The Impact of Supply Chain Digitization on Corporate Green Transformation: A Perspective Based on Carbon Disclosure
Abstract
1. Introduction
- (1)
- Considering accelerating the green transformation process, how does supply chain digitization promote the development of corporate green innovation?
- (2)
- When companies are committed to enhancing green innovation, can digital supply chain significantly promote carbon information disclosure by improving data transparency, optimizing processes, and enhancing collaboration?
- (3)
- In the process of corporate green innovation, external pressures need to be considered. Can investor external monitoring play a significant moderating role between carbon information disclosure and corporate green transformation?
- (4)
- Does investor external monitoring indirectly affect the level of green transformation by regulating the connection between supply chain digitization and carbon information disclosure?
- (1)
- Most previous scholars focus on researching the green transformation of enterprises from a single perspective [6,7,8,9]. This research creatively considers the influence of supply chain digitization on enterprise green transformation from the multiple angles of investors, enterprises, and supply chains. This article finds that investor attention can raise the performance of carbon information disclosure and enhance the digital level of supply chain, thereby promoting the process of green innovation. These findings provide significant insight into the effect of supply chain digitization on corporate green transformation.
- (2)
- This article regards the innovation and application of supply chain pilot policies as quasi-natural experiments, which can effectively solve the problems that national policies cannot quantify and thus reasonably evaluate the influence of supply chain digitization on the green transformation of Chinese public firms. This finding offers a valuable reference for firms when considering the supply chain digitization.
- (3)
- By comparison, this article reveals that supply chain digitization may affect green transformation of different enterprises from both horizontal and vertical perspectives. This discovery provides a more targeted reference for listed firms of different industry types and equity types.
- (4)
- This research highlights the external impact of the digital supply chain on the improvement of green transformation. Especially for public firms with good performance of carbon information disclosure, the external regulatory effect on investors is more significant. Hence, this study aims to comprehensively evaluate the external and internal factors of supply chain digitization and corporate green transformation.
2. Literature Review and Hypotheses Development
2.1. The Transmission Mechanism of Supply Chain Digitization on Corporate Green Transformation
2.2. The Mediating Effect of Carbon Information Disclosure and Supply Chain Digitization for Corporate Green Transformation
2.3. The Mediating Effect of Strengthening Carbon Information Disclosure Through External Investor Regulation
3. Methodology
3.1. Data Collection
- (1)
- Sample firms with missing data were eliminated from the model analysis.
- (2)
- ST (Special Treatment) companies facing financial difficulties or delisting risks have been delisted.
- (3)
- Financial companies were excluded due to their unique operational characteristics and accounting standards.
3.2. Sample Analysis
- (1)
- Industry type: This study divides Chinese listed companies into manufacturing and non-manufacturing industries. This classification method can better distinguish the different impacts of the digital supply chain on manufacturing and non-manufacturing corporate green transformation, especially considering the important role of manufacturing in corporate environmental performance [32,33].
- (2)
- Ownership structure: The sample firms are divided into state-owned enterprises and non-state-owned enterprises. This classification verifies the influence of green supply chain policies on listed companies. Compared to non-state-owned enterprises, state-owned enterprises may deal with more severe regulatory pressure and resource allocation, so the implementation effect of green transformation strategies on state-owned firms would be more significant [6,7,8].
- (3)
- Pollution level: According to the “Industry Classification Guidelines for Listed Companies” issued by the China Securities Regulatory Commission, the sample companies are divided into 6428 high polluting enterprises and 22,225 non-high polluting enterprises. For high polluting enterprises, investors have higher requirements for the quality of carbon information disclosure. Therefore, strong supervision will be more conducive to the incentive influence of supply chain digitization on green transformation of public firms [34,35].
3.3. Variable Description
- (1)
- Explained Variable: Corporate green transformation. Referring to the previous research, Zhang et al. (2021) pointed out that corporate green transformation was measured by the level of Ongoing Innovation Performance in Green Practices (OIP) [1]. OIP is calculated by comparing the number of pre- and post-Ongoing Innovation in Green Patent Applications (OIN). The green patent application of Chinese listed firms comes from the Corporate Green Patent Data in the CNRDS database. The calculated formula of OIP is as follows.
- (2)
- Explanatory Variable: Digitization of Supply Chain through Digital Identification (DID). Chen et al. (2019) explained that DID emphasized the use of digital technology to improve the transparency, traceability, and efficiency of the supply chain [8]. In 2018, the Chinese government announced a batch of pilot listed companies participating in supply chain digitization [6,7,8]. This study refers to Zhang’s view (2021) of the supply chain policy as a quasi-natural experiment and applies the double difference approaches to divide the pilot enterprises and the pilot policy time separately and multiply them to represent the explanatory variable of DID, which is the interaction variable between time and treat [6]. In the empirical process, if the enterprise is on the pilot list, the dummy variable “treat” is 1 and classified as the treatment group; on the contrary, if it is 0 then it is classified as the control group. Similarly, if the observation sample is after the implementation of the pilot policy, the dummy variable “time” is 1, otherwise it is 0. The model coefficient of the DID variable reflects the policy effect of supply chain digitization. If the coefficient is positive, it indicates that supply chain digitization has improved the sustained green innovation level of enterprises. Otherwise, it will reduce the sustained green innovation level of enterprises.
- (3)
- Mediating Variable: Carbon information disclosure (CDP). Based on stakeholder theory and signal theory, carbon information disclosure is a significant signal for public firms to communicate their environmental performance, which can influence their green transformation decisions and behaviors. This study uses CDP as a mediator variable to explain how supply chain digitization promotes the internal path of green transformation for enterprises by increasing data transparency and external supervision pressure. The data for carbon disclosure indicators comes from publicly released corporate social responsibility reports of listed companies in the Csmar database.
- (4)
- Moderating Variable: investor external monitoring (IEM). This study selects IEM as the moderating variable to reveal how the external governance environment affects the mechanism of supply chain digitization to promote green transformation of enterprises through carbon information disclosure. The data for investor supervision of listed companies comes from the digital data of investor Q&A in the CNRDS database. The higher investor Q&A represents the greater regulatory intensity of investors on listed companies.
- (5)
- Control Variable: This study refers to the research of Li. (2020), Zhang et al. (2021), and Wessel et al. (2021) and selects the following variables that may affect corporate green transformation, including asset liability ratio (Lev), dual, total asset growth rate (assetgrowth), the value of Tobin’s Q (tobinq), and the equity of Herfindahl3 (herfindahl3) [6,11,19]. The variable description of this research is described in Table 1.
3.4. Moderated Mediation Model
- (1)
- Two-way fixed effects difference-in-differences model
- (2)
- Mediation effect model
- (3)
- Moderated mediation effect model
4. Empirical Results
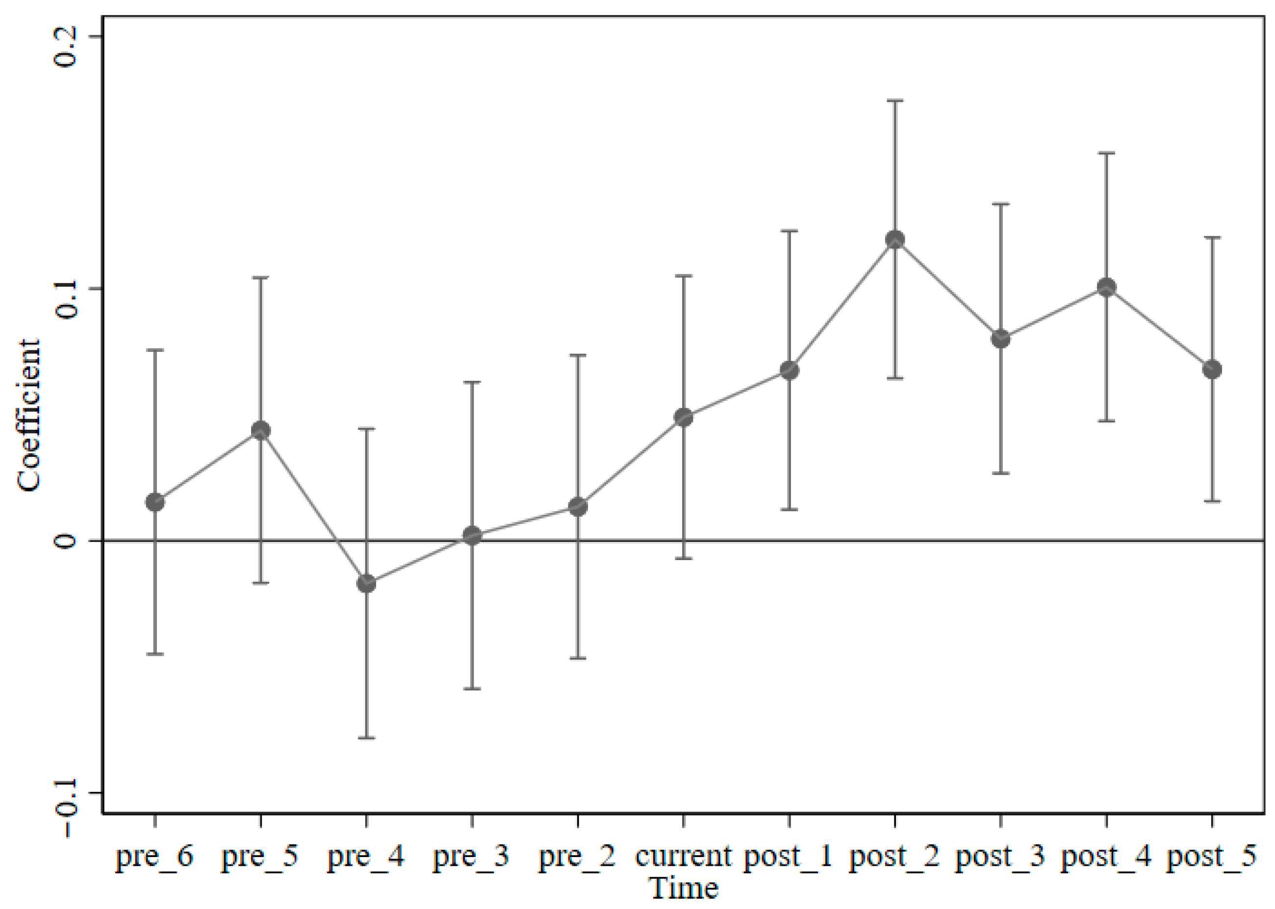
4.1. Parallel Trend Test
4.2. Two-Way Fixed Effects Difference-in-Differences Regression
4.3. Robustness Test
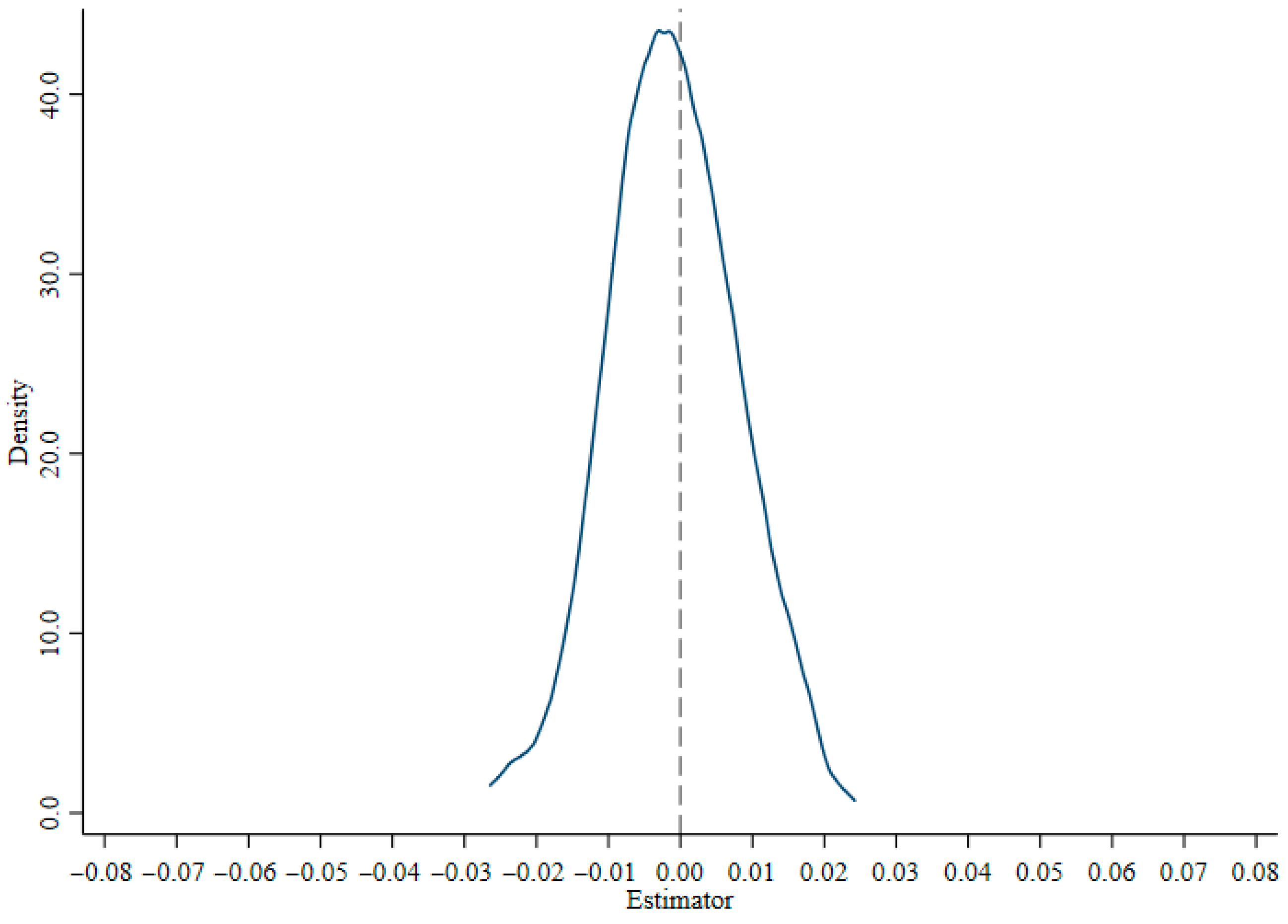
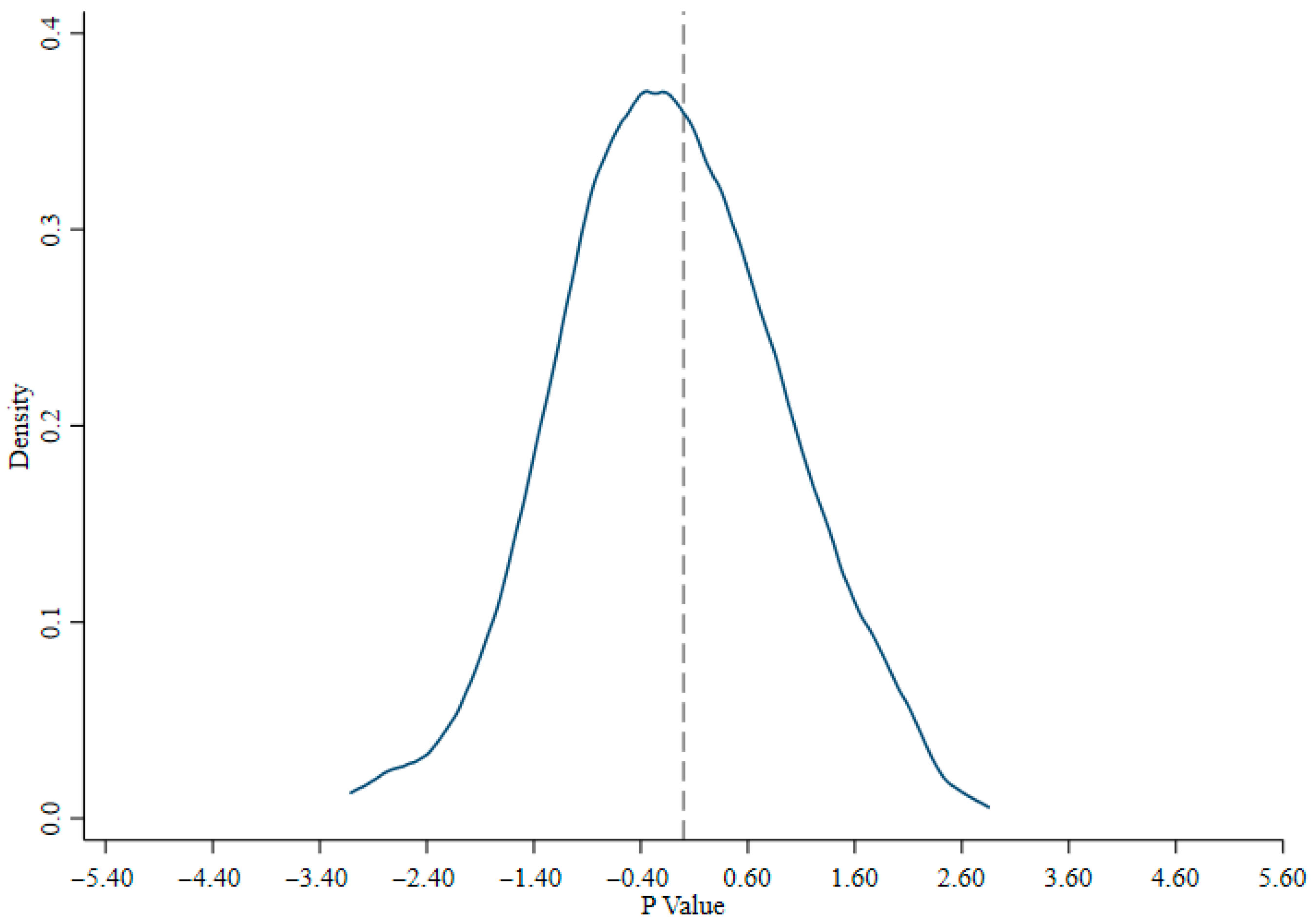
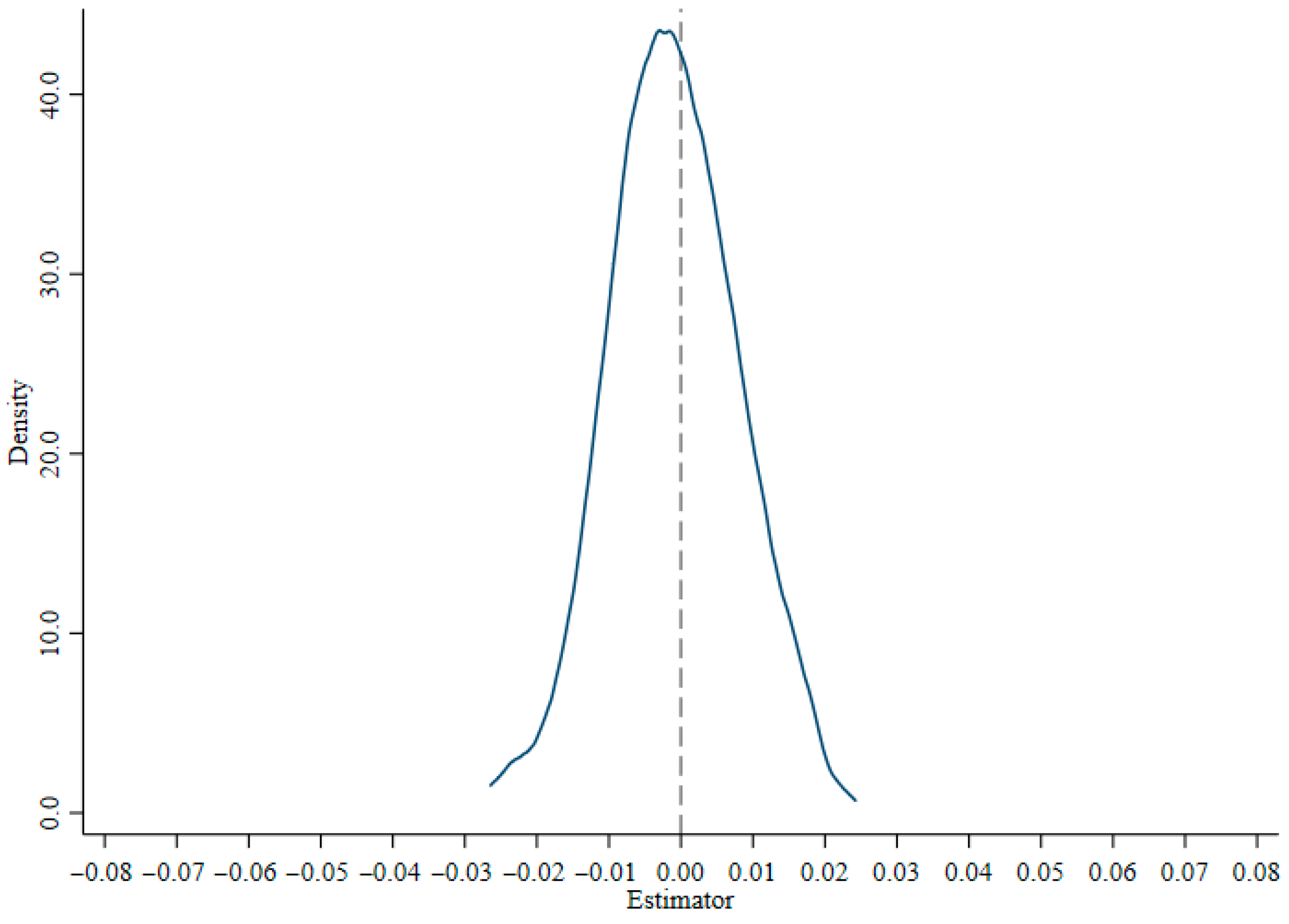
4.3.1. Placebo Test
4.3.2. Increase Control Variables
4.3.3. PSM-DID
4.3.4. Replace the Explained Variable
4.3.5. Instrumental Variable Test
4.4. Analysis of Enterprise Heterogeneity
4.4.1. Horizontal Heterogeneity Analysis
- (1)
- Corporate scale
- (2)
- Operational capacity
- (3)
- Ownership nature
- (4)
- Equity structure association
4.4.2. Vertical Heterogeneity Analysis
- (1)
- Manufacturing and non-manufacturing enterprises
- (2)
- Polluting and non-polluting firms
4.5. Empirical Analysis of the Impact Path
4.5.1. Mediation Effect Test
4.5.2. Moderated Mediation Effect Test
5. Theoretical, Practical, and Managerial Implications
5.1. Theoretical and Research Implications
5.2. Practical Implications
5.3. Managerial Implications
6. Conclusions, Suggestions, and Limitations for Future Studies
- (1)
- Listed firms should attach great importance to the policy effects of supply chain innovation in the process of corporate green transformation, especially the digital effects of supply chains in state-owned enterprises, manufacturing enterprises, and heavy-polluting enterprises.
- (2)
- The Chinese government should pay attention to the significantly positive influence of supply chain innovation policies on the green transformation of manufacturing firms while also enhancing the carbon information disclosure of enterprises. Relevant government departments can formulate clear environmental regulations and adopt differentiated supervision for different types of enterprises.
- (3)
- Investors of highly polluting listed companies need to strengthen external supervision of their environmental performance, recognizing the significance of improving supply chain digitization for green transformation and focusing on the quality of carbon information disclosure in annual reports.
Author Contributions
Funding
Institutional Review Board Statement
Informed Consent Statement
Data Availability Statement
Conflicts of Interest
References
- Abdalla, S.; Nakagawa, K. The interplay of digital transformation and collaborative innovation on supply chain ambidexterity. Technol. Innov. Manag. Rev. 2021, 11, 45–56. [Google Scholar] [CrossRef]
- Fischer, M.; Imgrund, F.; Janiesch, C.; Winkelmann, A. Strategy archetypes for digital transformation: Defining meta objectives using business process management. Inf. Manag. 2020, 57, 103262. [Google Scholar] [CrossRef]
- Golmohammadi, A.; Kraft, T.; Monemian, S. Setting the deadline and the penalty policy for a new environmental standard. Eur. J. Oper. Res. 2024, 315, 88–101. [Google Scholar] [CrossRef]
- Shahzad, K.; Cheema, I.I. Low-carbon technologies in automotive industry and decarbonizing transport. J. Power Sources 2024, 591, 233888. [Google Scholar] [CrossRef]
- Schöggl, J.P.; Baumgartner, R.J.; O’Reilly, C.J.; Bouchouireb, H.; Göransson, P. Barriers to sustainable and circular product design—A theoretical and empirical prioritisation in the European automotive industry. J. Clean. Prod. 2024, 434, 140250. [Google Scholar] [CrossRef]
- Zhang, Y.; Liu, X.; Chen, J. The impact of supply chain digitalization on corporate green transformation: Evidence from Chinese manufacturing firms. J. Clean. Prod. 2021, 315, 128234. [Google Scholar]
- Li, H.; Wang, Q. Carbon information disclosure and corporate environmental performance: A mediating role of stakeholder pressure. Sustainability 2020, 12, 2105. [Google Scholar]
- Chen, X.; Zhang, L.; Gao, Y. Investor attention and corporate environmental responsibility: Evidence from China. J. Bus. Ethics 2019, 158, 621–640. [Google Scholar]
- Moradi, M.; Sadani, M.; Shahsavani, A.; Bakhshoodeh, R.; Alavi, N. Enhancing anaerobic digestion of automotive paint sludge through biochar addition. Heliyon 2023, 24, e17640. [Google Scholar] [CrossRef]
- Verhoef, P.C.; Broekhuizen, T.; Bart, Y.; Bhattacharya, A.; Qi Dong, J.; Fabian, N.; Haenlein, M. Digital transformation: A multidisciplinary reflection and research agenda. J. Bus. Res. 2021, 122, 889–901. [Google Scholar] [CrossRef]
- Wessel, L.; Baiyere, A.; Ologeanu-Taddei, R.; Cha, J.; Blegind Jensen, T. Unpacking the difference between digital transformation and IT-enabled organizational transformation. J. Assoc. Inf. Syst. 2021, 22, 102–129. [Google Scholar] [CrossRef]
- Gupta, S.; Modgil, S.; Gunasekaran, A.; Bag, S. Dynamic capabilities and institutional theories for Industry 4.0 and digital supply chain. Supply Chain. Forum Int. J. 2020, 21, 139–157. [Google Scholar] [CrossRef]
- Flick, D.; Vruna, M.; Bartos, M.; Ji, L.; Herrmann, C.; Thiede, S. Machine learning based internal and external energy assessment of automotive factories. CIRP Ann. 2023, 72, 21–24. [Google Scholar] [CrossRef]
- Dacin, M.T.; Goodstein, J.; Scott, W.R. Institutional theory and institutional change: Introduction to the special research forum. Acad. Manag. J. 2002, 45, 45–56. [Google Scholar] [CrossRef]
- Darnall, N.; Henriques, I.; Sadorsky, P. Adopting Proactive Environmental Strategy: The Influence of Stakeholders and Firm Size. J. Manag. Stud. 2010, 47, 1072–1094. [Google Scholar] [CrossRef]
- Kazemitash, N.; Fazlollahtabar, H.; Abbaspour, M. Rough Best-Worst Method for Supplier Selection in Biofuel Companies based on Green criteria. Oper. Res. Eng. Sci. Theory Appl. 2021, 4, 1–12. [Google Scholar] [CrossRef]
- Chiou, T.Y.; Chan, H.K.; Lettice, F.; Chung, S.H. The influence of greening the suppliers and green innovation on environmental performance and competitive advantage in Taiwan. Transp. Res. Part E Logist. Transp. Rev. 2011, 47, 822–836. [Google Scholar] [CrossRef]
- Williams, B.D.; Roh, J.; Tokar, T.; Swink, M. Leveraging supply chain visibility for responsiveness: The moderating role of internal integration. J. Oper. Manag. 2013, 31, 543–554. [Google Scholar] [CrossRef]
- Li, F. Leading digital transformation: Three emerging approaches for managing the transition. Int. J. Oper. Prod. Manag. 2020, 40, 809–817. [Google Scholar] [CrossRef]
- Lampón, J.F.; Muñoz-Dueñas, P. Are sustainable mobility firms reshaping the traditional relationships in the automotive industry value Chain? J. Clean. Prod. 2023, 413, 137522. [Google Scholar] [CrossRef]
- Ahmed, W.; Moazzam, M.; Sarkar, B.; Rehman, S.U. Synergic effect of reworking for imperfect quality items with the integration of multi-period delay-in-payment and partial back ordering in global supply chains. Engineering 2021, 7, 260–271. [Google Scholar] [CrossRef]
- AlNuaimi, B.K.; Khan, M. Public-sector green procurement in the United Arab Emirates: Innovation capability and commitment to change. J. Clean. Prod. 2019, 233, 482–489. [Google Scholar] [CrossRef]
- Xue, J.; He, Y.; Liu, M.; Tang, Y.; Xu, H. Incentives for corporate environmental information disclosure in China: Public media pressure, local government supervision and interactive effects. Sustainability 2021, 13, 10016. [Google Scholar] [CrossRef]
- Porfrio, J.A.; Carrilho, T.; Felcio, J.A.; Jardim, J. Leadership characteristics and digital transformation. J. Bus. Res. 2021, 124, 610–619. [Google Scholar] [CrossRef]
- Wolff, S.; Brönner, M.; Held, M.; Lienkamp, M. Transforming automotive companies into sustainability leaders: A concept for managing current challenges. J. Clean. Prod. 2020, 276, 124179. [Google Scholar] [CrossRef]
- Ardi, A.; Djati, S.; Bernarto, I.; Sudibjo, N.; Yulianeu, A.; Nanda, H.; Nanda, K. The relationship between digital transformational leadership styles and knowledge- based empowering interaction for increasing organisational innovativeness. Int. J. Innov. Creat. Change 2020, 11, 259–277. [Google Scholar]
- Biggart, N.W.; Hamilton, G.G. An institutional theory of leadership. J. Appl. Behav. Sci. 1987, 23, 429–441. [Google Scholar] [CrossRef]
- Dey, B.K.; Pareek, S.; Tayyab, M.; Sarkar, B. Autonomation policy to control work-in-process inventory in a smart production system. Int. J. Prod. Res. 2021, 59, 1258–1280. [Google Scholar] [CrossRef]
- Granadero, D.; Garcia-Muñoz, A.; Adam, R.; Omil, F.; Feijoo, G. Evaluation of abatement options to reduce formaldehyde emissions in vehicle assembly paint shops using the Life Cycle methodology. Clean. Environ. Syst. 2023, 11, 100139. [Google Scholar] [CrossRef]
- Seman, N.A.A.; Govindan, K.; Mardani, A.; Zakuan, N.; Saman, M.Z.M.; Hooker, R.E.; Ozkul, S. The mediating effect of green innovation on the relationship between green supply chain management and environmental performance. J. Clean. Prod. 2019, 229, 115–127. [Google Scholar] [CrossRef]
- Bresciani, S.; Huarng, K.H.; Malhotra, A.; Ferraris, A. Digital transformation as a springboard for product, process and business model innovation. J. Bus. Res. 2021, 128, 204–210. [Google Scholar] [CrossRef]
- Bucay-Valdiviezo, J.; Escudero-Villa, P.; Paredes-Fierro, J.; Ayala-Chauvin, M. Leveraging Classical Statistical Methods for Sustainable Maintenance in Automotive Assembly Equipment. Sustainability 2023, 15, 15604. [Google Scholar] [CrossRef]
- Hinings, B.; Gegenhuber, T.; Greenwood, R. Digital innovation and transformation: An institutional perspective. Inf. Organ. 2018, 28, 52–61. [Google Scholar] [CrossRef]
- Scuotto, V.; Nicotra, M.; Del Giudice, M.; Krueger, N.; Gregori, G.L. A microfoundational perspective on SMEs’ growth in the digital transformation era. J. Bus. Res. 2021, 129, 382–392. [Google Scholar] [CrossRef]
- Del Giudice, M.; Scuotto, V.; Papa, A.; Tarba, S.Y.; Bresciani, S.; Warkentin, M. A Self-Tuning Model for Smart Manufacturing SMEs: Effects on Digital Innovation. J. Prod. Innov. Manag. 2021, 38, 68–89. [Google Scholar] [CrossRef]
- Correani, A.; De Massis, A.; Frattini, F.; Petruzzelli, A.M.; Natalicchio, A. Implementing a digital strategy: Learning from the experience of three digital transformation projects. Calif. Manag. Rev. 2020, 62, 37–56. [Google Scholar] [CrossRef]
- Wu, Y.; Zhang, K.; Xie, J. Bad greenwashing, good greenwashing: Corporate social responsibility and information transparency. Manag. Sci. 2020, 66, 3095–3112. [Google Scholar] [CrossRef]
- Xu, X.; Choi, T.M. Supply chain operations with online platforms under the cap-and-trade regulation: Impacts of using blockchain technology. Transp. Res. Part E Logist. Transp. Rev. 2021, 155, 102491. [Google Scholar] [CrossRef]
- Zhang, W.; Wang, H. Optimal contract design for live streaming platforms under dual asymmetric information considering corporate social responsibility. Manag. Decis. Econ. 2023, 44, 3537–3555. [Google Scholar] [CrossRef]
- Zhuge, D.; Wang, S.; Zhen, L. Shipping emission control area optimization considering carbon emission reduction. Oper. Res. 2024, 72, 1333–1351. [Google Scholar] [CrossRef]
- Yang, M. Green investment and e-commerce sales mode selection strategies with cap-and-trade regulation. Comput. Ind. Eng. 2023, 177, 109036. [Google Scholar] [CrossRef]
- McWilliams, B.; Sgaravatti, G.; Tagliapietra, S.; Zachmann, G. How would the European Union fare without Russian energy? Energy Policy 2023, 174, 113413. [Google Scholar] [CrossRef]
- Shen, B.; Dong, C.; Minner, S. Combating copycats in the supply chain with permissioned blockchain technology. Prod. Oper. Manag. 2022, 31, 13456. [Google Scholar] [CrossRef]
- Zhao, Q.; Fan, Z.P.; Sun, M. Manufacturer blockchain technology adoption strategies for different sales channels in an e-commerce platform supply chain. Transp. Res. Part E Logist. Transp. Rev. 2024, 185, 103507. [Google Scholar] [CrossRef]
- Nygaard, A.; Silkoset, R. Sustainable development and greenwashing: How blockchain technology information can empower green consumers. Bus. Strategy Environ. 2023, 32, 3801–3813. [Google Scholar] [CrossRef]








| Variable | VarName | Obs | Mean | SD | Min | Max |
|---|---|---|---|---|---|---|
| Explained Variable | OIP | 29,543 | 0.765 | 1.108 | 0.000 | 4.533 |
| Explanatory Variable | DID | 29,543 | 0.318 | 0.466 | 0.000 | 1.000 |
| Mediating Variable | CDP | 29,543 | 10.456 | 8.698 | 0.000 | 41.000 |
| Moderating Variable | IEM | 29,543 | 0.147 | 0.264 | 0.000 | 0.990 |
| Control Variable | lev | 29,543 | 0.434 | 0.216 | 0.055 | 0.964 |
| dual | 29,543 | 0.286 | 0.452 | 0.000 | 1.000 | |
| assetgrowth | 29,543 | 0.147 | 0.311 | −0.372 | 1.792 | |
| tobinq | 29,543 | 2.060 | 1.380 | 0.828 | 9.093 | |
| herfindahl3 | 29,543 | 0.146 | 0.108 | 0.013 | 0.534 |
| (1) | (2) | (3) | (4) | (5) | (6) | |
|---|---|---|---|---|---|---|
| Variable | OIP | OIP | OIP | OIP | OIP | OIP |
| DID | 0.075 *** | 0.077 *** | 0.076 *** | 0.075 *** | 0.074 *** | 0.073 *** |
| (0.014) | (0.014) | (0.014) | (0.014) | (0.014) | (0.014) | |
| lev | 0.165 *** | 0.167 *** | 0.175 *** | 0.174 *** | 0.178 *** | |
| (0.035) | (0.035) | (0.035) | (0.035) | (0.035) | ||
| dual | 0.027 ** | 0.026 * | 0.025 * | 0.024 * | ||
| (0.013) | (0.013) | (0.013) | (0.013) | |||
| assetgrowth | 0.075 *** | 0.071 *** | 0.070 *** | |||
| (0.014) | (0.014) | (0.014) | ||||
| tobinq | −0.015 *** | −0.014 *** | ||||
| (0.004) | (0.004) | |||||
| herfindahl3 | 0.207 ** | |||||
| (0.087) | ||||||
| Constant | 0.742 *** | 0.670 *** | 0.661 *** | 0.647 *** | 0.679 *** | 0.646 *** |
| (0.006) | (0.016) | (0.017) | (0.017) | (0.020) | (0.024) | |
| Observations | 29,543 | 29,543 | 29,543 | 29,543 | 29,543 | 29,543 |
| R-squared | 0.708 | 0.708 | 0.708 | 0.709 | 0.709 | 0.709 |
| code fe | Yes | Yes | Yes | Yes | Yes | Yes |
| date fe | Yes | Yes | Yes | Yes | Yes | Yes |
| Substitute the Explained Variable | Include Control Variables | PSM-DID (1:4 Nearest Neighbor Matching) | Instrumental Variable | ||
|---|---|---|---|---|---|
| (1) | (2) | (3) | (4) | (5) | |
| Variable | OIP * | OIP | OIP | OIP | OIP |
| DID | 0.066 *** | 0.076 *** | 0.083 *** | 0.134 *** | |
| (0.012) | (0.014) | (0.016) | (0.024) | ||
| DID* | 0.676 *** | ||||
| (0.005) | |||||
| lev | 0.128 *** | 0.197 *** | 0.174 *** | −0.018 | 0.171 *** |
| (0.029) | (0.043) | (0.038) | (0.013) | (0.040) | |
| assetgrowth | 0.064 *** | 0.078 *** | 0.077 *** | 0.004 | 0.026 * |
| (0.012) | (0.014) | (0.016) | (0.005) | (0.015) | |
| tobinq | −0.004 | −0.011 ** | −0.016 *** | 0.012 ** | 0.125 *** |
| (0.004) | (0.004) | (0.005) | (0.006) | (0.018) | |
| herfindahl3 | 0.117 | 0.229 *** | 0.254 *** | 0.003 * | −0.012 ** |
| (0.073) | (0.087) | (0.097) | (0.002) | (0.005) | |
| dual | −0.009 | 0.028 ** | 0.038 *** | ||
| (0.011) | (0.013) | (0.015) | |||
| dler | −0.017 | ||||
| (0.046) | |||||
| cashflow | 0.062 | ||||
| (0.068) | |||||
| property | 0.041 | ||||
| (0.026) | |||||
| Constant | 0.407 *** | 0.609 *** | 0.653 *** | 0.117 *** | 0.395 *** |
| (0.020) | (0.026) | (0.026) | (0.034) | (0.103) | |
| Observations | 29,740 | 29,740 | 25,189 | 23,676 | 23,676 |
| R-squared | 0.672 | 0.709 | 0.718 | ||
| code fe | Yes | Yes | Yes | ||
| date fe | Yes | Yes | Yes | ||
| CD Wald F | 15,534.376 | ||||
| Kleibergen-Paap_LM_S | 10,324.164 | ||||
| Corporate Scale | Operational Capacity | Ownership Nature | Equity Structure Association | |||||
|---|---|---|---|---|---|---|---|---|
| Variable | Large | Small and Median | High | Low | NSOE | SOE | Yes | No |
| (1) | (2) | (3) | (4) | (5) | (6) | (7) | (8) | |
| DID | 0.049 *** | 0.072 ** | 0.115 *** | 0.037 | 0.008 | 0.143 *** | 0.074 *** | 0.079 |
| (0.020) | (−0.022) | (0.020) | (0.024) | (0.018) | (0.026) | (0.016) | (0.040) | |
| lev | 0.671 *** | −0.212 *** | 0.077 * | 0.412 *** | 0.201 *** | 0.230 *** | 0.192 *** | −0.009 |
| (0.081) | (0.067) | (0.047) | (0.064) | (0.042) | (0.070) | (0.037) | (0.128) | |
| dual | 0.025 | 0.017 | 0.049 *** | −0.023 | 0.038 ** | 0.009 | 0.030 ** | −0.021 |
| (0.018) | (0.020) | (0.018) | (0.022) | (0.015) | (0.029) | (0.014) | (0.041) | |
| assetgrowth | −0.020 | 0.152 *** | 0.319 *** | 0.027 | 0.041 *** | 0.085 ** | 0.061 *** | 0.016 |
| (0.017) | (0.024) | (0.065) | (0.021) | (0.015) | (0.036) | (0.014) | (0.055) | |
| tobinq | −0.003 | −0.028 *** | −0.025 *** | 0.008 | −0.007 | −0.029 *** | −0.016 *** | −0.023 |
| (0.006) | (0.008) | (0.006) | (0.007) | (0.005) | (0.010) | (0.005) | (0.017) | |
| herfindahl3 | −0.236 | 0.169 | 0.091 | 0.175 | −0.123 | 0.283 * | −0.070 | 0.646 ** |
| (0.147) | (0.124) | (0.122) | (0.148) | (0.117) | (0.145) | (0.097) | (0.268) | |
| Constant | 0.415 *** | 1.070 *** | 0.676 *** | 0.593 *** | 0.591 *** | 0.792 *** | 0.555 *** | 1.222 *** |
| (0.035) | (0.049) | (0.033) | (0.042) | (0.028) | (0.049) | (0.025) | (0.082) | |
| Observations | 14,117 | 14,915 | 15,069 | 13,569 | 19,356 | 10,109 | 23,357 | 5526 |
| R-squared | 0.671 | 0.762 | 0.743 | 0.756 | 0.673 | 0.764 | 0.677 | 0.821 |
| code fe | Yes | Yes | Yes | Yes | Yes | Yes | Yes | Yes |
| date fe | Yes | Yes | Yes | Yes | Yes | Yes | Yes | Yes |
| Industry Type | Pollution Degree | |||
|---|---|---|---|---|
| Variable | Non-Manufacturing | Manufacturing | Non-Polluting | Polluting |
| (1) | (2) | (3) | (4) | |
| DID | 0.057 * | 0.085 *** | 0.072 *** | 0.038 * |
| (0.023) | (0.018) | (0.016) | (0.039) | |
| lev | 0.119 ** | 0.223 *** | 0.179 *** | 0.304 *** |
| (0.053) | (0.046) | (0.038) | (0.104) | |
| dual | 0.021 | 0.024 | 0.032 ** | −0.031 |
| (0.022) | (0.017) | (0.014) | (0.037) | |
| assetgrowth | 0.085 *** | 0.058 *** | 0.035 ** | 0.103 ** |
| (0.021) | (0.018) | (0.015) | (0.044) | |
| tobinq | −0.002 | −0.023 *** | −0.017 *** | 0.002 |
| (0.007) | (0.006) | (0.005) | (0.014) | |
| herfindahl3 | 0.526 *** | −0.038 | −0.099 | 0.409 * |
| (0.128) | (0.119) | (0.102) | (0.228) | |
| Constant | 0.495 *** | 0.747 *** | 0.575 *** | 0.985 *** |
| (0.038) | (0.031) | (0.026) | (0.070) | |
| Observations | 11,031 | 18,512 | 22,225 | 6428 |
| R-squared | 0.698 | 0.714 | 0.699 | 0.807 |
| code fe | Yes | Yes | Yes | Yes |
| date fe | Yes | Yes | Yes | Yes |
| (1) | (2) | (3) | (4) | |
|---|---|---|---|---|
| Variable | OIP | CDP | OIP | OIP |
| DID | 0.073 *** | 0.338 *** | 0.068 *** | 0.069 *** |
| (0.014) | (0.115) | (0.014) | (0.014) | |
| IEM | 0.140 | 0.020 | 0.080 ** | |
| (0.157) | (0.019) | (0.033) | ||
| CDP | 0.014 *** | 0.014 *** | ||
| (0.001) | (0.001) | |||
| CDP*IEM | 0.009 ** | |||
| (0.004) | ||||
| lev | 0.178 *** | −1.737 *** | 0.202 *** | 0.203 *** |
| (0.035) | (0.280) | (0.035) | (0.035) | |
| dual | 0.024 * | 0.106 | 0.023 * | 0.023 * |
| (0.013) | (0.107) | (0.013) | (0.013) | |
| assetgrowth | 0.070 *** | 0.796 *** | 0.059 *** | 0.059 *** |
| (0.014) | (0.113) | (0.014) | (0.014) | |
| tobinq | −0.014 *** | −0.126 *** | −0.012 *** | −0.012 *** |
| (0.004) | (0.036) | (0.004) | (0.004) | |
| herfindahl3 | 0.207 ** | 8.277 *** | 0.094 | 0.095 |
| (0.087) | (0.704) | (0.087) | (0.087) | |
| Constant | 0.646 *** | 9.986 *** | 0.505 *** | 0.500 *** |
| (0.024) | (0.193) | (0.025) | (0.025) | |
| Observations | 29,543 | 29,543 | 29,543 | 29,543 |
| R-squared | 0.709 | 0.693 | 0.712 | 0.713 |
| code fe | Yes | Yes | Yes | Yes |
| date fe | Yes | Yes | Yes | Yes |
Disclaimer/Publisher’s Note: The statements, opinions and data contained in all publications are solely those of the individual author(s) and contributor(s) and not of MDPI and/or the editor(s). MDPI and/or the editor(s) disclaim responsibility for any injury to people or property resulting from any ideas, methods, instructions or products referred to in the content. |
© 2025 by the authors. Licensee MDPI, Basel, Switzerland. This article is an open access article distributed under the terms and conditions of the Creative Commons Attribution (CC BY) license (https://creativecommons.org/licenses/by/4.0/).
Share and Cite
Xue, J.; Gao, P.; He, Y.; Xu, H. The Impact of Supply Chain Digitization on Corporate Green Transformation: A Perspective Based on Carbon Disclosure. Sustainability 2025, 17, 9132. https://doi.org/10.3390/su17209132
Xue J, Gao P, He Y, Xu H. The Impact of Supply Chain Digitization on Corporate Green Transformation: A Perspective Based on Carbon Disclosure. Sustainability. 2025; 17(20):9132. https://doi.org/10.3390/su17209132
Chicago/Turabian StyleXue, Jia, Peng Gao, Youshi He, and Hanyang Xu. 2025. "The Impact of Supply Chain Digitization on Corporate Green Transformation: A Perspective Based on Carbon Disclosure" Sustainability 17, no. 20: 9132. https://doi.org/10.3390/su17209132
APA StyleXue, J., Gao, P., He, Y., & Xu, H. (2025). The Impact of Supply Chain Digitization on Corporate Green Transformation: A Perspective Based on Carbon Disclosure. Sustainability, 17(20), 9132. https://doi.org/10.3390/su17209132
