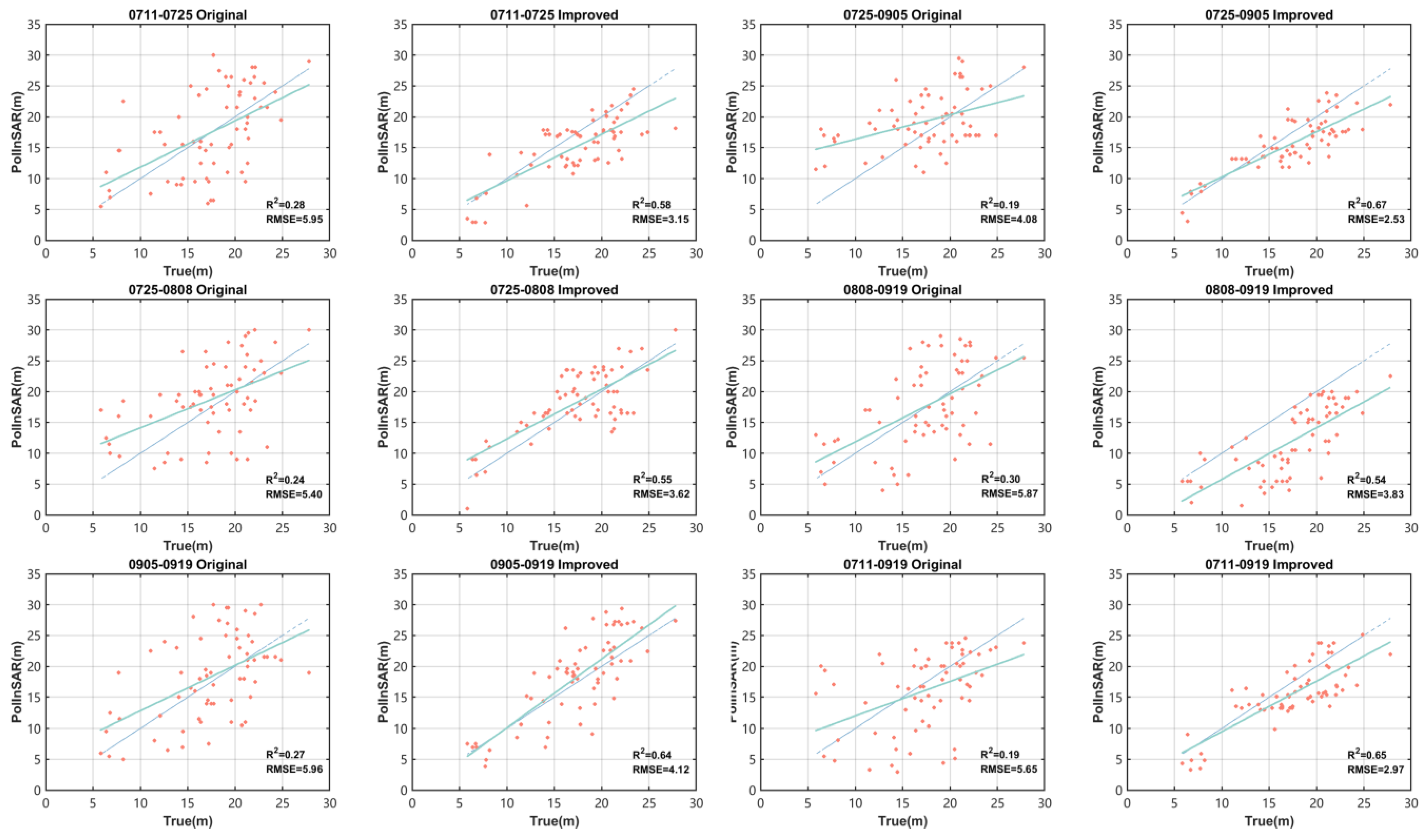
| Datasets | Parameters | Accuracy | Result | ||
|---|---|---|---|---|---|
| RMSE | |||||
| 0711-0725 | 29.15 | 5.85/3.15 | 0.28/0.58 | 0.3148 | |
| 0725-0808 | 38.89 | 5.40/3.62 | 0.24/0.55 | 0.3422 | |
| 0905-0919 | 40.02 | 5.96/4.12 | 0.27/0.64 | 0.5203 | |
| 0725-0905 | 39.57 | 4.08/2.53 | 0.19/0.67 | 0.3680 | |
| 0808-0919 | 29.88 | 5.87/3.83 | 0.30/0.54 | 0.3944 | |
| 0711-0919 | 37.09 | 5.65/2.97 | 0.19/0.65 | 0.5897 | |
Disclaimer/Publisher’s Note: The statements, opinions and data contained in all publications are solely those of the individual author(s) and contributor(s) and not of MDPI and/or the editor(s). MDPI and/or the editor(s) disclaim responsibility for any injury to people or property resulting from any ideas, methods, instructions or products referred to in the content. |
© 2023 by the authors. Licensee MDPI, Basel, Switzerland. This article is an open access article distributed under the terms and conditions of the Creative Commons Attribution (CC BY) license (https://creativecommons.org/licenses/by/4.0/).
Share and Cite
Sa, R.; Nei, Y.; Fan, W. Combining Multi-Dimensional SAR Parameters to Improve RVoG Model for Coniferous Forest Height Inversion Using ALOS-2 Data. Remote Sens. 2023, 15, 1272. https://doi.org/10.3390/rs15051272
Sa R, Nei Y, Fan W. Combining Multi-Dimensional SAR Parameters to Improve RVoG Model for Coniferous Forest Height Inversion Using ALOS-2 Data. Remote Sensing. 2023; 15(5):1272. https://doi.org/10.3390/rs15051272
Chicago/Turabian StyleSa, Rula, Yonghui Nei, and Wenyi Fan. 2023. "Combining Multi-Dimensional SAR Parameters to Improve RVoG Model for Coniferous Forest Height Inversion Using ALOS-2 Data" Remote Sensing 15, no. 5: 1272. https://doi.org/10.3390/rs15051272
APA StyleSa, R., Nei, Y., & Fan, W. (2023). Combining Multi-Dimensional SAR Parameters to Improve RVoG Model for Coniferous Forest Height Inversion Using ALOS-2 Data. Remote Sensing, 15(5), 1272. https://doi.org/10.3390/rs15051272
