Sign in to use this feature.

Years

Between: -

Subjects

remove_circle_outline
remove_circle_outline
remove_circle_outline
remove_circle_outline
remove_circle_outline
remove_circle_outline
remove_circle_outline
remove_circle_outline
remove_circle_outline

Journals

Article Types

Countries / Regions

Search Results (37)

Search Parameters:
Keywords = aqua fitness

Order results
Result details
Results per page
Select all
Export citation of selected articles as:
46 pages, 5390 KB  
Article
A Simulated Weather-Driven Bio-Economic Optimization Model for Agricultural Planning
by Bunnel Bernard, David Riegert, Kenzu Abdella and Suresh Narine
Mathematics 2025, 13(24), 4010; https://doi.org/10.3390/math13244010 - 16 Dec 2025
Viewed by 296
Abstract
This study develops a weather-driven bio-economic optimization framework for agricultural planning in Guyana by integrating weather simulation, crop modeling, and multi-objective optimization. Precipitation was modeled using a first-order Markov chain with fitted distribution, while temperature and relative humidity were simulated using stochastic differential [...] Read more.
This study develops a weather-driven bio-economic optimization framework for agricultural planning in Guyana by integrating weather simulation, crop modeling, and multi-objective optimization. Precipitation was modeled using a first-order Markov chain with fitted distribution, while temperature and relative humidity were simulated using stochastic differential equations. Reference evapotranspiration was estimated using an artificial neural network. These simulated weather variables were then used as inputs to AquaCrop to estimate rice, maize, and soybean yields across multiple planting intervals. A multi-objective optimization model was then applied to optimize gross profit, economic water productivity, and land use efficiency. Validation at the Rose Hall Estate showed strong accuracy for rice and maize (MAPE < 10%) and moderate accuracy for soybeans. Scenario analyses for the 2024–2025 season, assuming 25% and 50% export targets, revealed that rice–maize double cropping produced the highest profitability, while soybean–maize combinations were less favorable. The framework replaces static yield assumptions with dynamic, simulation-driven models that incorporate price forecasts and allow substitution of alternative forecasting or crop simulators to enhance precision. The scenario-based design provides a flexible decision-support platform for optimizing crop selection, planting intervals, and resource allocation under climate variability and market uncertainty. Moreover, the framework is scalable and well-suited for evidence-based agricultural planning. Full article
(This article belongs to the Section E: Applied Mathematics)
Show Figures

Figure 1

26 pages, 2897 KB  
Article
Modeling Maize Production and Water Productivity Under Deficit Irrigation and Mulching as Sustainable Agricultural Water Management Strategies in Semiarid Areas
by Messay Abera, Mekete Dessie, Hailu Kendie Addis and Desale Kidane Asmamaw
Sustainability 2025, 17(4), 1347; https://doi.org/10.3390/su17041347 - 7 Feb 2025
Cited by 6 | Viewed by 3109
Abstract
Crop simulation models serve as effective instruments for evaluating the management conditions of irrigation systems. This study aims to simulate maize production to identify optimal irrigation water management strategies under deficit irrigation and moisture conservation practices, utilizing the AquaCrop model. We conducted this [...] Read more.
Crop simulation models serve as effective instruments for evaluating the management conditions of irrigation systems. This study aims to simulate maize production to identify optimal irrigation water management strategies under deficit irrigation and moisture conservation practices, utilizing the AquaCrop model. We conducted this research at Woleh irrigation schemes during the 2023/2024 irrigation season in the Wag-himra zone of northern Ethiopia. To check how well the model worked, we used statistical tests such as prediction error (PE), root mean square error (RMSE), index of agreement (D), goodness-of-fit (R2), and the Nash–Sutcliffe coefficient of efficiency (NCE). The model effectively simulated canopy cover, aboveground biomass, and yield across all treatments, evidenced by the high R2 (0.99) and NSE (0.99) values. Furrow-irrigated raised bed planting (FRBP) at 100% and 75% ETc with mulch exhibited the lowest predicted errors and deviations in yield and water productivity. The model effectively predicted maize yield and biomass under full irrigation in FRBP at 75% ETc with mulch. The AquaCrop model serves as a dependable measure of maize crop development and outcomes across different irrigation conditions and mulch types, potentially enhancing sustainable maize productivity in water-stressed areas. Full article
Show Figures

Figure 1

12 pages, 407 KB  
Article
Impact of a 10-Week Aqua Fitness Intervention on Physical Fitness and Psychosocial Measures in Inactive Healthy Adult Women
by Athanasios A. Dalamitros, Aristotelis Kouloglou, Giorgos Nasoufidis, Kleopatra Stogiannidou, Nur Eradli and Vasiliki Manou
Healthcare 2025, 13(3), 334; https://doi.org/10.3390/healthcare13030334 - 6 Feb 2025
Cited by 1 | Viewed by 2329
Abstract
Background/objectives: Previous studies on aquatic exercises have primarily focused on either physical fitness or psychological outcomes. This study examines the effects of a structured 10-week aqua fitness program on physical fitness and psychosocial outcomes in healthy adult women. Additionally, a 4-week training [...] Read more.
Background/objectives: Previous studies on aquatic exercises have primarily focused on either physical fitness or psychological outcomes. This study examines the effects of a structured 10-week aqua fitness program on physical fitness and psychosocial outcomes in healthy adult women. Additionally, a 4-week training cessation period was incorporated to assess the sustainability of any observed physical fitness benefits. Methods: A total of 32 female participants (mean age 51.28 ± 9.12 years) with prior aqua aerobics experience engaged in supervised aqua fitness sessions, conducted three times per week (~55 min/session) at moderate intensity (RPE = 12, on a 6–20 scale). The physical fitness outcomes assessed included dominant hand grip strength, lower limb muscle endurance, dynamic balance, mobility, and upper and lower limb flexibility. The psychosocial outcomes included subjective well-being and social inclusion. Results: The results demonstrate significant improvements in dynamic balance (ES = 0.85) and lower limb flexibility (ES = 0.73 and 0.65 for the two limbs, respectively), with smaller yet notable gains observed in other physical fitness outcomes (ES = from 0.20 to 0.48). On the contrary, only a marginal improvement was detected in a single domain of subjective well-being (environmental domain, ES = 0.35) and no changes were observed across the seven domains of social inclusion. Importantly, all physical fitness gains were maintained during the 4-week training cessation period, with lower limb flexibility showing additional improvements. Conclusions: These findings underscore the effectiveness of supervised aqua fitness programs in enhancing physical fitness in middle-aged women, while their impact on psychosocial outcomes appears limited in this population. Full article
(This article belongs to the Special Issue Exercise Interventions and Testing for Effective Health Promotion)
Show Figures

Figure 1

27 pages, 2083 KB  
Article
A Wide-Angle Hyperspectral Top-of-Atmosphere Reflectance Model for the Libyan Desert
by Fuxiang Guo, Xiaobing Zheng, Yanna Zhang, Wei Wei, Zejie Zhang, Quan Zhang and Xin Li
Remote Sens. 2024, 16(8), 1406; https://doi.org/10.3390/rs16081406 - 16 Apr 2024
Cited by 4 | Viewed by 1789
Abstract
Reference targets with stability, uniformity, and known reflectance on the Earth’s surface, such as deserts, can be used for the absolute radiometric calibration of satellite sensors. A wide-angle hyperspectral reflectance model at the top of atmosphere (TOA) over such a reference target will [...] Read more.
Reference targets with stability, uniformity, and known reflectance on the Earth’s surface, such as deserts, can be used for the absolute radiometric calibration of satellite sensors. A wide-angle hyperspectral reflectance model at the top of atmosphere (TOA) over such a reference target will expand the applicability of on-orbit calibration to different spectral bands and angles. To achieve the long-term, continuous, and high-precision absolute radiometric calibration of remote sensors, a wide-angle hyperspectral TOA reflectance model of the Libyan Desert was constructed based on spectral reflectance data, satellite overpass parameters, and atmospheric parameters from the Terra/Aqua and Earth Observation-1 (EO-1) satellites between 2003 and 2012. By means of angle fitting, viewing angle grouping, and spectral extension, the model is applicable for absolute radiometric calibration of the visible to short-wave infrared (SWIR) bands for sensors within viewing zenith angles of 65 degrees. To validate the accuracy and precision of the model, a total of 3120 long-term validations of model accuracy and 949 cross-validations with the Landsat 8 Operational Land Imager (OLI) and Suomi National Polar-Orbiting Partnership (NPP) Visible Infrared Imaging Radiometer Suite (VIIRS) satellite sensors between 2013 and 2020 were conducted. The results show that the TOA reflectance calculated by the model had a standard deviation (SD) of relative differences below 1.9% and a root-mean-square error (RMSE) below 0.8% when compared with observations from the Moderate Resolution Imaging Spectroradiometer (MODIS) and Landsat 8 OLI. The SD of the relative differences and the RMSE were within 2.7% when predicting VIIRS data. Full article
(This article belongs to the Special Issue Remote Sensing Satellites Calibration and Validation)
Show Figures

Graphical abstract

13 pages, 679 KB  
Article
The Impact of a 12-Week Aqua Fitness Program on the Physical Fitness of Women over 60 Years of Age
by Katarzyna Kucia, Agnieszka Koteja, Łukasz Rydzik, Norollah Javdaneh, Arash Shams and Tadeusz Ambroży
Sports 2024, 12(4), 105; https://doi.org/10.3390/sports12040105 - 11 Apr 2024
Cited by 4 | Viewed by 3926
Abstract
Background: This study aimed to assess the impact of a 12-week Aqua Fitness program on the physical fitness of older women and emphasize sustainable health practices for aging populations. We focused on evaluating the program’s effectiveness, using the Senior Fitness Test to measure [...] Read more.
Background: This study aimed to assess the impact of a 12-week Aqua Fitness program on the physical fitness of older women and emphasize sustainable health practices for aging populations. We focused on evaluating the program’s effectiveness, using the Senior Fitness Test to measure improvements in physical capabilities. Methods: An experimental research design was implemented, with 30 participants aged 60 and older. The participants were divided into a control group and an experimental group, each comprising 15 individuals. The control group received aqua Fitness exercises, and the experimental group received aqua fitness exercises and isometric (combined) exercises. Lower limb muscle strength, upper limb muscle strength, lower body flexibility, upper body flexibility, dynamic balance, agility, and endurance were assessed using the Senior Fitness Test. Assessments were conducted pre- and post-training. Results: For a comparison within the group, combined exercises (aqua fitness and isometric exercises) had a significant effect on lower limb muscle strength, upper limb muscle strength, lower body flexibility, upper body flexibility on the right side, dynamic balance, agility, and endurance. Aqua fitness exercises alone showed significant effects on upper limb muscle strength, lower body flexibility, and endurance and no significant effects on other variables. For the comparison between groups, no significant differences were found between the effects of aqua fitness exercises and combined exercises on lower limb muscle strength, upper limb muscle strength, lower body flexibility, upper body flexibility, and endurance. Significant differences were found only in dynamic balance and agility between the two groups of aqua fitness and combined exercises. Conclusions: Although the combined program (aqua fitness and isometric exercises) had a greater effect on improving the physical fitness of older adults than aqua fitness alone, there was no significant difference between the two groups. Therefore, the results of this study highlight the potential of aqua fitness in promoting sustainable health and physical fitness in the older adult population. Full article
Show Figures

Figure 1

15 pages, 4657 KB  
Article
Estimating Cotton Yield in the Brazilian Cerrado Using Linear Regression Models from MODIS Vegetation Index Time Series
by Daniel A. B. de Siqueira, Carlos M. P. Vaz, Flávio S. da Silva, Ednaldo J. Ferreira, Eduardo A. Speranza, Júlio C. Franchini, Rafael Galbieri, Jean L. Belot, Márcio de Souza, Fabiano J. Perina and Sérgio das Chagas
AgriEngineering 2024, 6(2), 947-961; https://doi.org/10.3390/agriengineering6020054 - 9 Apr 2024
Cited by 8 | Viewed by 2905
Abstract
Satellite remote sensing data expedite crop yield estimation, offering valuable insights for farmers’ decision making. Recent forecasting methods, particularly those utilizing machine learning algorithms like Random Forest and Artificial Neural Networks, show promise. However, challenges such as validation performances, large volume of data, [...] Read more.
Satellite remote sensing data expedite crop yield estimation, offering valuable insights for farmers’ decision making. Recent forecasting methods, particularly those utilizing machine learning algorithms like Random Forest and Artificial Neural Networks, show promise. However, challenges such as validation performances, large volume of data, and the inherent complexity and inexplicability of these models hinder their widespread adoption. This paper presents a simpler approach, employing linear regression models fitted from vegetation indices (VIs) extracted from MODIS sensor data on the Terra and Aqua satellites. The aim is to forecast cotton yields in key areas of the Brazilian Cerrado. Using data from 281 commercial production plots, models were trained (167 plots) and tested (114 plots), relating seed cotton yield to nine commonly used VIs averaged over 15-day intervals. Among the evaluated VIs, Enhanced Vegetation Index (EVI) and Triangular Vegetation Index (TVI) exhibited the lowest root mean square errors (RMSE) and the highest determination coefficients (R2). Optimal periods for in-season yield prediction fell between 90 and 105 to 135 and 150 days after sowing (DAS), corresponding to key phenological phases such as boll development, open boll, and fiber maturation, with the lowest RMSE of about 750 kg ha−1 and R2 of 0.70. The best forecasts for early crop stages were provided by models at the peaks (maximum value of the VI time series) for EVI and TVI, which occurred around 80–90 DAS. The proposed approach makes the yield predictability more inferable along the crop time series just by providing sowing dates, contour maps, and their respective VIs. Full article
Show Figures

Figure 1

15 pages, 10876 KB  
Article
Safe Sowing Windows for Smallholder Farmers in West Africa in the Context of Climate Variability
by Sehouevi Mawuton David Agoungbome, Marie-Claire ten Veldhuis and Nick van de Giesen
Climate 2024, 12(3), 44; https://doi.org/10.3390/cli12030044 - 17 Mar 2024
Cited by 1 | Viewed by 3108
Abstract
Climate variability poses great challenges to food security in West Africa, a region heavily dependent on rainfall for farming. Identifying sowing strategies that minimize yield losses for farmers in the region is crucial to securing their livelihood. In this paper, we investigate three [...] Read more.
Climate variability poses great challenges to food security in West Africa, a region heavily dependent on rainfall for farming. Identifying sowing strategies that minimize yield losses for farmers in the region is crucial to securing their livelihood. In this paper, we investigate three sowing strategies to assess their ability to identify safe sowing windows for smallholder farmers in the Sudanian region of West Africa (WA) in the context of a changing climate. The GIS version of the FAO crop model, AquaCrop-GIS, is used to simulate the yield response of maize (Zea mays L.) to varying sowing dates throughout the rainy season across WA. Based on an average of 38 years of data per grid cell, we identify safe sowing windows across the Sudanian region that secure at least 90% of maximal yield. We find that current sowing strategies, based on minimum thresholds for rainfall accumulated over a period that are widely applied in the region, carry a higher risk of yield failure, especially at the beginning of the rainy season. This analysis shows that delaying sowing for a month to mid-June in the central region (east of Lon 8.5°W), and to early August in the semi-arid areas is a safer strategy that ensures optimal yields. A comparison between the periods 1982–1991 and 1992–2019 shows a negative shift for LO10 mm and LO20 mm, suggesting a wetter regime compared to the dry periods of the 1970s and 1980s. On the contrary, we observe a positive shift in the safe window strategy, highlighting the need for precautions due to erratic rainfall at the beginning of the season. The precipitation-based strategies hold a high risk, while the safe sowing window strategy, easily accessible to smallholder farmers, is more fitting, given the current climate. Full article
Show Figures

Figure 1

18 pages, 2471 KB  
Article
Linear Correlations of Gibbs Free Energy of REE Phosphates (Monazite, Xenotime, and Rhabdophane) and Internally Consistent Binary Mixing Properties
by Ruiguang Pan, Alexander P. Gysi, Artas Migdisov, Lei Gong, Peng Lu and Chen Zhu
Minerals 2024, 14(3), 305; https://doi.org/10.3390/min14030305 - 14 Mar 2024
Cited by 5 | Viewed by 2891
Abstract
Rare Earth Elements (REE) phosphates (monazite, xenotime, and rhabdophane) are critical REE-bearing minerals typically formed in hydrothermal and magmatic ore deposits. The thermodynamic properties of those REE minerals are crucial to understanding the solubility, speciation, and transport of REE complexes. However, the standard-state [...] Read more.
Rare Earth Elements (REE) phosphates (monazite, xenotime, and rhabdophane) are critical REE-bearing minerals typically formed in hydrothermal and magmatic ore deposits. The thermodynamic properties of those REE minerals are crucial to understanding the solubility, speciation, and transport of REE complexes. However, the standard-state Gibbs free energy of formation (∆G°f) values reported for these minerals in the literature vary by up to 25 kJ mol−1. Here, we present linear free energy relationships that allow the evaluation and estimation of the ∆G°f values at 25 °C and 1 bar for the three minerals from the ionic radius (rREE3+) and the non-solvation Gibbs free energy contribution to the REE3+ aqua ion (∆G°n, REE3+): ∆G°f,monazite − 399.71 rREE3+ = 1.0059 ∆G°n,REE3+ − 2522.51; ∆G°f,xenotime − 344.08 rREE3+ = 0.9909 ∆G°n,REE3+ − 2451.53; and ∆G°f,rhabdophane − 416.17 rREE3+ = 1.0067 ∆G°n, REE3+ − 2688.86. Moreover, based on the new dataset derived for REE end-members, we re-fitted the binary Margules parameter (W) from previous theoretical calculations into linear correlations: W + 0.00204 ∆G°n,monazite = 39.3549 ∆V + 0.0641; W + 0.00255 ∆G°n,xenotime = 25.4885 ∆V − 0.0062. The internally consistent thermodynamic properties of these REE phosphates are incorporated into the computer program Supcrtbl, which is available online at Zhu’s research website. Full article
(This article belongs to the Section Mineral Geochemistry and Geochronology)
Show Figures

Figure 1

20 pages, 14108 KB  
Article
Machine-Learning-Assisted Characterization of Regional Heat Islands with a Spatial Extent Larger than the Urban Size
by Yin Du, Zhiqing Xie, Lingling Zhang, Ning Wang, Min Wang and Jingwen Hu
Remote Sens. 2024, 16(3), 599; https://doi.org/10.3390/rs16030599 - 5 Feb 2024
Cited by 7 | Viewed by 3540
Abstract
Surface urban heat islands (SUHIs) can extend beyond the urban boundaries and greatly affect the thermal environment of continuous regions over an agglomeration. Traditional urban-rural dichotomy depending on the built-up and non-urban lands is challenged in characterizing regional SUHIs, such as how to [...] Read more.
Surface urban heat islands (SUHIs) can extend beyond the urban boundaries and greatly affect the thermal environment of continuous regions over an agglomeration. Traditional urban-rural dichotomy depending on the built-up and non-urban lands is challenged in characterizing regional SUHIs, such as how to accurately quantify the intensity, spatial pattern, and scales of SUHIs, which are vulnerable to SUHIs, and what the optimal scale for conducting measures to mitigate the SUHIs. We propose a machine-learning-assisted solution to address these problems based on the thermal similarity in the Yangtze River Delta of China. We first identified the regional-level SUHI zone of approximately 42,328 km2 and 38,884 km2 and the areas that have no SUHI effects from the annual cycle of land surface temperatures (LSTs) retrieved from Terra and Aqua satellites. Defining SUHI as an anomaly on background condition, random forest (RF) models were further adopted to fit the LSTs in the areas without the SUHI effects and estimate the LST background and SUHI intensity at each grid point in the SUHI zone. The RF models performed well in fitting rural LSTs with a simulation error of approximately 0.31 °C/0.44 °C for Terra/Aqua satellite data and showed a good generalization ability in estimating the urban LST background. The RF-estimated daytime Aqua/SUHI intensity peaked at approximately 6.20 °C in August, and the Terra/SUHI intensity had two peaks of approximately 3.18 and 3.81 °C in May and August, with summertime RF-estimated SUHIs being more reliable than other SUHI types owing to the smaller simulation error of less than 1.0 °C in July–September. This machine-learning-assisted solution identified an optimal SUHI scale of 30,636 km2 and a zone of approximately 23,631 km2 that is vulnerable to SUHIs, and it provided the SUHI intensity and statistical reliability for each grid point identified as being part of the SUHI. Urban planners and decision-makers can focus on the statistically reliable RF-estimated summertime intensities in SUHI zones that have an LST annual cycle similar to that of large cities in developing effective strategies for mitigating adverse SUHI effects. In addition, the selection of large cities might strongly affect the accuracy of identifying the SUHI zone, which is defined as the areas that have an LST annual cycle similar to large cities. Water bodies might reduce the RF performance in estimating the LST background over urban agglomerations. Full article
Show Figures

Figure 1

20 pages, 16247 KB  
Article
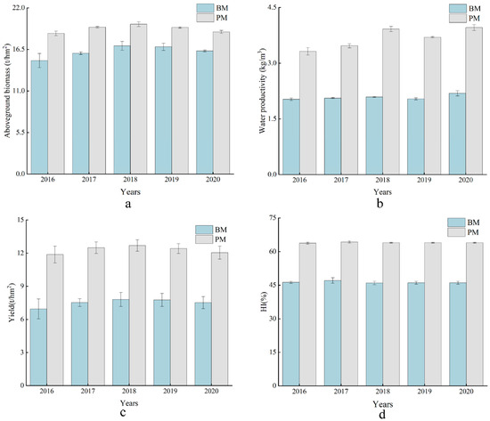
Analysis and Research on Production Effects of Full-Film Double Ridge-Furrow Mulching with Polyethylene Film and Biodegradable Film Based on AquaCrop
by Haifu Pan, Wuyun Zhao, Ruijie Shi, Lu Li, Fei Dai, Huan Deng and Yiming Zhao
Agronomy 2024, 14(1), 111; https://doi.org/10.3390/agronomy14010111 - 1 Jan 2024
Cited by 3 | Viewed by 1956
Abstract
Water is an important factor limiting the development of arid rain-fed agriculture. Film mulching is an effective way to ensure yield in arid areas. However, whether biodegradable film can be used instead of polyethylene film for agricultural production in arid areas is a [...] Read more.
Water is an important factor limiting the development of arid rain-fed agriculture. Film mulching is an effective way to ensure yield in arid areas. However, whether biodegradable film can be used instead of polyethylene film for agricultural production in arid areas is a matter of contention. In this study, AquaCrop model simulation and field experiment were used to analyze the production effect of corn whole film double ridge furrow sowing technology covering polyethylene film (PM) and biodegradable film (BM) in Dingxi City from 2016 to 2020. The results showed that the AquaCrop simulation data have a high fitting with the field test data, and the model was suitable for simulating dry farming in Dingxi City. The best sowing time in Dingxi City is to select the average temperature to be stable at about 15 °C (around 15 April to 25 April each year), and the yield is the highest after sowing during this period. Although BM can achieve environmental protection and energy saving, it is weaker than PM in water storage and soil evaporation inhibition in arid areas. The average yield, aboveground biomass, water productivity, and harvest index of PM were 63.95%, 18.57%, 76.35%, and 38.22% higher than those of BM, respectively. In drought years, BM water stress on leaf expansion, induced stomatal closure, and premature senescence were 61%, 17%, and 9.5% higher than PM, respectively, and the stress time was 28.5 d, 5 d, and 26 d, respectively. The maximum canopy coverage and effective root zone water content were 24.5% and 30.49% lower, respectively. In the wet year, water stress under BM only had a certain effect on the leaf expansion of crops but had no effect on the induction of stomatal closure and premature senescence. The maximum canopy coverage and effective root zone water content were 13.56% and 31.35% lower, respectively. The above studies show that BM has a certain ability to store water and preserve moisture, but the parameters of PM are better than BM. Especially in dry years, the crop production efficiency of PM is more significant. It can be seen that in rain-fed agricultural areas with rainfall less than 500 mm, biodegradable film can not replace polyethylene film. Full article
(This article belongs to the Section Farming Sustainability)
Show Figures

Graphical abstract

29 pages, 17743 KB  
Article
Cross-Radiometric Calibration and NDVI Application Comparison of FY-4A/AGRI Based on Aqua-MODIS
by Xiaohui He, Hongli Li, Guangsheng Zhou, Zhihui Tian and Lili Wu
Remote Sens. 2023, 15(23), 5454; https://doi.org/10.3390/rs15235454 - 22 Nov 2023
Cited by 3 | Viewed by 2665
Abstract
To enhance the accuracy and stability of FY-4A/AGRI detection data, the MODIS, with highly accurate onboard calibration, is selected as the reference sensor for cross-radiation calibration calculations. The following are the data selection conditions: full considered time, observation geometries, field angles, cloud cover, [...] Read more.
To enhance the accuracy and stability of FY-4A/AGRI detection data, the MODIS, with highly accurate onboard calibration, is selected as the reference sensor for cross-radiation calibration calculations. The following are the data selection conditions: full considered time, observation geometries, field angles, cloud cover, etc. FY-4A/AGRI and Aqua-MODIS image data are selected as matching sample region locations, where the time difference between the observations for the same ground object is less than 15 min, the satellite zenith angle is less than 30°, and the field angle difference is less than 0.01. The 245 collected reflectance spectral curves are convolved with the spectral response functions of the two sensors, and the spectral band adjustment factors of the corresponding bands are calculated for spectral correction purposes. The cross-calibration coefficients for the red and near-infrared bands are calculated by linearly fitting the simulated top of the atmosphere reflectance values and digital number values from the AGRI sensor in a homogeneous area. In this paper, 16 cross-calibration calculations are performed on FY-4A/AGRI image data from August 2018 to September 2020, and the results are compared with the original calibration coefficients to test the feasibility of the proposed method. Additionally, 31 cross-calibration calculations are performed on image data from October 2020 to December 2022 to study the resulting AGRI sensor quality and performance changes. The NDVI of the FY-4A/AGRI image data was calculated before and after the cross-radiometric calibration using the maximum synthesis method. Additionally, the NDVI of the MODIS image data was compared and analyzed from three aspects: time, space, and the change trend. The results show that the spectral band adjustment factor calculated using the reflectance spectral curves of the ground objects in this paper can effectively correct for the spectral differences between the two sensors. Sixteen cross-calibration coefficients are less than 5.2% different from the original calibration coefficients, which fully proves the feasibility of the method used in this paper. All of the cross-calibration results show that the AGRI sensors have a certain degree of attenuation in the red and near-infrared bands, and the annual attenuation rates are approximately 1.37% and 2.55%, respectively. Cross-radiometric calibration has further improved the quality of the NDVI in FY-4A/AGRI imagery, enhancing the precision of its data application. Full article
(This article belongs to the Special Issue Remote Sensing Satellites Calibration and Validation)
Show Figures

Figure 1

21 pages, 3539 KB  
Article
Light Absorption by Optically Active Components in the Arctic Region (August 2020) and the Possibility of Application to Satellite Products for Water Quality Assessment
by Tatiana Efimova, Tatiana Churilova, Elena Skorokhod, Vyacheslav Suslin, Anatoly S. Buchelnikov, Dmitry Glukhovets, Aleksandr Khrapko and Natalia Moiseeva
Remote Sens. 2023, 15(17), 4346; https://doi.org/10.3390/rs15174346 - 4 Sep 2023
Cited by 6 | Viewed by 2232
Abstract
In August 2020, during the 80th cruise of the R/V “Akademik Mstislav Keldysh”, the chlorophyll a concentration (Chl-a) and spectral coefficients of light absorption by phytoplankton pigments, non-algal particles (NAP) and colored dissolved organic matter (CDOM) were measured in the Norwegian [...] Read more.
In August 2020, during the 80th cruise of the R/V “Akademik Mstislav Keldysh”, the chlorophyll a concentration (Chl-a) and spectral coefficients of light absorption by phytoplankton pigments, non-algal particles (NAP) and colored dissolved organic matter (CDOM) were measured in the Norwegian Sea, the Barents Sea and the adjacent area of the Arctic Ocean. It was shown that the spatial distribution of the three light-absorbing components in the explored Arctic region was non-homogenous. It was revealed that CDOM contributed largely to the total non-water light absorption (atot(λ) = aph(λ) + aNAP(λ) + aCDOM(λ)) in the blue spectral range in the Arctic Ocean and the Barents Sea. The fraction of NAP in the total non-water absorption was low (less than 20%). The depth of the euphotic zone depended on atot(λ) in the surface water layer, which was described by a power equation. The Arctic Ocean, the Norwegian Sea and the Barents Sea did not differ in the Chl-a-specific light absorption coefficients of phytoplankton. In the blue maximum of phytoplankton absorption spectra, Chl-a-specific light absorption coefficients of phytoplankton in the upper mixed layer (UML) were higher than those below the UML. Relationships between phytoplankton absorption coefficients and Chl-a were derived by least squares fitting to power functions for the whole visible domain with a 1 nm interval. The OCI, OC3 and GIOP algorithms were validated using a database of co-located results (day-to-day) of in situ measurements (n = 63) and the ocean color scanner data: the Moderate Resolution Imaging Spectroradiometer (MODIS) onboard the Terra (EOS AM) and Aqua (EOS PM) satellites, the Visible and Infrared Imager/Radiometer Suite (VIIRS) onboard the Suomi National Polar-orbiting Partnership (S-NPP) and JPSS-1 satellites (also known as NOAA-20), and the Ocean and the Land Color Imager (OLCI) onboard the Sentinel-3A and Sentinel-3B satellites. The comparison showed that despite the technological progress in optical scanners and the algorithms refinement, the considered standard products (chlor_a, chl_ocx, aph_443, adg_443) carried little information about inherent optical properties in Arctic waters. Based on the statistic metrics (Bias, MdAD, MAE and RMSE), it was concluded that refinement of the algorithm for retrieval of water bio-optical properties based on remote sensing data was required for the Arctic region. Full article
Show Figures

Graphical abstract

21 pages, 4873 KB  
Article
Adaptation of a Neuro-Variational Algorithm from SeaWiFS to MODIS-Aqua Sensor for the Determination of Atmospheric and Oceanic Variables
by Khassoum Correa, Eric Machu, Julien Brajard, Daouda Diouf, Saïdou Moustapha Sall and Hervé Demarcq
Remote Sens. 2023, 15(14), 3613; https://doi.org/10.3390/rs15143613 - 20 Jul 2023
Cited by 3 | Viewed by 1977
Abstract
The Sahara desert is a major global source of dust that is mostly transported southwest over the ocean off West Africa. The presence of this dust impacts the remote sensing of ocean surface properties. These aerosols have absorbing properties that are poorly accounted [...] Read more.
The Sahara desert is a major global source of dust that is mostly transported southwest over the ocean off West Africa. The presence of this dust impacts the remote sensing of ocean surface properties. These aerosols have absorbing properties that are poorly accounted for in the standard ocean color data processing algorithm. This can result in an overestimation of the atmospheric contribution to the ocean color signal and consequently an underestimation of the oceanic contribution. A two-step algorithm initially applied to the Sea-viewing Wide field-of-view Sensor (SeaWiFS) data was adapted to the Moderate Resolution Imaging Spectroradiometer (MODIS-Aqua) sensor in the Northwest African region. The Northwest African region is a very productive region, where pelagic resources are an important socio-economic sector. Improving atmospheric correction of ocean color products is, thus, of particular interest for this oceanic region. The two-step approach of classifying the top-of-atmosphere radiance spectra for a better estimate of aerosol type on the one hand, and using an optimization method to fit the parameters of these aerosols and chlorophyll-a concentration (Chla) on the other hand, allows for a better representation of the optical thickness, a correction of the marine reflectance spectrum, and an increase in the spatio-temporal coverage of the area. To the extent that the properties of the water color signal are improved by this data processing, the Chla estimates should also be improved by this approach. However, it is difficult to conclude on this point from the available in situ observations. Full article
(This article belongs to the Section Biogeosciences Remote Sensing)
Show Figures

Figure 1

24 pages, 7767 KB  
Article
Study of Time-Frequency Domain Characteristics of the Total Column Ozone in China Based on Wavelet Analysis
by Chaoli Tang, Fangzheng Zhu, Yuanyuan Wei, Xiaomin Tian, Jie Yang and Fengmei Zhao
Atmosphere 2023, 14(6), 941; https://doi.org/10.3390/atmos14060941 - 27 May 2023
Cited by 5 | Viewed by 2178
Abstract
Ozone is a very important trace gas in the atmosphere, it is like a “double-edged sword”. Because the ozone in the stratosphere can effectively help the earth’s organisms to avoid the sun’s ultraviolet radiation damage, the ozone near the ground causes pollution. Therefore, [...] Read more.
Ozone is a very important trace gas in the atmosphere, it is like a “double-edged sword”. Because the ozone in the stratosphere can effectively help the earth’s organisms to avoid the sun’s ultraviolet radiation damage, the ozone near the ground causes pollution. Therefore, it is essential to explore the time-frequency domain variation characteristics of total column ozone and have a better understanding of its cyclic variation. In this paper, based on the monthly scale dataset of total column ozone (TCO) (September 2002 to February 2023) from Atmospheric Infrared Sounder (AIRS) carried by NASA’s Aqua satellite, linear regression, coefficient of variation, Mann-Kendall (M-K) mutation tests, wavelet analysis, and empirical orthogonal function decomposition (EOF) analysis were used to analyze the variation characteristics of the TCO in China from the perspectives of time domain, frequency domain, and spatial characteristics. Finally, this study predicted the future of TCO data based on the seasonal autoregressive integrated moving average (SARIMA) model in the time series algorithm. The results showed the following: (1) From 2003 to 2022, the TCO in China showed a slight downward trend, with an average annual change rate of −0.29 DU/a; the coefficient of variation analysis found that TCO had the smallest intra-year fluctuations in 2008 and the largest intra-year fluctuations in 2005. (2) Using the M-K mutation test, it was found that there was a mutation point in the total amount of column ozone in 2016. (3) Using wavelet analysis to analyze the frequency domain characteristics of the TCO, it was observed that TCO variation in China had a combination of 14-year, 6-year, and 4-year main cycles, where 14 years is the first main cycle with a 10-year cycle and 6 years is the second main cycle with a 4-year cycle. (4) The spatial distribution characteristics of the TCO in China were significantly different in each region, showing a distribution characteristic of being high in the northeast and low in the southwest. (5) Based on the EOF analysis of the TCO in China, it was found that the variance contribution rate of the first mode was as high as 52.85%, and its spatial distribution of eigenvectors showed a “-” distribution. Combined with the trend analysis of the time coefficient, this showed that the TCO in China has declined in the past 20 years. (6) The SARIMA model with the best parameters of (1, 1, 2) × (0, 1, 2, 12) based on the training on the TCO data was used for prediction, and the final model error rate was calculated as 1.34% using the mean absolute percentage error (MAPE) index, indicating a good model fit. Full article
(This article belongs to the Section Atmospheric Techniques, Instruments, and Modeling)
Show Figures

Figure 1

23 pages, 7691 KB  
Article
Quality Assessment of FY-3D/MERSI-II Thermal Infrared Brightness Temperature Data from the Arctic Region: Application to Ice Surface Temperature Inversion
by Haihua Chen, Xin Meng, Lele Li and Kun Ni
Remote Sens. 2022, 14(24), 6392; https://doi.org/10.3390/rs14246392 - 18 Dec 2022
Cited by 7 | Viewed by 3421
Abstract
The Arctic region plays an important role in the global climate system. To promote the application of Medium Resolution Spectral Imager-II (MERSI-II) data in the ice surface temperature (IST) inversion, we used the thermal infrared channels (channels 24 and 25) of the MERSI-II [...] Read more.
The Arctic region plays an important role in the global climate system. To promote the application of Medium Resolution Spectral Imager-II (MERSI-II) data in the ice surface temperature (IST) inversion, we used the thermal infrared channels (channels 24 and 25) of the MERSI-II onboard Chinese FY-3D satellite and the thermal infrared channels (channels 31 and 32) of the Earth Observing System (EOS) Moderate-Resolution Imaging Spectroradiometer (MODIS) onboard the National Aeronautical and Space Administration (NASA) Aqua satellite for data analysis. Using the Observation–Observation cross-calibration algorithm to cross-calibrate the MERSI and MODIS thermal infrared brightness temperature (Tb) data in the Arctic, channel 24 and 25 data from the FY-3D/MERSI-II on Arctic ice were evaluated. The thermal infrared Tb data of the MERSI-II were used to retrieve the IST via the split-window algorithm. In this study, the correlation coefficients of the thermal infrared channel Tb data between the MERSI and MODIS were >0.95, the mean bias was −0.5501–0.1262 K, and the standard deviation (Std) was <1.3582 K. After linear fitting, the MERSI-II thermal infrared Tb data were closer to the MODIS data, and the bias range of the 11 μm and 12 μm channels was −0.0214–0.0119 K and the Std was <1.2987 K. These results indicate that the quality of the MERSI-II data is comparable to that of the MODIS data, so that can be used for application to IST inversion. When using the MERSI thermal infrared Tb data after calibration to retrieve the IST, the results of the MERSI and MODIS IST were more consistent. By comparing the IST retrieved from the MERSI thermal infrared calibrated Tb data with MODIS MYD29 product, the mean bias was −0.0612–0.0423 °C and the Std was <1.3988 °C. Using the MERSI thermal infrared Tb data after calibration is better than that before calibration for retrieving the IST. When comparing the Arctic ocean sea and ice surface temperature reprocessed data (L4 SST/IST) with the IST data retrieved from MERSI, the bias was 0.9891–2.7510 °C, and the Std was <3.5774 °C. Full article
(This article belongs to the Special Issue Remote Sensing of Polar Sea Ice)
Show Figures

Figure 1

Back to TopTop