Sign in to use this feature.

Years

Between: -

Subjects

remove_circle_outline
remove_circle_outline
remove_circle_outline
remove_circle_outline
remove_circle_outline
remove_circle_outline
remove_circle_outline

Journals

Article Types

Countries / Regions

Search Results (18)

Search Parameters:
Keywords = apparent gas phase activation energies

Order results
Result details
Results per page
Select all
Export citation of selected articles as:
13 pages, 4018 KB  
Article
Kinetic Mechanisms and Efficient Leaching of Praseodymium, Neodymium, Fluorine, and Lithium from Molten-Salt Slag via Atmospheric Alkaline Leaching
by Mingming Yu, Guojun Huang and Tianyong Zhang
Processes 2025, 13(4), 1025; https://doi.org/10.3390/pr13041025 - 30 Mar 2025
Viewed by 890
Abstract
Rare-earth molten-salt electrolysis slag contains a substantial quantity of rare-earth elements, rendering it a valuable secondary resource for rare-earth recovery. To achieve the efficient recovery of praseodymium (Pr), neodymium (Nd), lithium (Li), and fluorine (F) from rare-earth molten-salt electrolysis slag, this paper proposes [...] Read more.
Rare-earth molten-salt electrolysis slag contains a substantial quantity of rare-earth elements, rendering it a valuable secondary resource for rare-earth recovery. To achieve the efficient recovery of praseodymium (Pr), neodymium (Nd), lithium (Li), and fluorine (F) from rare-earth molten-salt electrolysis slag, this paper proposes an atmospheric alkaline leaching method. The leaching efficiency of Nd, Pr, F (95.02%), and Li (95.87%) can be reached at a NaOH concentration of 80%, a reaction temperature of 180 °C, a reaction time of 2 h, and an alkali to slag ratio of 3:1. Leaching efficiency kinetic analysis shows that the leaching processes of fluorine and lithium are both controlled by interfacial chemical reactions, with apparent activation energies of 59.06 kJ/mol and 57.33 kJ/mol, respectively. The mineral phase transformation and morphological analysis were studied by X-ray diffractometer and scanning electron microscope. The results indicated that rare-earth fluoride (REF3) reacts with sodium hydroxide to form rare-earth hydroxide (RE(OH)3) and soluble sodium fluoride (NaF), while LiF is converted into LiOH and enters the liquid phase. High-efficiency separation was achieved by washing with water, avoiding high-temperature energy consumption and the problem of fluorine-containing waste gas. Full article
(This article belongs to the Section Chemical Processes and Systems)
Show Figures

Figure 1

15 pages, 15880 KB  
Article
Leaching Kinetics of Iron Collector Containing PGMs
by Evgeniy Kuzas, Ivan Sandalov, Aleksei Kritskii and Kirill Karimov
Metals 2024, 14(12), 1416; https://doi.org/10.3390/met14121416 - 11 Dec 2024
Viewed by 952
Abstract
The leaching kinetics of an industrial iron collector containing PGMs (Pd, Pt, Rh) in HCl and HF solutions were investigated. The effects of the HCl concentration (2.74–6.86 mol/L), the HF concentration (1.46–7.50 mol/L), temperature (323–363 K), and leaching time (0–210 min) on the [...] Read more.
The leaching kinetics of an industrial iron collector containing PGMs (Pd, Pt, Rh) in HCl and HF solutions were investigated. The effects of the HCl concentration (2.74–6.86 mol/L), the HF concentration (1.46–7.50 mol/L), temperature (323–363 K), and leaching time (0–210 min) on the extraction of Fe into the solution and Si into the gas phase from the iron collector were studied. The HCl concentration had a negative effect on the extraction of Si, which decreased from 78.2% to 58.1% and from 97.4% to 87.2% in the time ranges of 0–30 min and 30–120 min, respectively. This occurred due to the accumulation of Fe2+ in the solution and its interaction with HF, which led to a reduction in both the HF concentration and the extraction of Si. In addition, there were diffusion difficulties of the Fe and Si extraction because Fe precipitated on the surface of the cakes in the form of thin-film conglomerates of FeF2. This was confirmed by the XRF and EDS results, indicating that F was present on the surface of the cakes. The processes of the Fe and Si extraction were diffusion-chemically controlled and diffusion controlled—the apparent activation energies decreased from 26.9 kJ/mol to 7.8 kJ/mol and from 2.2 kJ/mol to 2.0 kJ/mol in the time range of 0–120 min, respectively. Using the shrinking core model and the full factorial experiment model, the kinetic equations, the optimal parameters of iron collector leaching, and the extraction rates of Fe and Si were determined. These optimal parameters ensure the extraction of Fe and Si at the level of 95% with high leaching rates: the HCl concentration of 4.36 mol/L, the HF concentration of 6.93 mol/L, temperature of 363 K, and leaching time of 80 min. Full article
(This article belongs to the Section Extractive Metallurgy)
Show Figures

Figure 1

11 pages, 4206 KB  
Article
Advanced Thermogravimetric Analyses of Stem Wood and Straw Devolatilization: Torrefaction through Combustion
by David R. Wagner
Reactions 2024, 5(2), 350-360; https://doi.org/10.3390/reactions5020018 - 7 Jun 2024
Cited by 3 | Viewed by 2037
Abstract
Process design critically depends on the characterization of fuels and their kinetics under process conditions. This study steps beyond the fundamental methods of thermogravimetry to modulated (MTGA) and Hi-Res™ (high resolution) techniques to (1) add characterization detail and (2) increase the utility of [...] Read more.
Process design critically depends on the characterization of fuels and their kinetics under process conditions. This study steps beyond the fundamental methods of thermogravimetry to modulated (MTGA) and Hi-Res™ (high resolution) techniques to (1) add characterization detail and (2) increase the utility of thermal analysis data. Modulated TGA methods overlay sinusoidal functions on the heating rates to determine activation energy as a function of temperature with time. Under devolatilization conditions, Hi-Res™ TGA maintains a constant mass loss with time and temperature. These two methods, run independently or overlaid, offer additional analysis in which multiple samples at different heating rates are run to different final temperatures. Advanced methods allow researchers to use fewer samples by conducting fewer runs, targeting practical experimental designs, and quantifying errors easier. The parameters of the studies included here vary the heating rate at 10, 30, and 50 °C/min; vary gas-phase oxygen for pyrolysis or combustion conditions; and particle size ranges of 100–125 µm, 400–425 µm, and 600–630 µm. The two biomass fuels used in the studies are pinewood from Northern Sweden and wheat straw. The influence of torrefaction is also included at temperatures of 220, 250, and 280 °C. Apparent activation energy results align with the previous MTGA data in that combustion conditions yield higher values than pyrolysis conditions—200–250 kJ/mol and 175–225 kJ/mol for pine and wheat combustion, respectively, depending on pre-treatment. Results show the dependence of these parameters upon one another from a traditional thermal analysis approach, e.g., the Ozawa-Flynn-Wall method, as well as MTGA and Hi-Res™ thermogravimetric investigations to show future directions for thermal analysis techniques. Full article
Show Figures

Figure 1

41 pages, 6683 KB  
Article
Separation of an Industrial Mixture of Decalin or Naphthalene Fluorination Products: Cis-Perfluorodecalin, Trans-Perfluorodecalin and Perfluoro(butylcyclohexane): Physicochemical, Thermophysical, and Spectral Data
by Egor V. Lupachev, Andrey A. Voshkin, Alexey V. Kisel’, Nikolai N. Kulov, Yulia A. Zakhodyaeva and Andrei V. Polkovnichenko
Processes 2023, 11(11), 3208; https://doi.org/10.3390/pr11113208 - 10 Nov 2023
Cited by 4 | Viewed by 2596
Abstract
New physicochemical data for trans-perfluorodecalin (trans-PDF) and cis-perfluorodecalin (cis-PFD) are presented. Based on the differential scanning calorimetry, the temperature and heat of the solid−liquid phase transition are determined. The coefficients of Antoine’s equation are calculated based on the experimental temperature–pressure dependence data. This [...] Read more.
New physicochemical data for trans-perfluorodecalin (trans-PDF) and cis-perfluorodecalin (cis-PFD) are presented. Based on the differential scanning calorimetry, the temperature and heat of the solid−liquid phase transition are determined. The coefficients of Antoine’s equation are calculated based on the experimental temperature–pressure dependence data. This article also presents data on the rheological properties («zero» shear viscosity and apparent activation energy for the viscous flow) of the studied compounds. The dependencies of refractive index and excess volume (density) on temperature are studied. Gas chromatography–mass spectrometry data and FTIR, 13C NMR, and 19F NMR spectra are provided. The dependencies are given for the perfluoro(butylcyclohexane) (BCH)–trans-PFD, BCH–cis-PFD, and trans-PFD–cis-PFD binary systems and BCH–trans-PFD–cis-PFD ternary system: refractive index and density (liquid molar volume and excess molar volume) of composition and temperature. The dependences of the excess molar volume on the composition and temperature of the mixtures are correlated with Redlich-Kister and Kohler equations. Full article
(This article belongs to the Section Separation Processes)
Show Figures

Graphical abstract

21 pages, 14233 KB  
Article
Extraction of Gallium from Brown Corundum Dust by Roasting—Acid Leaching Process
by Juhua Zhang, Yuwei Chang, Cong Gao, Xujie Hui and Ari Jokilaakso
Minerals 2023, 13(7), 900; https://doi.org/10.3390/min13070900 - 1 Jul 2023
Cited by 5 | Viewed by 2254
Abstract
Brown corundum dust is a solid waste produced during the preparation of brown corundum with bauxite as the raw material. The dust has a relatively high gallium content; therefore, it is of great value to recover the gallium from this kind of dust. [...] Read more.
Brown corundum dust is a solid waste produced during the preparation of brown corundum with bauxite as the raw material. The dust has a relatively high gallium content; therefore, it is of great value to recover the gallium from this kind of dust. In this paper, a range of analysis and characterization methods, including XRD, XRF, SEM-EDS, and EPMA, were used to determine the occurrence of gallium. It was found that gallium was mainly present in the potassium-rich phase, wrapped by amorphous silicate and the corundum phase. Roasting activation followed by an acid leaching process was proposed to extract gallium from brown corundum dust. An investigation was carried out on the effects of roasting temperature, roasting time, and additive dosage on the recovery of gallium and the evolution of the phase composition of the dust. The results show that the roasting activation of sodium carbonate was better than that of calcium oxide. After roasting at 1073 K for 40 min with a sodium carbonate dosage of 0.5 (mass ratio of sodium carbonate to dust), the phase composition changed completely to mainly consist of sodium silicate, sodium aluminosilicate, and potassium aluminosilicate. In that case, around 93% of Ga could be recovered from the roasted dust through H2SO4 (4.6 mol/L) leaching for 90 min. The leaching process was described well by the kinetic equation of k3t = 1/(1 − α)1/3 − 1, with an apparent activation energy of 16.81 kJ/mol, suggesting that the leaching rate was limited by the transfer of leaching agent across the contacting interface of the dust particles. Full article
(This article belongs to the Special Issue Valuable Metals Recovery by Mineral Processing and Hydrometallurgy)
Show Figures

Figure 1

16 pages, 3813 KB  
Article
A Novel Hydro-Thermal Synthesis of Nano-Structured Molybdenum-Iron Intermetallic Alloys at Relatively Low Temperatures
by A. A. El-Geassy, K. S. Abdel Halim and Abdulaziz S. Alghamdi
Materials 2023, 16(7), 2736; https://doi.org/10.3390/ma16072736 - 29 Mar 2023
Cited by 10 | Viewed by 2532
Abstract
Nano-structured Mo/Fe intermetallics were synthesized from precursors that contained 72/28% and 30/70% molar ratios of Mo/Fe, which were given as precursors A and B, respectively. These precursors were prepared from the co-precipitation of aqueous hot solutions of ammonium heptamolybdate tetrahydrate (AHM) and ferrous [...] Read more.
Nano-structured Mo/Fe intermetallics were synthesized from precursors that contained 72/28% and 30/70% molar ratios of Mo/Fe, which were given as precursors A and B, respectively. These precursors were prepared from the co-precipitation of aqueous hot solutions of ammonium heptamolybdate tetrahydrate (AHM) and ferrous oxalate. The dry precipitates were thermally treated using TG-DSC to follow up their behavior during roasting, in an Ar atmosphere of up to 700 °C (10° K/min). The TG profile showed that 32.5% and 55.5% weight losses were measured from the thermal treatment of precursors A and B, respectively. The DSC heat flow profile showed the presence of endothermic peaks at 196.9 and 392.5–400 °C during the thermal decomposition of the AHM and ferrous oxalate, respectively. The exothermic peak that was detected at 427.5 °C was due to the production of nano-sized iron molybdate [Fe2(MoO4)3]. An XRD phase analysis indicated that iron molybdate was the only phase that was identified in precursor A, while iron molybdate and Fe2O3 were produced in precursor B. Compacts were made from the pressing of the nano-sized precursors, which were roasted at 500 °C for 3 h. The roasted compacts were isothermally reduced in H2 at 600–850 °C using microbalance, and the O2 weight loss that resulted from the reduction reactions was continuously recorded as a function of time. The influence of the reduction temperature and precursor composition on the reduction behavior of the precursors was studied and discussed. The partially and completely reduced compacts were examined with X-ray powder diffraction (XRD), a reflected light microscope (RLM), and a scanning electron microscope (SEM-EDS). Depending on the precursor composition, the reduction reactions of the [Fe2(MoO4)3] and Fe2O3 proceeded through the formation of intermediate lower oxides, prior to the production of the MO/Fe intermetallic alloys. Based on the intermediate phases that were identified and characterized at the early, intermediate, and final reduction degrees, chemical reaction equations were given to follow up the formation of the MoFe and MoFe3 intermetallic alloys. The mechanism of the reduction reactions was predicted from the apparent activation energy values (Ea) that were computed at the different reduction degrees. Moreover, mathematical formulations that were derived from the gas–solid reaction model were applied to confirm the reduction mechanisms, which were greatly dependent on the precursor composition and reduction temperature. However, it can be reported that nano-structured MoFe and MoFe3 intermetallic alloys can be successfully fabricated via a gas–solid reaction technique at lower temperatures. Full article
Show Figures

Figure 1

13 pages, 2632 KB  
Article
Highly Selective Gas-Phase Catalytic Hydrogenation of Acetone to Isopropyl Alcohol
by Abdulrahman A. Al-Rabiah, Ismail Boz, Vagif M. Akhmedov, Mohamed Mokhtar M. Mostafa and Abdulaziz A. Bagabas
Catalysts 2022, 12(10), 1251; https://doi.org/10.3390/catal12101251 - 17 Oct 2022
Cited by 6 | Viewed by 10402
Abstract
Current industrial synthesis procedures of isopropyl alcohol (IPA), by the direct or indirect hydration of propylene in the gas or liquid phase, suffer from the low conversion of propylene, the requirement for high pressure, and the harmfulness to the environment. In this context, [...] Read more.
Current industrial synthesis procedures of isopropyl alcohol (IPA), by the direct or indirect hydration of propylene in the gas or liquid phase, suffer from the low conversion of propylene, the requirement for high pressure, and the harmfulness to the environment. In this context, we report a single-step, gas-phase process for the green synthesis of IPA via acetone hydrogenation, in a fixed-bed reactor, under ambient pressure and within a temperature range of 100–350 °C. Composite catalysts with various ratios of ruthenium nanoparticles supported on activated charcoal and nano-zinc oxide (n-Ru/AC/n-ZnO) were used. Catalytic activity and selectivity were functions of n-Ru/AC/n-ZnO loading ratios, reaction temperature, and the hydrogen to acetone molar ratio. The composite catalysts were characterized by X-ray powder diffraction (XRPD), transmission electron microscopy (TEM), hydrogen temperature-programmed reduction (H2-TPR) analysis, and nitrogen physisorption. High yields of IPA were obtained over 3n-Ru/AC/2n-ZnO) catalyst, which showed the highest selectivity of 98.7% toward isopropyl alcohol and acetone conversion of 96.0% under a hydrogen to acetone mole ratio of 1.5 at 100 °C. Reaction rates, calculated from the model equation, were in reasonable agreement with those measured experimentally. The apparent activation energy (Ea) value for acetone hydrogenation was found to be 17.2 kJ/mol. This study proved that immobilized Ru catalysts were potential superior catalysts for the selective hydrogenation of acetone to IPA in exceptionally mild green synthesis conditions. Full article
(This article belongs to the Special Issue Current State-of-the-Art of Catalysts)
Show Figures

Figure 1

13 pages, 3559 KB  
Article
Kinetic Analysis of Recovering Zinc from Electric Arc Furnace Dust by Vacuum Carbothermic Reduction at 20 Pa
by Shaobo Ma, Zhaohui Zhang, Xiangdong Xing, Shuxiang Xu and Xintao Li
Minerals 2022, 12(2), 261; https://doi.org/10.3390/min12020261 - 18 Feb 2022
Cited by 7 | Viewed by 3318
Abstract
Electric arc furnace dust (EAFD) presents a contamination hazard due to its heavy metal leachability. The traditional disposal methods of landfill or stacking not only pose a threat to the environment but also waste metal resources. This paper adopted vacuum carbothermic reduction to [...] Read more.
Electric arc furnace dust (EAFD) presents a contamination hazard due to its heavy metal leachability. The traditional disposal methods of landfill or stacking not only pose a threat to the environment but also waste metal resources. This paper adopted vacuum carbothermic reduction to dispose of EAFD and the zinc metal could be obtained as a product. The reduction ratios of the EAFD were carried out under various reaction temperatures and times at 20 Pa. Furthermore, the kinetics of the reduction process was also studied. The reduction ratio of the reaction process can be facilitated through increasing the temperature or lengthening the time and can reach up to 99.6% under the condition of 1373 K with 60 min. The zinc ferrite and zinc oxide were reduced first and then iron oxide reduction occurred. The reduction process could be divided into three stages: Stage 1 involved the direct reduction of zinc ferrite and zinc oxide, and the control step was the phase boundary reaction with the apparent activation energy of 48.54 kJ/mol; Stage 2 involved the reduction of zinc oxide and iron oxide, and the control step was also the phase boundary reaction with the apparent activation energy of 56.27 kJ/mol; Stage 3 involved the escape of gas phase products and the control step was diffusion with the apparent activation energy of 105.3 kJ/mol. Full article
Show Figures

Figure 1

18 pages, 3903 KB  
Article
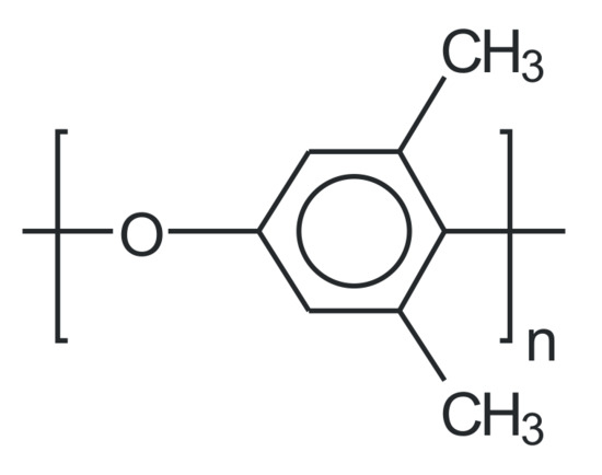
Features of the Gas-Permeable Crystalline Phase of Poly-2,6-dimethylphenylene Oxide
by Alexander Yu Alentiev, Ivan S. Levin, Nikolay A. Belov, Roman Yu Nikiforov, Sergey V. Chirkov, Denis A. Bezgin, Victoria E. Ryzhikh, Julia V. Kostina, Victor P. Shantarovich and Leonid Yu Grunin
Polymers 2022, 14(1), 120; https://doi.org/10.3390/polym14010120 - 29 Dec 2021
Cited by 28 | Viewed by 2834
Abstract
Poly-2,6-dimethylphenylene oxide (PPO) film samples with varying degrees of crystallinity (from 0 to 69%) were obtained by means of different techniques. The films were studied by various physicochemical methods (Fourier-transform infrared spectroscopy, positron annihilation lifetime spectroscopy, X-ray diffraction, and 1H nuclear magnetic [...] Read more.
Poly-2,6-dimethylphenylene oxide (PPO) film samples with varying degrees of crystallinity (from 0 to 69%) were obtained by means of different techniques. The films were studied by various physicochemical methods (Fourier-transform infrared spectroscopy, positron annihilation lifetime spectroscopy, X-ray diffraction, and 1H nuclear magnetic resonance relaxation). Solubility coefficients of gases in the PPO samples were measured via sorption isotherms of gases by volumetric technique with chromatographic detection. The apparent activation energy of permeation and the activation energy of diffusion of all gases were estimated based on temperature dependences of gas permeability and diffusivity for amorphous and semi-crystalline PPO in the range of 20–50 °C. The peculiarities of free volume, density, and thermal properties of gas transport confirm the nanoporosity of the gas-permeable crystalline phase of PPO. So, the PPO can be included in the group of organic molecular sieves. Full article
(This article belongs to the Section Polymer Membranes and Films)
Show Figures

Graphical abstract

17 pages, 10311 KB  
Article
RETRACTED: Thermal Analysis of a Metal–Organic Framework ZnxCo1-X-ZIF-8 for Recent Applications
by Moustafa Ahmed, Yas M Al-Hadeethi, Ahmed Alshahrie, Arwa T Kutbee, Essam R. Shaaban and Ahmed F. Al-Hossainy
Polymers 2021, 13(22), 4051; https://doi.org/10.3390/polym13224051 - 22 Nov 2021
Cited by 25 | Viewed by 4940 | Retraction
Abstract
Zeolitic imidazolate frameworks (ZIFs) are interesting materials for use in several aspects: energy storage material, gas sensing, and photocatalysis. The thermal stability and pyrolysis process are crucial in determining the active phase of the material. A deep understanding of the pyrolysis mechanism is [...] Read more.
Zeolitic imidazolate frameworks (ZIFs) are interesting materials for use in several aspects: energy storage material, gas sensing, and photocatalysis. The thermal stability and pyrolysis process are crucial in determining the active phase of the material. A deep understanding of the pyrolysis mechanism is in demand. Therefore, the thermodynamics and combustion process with different heating rates was examined, and the kinetic parameters were computed employing thermogravimetric tests. Based on the TG analysis of combustion, pyrolysis moves to the high-temperature region with an increase in heating rate. The decomposition process can be separated into the dehydration (300–503 K) and the pyrolysis reaction (703–1100 K). Three points of the decomposition process are performed by dynamical analysis owing to shifts of slopes, but the combustion process has only one stage. The Zeolitic imidazolate framework’s structure properties were examined using TDDFT-DFT/DMOl3 simulation techniques. Dynamical parameters, for instance, the possible mechanism, the pre-exponential factor, and the apparent activation energy are obtained through comparison using the Kissinger formula. The thermodynamics analysis of the Zn1-xCox-ZIF-8 materials is an effective way to explore the temperature influence on the process of pyrolysis, which can benefit several environment purifications, photocatalyst, and recent applications. Full article
(This article belongs to the Special Issue Functional Polymer Composites: Design, Preparation and Applications)
Show Figures

Figure 1

17 pages, 1001 KB  
Article
Geometric Algebra Framework Applied to Symmetrical Balanced Three-Phase Systems for Sinusoidal and Non-Sinusoidal Voltage Supply
by Francisco G. Montoya, Raúl Baños, Alfredo Alcayde, Francisco Manuel Arrabal-Campos and Javier Roldán Pérez
Mathematics 2021, 9(11), 1259; https://doi.org/10.3390/math9111259 - 31 May 2021
Cited by 10 | Viewed by 3037
Abstract
This paper presents a new framework based on geometric algebra (GA) to solve and analyse three-phase balanced electrical circuits under sinusoidal and non-sinusoidal conditions. The proposed approach is an exploratory application of the geometric algebra power theory (GAPoT) to multiple-phase systems. A definition [...] Read more.
This paper presents a new framework based on geometric algebra (GA) to solve and analyse three-phase balanced electrical circuits under sinusoidal and non-sinusoidal conditions. The proposed approach is an exploratory application of the geometric algebra power theory (GAPoT) to multiple-phase systems. A definition of geometric apparent power for three-phase systems, that complies with the energy conservation principle, is also introduced. Power calculations are performed in a multi-dimensional Euclidean space where cross effects between voltage and current harmonics are taken into consideration. By using the proposed framework, the current can be easily geometrically decomposed into active- and non-active components for current compensation purposes. The paper includes detailed examples in which electrical circuits are solved and the results are analysed. This work is a first step towards a more advanced polyphase proposal that can be applied to systems under real operation conditions, where unbalance and asymmetry is considered. Full article
(This article belongs to the Special Issue New Trends in Algebraic Geometry and Its Applications)
Show Figures

Figure 1

16 pages, 3650 KB  
Article
Mass Spectrometric Analysis of Antibody—Epitope Peptide Complex Dissociation: Theoretical Concept and Practical Procedure of Binding Strength Characterization
by Bright D. Danquah, Kwabena F. M. Opuni, Claudia Roewer, Cornelia Koy and Michael O. Glocker
Molecules 2020, 25(20), 4776; https://doi.org/10.3390/molecules25204776 - 17 Oct 2020
Cited by 13 | Viewed by 3659
Abstract
Electrospray mass spectrometry is applied to determine apparent binding energies and quasi equilibrium dissociation constants of immune complex dissociation reactions in the gas phase. Myoglobin, a natural protein-ligand complex, has been used to develop the procedure which starts from determining mean charge states [...] Read more.
Electrospray mass spectrometry is applied to determine apparent binding energies and quasi equilibrium dissociation constants of immune complex dissociation reactions in the gas phase. Myoglobin, a natural protein-ligand complex, has been used to develop the procedure which starts from determining mean charge states and normalized and averaged ion intensities. The apparent dissociation constant KD m0g#= 3.60 × 10−12 for the gas phase heme dissociation process was calculated from the mass spectrometry data and by subsequent extrapolation to room temperature to mimic collision conditions for neutral and resting myoglobin. Similarly, for RNAse S dissociation at room temperature a KD m0g#= 4.03 × 10−12 was determined. The protocol was tested with two immune complexes consisting of epitope peptides and monoclonal antibodies. For the epitope peptide dissociation reaction of the FLAG peptide from the antiFLAG antibody complex an apparent gas phase dissociation constant KD m0g#= 4.04 × 10−12 was calculated. Likewise, an apparent KD m0g#= 4.58 × 10−12 was calculated for the troponin I epitope peptide—antiTroponin I antibody immune complex dissociation. Electrospray mass spectrometry is a rapid method, which requires small sample amounts for either identification of protein-bound ligands or for determination of the apparent gas phase protein-ligand complex binding strengths. Full article
Show Figures

Graphical abstract

18 pages, 12340 KB  
Article
Reactivity of Low-Grade Chromite Concentrates towards Chlorinating Atmospheres
by Ndue Kanari, Eric Allain, Lev Filippov, Seit Shallari, Frédéric Diot and Fabrice Patisson
Materials 2020, 13(20), 4470; https://doi.org/10.3390/ma13204470 - 9 Oct 2020
Cited by 8 | Viewed by 3004
Abstract
The most economically important iron-chromium bearing minerals is chromite. In natural deposits, iron(II) is frequently substituted by magnesium(II) while chromium(III) is replaced by aluminum(III) and/or iron(III) forming a complex chromium bearing material. The majority of mined chromite is intended for the production of [...] Read more.
The most economically important iron-chromium bearing minerals is chromite. In natural deposits, iron(II) is frequently substituted by magnesium(II) while chromium(III) is replaced by aluminum(III) and/or iron(III) forming a complex chromium bearing material. The majority of mined chromite is intended for the production of ferrochrome which requires a chromite concentrate with high chromium-to-iron ratio. Found mostly in the spinel chromite structure, iron cannot be removed by physical mineral processing methods. In this frame, the present work deals with the reaction of chlorine and chlorine+oxygen with selected samples of chromite concentrates for assessing the reactivity of their components towards chlorinating atmosphere, allowing the preferential removal of iron, hence meeting the chromite metallurgical grade requirements. Isothermal thermogravimetric analysis was used as a reliable approach for the kinetic reactivity investigation. Results indicated a wide difference in the thermal behavior of chromite constituents in a chlorinating atmosphere when considering their respective values of apparent activation energy oscillating from about 60 to 300 kJ/mol as a function of the sample reacted fraction. During the chromite treatment by chlorine in presence of oxygen, chromium was recovered as liquid chromyl chloride by condensation of the reaction gas phase. Full article
(This article belongs to the Special Issue Characterization and Processing of Complex Materials)
Show Figures

Figure 1

13 pages, 4191 KB  
Article
Boosting Hydrogen Production from Formic Acid over Pd Catalysts by Deposition of N-Containing Precursors on the Carbon Support
by Fedor S. Golub, Sergey Beloshapkin, Artem V. Gusel’nikov, Vasily A. Bolotov, Valentin N. Parmon and Dmitri A. Bulushev
Energies 2019, 12(20), 3885; https://doi.org/10.3390/en12203885 - 14 Oct 2019
Cited by 36 | Viewed by 4794
Abstract
Formic acid is a promising liquid organic hydrogen carrier (LOHC) since it has relatively high hydrogen content (4.4 wt%), low inflammability, low toxicity and can be obtained from biomass or from CO2. The aim of the present research was the creation [...] Read more.
Formic acid is a promising liquid organic hydrogen carrier (LOHC) since it has relatively high hydrogen content (4.4 wt%), low inflammability, low toxicity and can be obtained from biomass or from CO2. The aim of the present research was the creation of efficient 1 wt% Pd catalysts supported on mesoporous graphitic carbon (Sibunit) for the hydrogen production from gas-phase formic acid. For this purpose, the carbon support was modified by pyrolysis of deposited precursors containing pyridinic nitrogen such as melamine (Mel), 2,2′-bipyridine (Bpy) or 1,10-phenanthroline (Phen) at 673 K. The following activity trend of the catalysts Pd/Mel/C > Pd/C ~ Pd/Bpy/C > Pd/Phen/C was obtained. The activity of the Pd/Mel/C catalyst was by a factor of 4 higher than the activity of the Pd/C catalyst at about 373 K and the apparent activation energy was significantly lower than those for the other catalysts (32 vs. 42–46 kJ/mol). The high activity of the melamine-based samples was explained by a high dispersion of Pd nanoparticles (~2 nm, HRTEM) and their strong electron-deficient character (XPS) provided by interaction of Pd with pyridinic nitrogen species of the support. The presented results can be used for the development of supported Pd catalysts for hydrogen production from different liquid organic hydrogen carriers. Full article
Show Figures

Graphical abstract

22 pages, 6029 KB  
Article
Performance of Pd-Based Membranes and Effects of Various Gas Mixtures on H2 Permeation
by Kourosh Kian, Caleb M Woodall, Jennifer Wilcox and Simona Liguori
Environments 2018, 5(12), 128; https://doi.org/10.3390/environments5120128 - 4 Dec 2018
Cited by 40 | Viewed by 7155
Abstract
H2 permeation and separation properties of two Pd-based composite membranes were evaluated and compared at 400 °C and at a pressure range of 150 kPa to 600 kPa. One membrane was characterized by an approximately 8 μm-thick palladium (Pd)-gold (Au) layer deposited [...] Read more.
H2 permeation and separation properties of two Pd-based composite membranes were evaluated and compared at 400 °C and at a pressure range of 150 kPa to 600 kPa. One membrane was characterized by an approximately 8 μm-thick palladium (Pd)-gold (Au) layer deposited on an asymmetric microporous Al2O3 substrate; the other membrane consisted of an approximately 11 μm-thick pure palladium layer deposited on a yttria-stabilized zirconia (YSZ) support. At 400 °C and with a trans-membrane pressure of 50 kPa, the membranes showed a H2 permeance of 8.42 × 10−4 mol/m2·s·Pa0.5 and 2.54 × 10−5 mol/m2·s·Pa0.7 for Pd-Au and Pd membranes, respectively. Pd-Au membrane showed infinite ideal selectivity to H2 with respect to He and Ar at 400 °C and a trans-membrane pressure of 50 kPa, while the ideal selectivities for the Pd membrane under the same operating conditions were much lower. Furthermore, the permeation tests for ternary and quaternary mixtures of H2, CO, CO2, CH4, and H2O were conducted on the Pd/YSZ membrane. The H2 permeating flux decreased at the conclusion of the permeation tests for all mixtures. This decline however, was not permanent, i.e., H2 permeation was restored to its initial value after treating the membrane with H2 for a maximum of 7 h. The effects of gas hourly space velocity (GHSV) and the steam-to-carbon (S/C) ratio on H2 permeation were also investigated using simulated steam methane reforming mixtures. It was found that H2 permeation is highest at the greatest GHSV, due to a decline in the concentration polarization effect. Variations in S/C ratio however, showed no significant effect on the H2 permeation. The permeation characteristics for the Pd/YSZ membrane were also investigated at temperatures ranging from 350 to 400 °C. The pre-exponential factor and apparent activation energy were found to be 5.66 × 10−4 mol/m2·s·Pa0.7 and 12.8 kJ/mol, respectively. Scanning Electron Microscope (SEM) and X-ray diffraction (XRD) analyses were performed on both pristine and used membranes, and no strong evidence of the formation of Pd-O or any other undesirable phases was observed. Full article
(This article belongs to the Special Issue Environmental Applications of Membrane Technology)
Show Figures

Figure 1

Back to TopTop