Multi-Baseline Bistatic SAR Three-Dimensional Imaging Method Based on Phase Error Calibration Combining PGA and EB-ISOA
Abstract
1. Introduction
- This paper explores a novel MB OS BiSAR 3D imaging configuration, introduces the concepts of incident angle and projection angle, presents the specific formulation of the de-ramping processing and validates its 3D imaging capability through both theoretical analysis and experimental evaluation.
- The criterion of maximizing the square of the intensity is introduced to estimate phase errors pixel-by-pixel. Moreover, this paper uses the preliminary results of the PGA method as the initial values for the EB-ISOA method, achieving better phase correction results.
- This paper improves the optimization model by proposing the energy balance processing to maintain the focus on weak targets. At the same time, this paper used the PS height obtained by the EB-ISOA method to compensate for the linear phase term introduced by the PGA method, which effectively alleviates the vertical displacement.
2. Theoretical Foundation
2.1. Signal Model and 3D Imaging Principle
2.2. Phase Error Analysis
3. Proposed MB BiSAR 3D Imaging Method
- Registering images and de-ramping;
- Selecting PS based on the amplitude dispersion index (ADI) criteria;
- Using the PGA method to estimate the phase error and obtain coarse calibration results;
- Using the EB-ISOA method to process coarse calibration results and obtain precise calibration results;
- Performing the tomographic imaging and coordinate transformation to obtain final 3D imaging results.
3.1. PS Selection Based on ADI Criteria
3.2. Coarse Phase Error Estimation Based on PGA
3.3. Precise Phase Error Estimation Based on EB-ISOA
3.4. Tomographic Imaging and Coordinate Transformation
4. Experimental Results and Analysis
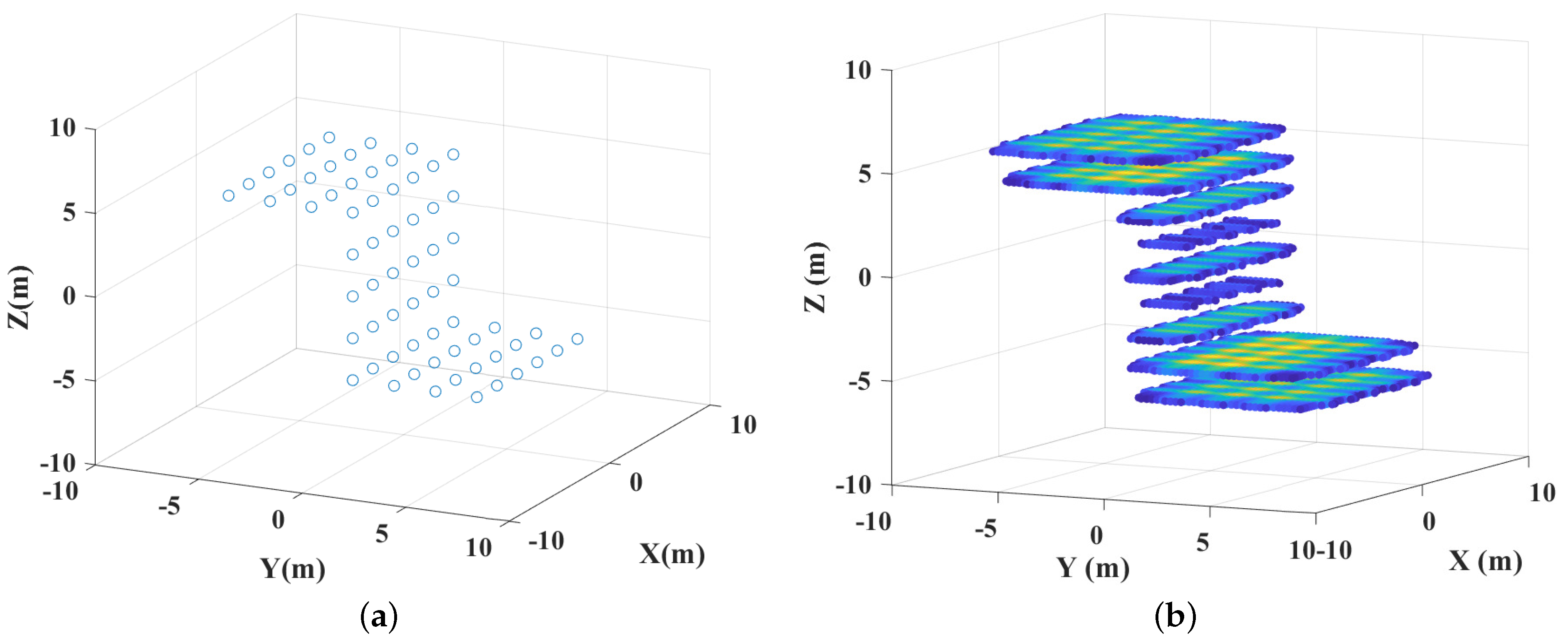
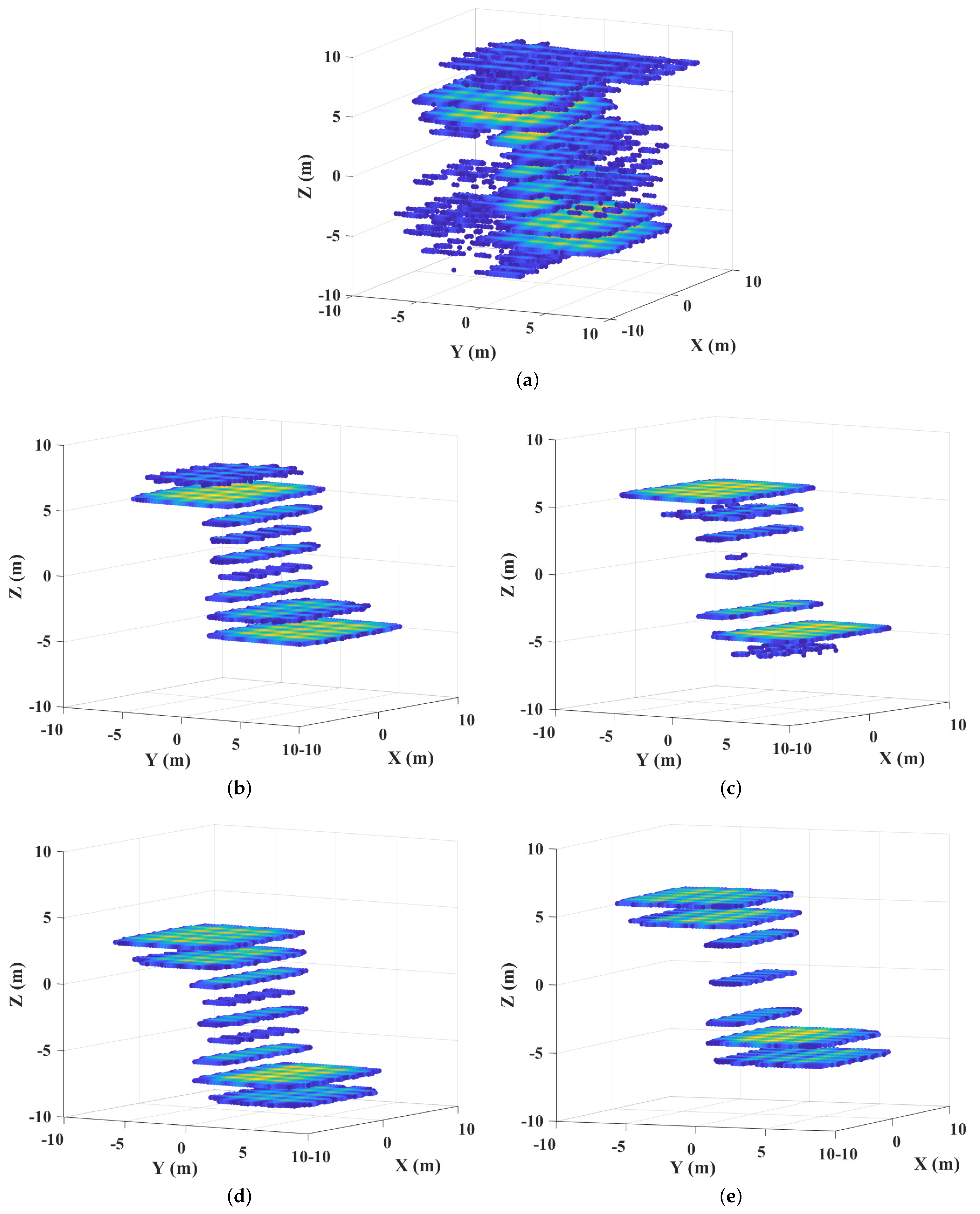
4.1. Three-Dimensional Imaging Capability Experiment
4.2. Phase Error Calibration Experiment
4.2.1. Experiment for Simple Targets and Scenarios
4.2.2. Experiment for Complex Targets and Natural Scenes
5. Discussion
5.1. Analysis of BiSAR Projection
5.2. Calculation of Projection Angle and Incident Angle
5.3. Computational Complexity
6. Conclusions
Author Contributions
Funding
Data Availability Statement
Acknowledgments
Conflicts of Interest
References
- Budillon, A.; Evangelista, A.; Schirinzi, G. Three-dimensional SAR focusing from multipass signals using compressive sampling. IEEE Trans. Geosci. Remote Sens. 2011, 49, 488–499. [Google Scholar] [CrossRef]
- Reigber, A.; Moreira, A. First demonstration of airborne SAR tomography using multibaseline L-band data. IEEE Trans. Geosci. Remote Sens. 2000, 38, 2142–2152. [Google Scholar] [CrossRef]
- Schmitt, M.; Zhu, X.X. Demonstration of single-pass millimeterwave SAR tomography for forest volumes. IEEE Trans. Geosci. Remote Sens. Lett. 2016, 13, 202–206. [Google Scholar] [CrossRef]
- Rambour, C.; Budillon, A.; Johnsy, A.C.; Denis, L.; Tupin, F.; Schirinzi, G. From interferometric to tomographic SAR: A review of synthetic aperture radar tomography-processing techniques for scatterer unmixing in urban areas. IEEE Geosci. Remote Sens. Mag. 2020, 8, 6–29. [Google Scholar] [CrossRef]
- Wu, Z.; Xie, H.; Gao, T.; Zhang, Y.; Liu, H. Moving target shadow detection method based on improved ViBe in VideoSAR images. IEEE J. Sel. Topics Appl. Earth Observ. Remote Sens. 2024, 17, 14575–14587. [Google Scholar] [CrossRef]
- Liu, H.; Xie, H.; Gao, T.; Yi, S.; Zhang, Y. High-precision imaging and dense vehicle target detection method for airborne single-pass circular synthetic aperture radar. IEEE J. Sel. Topics Appl. Earth Observ. Remote Sens. 2024, 17, 15330–15343. [Google Scholar] [CrossRef]
- Zhu, J.; Xie, Z.; Jiang, N.; Song, Y.; Han, S.; Liu, W.; Huang, X. Delay-doppler map shaping through oversampled complementary sets for high speed target detection. Remote Sens. 2024, 16, 2898. [Google Scholar] [CrossRef]
- Zhu, J.; Song, Y.; Jiang, N.; Xie, Z.; Fan, C.; Huang, X. Enhanced doppler resolution and sidelobe suppression performance for Golay complementary waveforms. Remote Sens. 2023, 15, 2452. [Google Scholar] [CrossRef]
- Xie, Z.; Wu, L.; Zhu, J.; Lops, M.; Huang, X.; Shankar, B. RIS-aided radar for target detection: Clutter region analysis and joint active-passive design. IEEE Trans. Signal Process. 2024, 72, 1706–1723. [Google Scholar] [CrossRef]
- Xie, Z.; Xu, Z.; Fan, C.; Han, S.; Zhu, J.; Huang, X. Modulus constrained minimax radar code design against target interpulse fluctuation. IEEE Trans. Veh. Technol. 2023, 72, 13671–13676. [Google Scholar] [CrossRef]
- Zhu, J.; Yin, T.; Guo, W.; Zhang, B.; Zhou, Z. An Underwater Target Azimuth Trajectory Enhancement Approach in BTR. Appl. Acoust. 2025, 230, 110373. [Google Scholar] [CrossRef]
- Fornaro, G.; Serafino, F.; Soldovieri, F. Three-dimensional focusing with multipass SAR data. IEEE Trans. Geosci. Remote Sens. 2003, 41, 507–517. [Google Scholar] [CrossRef]
- Knaell, K. Three-dimensional SAR from curvilinear apertures. In Proceedings of the 1996 IEEE National Radar Conference, Ann Arbor, MI, USA, 13–16 May 1996; pp. 220–225. [Google Scholar]
- She, Z.; Gray, D.A.; Bogner, R.E.; Homer, J.; Longstaff, I.D. Three-dimensional space-borne synthetic aperture radar (SAR) imaging with multiple pass processing. Int. J. Remote Sens. 2002, 23, 4357–4382. [Google Scholar] [CrossRef]
- Casteel, C.H., Jr.; Gorham, L.A.; Minardi, M.J.; Scarborough, S.M.; Naidu, K.D.; Majumder, U.K. A challenge problem for 2D/3D imaging of targets from a volumetric data set in an urban environment. In Proceedings of the Algorithms for Synthetic Aperture Radar Imagery XIV, Orlando, FL, USA, 10–11 April 2007; Volume 6568, pp. 97–103. [Google Scholar]
- Ponce, O.; Prats, P.; Scheiber, R.; Reigber, A.; Moreira, A. Polarimetric 3-D reconstruction from multicircular SAR at P-band. In Proceedings of the 2012 IEEE International Geoscience and Remote Sensing Symposium, Munich, Germany, 22–27 July 2012; pp. 3130–3133. [Google Scholar]
- Zhu, X.X.; Bamler, R. Tomographic SAR inversion by L1- norm regularization—The compressive sensing approach. IEEE Trans. Geosci. Remote Sens. 2010, 48, 3839–3846. [Google Scholar] [CrossRef]
- Zhu, X.X.; Bamler, R. Super-resolution power and robustness of compressive sensing for spectral estimation with application to spaceborne tomographic SAR. IEEE Trans. Geosci. Remote Sens. 2012, 50, 247–258. [Google Scholar] [CrossRef]
- Duque, S.; López-Dekker, P.; Mallorquí, J.J.; Nashashibi, A.Y.; Patel, A.M. Experimental results with bistatic SAR tomography. In Proceedings of the 2009 IEEE International Geoscience and Remote Sensing Symposium, Cape Town, South Africa, 12–17 July 2009; pp. II–37–II–40. [Google Scholar]
- Hu, C.; Zhang, B.; Dong, X.; Li, Y. Geosynchronous SAR tomography: Theory and first experimental verification using Beidou IGSO satellite. IEEE Trans. Geosci. Remote Sens. 2019, 57, 6591–6607. [Google Scholar] [CrossRef]
- Ge, N.; Zhu, X.X. Bistatic-like differential SAR tomography. IEEE Trans. Geosci. Remote Sens. 2019, 57, 5883–5893. [Google Scholar] [CrossRef]
- Wahl, D.E.; Eichel, P.; Ghiglia, D.; Jakowatz, C. Phase gradient autofocus-a robust tool for high resolution SAR phase correction. IEEE Trans. Aerosp. Electron. Syst. 1994, 30, 827–835. [Google Scholar] [CrossRef]
- Feng, D.; An, D.; Huang, X.; Li, Y. A phase calibration method based on phase gradient autofocus for airborne holographic SAR imaging. IEEE Geosci. Remote Sens. Lett. 2019, 16, 1864–1868. [Google Scholar] [CrossRef]
- Lu, H.; Zhang, H.; Fan, H.; Liu, D.; Wang, J.; Wan, X.; Zhao, L.; Deng, Y.; Zhao, F.; Wang, R. Forest height retrieval using P-band airborne multi-baseline SAR data: A novel phase compensation method. ISPRS J. Photogramm. Remote Sens. 2021, 175, 99–118. [Google Scholar] [CrossRef]
- Huang, F.; Feng, D.; Hua, Y.; Ge, S.; He, J.; Huang, X. Phase Calibration in Holographic Synthetic Aperture Radar: An Innovative Method for Vertical Shift Correction. Remote Sens. 2024, 16, 2728. [Google Scholar] [CrossRef]
- Fienup, J.R.; Miller, J.J. Aberration correction by maximizing generalized sharpness metrics. J. Opt. Soc. Am. A 2003, 20, 609–620. [Google Scholar] [CrossRef]
- Morrison, R.L.; Do, M.N.; Munson, D.C. SAR image autofocus by sharpness optimization: A theoretical study. IEEE Trans. Image Process. 2007, 16, 2309–2321. [Google Scholar] [CrossRef] [PubMed]
- Pardini, M.; Papathanassiou, K.; Bianco, V.; Iodice, A. Phase calibration of multibaseline SAR data based on a minimum entropy criterion. In Proceedings of the 2012 IEEE International Geoscience and Remote Sensing Symposium, Munich, Germany, 22–27 July 2012; pp. 5198–5201. [Google Scholar]
- Aghababaee, H.; Fornaro, G.; Schirinzi, G. Phase calibration based on phase derivative constrained optimization in multibaseline SAR tomography. IEEE Trans. Geosci. Remote Sens. 2018, 56, 6779–6791. [Google Scholar] [CrossRef]
- Ash, J.N. An autofocus method for backprojection imagery in synthetic aperture radar. IEEE Trans. Geosci. Remote Sens. Lett. 2012, 9, 104–108. [Google Scholar] [CrossRef]
- Xie, H.; An, D.; Huang, X.; Zhou, Z. Fast factorized back projection algorithm based on elliptical polar coordinate for one-stationary bistatic low frequency UWB SAR imaging. Acta Elec. Sin. 2014, 42, 462–468. [Google Scholar]
- Ferretti, A.; Prati, C.; Rocca, F. Permanent scatterers in SAR interferometry. IEEE Trans. Geosci. Remote Sens. 2001, 39, 8–20. [Google Scholar] [CrossRef]
- Wang, D.; Zhang, F.; Chen, L.; Li, Z.; Yang, L. The calibration method of multi-channel spatially varying amplitude-phase inconsistency errors in airborne array TomoSAR. Remote Sens. 2023, 15, 3032. [Google Scholar] [CrossRef]
- De Macedo, K.A.C.; Scheiber, R.; Moreira, A. An autofocus approach for residual motion errors with application to airborne repeat-pass SAR interferometry. IEEE Trans. Geosci. Remote Sens. 2008, 46, 3151–3162. [Google Scholar] [CrossRef]
- Tebaldini, S.; Guarnieri, A.M. On the role of phase stability in SAR multibaseline applications. IEEE Trans. Geosci. Remote Sens. 2010, 48, 2953–2966. [Google Scholar] [CrossRef]
- Iribe, K.; Papathanassiou, K.; Hajnsek, I.; Sato, M.; Yokota, Y. Coherent scatterer in forest environment: Detection, properties and its applications. In Proceedings of the 2010 IEEE International Geoscience and Remote Sensing Symposium, Honolulu, HI, USA, 25–30 July 2010; pp. 3247–3250. [Google Scholar]
- Lu, H.; Sun, J.; Wang, J.; Wang, C. A novel phase compensation method for urban 3D reconstruction using SAR tomography. Remote Sens. 2022, 14, 4071. [Google Scholar] [CrossRef]
- Yang, W.; Zhu, D. Multi-circular SAR three-dimensional image formation via group sparsity in adjacent sub-apertures. Remote Sens. 2022, 14, 3945. [Google Scholar] [CrossRef]



















| Parameter | Value |
|---|---|
| Center frequency | 9.375 GHz |
| Bandwidth | 100 MHz |
| Sampling rate | 120 MHz |
| Pulse repetition frequency | 300 Hz |
| Transmitting station height | 500 m |
| Receiving station height (Reference trajectory) | 10 km |
| Receiving station speed | 100 m/s |
| Number of Receiving station trajectories | 25 |
| Trajectory interval | 20 m |
| Expected Values | Point Targets | ||||||
|---|---|---|---|---|---|---|---|
| A | B | C | D | E | |||
| Range | IRW (m) | 1.39 | 1.40 | 1.41 | 1.45 | 1.45 | 1.42 |
| PSLR (dB) | −13.2 | −13.32 | −13.20 | −13.29 | −13.48 | −13.09 | |
| ISLR (dB) | −10 | −10.54 | −10.61 | −10.86 | −10.90 | −10.78 | |
| Azimuth | IRW (m) | 0.65 | 0.66 | 0.66 | 0.66 | 0.66 | 0.66 |
| PSLR (dB) | −13.2 | −13.27 | −13.26 | −13.27 | −13.26 | −13.27 | |
| ISLR (dB) | −10 | −10.13 | −10.12 | −10.13 | −10.13 | −10.12 | |
| Elevation | IRW (m) | 1.50 | 1.23 | 1.22 | 1.23 | 1.23 | 1.22 |
| PSLR (dB) | −13.2 | −12.85 | −12.89 | −12.93 | −12.90 | −12.93 | |
| ISLR (dB) | −10 | −9.79 | −9.82 | −9.71 | −9.77 | −9.76 | |
| True position (m) | (−10, −10, 4) | (−10, 10, −4) | (10, −10, −4) | (10, 10, 4) | (0, 0, 0) | ||
| Focusing position (m) | (−10.00, −9.86, 4.33) | (−10.00, 10.06, −3.90) | (10.06, −10.00, −3.90) | (10.06, 10.20, 4.33) | (0.06, 0.14, 0.26) | ||
| Methods | Without Calibration | PGA Method | ISOA Method | BF-PGA Method | Proposed Method |
|---|---|---|---|---|---|
| IE | 10.62 | 9.27 | 9.15 | 9.29 | 8.63 |
| IC | 4.09 | 8.30 | 8.74 | 7.71 | 9.21 |
| Methods | Without Calibration | PGA Method | ISOA Method | BF-PGA Method | Proposed Method |
|---|---|---|---|---|---|
| IE | 11.04 | 9.72 | 9.73 | 9.67 | 9.26 |
| IC | 5.45 | 10.94 | 10.32 | 11.03 | 11.76 |
Disclaimer/Publisher’s Note: The statements, opinions and data contained in all publications are solely those of the individual author(s) and contributor(s) and not of MDPI and/or the editor(s). MDPI and/or the editor(s) disclaim responsibility for any injury to people or property resulting from any ideas, methods, instructions or products referred to in the content. |
© 2025 by the authors. Licensee MDPI, Basel, Switzerland. This article is an open access article distributed under the terms and conditions of the Creative Commons Attribution (CC BY) license (https://creativecommons.org/licenses/by/4.0/).
Share and Cite
He, J.; Xie, H.; Liu, H.; Wu, Z.; Xu, B.; Zhu, N.; Lu, Z.; Qin, P. Multi-Baseline Bistatic SAR Three-Dimensional Imaging Method Based on Phase Error Calibration Combining PGA and EB-ISOA. Remote Sens. 2025, 17, 363. https://doi.org/10.3390/rs17030363
He J, Xie H, Liu H, Wu Z, Xu B, Zhu N, Lu Z, Qin P. Multi-Baseline Bistatic SAR Three-Dimensional Imaging Method Based on Phase Error Calibration Combining PGA and EB-ISOA. Remote Sensing. 2025; 17(3):363. https://doi.org/10.3390/rs17030363
Chicago/Turabian StyleHe, Jinfeng, Hongtu Xie, Haozong Liu, Zhitao Wu, Bin Xu, Nannan Zhu, Zheng Lu, and Pengcheng Qin. 2025. "Multi-Baseline Bistatic SAR Three-Dimensional Imaging Method Based on Phase Error Calibration Combining PGA and EB-ISOA" Remote Sensing 17, no. 3: 363. https://doi.org/10.3390/rs17030363
APA StyleHe, J., Xie, H., Liu, H., Wu, Z., Xu, B., Zhu, N., Lu, Z., & Qin, P. (2025). Multi-Baseline Bistatic SAR Three-Dimensional Imaging Method Based on Phase Error Calibration Combining PGA and EB-ISOA. Remote Sensing, 17(3), 363. https://doi.org/10.3390/rs17030363

