Sign in to use this feature.

Years

Between: -

Subjects

remove_circle_outline
remove_circle_outline
remove_circle_outline
remove_circle_outline
remove_circle_outline
remove_circle_outline
remove_circle_outline
remove_circle_outline
remove_circle_outline

Journals

remove_circle_outline
remove_circle_outline
remove_circle_outline
remove_circle_outline
remove_circle_outline
remove_circle_outline
remove_circle_outline
remove_circle_outline
remove_circle_outline
remove_circle_outline
remove_circle_outline
remove_circle_outline
remove_circle_outline
remove_circle_outline
remove_circle_outline

Article Types

Countries / Regions

remove_circle_outline
remove_circle_outline
remove_circle_outline
remove_circle_outline
remove_circle_outline

Search Results (1,094)

Search Parameters:
Keywords = attentional allocation

Order results
Result details
Results per page
Select all
Export citation of selected articles as:
19 pages, 574 KB  
Article
Transforming Rural Livelihoods Through Land Consolidation: Evidence from China’s High-Standard Farmland Construction Policy
by Xiaoyan Han, Shuqing Cao, Jiahui Xiao, Jie Lyu and Guanqiu Yin
Agriculture 2025, 15(21), 2202; https://doi.org/10.3390/agriculture15212202 (registering DOI) - 23 Oct 2025
Abstract
Rural livelihood transformation is increasingly vital for achieving agricultural modernization, reducing poverty, and promoting sustainable development in developing countries. Despite growing attention to land consolidation as a tool for improving agricultural resource allocation and productivity, its role in shaping rural livelihoods remains insufficiently [...] Read more.
Rural livelihood transformation is increasingly vital for achieving agricultural modernization, reducing poverty, and promoting sustainable development in developing countries. Despite growing attention to land consolidation as a tool for improving agricultural resource allocation and productivity, its role in shaping rural livelihoods remains insufficiently understood. Addressing this gap, this study investigates the impacts of China’s High-Standard Farmland Construction (HFC), the country’s flagship land consolidation policy, on farmers’ livelihoods, focusing on both income level and income structure. Using provincial panel data from 30 regions, we adopt a continuous difference-in-differences design and mediation effect model to identify the causal effects of HFC. The results indicate that HFC significantly promotes total household income. Specifically, HFC facilitates mechanized agricultural production by consolidating fragmented plots, reducing production costs, and improving crop yields, thereby increasing agricultural income. Simultaneously, mechanization substitutes for labor and releases surplus workers, who often move to off-farm employment, diversifying income sources and stabilizing household livelihoods. Heterogeneity analysis reveals that the benefits of HFC are unevenly distributed. Low-income households, central provinces, and major grain-producing areas experience the greatest gains, and moderate-scale implementation proves more effective than either small- or excessively large-scale projects. This study highlights mechanization as a key mechanism linking land consolidation to rural livelihood transformation. The findings demonstrate that well-planned and efficiently implemented HFC policies can not only enhance agricultural productivity but also foster diversified and inclusive rural livelihoods. Full article
(This article belongs to the Section Agricultural Economics, Policies and Rural Management)
Show Figures

Figure 1

23 pages, 731 KB  
Article
Research on Dynamic Hyperparameter Optimization Algorithm for University Financial Risk Early Warning Based on Multi-Objective Bayesian Optimization
by Yu Chao, Nur Fazidah Elias, Yazrina Yahya and Ruzzakiah Jenal
Forecasting 2025, 7(4), 61; https://doi.org/10.3390/forecast7040061 - 22 Oct 2025
Abstract
Financial sustainability in higher education is increasingly fragile due to policy shifts, rising costs, and funding volatility. Legacy early-warning systems based on static thresholds or rules struggle to adapt to these dynamics and often overlook fairness and interpretability—two essentials in public-sector governance. We [...] Read more.
Financial sustainability in higher education is increasingly fragile due to policy shifts, rising costs, and funding volatility. Legacy early-warning systems based on static thresholds or rules struggle to adapt to these dynamics and often overlook fairness and interpretability—two essentials in public-sector governance. We propose a university financial risk early-warning framework that couples a causal-attention Transformer with Multi-Objective Bayesian Optimization (MBO). The optimizer searches a constrained Pareto frontier to jointly improve predictive accuracy (AUC↑), fairness (demographic parity gap, DP_Gap↓), and computational efficiency (time↓). A sparse kernel surrogate (SKO) accelerates convergence in high-dimensional tuning; a dual-head output (risk probability and health score) and SHAP-based attribution enhance transparency and regulatory alignment. On multi-year, multi-institution data, the approach surpasses mainstream baselines in AUC, reduces DP_Gap, and yields expert-consistent explanations. Methodologically, the design aligns with LLM-style time-series forecasting by exploiting causal masking and long-range dependencies while providing governance-oriented explainability. The framework delivers earlier, data-driven signals of financial stress, supporting proactive resource allocation, funding restructuring, and long-term planning in higher education finance. Full article
Show Figures

Figure 1

28 pages, 1459 KB  
Article
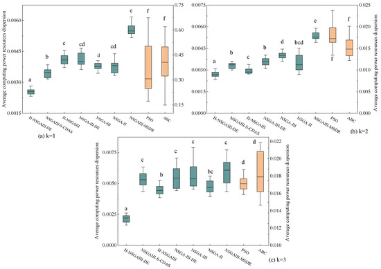
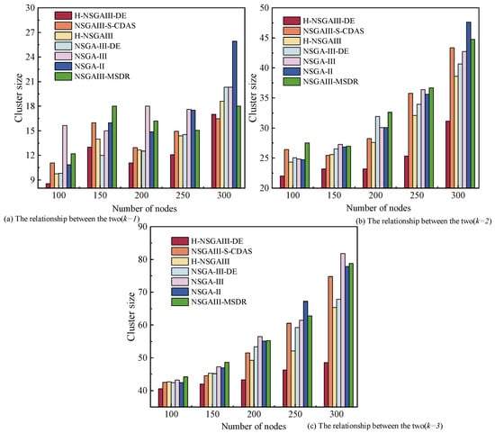
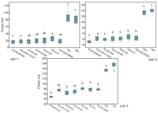
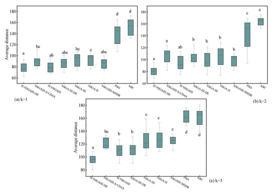
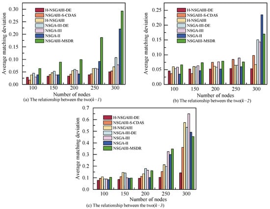
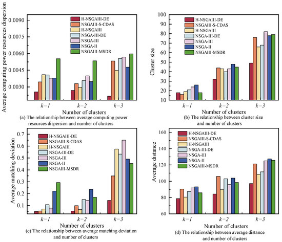
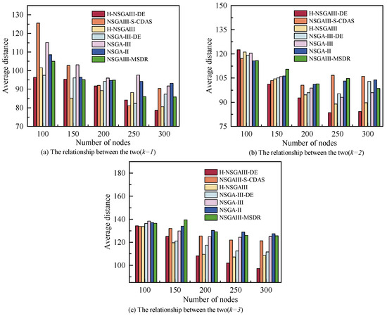
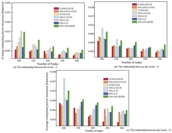
Research on Computing Power Resources-Based Clustering Methods for Edge Computing Terminals
by Jian Wang, Jiali Li, Xianzhi Cao, Chang Lv and Liusong Yang
Appl. Sci. 2025, 15(20), 11285; https://doi.org/10.3390/app152011285 - 21 Oct 2025
Abstract
In the “cloud–edge–end” three-tier architecture of edge computing, the cloud, edge layer, and end-device layer collaborate to enable efficient data processing and task allocation. Certain computation-intensive tasks are decomposed into subtasks at the edge layer and assigned to terminal devices for execution. However, [...] Read more.
In the “cloud–edge–end” three-tier architecture of edge computing, the cloud, edge layer, and end-device layer collaborate to enable efficient data processing and task allocation. Certain computation-intensive tasks are decomposed into subtasks at the edge layer and assigned to terminal devices for execution. However, existing research has primarily focused on resource scheduling, paying insufficient attention to the specific requirements of tasks for computing and storage resources, as well as to constructing terminal clusters tailored to the needs of different subtasks.This study proposes a multi-objective optimization-based cluster construction method to address this gap, aiming to form matched clusters for each subtask. First, this study integrates the computing and storage resources of nodes into a unified concept termed the computing power resources of terminal nodes. A computing power metric model is then designed to quantitatively evaluate the heterogeneous resources of terminals, deriving a comprehensive computing power value for each node to assess its capability. Building upon this model, this study introduces an improved NSGA-III (Non-dominated Sorting Genetic Algorithm III) clustering algorithm. This algorithm incorporates simulated annealing and adaptive genetic operations to generate the initial population and employs a differential mutation strategy in place of traditional methods, thereby enhancing optimization efficiency and solution diversity. The experimental results demonstrate that the proposed algorithm consistently outperformed the optimal baseline algorithm across most scenarios, achieving average improvements of 18.07%, 7.82%, 15.25%, and 10% across the four optimization objectives, respectively. A comprehensive comparative analysis against multiple benchmark algorithms further confirms the marked competitiveness of the method in multi-objective optimization. This approach enables more efficient construction of terminal clusters adapted to subtask requirements, thereby validating its efficacy and superior performance. Full article
(This article belongs to the Section Computing and Artificial Intelligence)
Show Figures

Figure 1

28 pages, 7150 KB  
Article
Distress-Level Prediction of Pavement Deterioration with Causal Analysis and Uncertainty Quantification
by Yifan Sun, Qian Gao, Feng Li and Yuchuan Du
Appl. Sci. 2025, 15(20), 11250; https://doi.org/10.3390/app152011250 - 21 Oct 2025
Viewed by 182
Abstract
Pavement performance prediction serves as a core basis for maintenance decision-making. Although numerous studies have been conducted, most focus on road segments and aggregate indicators such as IRI and PCI, with limited attention to the daily deterioration of individual distresses. Subject to the [...] Read more.
Pavement performance prediction serves as a core basis for maintenance decision-making. Although numerous studies have been conducted, most focus on road segments and aggregate indicators such as IRI and PCI, with limited attention to the daily deterioration of individual distresses. Subject to the combined influence of multiple factors, pavement distress deterioration exhibits pronounced nonlinear and time-lag characteristics, making distress-level predictions prone to disturbances and highly uncertain. To address this challenge, this study investigates the distress-level deterioration of three representative distresses—transverse cracks, alligator cracks, and potholes—with causal analysis and uncertainty quantification. Based on two years of high-frequency road inspection data, a continuous tracking dataset comprising 164 distress sites and 9038 records was established using a three-step matching algorithm. Convergent cross mapping was applied to quantify the causal strength and lag days of environmental factors, which were subsequently embedded into an encoder–decoder framework to construct a BayesLSTM model. Monte Carlo Dropout was employed to approximate Bayesian inference, enabling probabilistic characterization of predictive uncertainty and the construction of prediction intervals. Results indicate that integrating causal and time-lag characteristics improves the model’s capacity to identify key drivers and anticipate deterioration inflection points. The proposed BayesLSTM achieved high predictive accuracy across all three distress types, with a prediction interval coverage of 100%, thereby enhancing the reliability of prediction by providing both deterministic results and interval estimates. These findings facilitate the identification of high-risk distresses and their underlying mechanisms, offering support for rational allocation of maintenance resources. Full article
(This article belongs to the Special Issue New Technology for Road Surface Detection, 2nd Edition)
Show Figures

Figure 1

28 pages, 1792 KB  
Article
A Method for Batch Allocation of Equipment Maintenance Tasks Considering Dynamic Importance
by Mingjie Jiang, Tiejun Jiang, Lijun Guo and Shaohua Liu
Appl. Sci. 2025, 15(20), 11233; https://doi.org/10.3390/app152011233 - 20 Oct 2025
Viewed by 93
Abstract
Aiming at the problem that existing equipment importance evaluation methods fail to consider interconnectivity between pieces of equipment, variability after maintenance, and the impact of dynamically changing situations on importance, and focusing on the dynamic support needs of equipment in a conflict environment, [...] Read more.
Aiming at the problem that existing equipment importance evaluation methods fail to consider interconnectivity between pieces of equipment, variability after maintenance, and the impact of dynamically changing situations on importance, and focusing on the dynamic support needs of equipment in a conflict environment, this paper proposes a batch allocation method for equipment maintenance tasks considering dynamic importance. The purpose of this study is to determine the batch priority of equipment maintenance based on the dynamically changing importance of pieces of equipment. First, a dynamic importance index system is constructed: a real-time CRITIC-AHP combined weighting method is used to calculate team importance, a dynamic Bayesian network (DBN)-influenced method is used to calculate relative importance, an attention–LSTM time-series prediction method is used to calculate future importance, and then a dynamic entropy weight method is adopted to objectively integrate the three types of importance. Second, a dual-objective optimization model with the maximum equipment importance and the minimum total maintenance time is built, with mobile distance, maintenance time, and maintenance capacity as constraints. The Dynamic Particle Swarm Optimization (DPSO) algorithm is used to solve this model, and its dynamic adaptability is improved through environmental change detection and adaptive adjustment of inertia weight. Finally, the batch allocation of maintenance tasks is realized. Example verification shows that compared with the expert scoring method, the errors of the three importance calculation methods are all reduced by more than 60%, the optimization speed of the dynamic PSO algorithm is 47% faster than that of the static algorithm, and the constructed model has good stability. This method can provide a reference for maintenance support command decisions. Full article
Show Figures

Figure 1

24 pages, 1326 KB  
Article
Multi-Attribute Decision-Making Model for Security Perception in Smart Apartments from a User Experience Perspective
by Jingbo Zhang and Shuxuan Meng
Urban Sci. 2025, 9(10), 430; https://doi.org/10.3390/urbansci9100430 - 19 Oct 2025
Viewed by 206
Abstract
With an aging population and the widespread adoption of smart technologies, elderly residents’ perceived safety in smart apartments has become a critical determinant of their quality of life and their acceptance of technology. However, much of the current research remains confined to either [...] Read more.
With an aging population and the widespread adoption of smart technologies, elderly residents’ perceived safety in smart apartments has become a critical determinant of their quality of life and their acceptance of technology. However, much of the current research remains confined to either technical or psychological dimensions, with insufficient attention to the systematic interactions among multiple factors as experienced by elderly populations. This study aims to systematically evaluate and optimize the living environments of older adults, with the goal of enhancing their overall quality of life and subjective well-being. This study employs the DANP–mV model to empirically analyze the safety perception of older adults in smart apartments, integrating case-based investigation and evaluation to propose targeted optimization strategies and improvement pathways. Unlike traditional approaches that treat criteria as independent, this hybrid model reveals the interdependencies among factors and establishes a more realistic prioritization of improvement actions. The study found that, compared with merely reinforcing physical security measures, factors such as enhanced remote security support, a stronger sense of control and coping confidence, and higher satisfaction with the protective system exert a more fundamental influence on the overall safety perception. These results demonstrate that adopting a systems-thinking approach shifts the focus of decision-making from superficial safety risks to underlying causal drivers, thereby mitigating resource allocation imbalances and enhancing the effectiveness and sustainability of safety improvement measures. Full article
Show Figures

Figure 1

17 pages, 770 KB  
Article
Eccentric Quasi-Isometric Exercise Produces Greater Impulse with Less Pain than Isokinetic Heavy–Slow Resistance Exercise in Ankle Plantar Flexors: Quasi-Randomized Controlled Trial
by Luka Križaj, Žiga Kozinc and Nejc Šarabon
Appl. Sci. 2025, 15(20), 11177; https://doi.org/10.3390/app152011177 - 18 Oct 2025
Viewed by 164
Abstract
Recently, there has been growing interest in optimizing exercise protocols in sports training and rehabilitation, with particular attention to eccentric quasi-isometric (EQI) contractions, which involve maintaining joint position until isometric failure and then resisting the subsequent eccentric phase. Evidence directly comparing EQI with [...] Read more.
Recently, there has been growing interest in optimizing exercise protocols in sports training and rehabilitation, with particular attention to eccentric quasi-isometric (EQI) contractions, which involve maintaining joint position until isometric failure and then resisting the subsequent eccentric phase. Evidence directly comparing EQI with other contraction modes remains scarce. This quasi-randomized controlled trial examined the short-term effects of EQI versus isokinetic heavy–slow resistance (IHSR) exercises on ankle plantar flexors, focusing on pain, range of motion (RoM), and strength performance. Thirty-two physically active participants were allocated to EQI (n = 16) or IHSR (n = 16) groups and assessed at baseline, immediately post-exercise, and 24 and 48 h later. Both groups performed three exercise sets with 3 min breaks. The protocols were designed to approximate matched loading, based on preliminary testing. Nevertheless, the EQI group achieved a significantly greater total impulse (p = 0.028), a shorter time under tension (p = 0.001), and lower effort scores (p < 0.001). Group × time analysis revealed less decline in maximal voluntary isometric contraction torque (p = 0.002; η2 = 0.16), as well as lower general (p < 0.001; η2 = 0.32) and activity-related pain (p < 0.001; η2 = 0.32) in the EQI group, with no significant differences in dorsiflexion RoM (p = 0.893). In conclusion, EQI produced a higher torque impulse while inducing less fatigue and post-exercise pain than IHSR, suggesting it may be a more efficient loading strategy for the ankle plantar flexors. The results contribute to the understanding of contraction-specific efficiency, and may inform the design of future training and rehabilitation protocols targeting the ankle plantar flexors. Full article
Show Figures

Figure 1

39 pages, 1709 KB  
Article
Harnessing Machine Learning to Analyze Renewable Energy Research in Latin America and the Caribbean
by Javier De La Hoz-M, Edwan A. Ariza-Echeverri, John A. Taborda, Diego Vergara and Izabel F. Machado
Information 2025, 16(10), 906; https://doi.org/10.3390/info16100906 - 16 Oct 2025
Viewed by 258
Abstract
The transition to renewable energy is essential for mitigating climate change and promoting sustainable development, particularly in Latin America and the Caribbean (LAC). Despite its vast potential, the region faces structural and economic challenges that hinder a sustainable energy transition. Understanding scientific production [...] Read more.
The transition to renewable energy is essential for mitigating climate change and promoting sustainable development, particularly in Latin America and the Caribbean (LAC). Despite its vast potential, the region faces structural and economic challenges that hinder a sustainable energy transition. Understanding scientific production in this field is key to shaping policy, investment, and technological progress. The primary objective of this study is to conduct a large-scale, data-driven analysis of renewable energy research in LAC, mapping its thematic evolution, collaboration networks, and key research trends over the past three decades. To achieve this, machine learning-based topic modeling and network analysis were applied to examine research trends in renewable energy in LAC. A dataset of 18,780 publications (1994–2024) from Scopus and Web of Science was analyzed using Latent Dirichlet Allocation (LDA) to uncover thematic structures. Network analysis assessed collaboration patterns and regional integration in research. Findings indicate a growing focus on solar, wind, and bioenergy advancements, alongside increasing attention to climate change policies, energy storage, and microgrid optimization. Artificial intelligence (AI) applications in energy management are emerging, mirroring global trends. However, research disparities persist, with Brazil, Mexico, and Chile leading output while smaller nations remain underrepresented. International collaborations, especially with North America and Europe, play a crucial role in research development. Renewable energy research supports Sustainable Development Goals (SDGs) 7 (Affordable and Clean Energy) and 13 (Climate Action). Despite progress, challenges remain in translating research into policy and addressing governance, financing, and socio-environmental factors. AI-driven analytics offer opportunities for improved energy planning. Strengthening regional collaboration, increasing research investment, and integrating AI into policy frameworks will be crucial for advancing the energy transition in LAC. This study provides evidence-based insights for policymakers, researchers, and industry leaders. Full article
(This article belongs to the Special Issue Feature Papers in Information in 2024–2025)
Show Figures

Figure 1

24 pages, 2291 KB  
Article
Achieving Computational Symmetry: A Novel Workflow Task Scheduling and Resource Allocation Method for D2D Cooperation
by Xianzhi Cao, Chang Lv, Jiali Li and Jian Wang
Symmetry 2025, 17(10), 1746; https://doi.org/10.3390/sym17101746 - 16 Oct 2025
Viewed by 286
Abstract
With the rapid advancement of mobile edge computing and Internet of Things (IoT) technologies, device-to-device (D2D) cooperative computing has garnered significant attention due to its low latency and high resource utilization efficiency. However, workflow task scheduling in D2D networks poses considerable challenges, such [...] Read more.
With the rapid advancement of mobile edge computing and Internet of Things (IoT) technologies, device-to-device (D2D) cooperative computing has garnered significant attention due to its low latency and high resource utilization efficiency. However, workflow task scheduling in D2D networks poses considerable challenges, such as severe heterogeneity in device resources and complex inter-task dependencies, which may result in low resource utilization and inefficient scheduling, ultimately breaking the computational symmetry—a balanced state of computational resource allocation among terminal devices and load balance across the network. To address these challenges and restore system-level symmetry, a novel workflow task scheduling method tailored for D2D cooperative environments is proposed. First, a Non-dominated Sorting Genetic Algorithm (NSGA) is employed to optimize the allocation of computational resources across terminal devices, maximizing the overall computing capacity while achieving a symmetrical and balanced resource distribution. A scoring mechanism and a normalization strategy are introduced to accurately assess the compatibility between tasks and processors, thereby enhancing resource utilization during scheduling. Subsequently, task priorities are determined based on the calculation of each task’s Shapley value, ensuring that critical tasks are scheduled preferentially. Finally, a hybrid algorithm integrating Q-learning with Asynchronous Advantage Actor–Critic (A3C) is developed to perform precise and adaptive task scheduling, improving system load balancing and execution efficiency. Extensive simulation results demonstrate that the proposed method outperforms state-of-art methods in both energy consumption and response time, with improvements of 26.34% and 29.98%, respectively, underscoring the robustness and superiority of the proposed method. Full article
(This article belongs to the Section Computer)
Show Figures

Figure 1

22 pages, 1127 KB  
Article
The Impact of Supply Chain Digitization on Corporate Green Transformation: A Perspective Based on Carbon Disclosure
by Jia Xue, Peng Gao, Youshi He and Hanyang Xu
Sustainability 2025, 17(20), 9132; https://doi.org/10.3390/su17209132 - 15 Oct 2025
Viewed by 344
Abstract
Green transformation is becoming key for corporate sustainability in the context of global carbon neutrality goals and China’s “dual carbon” strategy (peak carbon emissions and carbon neutrality). Digital transformation, particularly supply chain digitization, plays a significant role in green transformation. Corporations could improve [...] Read more.
Green transformation is becoming key for corporate sustainability in the context of global carbon neutrality goals and China’s “dual carbon” strategy (peak carbon emissions and carbon neutrality). Digital transformation, particularly supply chain digitization, plays a significant role in green transformation. Corporations could improve environmental performance through appropriate resource allocation. Much academic and practical attention is drawn to this area to motivate corporate green transformation. This research proposes to explore the incentive effect of supply chain digitization on corporate green transformation and analyze the mediation mechanism of carbon information disclosure and the regulatory effect of external investor supervision. The study samples Chinese A-share listed firms between 2012 and 2024, constructs a moderated mediation effect model, and arrives at the following conclusions: (1) The digitization of the supply chain significantly stimulates the green transformation of public firms, indicating that digital technology promotes the green development of enterprises through optimizing supply chain management and improving environmental governance efficiency; (2) Carbon information disclosure plays a partial intermediary role between supply chain digitization and corporate green transformation, that is, supply chain digitization enhances the quality of carbon information disclosure and further strengthens the willingness and ability of enterprises to undergo green transformation; (3) The positive regulatory effect of external supervision on carbon information disclosure by investors indicates that external regulatory pressure can enhance the transmission effect of carbon information disclosure on corporate green transformation; (4) Heterogeneity analysis shows that supply chain digitization has a more significant incentive effect on green transformation for manufacturing firms, state-owned enterprises, and high-polluting enterprises, indicating that industry attributes, property rights, and environmental regulation intensity affect the effectiveness of digital green transformation. Full article
(This article belongs to the Section Environmental Sustainability and Applications)
Show Figures

Figure 1

16 pages, 1574 KB  
Article
Enhancing Neural Efficiency in Competitive Golfers: Effects of Slow Cortical Potential Neurofeedback on Modulation of Beta Activity—An Exploratory Randomized Controlled Trial
by Eugenio Lizama, Luciana Lorenzon, Carolina Pereira and Miguel A. Serrano
NeuroSci 2025, 6(4), 104; https://doi.org/10.3390/neurosci6040104 - 14 Oct 2025
Viewed by 958
Abstract
Background: Neural efficiency theory proposes that expert athletes optimize brain resource allocation and functioning. Beta band oscillations are associated with attention, motor preparation, and emotional control, reflecting adaptive patterns of reduced cortical energy expenditure (absolute power) and greater temporal precision (peak frequency). Slow [...] Read more.
Background: Neural efficiency theory proposes that expert athletes optimize brain resource allocation and functioning. Beta band oscillations are associated with attention, motor preparation, and emotional control, reflecting adaptive patterns of reduced cortical energy expenditure (absolute power) and greater temporal precision (peak frequency). Slow cortical potential (SCP) neurofeedback has emerged as a method to train voluntary cortical regulation, yet its application in sports—particularly in precision-demanding disciplines such as golf—remains underexplored. The aim of this study was to evaluate the effects of SCP neurofeedback on beta band activity in competitive golfers. Methods: Forty-two golfers were randomly assigned to either an intervention group (n = 21), which completed 16 SCP neurofeedback sessions (2560 trials), or a control group (n = 21). SCP activity was measured during activation and deactivation trials, while EEG beta oscillations were analyzed in terms of peak frequency and absolute power at C3, O2, F8, and T5. These sites were chosen for their relevance to golf: C3 (motor execution), O2 (visual processing), F8 (inhibitory and emotional control), and T5 (visuospatial integration). Results: The intervention group showed significant increases in positive SCP trials, reflecting improved voluntary cortical inhibition. Peak frequency increased in Beta 1 (C3) and Beta 2 (O2), while absolute power decreased at F8 and T5, which seems to indicate a reduced cortical overload and enhanced visuospatial integration. Conclusions: SCP neurofeedback modulated beta activity in golfers, enhancing neural efficiency and supporting its potential as an innovative tool to optimize performance in precision sports. Full article
Show Figures

Figure 1

25 pages, 8808 KB  
Article
Beyond Shade Provision: Pedestrians’ Visual Perception of Street Tree Canopy Structure Characteristics in Guangzhou City, China
by Jiawei Wang, Jie Hu and Yuan Ma
Forests 2025, 16(10), 1576; https://doi.org/10.3390/f16101576 - 13 Oct 2025
Viewed by 376
Abstract
This study examines the impact of canopy structural characteristics on pedestrians’ visual perception and psychophysiological responses along four roads in the subtropical city of Guangzhou: Huadi Avenue, Jixiang Road, Yuejiang Middle Road, and Huan Dao Road. A Canopy Structural Index (CSI) was innovatively [...] Read more.
This study examines the impact of canopy structural characteristics on pedestrians’ visual perception and psychophysiological responses along four roads in the subtropical city of Guangzhou: Huadi Avenue, Jixiang Road, Yuejiang Middle Road, and Huan Dao Road. A Canopy Structural Index (CSI) was innovatively developed by integrating tree height, crown width, diffuse non-interceptance, and leaf area index, establishing a five-tier quantitative grading system. The study used multimodal data fusion techniques combined with heart rate variability (HRV) analysis and eye-tracking experiments to quantitatively decipher the patterns of autonomic nervous regulation and visual attention allocation under different levels of CSI. The results demonstrate that CSI levels are significantly correlated with psychological relaxation states: as CSI levels increase, time-domain HRV metrics (SDNN and RMSSD) rise by 15%–43%, while the frequency-domain metric (LF/HF) decreases by 31%, indicating enhanced parasympathetic activity and a transition from stress to relaxation. Concurrently, the allocation of visual attention toward canopies intensifies. The proportion of fixation duration increases to nearly 50%, and the duration of the first fixation extends by 0.3–0.8 s. The study proposes CSI ≤ 0.15 as an optimization threshold, offering scientific guidance for designing and pruning subtropical urban street tree canopies. Full article
(This article belongs to the Section Urban Forestry)
Show Figures

Graphical abstract

31 pages, 7893 KB  
Article
A Capacity Optimization Method of Ship Integrated Power System Based on Comprehensive Scenario Planning: Considering the Hydrogen Energy Storage System and Supercapacitor
by Fanzhen Jing, Xinyu Wang, Yuee Zhang and Shaoping Chang
Energies 2025, 18(19), 5305; https://doi.org/10.3390/en18195305 - 8 Oct 2025
Viewed by 319
Abstract
Environmental pollution caused by shipping has always received great attention from the international community. Currently, due to the difficulty of fully electrifying medium- and large-scale ships, the hybrid energy ship power system (HESPS) will be the main type in the future. Considering the [...] Read more.
Environmental pollution caused by shipping has always received great attention from the international community. Currently, due to the difficulty of fully electrifying medium- and large-scale ships, the hybrid energy ship power system (HESPS) will be the main type in the future. Considering the economic and long-term energy efficiency of ships, as well as the uncertainty of the output power of renewable energy units, this paper proposes an improved design for an integrated power system for large cruise ships, combining renewable energy and a hybrid energy storage system. An energy management strategy (EMS) based on time-gradient control and considering load dynamic response, as well as an energy storage power allocation method that considers the characteristics of energy storage devices, is designed. A bi-level power capacity optimization model, grounded in comprehensive scenario planning and aiming to optimize maximum return on equity, is constructed and resolved by utilizing an improved particle swarm optimization algorithm integrated with dynamic programming. Based on a large-scale cruise ship, the aforementioned method was investigated and compared to the conventional planning approach. It demonstrates that the implementation of this optimization method can significantly decrease costs, enhance revenue, and increase the return on equity from 5.15% to 8.66%. Full article
Show Figures

Figure 1

19 pages, 4088 KB  
Article
Analysis of P300 Evoked Potentials to Determine Pilot Cognitive States
by Germán Rodríguez-Bermúdez, Benjamin Naret and Ana Rita Teixeira
Sensors 2025, 25(19), 6201; https://doi.org/10.3390/s25196201 - 7 Oct 2025
Viewed by 471
Abstract
The P300 evoked potential, recorded via electroencephalography, serves as a relevant marker of attentional allocation and cognitive workload. This work extracts and analyzes event-related potentials that reflect variations in the cognitive state of military pilots during a complex simulated flight scenario coupled with [...] Read more.
The P300 evoked potential, recorded via electroencephalography, serves as a relevant marker of attentional allocation and cognitive workload. This work extracts and analyzes event-related potentials that reflect variations in the cognitive state of military pilots during a complex simulated flight scenario coupled with simultaneous mental arithmetic tasks. The experiment was conducted at the Academia General del Aire (Spain) with 14 military pilots using a high-fidelity flight simulator. The experimental protocol involved dynamic flight instructions combined with arithmetic tasks designed to elicit varying cognitive loads. The results revealed a significant decrease in P300 amplitude across successive sessions, indicating a progressive reduction in attentional engagement due to task habituation and increased cognitive automaticity. Concurrently, P300 latency for correct responses decreased significantly, demonstrating enhanced efficiency in cognitive stimulus evaluation over repeated exposure. However, incorrect responses failed to yield robust results due to an insufficient number of trials. These findings validate the use of P300 as an objective indicator of cognitive workload variations in realistic aviation contexts. Full article
Show Figures

Figure 1

21 pages, 327 KB  
Article
Does Local Government Green Attention Promote Green Total Factor Productivity?
by Xiaowen Wang and Xuyou Wang
Sustainability 2025, 17(19), 8884; https://doi.org/10.3390/su17198884 - 6 Oct 2025
Viewed by 393
Abstract
Improving green total factor productivity (GTFP) is critical for balancing economic benefits and ecological constraints. While most existing studies emphasize the pivotal role of governments in GTFP enhancement, they predominantly treat governments as homogeneous entities, overlooking the fundamental premise of local government attention [...] Read more.
Improving green total factor productivity (GTFP) is critical for balancing economic benefits and ecological constraints. While most existing studies emphasize the pivotal role of governments in GTFP enhancement, they predominantly treat governments as homogeneous entities, overlooking the fundamental premise of local government attention allocation. Analyzing 2010–2020 data from 285 Chinese cities, this study reveals that increased local government green attention significantly stimulates GTFP through three channels: fostering green technology collaboration among firms, deepening green involvement of public research institutions, and elevating green innovation quality. Heterogeneity analyses demonstrate amplified effects in cities characterized by intense intergovernmental competition, stringent intellectual property protection, robust fiscal capacity, and advanced technological infrastructure, but attenuated impacts in resource-dependent regions with heavy reliance on extractive industries. Full article
Back to TopTop